2. 解放军61741部队, 北京 100094
2. Unit 61741 of PLA, Beijing 100094, China
电离层TEC 是电离层领域重要参量之一,它能够显著地影响星地链路无线电波的传播,特别是对卫星导航系统(如GPS,GLONASS,GALILEO 和COMPASS 等)产生干扰,影响其导航、定位的精度.目前已有多种手段可以获取电离层TEC,其中应用最为广泛的是使用GPS 解算观测站的电离层TEC 信息,然后通过不同的方法基于GPS 观测网获取电离层TEC 地图[1].而电离层NmF2 为电离层电子密度剖面的峰值大小,对应于最高可使用频率foF2,在远距离通信领域有着极其重要的应用.目前主要通过电离层垂测仪探测该参数,此外掩星、非相干散射雷达等也能够获取电离层NmF2 信息.TEC和NmF2 这两个电离层参量之间存在一定的关联性[2-3],而电离层板厚能够将两者紧密地联系起来.对电离层板厚进行研究具有重要的意义:一方面,电离层板厚与标高、中性大气温度等参量有很好的相关性,能够基本反映电离层以及热层的一些信息[4-8];另一方面,电离层板厚在工程技术与空间物理研究方面也有重要意义[9].
电离层板厚包含了电离层以及等离子体层的众多信息,与电离层电子密度剖面形状有关.早在20世纪60 年代,Wright[10]、Mahajan 等[11]和Bhonsle等[12]就已经开展了这方面的研究工作;此后研究人员利用各种观测资料研究了赤道、低纬、中纬以及高纬地区电离层板厚的变化特征[11-18];近年来,Jayachandran等[19]、Jin等[20]以及Stankov等[21]对电离层板厚的气候学特征以及监测和建模进行了较为细致的研究,得出了一些有益的结论.国内方面,刘选谋[22]利用新乡以及重庆接收的EST-II信标资料,研究了我国中纬地区上空1981-1985年电离层板厚的变化特征,分析了其日变化与太阳黑子数的线性关系;吴健等[23]利用EST-II卫星136 MHz信标探测的TEC 月中值以及foF2 数据,建立了新乡电离层板厚模式,并同国际参考电离层模式(IRI)以及中国参考电离层(CRI)进行了比较研究;熊波等[9]利用武汉站1980-1990年EST-II卫星信标的法拉第旋转测量的电离层TEC 数据以及测高仪探测的foF2 数据,分析了电离层板厚的季节变化特征,认为板厚主要分布在200~800km 之间,07:00-18:00LT变化幅度较小,而其它时段的变化幅度较大,并且具有不同的季节分布特性.
以往使用的电离层TEC 大多采取单颗卫星信标的探测结果,在将斜TEC 转化成测站天顶方向垂直TEC 时会产生一定的误差,并且观测的时间仅限于信标卫星过境时段,因此电离层TEC 数据的质量和数量都受到了许多限制.本文使用雅典站GPS探测的电离层TEC 以及垂测仪观测的foF2 数据进行研究,GPS/TEC 的误差一般为0~2TECU[24],时间跨度为5年.Belehaki等[25]曾利用该站数据初步研究了2001年1-6月电离层板厚的日变化特征,发现1-3月份出现了黎明峰,而4-6月日变化则相对较小,鉴于使用数据的数量有限,没有能够完整地分析电离层板厚的季节变化特征及其与太阳活动的关系.我们主要研究电离层板厚的日变化、季节变化特征以及与太阳活动的关系,重点探讨了电离层TEC 和NmF2 变化对电离层板厚黎明峰和日落峰结构形成的作用情况.
2 数据介绍本文使用的电离层数据均由ISARS(Institute for Space Applications and Remote Sensing, National Observatory of ATHENS)提供,数据时间跨度为2001年1月1日至2005年12月31日,时间分辨率均为30min.其中,电离层TEC数据由地基GNSS接收设备观测得到,NmF2 由雅典站(38.0°N,23.5°E)地基垂测仪观测结果计算得到.
文中将涉及到季节的划分,根据Athens站的位置特征,我们将12、1、2月定为冬季,3-5月为春季,6-8月为夏季,9-11月为秋季.
剔除缺失和野值之后,共有78771组数据,数据的季节分布如表 1 所示,可以看出本文用于统计分析的样本数量分布较为均匀,数据的完整率(已有数据/应有数据)全部在80%以上,总的完整率可以达到近90%,因此数据的质量可以保证统计分析结果的可靠性.
|
|
表 1 不同年份/季节数据量分布 Table 1 Distribution of the samples in different years and seasons |
文中电离层板厚τ 定义为TEC 与NmF2 的比值,即
|
(1) |
式中,τ单位为m, TEC单位为m-2,NmF2 单位为m-3.NmF2 为电离层最大电子密度,可以用foF2 转换得到,即
|
(2) |
式中,foF2 的单位为MHz.
