华北克拉通块体(以下称为NCC)是地球上最为古老的形成于太古宙时期的克拉通块体[1].地质和地球化学研究揭示NCC 块体的东部在晚中生代到新生代期间经历了大规模的活化、岩石圈减薄[2-3],并伴随有大规模的断陷盆地形成、岩浆与地震活动[4].
NCC 岩石圈的减薄具有时空不一致性,尤其是近似南北走向的重力梯度带(NSGL)两侧岩石圈厚度存在明显差异[5],在其西部岩石圈厚度大多在100~120 km 以上,而在其东部大多小于80~100km[6].对于NCC 东部岩石圈厚度垂向减薄的程度存在两种不同的观点[7],一种认为岩石圈的减薄只涉及到岩石圈下部,现今的岩石圈地幔是减薄后的残留[8],第二种认为部分下地壳与整个岩石圈地幔一起丢失,导致软流圈地幔和上覆地壳接触[9].而这两种观点都涉及到了晚中生代以来软流圈物质的大范围上涌[3].NCC 东部最大的上地幔剪切带-郯庐断裂带被认为是软流圈物质上涌的通道[10],Chen等利用P波接收函数偏移成像得到郯庐断裂带下方岩石圈,软流圈边界(LAB)深度精细变化,发现LAB呈现出穹顶状的结构,最浅部的顶点位于郯庐断裂带下方[11],这可能是软流圈物质上涌破坏岩石圈的有力佐证.
接收函数是目前获得地震台站下方间断面深度的最有效手段,它是利用远震入射到台站下方的Ps或Sp转换波来探测地下速度间断面[12].因此,P 波接收函数在研究地壳波速结构、莫霍面深度、地幔过渡带结构等方面得到了广泛的应用,但是由于多次波的干扰P 波接收函数很难确定LAB 的深度,因此我们借鉴前人提取S波接收函数的方法[13],利用共转换点叠加成像(CCP)技术[14],获得地震台站下方LAB的深度变化.
2 区域构造概况NCC 东部地区覆盖着一系列中新生代沉积盆地,统称为华北盆地,其南北边界分别为内蒙古-燕山造山带和秦岭-大别山造山带;西侧为山西断陷带,东部则是郯庐断裂带将华北盆地与胶东隆起分开[3];华北盆地中部为鲁西隆起(图 1).
|
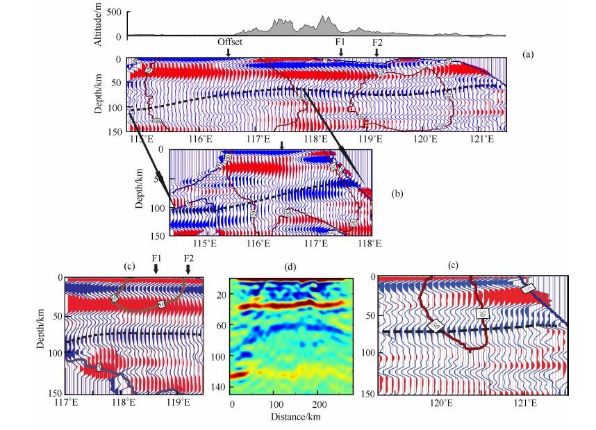
图 1 NCC 东部地区地质构造背景和台站分布 红色三角为北京大学所布台站,蓝色三角为中国科学院地质与地球物理研究所布设台站(NCISP);黄色圆点为P 波接收函数在深度35km 处的出射点,紫色圆点为S波接收函数在深度70km 处的出射点;A-A′为P波接收函数偏移成像时所截剖面,B-B′为S波共转换点叠加时所截剖面;C-C′为Chen[11]利用P波接收函数获得研究区LAB深度的剖面;F1、F2为郯庐断裂带两支;箭头所指处为图 4中莫霍面跃变的位置.左下角插入图为NCC东部地质构造背景,UHPM 为苏鲁大别山超高压变质带北缘;NSGL 为南北重力梯度带;黑色圆块为沿郯庐断裂带喷溢的新生代玄武岩.左上角插入图为P波接收函数所用事件全球分布;右上角插入图为S波接收函数所用事件全球分布.HB:华北盆地,QD:青岛地区,TL:郯庐断裂带,LX:鲁西隆起,CB:新生代玄武岩. Fig. 1 Tectonics in east part of North China Craton (NCC) and seismic stations distribution in the study region Red and blue triangles are portable stations from PKU and Institute of Geology and Geophysics, Chinese Academy of Sciences (NCISP),respectively ; Yellow dots denote the piercing points at 35 km depth for P-to-S converted phases, while purple ones denote S-to-P piercing points at 70 km depth; A-A; is P-to-S migration profile and B-B; is S-to-P CCP profile, both two profiles