本文在统计电离层参数(TEC、foF2 以及τ)同太阳活动的相关关系时,使用F10.7P来表征太阳活动水平的高低,已有的一些研究[26-27]表明使用F10.7P指数研究太阳和电离层关系时更具有优势.
F10.7P = (F10.7+F10.7A)/2,
F10.7A为F10.7指数81天滑动平均值.太阳F10.7数据来源于NGDC(National Geophysical Data Center, http://www.ngdc.noaa.gov).
3 结果与分析图 1给出了1997-2007年间太阳活动F10.7P指数分布情况,由图中可以看出2001-2005年处于第23太阳活动周高年及下降阶段,2001 年间达到了一个极小值,但随后2002年太阳活动水平再次升高,成为该太阳活动周高年.2001-2005 年间太阳F10.7P指数的范围大部分处于70~250 之间,有利于研究电离层板厚与太阳活动的关系.
|
图 1 1997-2007年太阳活动F10.7P指数 Fig. 1 Solar F10.7P indexes during 1997-2007 |
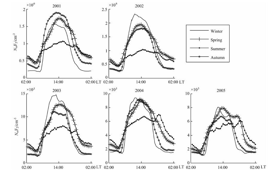
图 2给出了2001-2005年电离层TEC 在不同季节随时间变化情况,从图中可以看出电离层TEC具有显著的日变化特征,在4:00-5:00LT 左右达到最小,2001-2005 年季节平均最小值分别为9.6TECU、9.8TECU、6.4TECU、5.7TECU、5.6TECU;随着太阳天顶角的减少,TEC 呈现快速的增长,太阳活动高年期间(2001和2002年)14:00LT 左右达到最大,而太阳活动下降期间(2003-2005年)最大值一般出现在13:00LT,2001-2005年季节平均最大值分别为59.4TECU、68.8TECU、32.3TECU、27.4TECU、19.1TECU;午后电离层TEC 开始逐渐减少,随着太阳活动水平的下降,午后TEC 减少速度逐渐放缓,例如2001 年春季18:00LT 电离层TEC 已经减少到最大值的60%左右,而2005 年春季和夏季20:00LT 电离层TEC 仍然维持在较高的水平,仅比最大值减少约9%;除了夏季以外,其它季节的电离层TEC 以13:00-14:00LT 为中心呈现近似的对称日变化特征.
|
图 2 Athens台站2001-2005年电离层TEC 在各个季节月中值随地方时变化 Fig. 2 Seasonal median of ionospheric TEC at Athens during 2001-2005 with local time |
从图 2还可以看出电离层TEC 具有一些季节分布特性,其中在2001年春秋季节TEC 达到极大值,夏季夜间的数值高于冬季,但是白天出现“冬季异常"现象,即冬季的数值高于夏季,这个现象在2002年表现更加明显,白天的电离层TEC 在冬季甚至比夏季高出约100%,而其它年份电离层TEC的季节形态变化较为复杂,并没有呈现较为一致的变化规律;夏季白天电离层TEC变化趋势较为平缓,午后至日落前变化不大,几乎维持在同一水平.
图 3为2001-2005年电离层NmF2 不同季节随时间变化情况,日变化和季节变化特征同电离层TEC 基本一致,但又具有一些其它的分布特性:冬季电离层NmF2 最大值出现的时间早于其它三个季节,一般出现在12:00-13:00LT;夏季夜间NmF2在所有年份均最大,且昼夜变化最小,2001-2005年白天和夜间的比值约为3/2,并且在20:00LT 附近出现一天中的另一个极大值,2004 和2005 年表现的最为明显,该极大值甚至成为一天中的最大值;所有年份白天均出现“冬季异常"现象,并且太阳活动水平越高,异常程度越明显,例如活动最高年(2002 年)冬季白天最大值高出夏季白天最大值约130%.