traverse Tanlu Faults Zone (F1,F2) ; The C-C' denotes the profile that Chen[n] used P wave receiver functions migration method to get the depth of LAB in the study region.The location of Moho depth jump, as shown in Fig.4 is also marked (black arrow).The bottom inset on the left shows the tectonic setting of the study region.UHPM: north part of Sulu-Dabie ultrahighpressure metamorphic belt; NSGL: North-South gravity- gradient line; Black solid circles denote Cenozoic basalts.The top inset on the lett illustrates the distribution of teleseismic events used in P-to-S migration, and ts counterparter on the right shows the events used in S-to-P CCP.HB: Huabe i Basin, QD: Qingdao region, |
鲁西隆起区与华北盆地区具有相同的结晶基底,新生代以来华北盆地和鲁西隆起构造演化过程发生显著的分异作用[15].华北盆地基底在新生代发生大幅度伸展裂陷,后转入裂陷后的热沉寂时期.鲁西隆起中新生代进入强烈的地壳运动时期,发育典型的幔源岩浆活动,中生代侵入岩分布十分广泛,类型多样[16].新生代岩浆主要为辉绿岩和玄武岩,通过对捕虏体的研究表明新生代以来该区又有一次地幔局部熔融、侵入、上涌的过程[17-18].郯庐断裂带是中国东部地区一条规模巨大的北北东向深大断裂,纵贯华北盆地东部,横穿了不同地质构造单元,在中、新生代盆地变形、变位过程中扮演了重要的角色.中生代时期郯庐断裂是一条强烈的左旋走滑断层或断裂系,新生代以来却表现出强烈的挤压性质兼有右旋走滑特点,反映了中国大陆东部自新生代以来构造应力场的变化[3].郯庐断裂带东部的青岛地区属于大别-苏鲁超高压变质带的北东缘(图 1).大别-苏鲁超高压变质带是北中国板块和扬子板块俯冲碰撞的产物,在地表形成最厚达10km 的超高压变质岩带[19-20].
为了进一步得到NCC 东部更大范围的地壳与上地幔间断面结构,深刻了解新生代以来鲁西隆起的隆升原因与机制,更加充分地认识NCC 东部上述三大地质构造体之间的作用、关系,我们利用北京大学和中国科学院地质与地球物理研究所在NCC东部地区布设的一条东西向宽频带地震测线得到的数据,分析NCC 东部横穿华北盆地、鲁西隆起、青岛地区东西走向约600km 范围内地壳与上地幔结构分布.
3 资料来源及处理方法本文使用的天然地震记录数据来自两部分:在2009-2010 年期间北京大学在华北盆地鲁西隆起东、西缘布设的21台宽频带数字地震仪(图 1中红色三角)和在2001-2003年期间中国科学院地质与地球物理研究所在鲁西隆起、郯庐断裂带布设的13台宽频带数字地震仪(图 1 中蓝色三角).台站间距约为10~15km, 走向为近东西向分布.
我们采用时域迭代的方法得到各台站下方的接收函数[21],选取初动前15s, 初动后60s的时间窗截取震相.对于P波接收函数,选取了震级大于5.5级,震中距为30°~90°的地震.对原始数据进行0.1~2.5Hz的带通滤波,去除低频和高频信号,采用信噪比较好的数据,将原始三分量转换到垂向、径向、切向,选取垂向和径向都有清晰震相的记录.在接收函数的计算中,我们选取α 为5 的低通高斯滤波器,水准因子选取0.001,经过挑选得到1549 条接收函数记录,图 1左上角插入图为本文P 波接收函数所用地震事件的全球分布.
对于S波接收函数,选择震中距为50°~80°的地震,将三分量转到垂向、径向、切向后,去除自由表面的影响,将记录还原到上行的P 波方向和S波方向[22],然后对记录进行0.03~0.4 Hz的带通滤波,选取α 为1.5.反转S波接收函数的时间轴,使转换波位于时间轴的正向,并对其振幅进行反转,使正向的振动表示了速度随深度增加的界面.最终得到495条有效记录,图 1 右上角插入图为本文S 波接收函数所用地震事件的全球分布.
本研究采用接收函数偏移成像的方法研究台站下方地壳和上地幔间断面结构.利用Wilson发展的基于克希霍夫偏移理论的方法对莫霍面深度进行成像,并进一步利用多次波Ppps、Psps+ppss成像并与Pms的成像结果进行对比,提高了对莫霍面深度的约束能力[23].在二维情况下克希霍夫偏移积分公式为:
|
(1) |
式中u(x,z) 和u(xin, z=0) 分别为地下和地表处的波场,1/vr为波传播的几何扩散因子,Str(θ)为倾角因子,对于Pms波,θ 为散射波与直达波之间的夹角,其修正了入射波在不同方向上的散射强度.将上式线性化后通过求解关系式d=Gm即可解得模型中散射点的强度m,其中矩阵G可由给定的速度模型和射线参数得到,d为观测数据,图 2为部分台站P波接收函数动校正后叠加并归一化之后的结果.华北盆地内(台站SW01-SW07)由于巨厚沉积层的影响P波直达波有明显的延时,大致勾勒出盆地的形状,同时Pms波信号较弱,而且多次波几乎不可见.而在剖面最东边的青岛地区Pms和多次波都比较清晰.
|
图 2 部分台站P波接收函数动校正后叠加并归一化结果 纵坐标为台站名,入射P波在Moho面的转换波及其多次波分别标为Pms和Ppps, 位于青岛地区的台站Pms波和Ppps都较为清晰,而位于华北盆地的台站由于受到较厚的沉积层的影响Pms波和Ppps较弱,且直达P波有明显的延时. Fig. 2 Moveout-corrected receiver functions at some stations Vertical coordinate denotes station names; Coverted (Pms) and multiple converted phases (Ppps) at Moho are clearly in Qingdao region while due to the impact of thick sediment n Huabet Basin Pms and Ppps are all weak, and the direct P waves in Huabei Basin are also delayed. |
S波受P 波尾波影响噪音较大,可用的远震记录数目远小于P 波接收函数的事件,所以我们在S波接收函数成像中采用了CCP偏移方法:将S波接收函数动校正到理论射线路径上,在不同深度叠加落入bin中的数据.由于S波的入射点较为分散,成像的LAB将是更大范围内平滑的结果.
4 华北克拉通东部地壳与上地幔间断面 4.1 P接收函数波偏移成像偏移成像采用的模型取自CUB 全球模型的差值结果[24],并考虑了台站的高程影响.图 3a为利用Pms转换波偏移成像结果,结果显示华北盆地内莫霍面深度约为40km, 到鲁西隆起下方莫霍面上升到约30km, 莫霍面上升范围大致对应于华北盆地和鲁西隆起的交界处的聊考断裂.而在青岛地区莫霍面深度在30~40km 的范围内变化.图 3b 为Ppps多次波偏移结果,对比图 3a得到的莫霍面深度,在鲁西隆起、郯庐断裂带、青岛地区内部两者成像深度较为一致,而在华北盆地内Ppps偏移成像的莫霍面结果比Pms偏移成像的莫霍面结果要浅约5km.