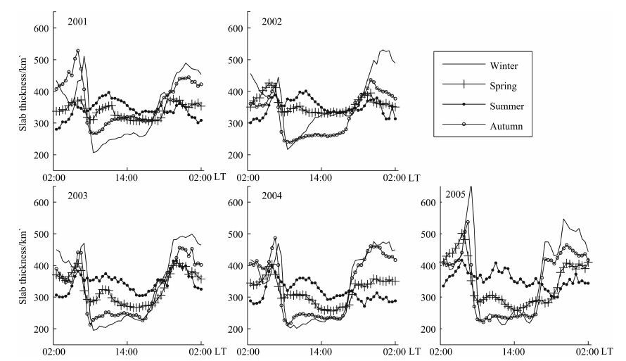
利用公式(1)计算电离层板厚τ 在2001-2005年各个季节随时间的分布如图 4 所示.从图中可以看出,τ 主要分布在200~600km 之间,平均值大约为350km, 日间数值在200~350km 之间变化,夜间在300~600km 范围变化;8:00-18:00LT 板厚变化幅度较小,其它时段变化幅度相对较大;从图中可以看到明显的双峰结构,即黎明峰和日落峰,黎明峰一般出现在5:00-6:00LT,所有年份中冬季出现的时间最晚,滞后其它三个季节大约1h, 而日落峰一般从日落后开始出现增长,在午夜前达到另一个极大值,并且冬季的峰值大小高于其它三个季节;与其它季节不同的是夏季白天的板厚要高于夜间,春季和夏季在正午前(10:00-11:00LT)出现另一个极大值,而秋、冬季节电离层板厚在8:00-9:00LT出现一天内的最小值;从图 2-4可以看出电离层TEC 和NmF2 的日变化特征较为相似,在4:00-5:00LT 附近都出现减小的趋势,而电离层板厚τ 却表现为增大的趋势,日落前也出现类似的情况.
夜间电离层板厚最大值和白天电离层板厚最小值的比率统计结果如表 2 所示.从表中可以看出所有年份冬季的比率最大,2005年达到了3.07,即夜间电离层板厚是白天的3.07倍,秋季次之,2001和2002年春季昼夜变化最小,2003-2005年夏季昼夜变化最小.
|
|
表 2 2001-2005年各个季节Athens站夜间/白天电离层板厚比率统计表 Table 2 Night/day ratio of slab thickness for station Athens during four seasons of year 2001 -2005 |
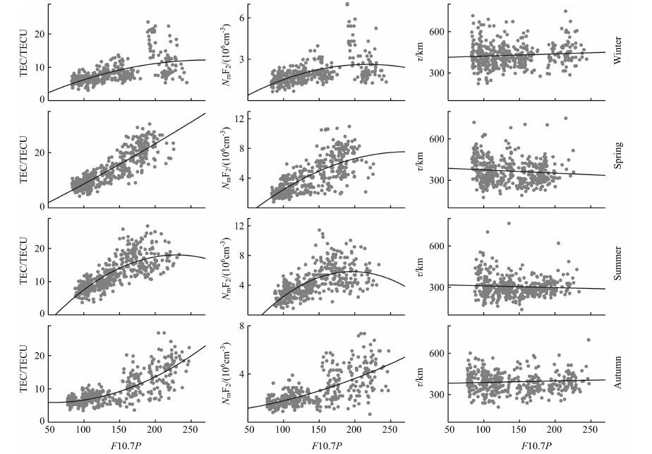
图 5给出了电离层TEC、NmF2 和τ 在14:00LT时与太阳活动F10.7P指数的统计结果.从图中可以看出电离层TEC 在秋、冬季节与太阳活动呈现较强的“线性"关系,而春季表现为“放大"效应,夏季表现出“饱和"现象,而电离层NmF2 与太阳活动的关系在四个季节均呈现出明显的“饱和"特征;电离层TEC 随太阳活动的变化范围超过NmF2 的变化幅度,例如冬季TEC 由10TECU(F10.7P≈80)上升到大约80TECU(F10.7P≈250),增加幅度达到700%,相应条件下NmF2 则由5×105 m-2 增加到2.2×105 m-2,增加幅度为340%,大约相当于TEC增幅的一半.电离层τ 与太阳活动的关系表现出相近的季节分布特征,均表现为正的线性变化趋势,即随着太阳活动水平的增强电离层板厚也随之增加.一个有趣的现象是夏季电离层TEC 以及NmF2 随太阳活动变化的范围明显小于其它季节,并且“饱和"特征非常明显,最终导致电离层板厚随太阳活动未像其它季节一样呈现明显的“线性"增长特征.