|
图 3 P波接收函数偏移成像莫霍面的结果 (a)Pms转换波偏移成像结果,上方为地表地形.F1、F2 为郯庐断裂带;(b)Ppps多次波偏移成像的结果.箭头所对应的下方Moho面上升约10km, 在华北盆地区,P波直达波大致勾勒出沉积层的形状.(c)在盆地区对速度模型进行沉积层修正后偏移的结果,对黑线以西的区域我们在地表加上如表 1的速度模型,黑线以东的区域仍然使用CUB模型. Fig. 3 P-to-S migration images The migration images for line A-A;, (a) for Pms and (b) for Ppps.F1 and F2 denote Tanlu Fautt Zone ,and tt seems that the faults havecut through Moho.Arrows indicate a 10-km-jump at Moho, that Moho depth is about 40 km in Huabei Basin and about 30 km in LuxiUplitt, and the jump roughly corresponds to Liaokao fault.(c) Pms and Ppps migration images for the Huabei Basin with modified velocity model. |
华北盆地内存在较厚的约5km 的沉积层,图 3a受沉积层影响直达波的延迟清晰可见,大致勾勒出凹陷盆地的形态,台站SW01-SW07位于华北盆地沉积层上.为了探讨较厚的沉积层对接收函数偏移成像得到的莫霍面的结果的影响,我们对盆地区的CUB插值速度模型进行了修正,加入了5km 厚的沉积层[25],改正的速度模型见表 1.偏移成像的结果见图 3c,黑线以西的区域为使用修正后模型的偏移成像结果,黑线以东的区域仍使用CUB 模型.模型修正后的Pms转换波偏移成像结果显示盆地区莫霍面深度约为32km, 而在Ppps多次波偏移成像的结果中我们未观测到清晰的莫霍面深度分布.
|
|
表 1 华北盆地地表沉积层速度模型 Table 1 Velocity model for stratified sediments in Huabei Basin |
鲁西隆起内由于台站分布较少的缘故,有些地区莫霍面没有清晰成像.郯庐断裂(F1、F2)下方莫霍面出现5km 范围的深度变化,莫霍面有明显错断,提供了郯庐断裂带切穿莫霍面的证据,进而支持前人提出的郯庐断裂带为岩石圈尺度的中国东部大断裂带,并且大量对地幔包体的研究也显示新生代郯庐断裂已切入上地幔[26].另外郯庐断裂带下方地壳内存在高、低速层相间的现象,显示出复杂的波速变化.我们推测郯庐断裂穿过莫霍面,可能为软流圈物质上涌提供通道.
青岛地区下方莫霍面深度变化剧烈,在30~40km的范围内起伏震荡,并在东部有加深的趋势,显示出与郯庐断裂带西侧不同的构造形态.青岛地区属于苏鲁-大别山超高压变质带的北缘,因此该地区的地壳演化史可能与华北盆地区和鲁西隆起区不同.
4.2 S波接收函数CCP成像如上文所述,P波接收函数在应用到LAB 成像时需要考虑多次波的影响,应用范围受到很大限制,但是Chen等在考虑到不同情况下Pms波和多次波的差异,利用新发展的P波接收函数Wave-Quation偏移方法成功地得到了鲁西地区(图 4c对应区域)LAB深度[11],现在我们利用S 波接收函数偏移成像剖面B-B′的LAB 深度,对比Chen 的结果,将更进一步约束整个区域的LAB 深度变化范围(见图 4a).
|
图 4 S波接收函数共转换点叠加成像LAB的结果 (a)研究区完整结果,(b)为(a)箭头所指的华北盆地和鲁西隆起部分地区的LAB成像结果,(c)为郯庐断裂带下方LAB 的成像,F1、F2为郯庐断裂,图中的数字代表了射线数量分布;(d)为(c)对应区域Chen利用P波接收函数得出的LAB的结果[11],横坐标为Chen原图中剖面的坐标;(e)青岛地区下方LAB的成像结果;offset为图 3莫霍面跃变处对应的位置. Fig. 4 S-to-P CCP images The depth of LAB in the study region is less than 100 km(a),and beneath the basin-uplitt boundary (b) the LAB depth changes fromabout 80 km in Huabei Basin to about 60 km in Luxi uplitt.In Tanlu Fault Zone (c),LAB displays an arc-like shape which s smilar to Chen's results [11] (d).LAB seems to be shallower beneath the Qingdao region (e).F1 and F2 denotes the Tanlu fault.The numbers inimages denote ray pathes number. |
图 4b包括了华北盆地和鲁西隆起西部,在东经115°-116.5°一百多公里的范围内LAB 从华北盆地西部约100km 上升到鲁西隆起约60km, 并在鲁西隆起东部地区有进一步上升的趋势,在东经114°-115.5°、117°-117.5°处对应于LAB 深度的波形出现了两个峰值,这可能是由于CCP 的固有缺陷,即在界面深度变化地区成像较差所致[14].
图 4c对应于Chen[11]利用P 波接收函数得到的结果(图 4d),图 1中C-C′剖面标示了Chen所用剖面的位置,Chen的结果显示LAB呈隆起型,深度约为60~80km, 在郯庐断裂附近隆起达到最浅处.我们的结果与Chen用P波接收函数得到的结果较一致,LAB 深度同样在60~80km 处,隆起顶部大致位于鲁西隆起下方.
图 4e为青岛地区下方的LAB 深度,由西到东深度进一步减少,最深处为75km, 最浅处到达60km, 在东部LAB最浅处,LAB 的Smp转换波与莫霍面转换波的旁瓣叠加在一起.图 4a为整个剖面完整的结果,可以看到LAB呈西深东浅的形态,在华北盆地西部最深达到100km, 而到胶东隆起东部的东海内岩石圈厚度减薄到60km.并在鲁西隆起中部和胶东隆起的东部形成两个隆起的峰值.由于整个剖面中华北盆地区的信号较其他地区弱,我们将4b的结果对应于整体剖面上,以期保持剖面的完整性.S波对于莫霍面的成像结果较差,但仍可以看出其深度约30km, 对比P波偏移结果,误差范围为5~10km, 这样我们也可以粗略地估计对比P 波的结果和S波得出的LAB 的误差范围为5~10km, 但是由于LAB 的Sp 转换波周期要大于莫霍面的转换波,这个误差范围将可能进一步扩大.
4.3 泊松比分布利用倾斜叠加的方法可以得到每个台站下方的莫霍面(Moho)深度和波速比.本文选取转换波和多次波都较为清晰的远震记录参与计算,由于缺乏研究区P波波速随深度分布的模型,我们利用前述偏移方法得出的莫霍面深度进行约束,选取不同的初始模型,得到台站下方的莫霍面深度H和波速比κ[27-28].图 5a为台站SE08 和063 的H-κ 搜索叠加结果,红色十字为搜索过程的最优点,误差估计采用了bootstrap方法.最终得到对应于22 个台站的有效结果,由于沉积层的影响,位于华北盆地内的台站没有得到有效的波速比.然后利用如下公式:
|
(2) |
|
图 5 倾斜叠加获得泊松比的结果 (a)台站SE08和063倾斜叠加的结果示意图,红色五角星为最终搜索得到的结果,蓝色星号为bootstrap搜索结果,灰度代表了搜索的等值线;(b)得到的鲁西隆起和青岛地区地壳平均泊松比,F1、F2为郯庐断裂带. Fig. 5 Possion's ratio from Slant-Stack (a) Stacking results using H~K analysis in station SE08 and 063.Red stars denote the final results; (b) Distribution ofcrustal Poisson's ratios inLuxi Uplitt and Qingdao region.F1 and F2 are Tanlu Fault Zone. |
估计沿剖面台站下方地壳平均泊松比,结果显示如图 5b.鲁西隆起内(台站103-051)泊松比较高,变化也较为平缓,都大于0.27.郯庐断裂带(台站045-021)泊松比出现一定起伏变化,从最低的0.269(台站027)上升到0.297(台站021),略大于鲁西隆起的值.而胶东隆起内(台站SE01-SE09)变化幅度最为剧烈,本研究的整个剖面中的泊松比最大、最小值均出现在胶东隆起内.
地壳内部平均泊松比作为了解地壳内部介质一个非常重要的参数[29],可以对地壳内部物质的的成分给出一定的约束[30].根据Zandt的研究结果[29],上地壳的泊松比值一般要小于下地壳的泊松比值,当上地壳的泊松比的取值在0.27~0.28时,下地壳的泊松比值应当大于0.28.对于下地壳而言高的泊松比可以用较高的温度和围压来解释,或者预示着下地壳富含铁镁质成分.由于受台站的数量和分布所限我们无法得到整个区域大范围的泊松比分布,但现有的结果依然显示了不同区域泊松比的变化具有不同的特点.鲁西隆地区得到的较高且较为均匀的泊松比分布似乎预示着下地壳经历过幔源岩浆的大规模侵入.青岛地区泊松比的强烈变化表明该地区与鲁西隆起经历了不同的构造演化过程.
5 结论和讨论通过对NCC 东部接收函数的研究我们获得了沿台阵剖面的华北盆地、鲁西隆起和青岛地区地壳和岩石圈间的精细结构,我们发现LAB由华北盆地下方的~100km 深度上升到鲁西隆起的~60km深度,在鲁西隆起下方形成穹顶状的拱起,其最高(浅)处大致对应于郯庐断裂带下方,这一结果与Chen用P波接收函数得到的结果一致[11],LAB 在青岛地区同样具有拱起的形态,维持在60km 深度,并向东有进一步减薄的趋势.莫霍面由华北盆地下方的大于30km 上升到鲁西隆起下方的~30km, 上升区大致对应于聊考断裂,莫霍面呈拱起型.并且在郯庐断裂带下方莫霍面也有明显的错断,提供了郯庐断裂带切穿莫霍面的证据,支持前人关于郯庐断裂带为岩石圈尺度的中国东部大断裂带的认识.虽然受台站的数量所限无法得到整个区域的泊松比变化,但依然可以从有限资料中观察到鲁西隆起地区和青岛地区泊松比变化差异较为明显,鲁西隆起泊松比较高,且变化较为平缓,在郯庐断裂带达到最高;而郯庐断裂带以东的青岛地区泊松比变化非常剧烈,表明该地区作为苏鲁-大别超高压变质带的北缘经历了更为复杂的地质构造演化过程.
中、新生代以来华北盆地和鲁西隆起构造演化上发生显著的分异作用,鲁西隆起经历了强烈的地壳运动,中、新生代都存在幔源玄武岩的喷溢和侵入.鲁西新生代玄武岩包括了拉斑玄武岩和碱性玄武岩,对镁铁质包体和巨晶的研究表明,包体来源于上地幔58~82km 深度范围,这些证据都表明新生代以来该区又有一次上地幔局部熔融、上涌的过程[9, 17].我们推断新生代以来,郯庐断裂带的发育和构造活动促进了上地幔局部熔融和软流圈物质局部上涌,使得郯庐断裂带下方的岩石圈形成局部的拱起,最浅处达~60km.软流圈物质局部上涌和大规模幔源岩浆的侵入将鲁西隆起抬升约5km(如图 6),其中郯庐断裂和聊考断裂可能提供了幔源岩浆侵入的通道,同时大规模幔源岩浆的侵入形成该地区地壳普遍较高的泊松比.而青岛地区起伏变化的莫霍面和泊松比可能与苏鲁-大别山超高压变质带有关,还有待于进一步研究.
|
图 6 华北克拉通东部地壳、上地幔结构 红色箭头代表了新生代以来该区地幔局部熔融和上涌的过程. Fig. 6 Schematic crust and upper mantle structures in east part of North China Craton Red arrows represents the process of partial melting and upwelling since Cenozoic in this region. |
作者向参与北京大学流动地震台阵的架设、数据采集工作的北京大学“地震大地构造学研究小组"的同学和老师表示衷心的感谢.感谢中国科学院地质与地球物理研究所“流动地震台网中心"为本研究提供地震波形数据.
| [1] | Liu D Y, Nutman A P, Compston W, et al. Remnants of ≥ 3800 Ma crust in the Chinese part of the Sino-Korean craton. Geology , 1992, 20(4): 339-342. DOI:10.1130/0091-7613(1992)020<0339:ROMCIT>2.3.CO;2 |
| [2] | Ren J Y, Tamakib K, Li S, et al. Late Mesozoic and Cenozoic rifting and its dynamic setting in Eastern China and adjacent areas. Tectonophysics , 2002, 344(3-4): 175-205. DOI:10.1016/S0040-1951(01)00271-2 |
| [3] | Xu Y G, Chuang S L, Ma J L, et al. Contrasting Cenozoic lithospheric evolution and architecture in the western and eastern Sino-Korean craton: Constraints from geochemistry of basalts and mantle xenoliths. The Journal of Geology , 2004, 112(5): 593-605. DOI:10.1086/422668 |
| [4] | Gao S, Rudnick R L, Yuan H L, et al. Recycling lower continental crust in the North China craton. Nature , 2004, 432(7019): 892-897. DOI:10.1038/nature03162 |
| [5] | 周新华. 中国东部中、新生代岩石圈转型与减薄研究若干问题. 地学前缘 , 2006, 13(2): 50–64. Zhou X H. Major transformation of subcontinental lithosphere beneath eastern China in the Cenozoic-Mesozoic: review and prospect. Earth Science Frontiers (in Chinese) , 2006, 13(2): 50-64. |
| [6] | Chen L, Tao Wang, Zhao L, et al. Distinct lateral variation of lithospheric thickness in the northeastern North China Craton. Earth and Planetary Science Letters , 2008, 267(1-2): 56-68. DOI:10.1016/j.epsl.2007.11.024 |
| [7] | 吴福元, 葛文春, 孙德有, 等. 中国东部岩石圈减薄研究中的几个问题. 地学前缘 , 2003, 10(3): 51–60. Wu F Y, Ge W C, Sun D Y, et al. Discussions on the lithospheric thinning in eastern China. Earth Science Frontiers (in Chinese) , 2003, 10(3): 51-60. |
| [8] | Menzies M A, Fan W M, Zhang M. Palaeozoic and Cenozoic lithoprobe and the loss of >120 km of Archean lithosphere, Sino-Korean craon, China. // Magmatic processes and plate tectonics. 1993: 10. |
| [9] | 吴福元, 孙德有. 中国东部中生代岩浆作用与岩石圈减薄. 长春科技大学学报 , 1999, 29(4): 313–318. Wu F Y, Sun D Y. The Mesozoic magmatism and lithospheric thinning in eastern China. Journal of Changchun University of Science and Technology (in Chinese) , 1999, 29(4): 313-318. |
| [10] | Xu Y G, Chung S L, Ma J L, et al. Contrasting Cenozoic lithospheric evolution and architecture in the western and eastern Sino-Korean Craton: constraints from geochemistry of basalts and mantle xenoliths. The Journal of Geology , 2004, 112(5): 593-605. DOI:10.1086/422668 |
| [11] | Chen L, Zheng T Y, Xu W W. A thinned lithospheric image of the Tanlu Fault Zone, eastern China: Constructed from wave equation based receiver function migration. Journal of Geophysical Research , 2006, 111: B09312. DOI:10.1029/2005JB003974 |
| [12] | Langston C A. Structure under mount rainier, Washington, inferred from teleseismic body waves. Journal of Geophysical Research , 1979, 84(Nb9): 4749-4762. DOI:10.1029/JB084iB09p04749 |
| [13] | Yuan X H, Kind R, Li X Q, et al. The S receiver functions: synthetics and data example. Geophysical Journal International , 2006, 165(2): 555-564. DOI:10.1111/gji.2006.165.issue-2 |
| [14] | Dueker K G, Sheehan A F. Mantle discontinuity structure from midpoint stacks of converted P to S waves across the Yellowstone hotspot track. Journal of Geophysical Research , 1997, 102(B4): 8313-8327. DOI:10.1029/96JB03857 |
| [15] | 李理, 钟大赉, 时秀朋. 鲁西隆起和济阳凹陷新生代隆坳耦合关系. 地质学报 , 2007, 81(9): 1215–1228. Li L, Zhong D L, Shi X P. Cenozoic uplifting/subsidence coupling between the West Shandong Rise and the Jiyang Depression, Northern China. Acta Geologica Sinica (in Chinese) , 2007, 81(9): 1215-1228. |
| [16] | 张锡明, 张岳桥, 季玮. 山东鲁西地块断裂构造分布型式与中生代沉积-岩浆-构造演化序列. 地质力学学报 , 2007, 13(2): 163–172. Zhang X M, Zhang Y Q, Ji W. Fault distribution patterns of the Luxi block, Shandong, and Mesozoic sedimentary-magmatic-structural evolution sequence. Journal of Geomechanics (in Chinese) , 2007, 13(2): 163-172. |
| [17] | 邱瑞照, 邓晋福, 周肃, 等. 华北地区岩石圈类型: 地质与地球物理证据. 中国科学 D辑 地球科学 , 2005, 48(11): 1809–1827. Qiu R Z, Deng J F, Zhou S, et al. Lithosphere types in North China-Evidences from geology and geophysics. Science in China (Ser| D) (in Chinese) , 2005, 48(11): 1809-1827. |
| [18] | 牛树银, 胡华斌, 毛景文, 等. 鲁西地区地质构造特征及其形成机制. 中国地质 , 2004, 31(1): 34–39. Niu S Y, Hu H B, Mao J W, et al. Structure in western Shandong and its genetic mechanism. Acta Geologica Sinica (in Chinese) , 2004, 31(1): 34-39. |
| [19] | 许志琴, 张泽明, 刘福来, 等. 苏鲁高压-超高压变质带的折返构造及折返机制. 地质学报 , 2003, 77(4): 433–450. Xu Z Q, Zhang Z M, Liu F L, et al. Exhumation structure and mechanism of the Sulu ultrahigh-pressure metamorphic belt, Central China. Acta Geologica Sinica (in Chinese) , 2003, 77(4): 433-450. |
| [20] | 杨文采, 程振炎, 陈国九, 等. 苏鲁超高压变质带北部地球物理调查(I)——深反射地震. 地球物理学报 , 1999, 42(1): 41–52. Yang W C, Cheng Z Y, Chen G J, et al. Ceophysical investigations in northern Sulu UHPM belt, part I: deep seismic reeflection. Chinese J|Geophys| (in Chinese) , 1999, 42(1): 41-52. |
| [21] | Ligorría J P, Ammon C J. Iterative deconvolution and receiver-function estimation. Bulletin of the Seismological Society of America , 1999, 89(5): 1395-1400. |
| [22] | Kennett B L N. The removal of free surface interactions from three-component seismograms. Geophysical Journal International , 1991, 104(1): 153-154. DOI:10.1111/gji.1991.104.issue-1 |
| [23] | Wilson D, Aster R. Seismic imaging of the crust and upper mantle using regularized joint receiver functions, frequency-wave number filtering, and multimode Kirchhoff migration. Journal of Geophysical Research , 2005, 110: B05305. DOI:10.1029/2004JB003430 |
| [24] | Shapiro N M, Ritzwoller M H. Monte-Carlo inversion for a global shear-velocity model of the crust and upper mantle. Geophysical Journal International , 2002, 151(1): 88-105. DOI:10.1046/j.1365-246X.2002.01742.x |
| [25] | Zhao L, Zheng T Y, Xu W W. Modeling the Jiyang depression, northern China, using a wave-field extrapolation finite-difference method and waveform inversion. Bulletin of the Seismological Society of America , 2004, 94(3): 988-1001. DOI:10.1785/0120030167 |
| [26] | 朱光, 牛漫兰, 宋传中, 等. 郯庐断裂带新生代的上地幔剪切作用与火山活动. 安徽地质 , 2001, 11(2): 106–112. Zhu G, Niu M L, Song Z Z, et al. Upper mantle shearing and volcanic activities along the Tan-lu fault zone in Cenozoic. Geology of Anhui (in Chinese) , 2001, 11(2): 106-112. |
| [27] | Zhu L P, Kanamori H. Moho depth variation in southern California from teleseismic receiver functions. Journal of Geophysical Research , 2000, 105(B2): 2969-2980. DOI:10.1029/1999JB900322 |
| [28] | Owens T J, Zandt G. Implications of crustal property variations for models of Tibetan plateau evolution. Nature , 1997, 387(6628): 37-43. DOI:10.1038/387037a0 |
| [29] | Zandt G, Ammon C J. Continental crust composition constrained by measurements of crustal Poisson's ratio. Nature , 1995, 374(6518): 152-154. DOI:10.1038/374152a0 |
| [30] | 许卫卫, 郑天愉. 渤海湾盆地北西盆山边界地区泊松比分布. 地球物理学报 , 2005, 48(5): 1077–1084. Xu W W, Zheng T Y. Distribution of Poisson's ratios in the northwestern basin-mountain boundary of the Bohai Bay Basin. Chinese Journal of Geophysics (in Chinese) , 2005, 48(5): 1077-1084. |
2012, Vol. 55