|
图 5 14:00LT 电离层TEC、foF2 和电离层板厚τ 随太阳活动变化情况 Fig. 5 Solar activity variation of ionospheric TEC,/〇F2 and slab thickness r for Athens station at 14 :00LT |
图 6给出了电离层TEC、NmF2 和τ在2:00LT时与太阳活动F10.7P指数的统计结果.电离层TEC在春季与太阳活动呈现“线性"关系,在秋季呈现“放大"的趋势,其它季节均表现为“饱和"现象;电离层NmF2 在秋季与太阳活动呈现为“放大"关系,其它季节均表现出“饱和"趋势,其中冬季最为突出,随着太阳活动的增强电离层NmF2 的增长幅度明显低于其它季节,由1×105 m-2(F10.7P≈80)上升到大约2.6×105 m-2 (F10.7P≈250),增加幅度仅为160%,远低于14:00LT 的340%,说明夜间太阳活动对电离层的影响力低于白天,其它因素将起到重要的作用,而夏季表现为“过饱和"现象,即随着太阳活动水平的升高,电离层NmF2 开始表现为增加,但是太阳活动增加到一定水平时,NmF2 反而呈现出减小的趋势;电离层板厚随太阳活动的变化表现出不同的季节特征,秋、冬两个季节表现为不太明显的线性变化趋势,而春、夏两个季节表现出负的线性变化特征,即电离层板厚随着太阳活动水平的增加反而减少,这在以往的研究中很少被提及.电离层主要受产生过程、损失过程以及输运过程控制,夜间产生和损失过程的影响相对较小,因此我们主要从输运过程进行考虑,并且以垂直方向的场向为主.我们知道,白天电离层受到太阳辐射的作用向上输运等离子体,而夜间等离子体将沿磁力线方向向下输运等离子体流,使得夜间电离层等离子体浓度维持在一定的水平.陈光明[28]研究认为春、夏两季夜间太阳活动低年电离层O+ 扩散通量速度在中纬地区要高于太阳活动高年,即中纬地区夜间O+ 太阳活动低年比高年损失率高,如果以H+-O+ 过渡高度来衡量的话,可以理解为太阳活动高年H+-O+ 过渡高度要高于太阳活动低年.根据Jayachandran[19]和Liu[29]等的观点,H+-O+ 过渡高度关系到电离层剖面形状,而电离层板厚与电离层剖面形状密切相关,因此出现电离层板厚随着太阳活动水平的增加反而减少的现象.
4 结论与讨论利用Athens站2001-2005 年电离层TEC 和NmF2 数据,分析研究了TEC、NmF2 和τ 的日变化、季节变化以及同太阳活动的关系,得到以下结论:
(1) 电离层TEC 和NmF2 具有相似的日变化特征,大约以正午为中心呈现近似的对称分布,随着太阳活动水平的下降,午后TEC减少速度逐渐放缓.
(2) 夏季白天电离层TEC 变化趋势较为平缓,午后至日落前变化不大,几乎维持在同一水平;2001和2002年电离层TEC 在白天出现“冬季异常"现象;而电离层NmF2 在2001-2005年白天均出现了“冬季异常"现象,并且太阳活动水平越高,异常程度越明显;冬季电离层NmF2 最大值出现的时间早于其它三个季节,一般出现在12:00-13:00LT;夏季电离层foF2 昼夜变化最小,比值均为3/2左右.
(3) 电离层板厚主要分布在200~600km 之间,平均值大约为350km;8:00-18:00LT 板厚变化幅度较小,其它时段变化幅度相对较大;板厚日变化中出现黎明峰和日落峰两次峰值,黎明峰一般出现在5:00-6:00LT,并且冬季出现的时间最晚,滞后其它三个季节大约1h, 而日落峰结构一般从日落后开始出现,在午夜前板厚达到极大值,且冬季的峰值大小高于其它季节;夏季白天板厚高于夜间,春季和夏季在正午前(10:00-11:00LT)出现另一个极大值.
(4) 电离层TEC 和NmF2 在4:00-5:00LT 都出现减小的趋势,而电离层板厚τ 却表现为增大的趋势,日落前也出现类似的现象.
(5) 在14:00LT 时刻,电离层TEC 在秋、冬季节与太阳活动呈现较强的“线性"关系,而春季表现为“放大"效应,夏季表现出“饱和"现象,而电离层NmF2 与太阳活动的关系在四个季节均呈现出明显的“饱和"特征;电离层τ 与太阳活动的关系表现出相近的季节分布特征,均表现为正的线性变化趋势,即随着太阳活动水平的增强电离层板厚也随之增加.
(6) 电离层TEC 在春季与太阳活动呈现“线性"关系,在秋季呈现“放大"的趋势,其它季节均表现为“饱和"现象;电离层NmF2 在秋季与太阳活动呈现为“放大"关系,其它季节均表现出“饱和"趋势,其中冬季最为突出;电离层板厚随太阳活动的变化表现出不同的季节特征,秋、冬两个季节表现为不太明显的线性变化趋势,而春、夏两个季节表现出负的线性变化特征.
关于电离层TEC 和NmF2 的日变化、季节变化以及同太阳活动的相关性特征已有众多的研究[26-27, 30-33],可能与太阳活动指数的选取、动力学过程、中性成分等诸多因素有关.电离层板厚τ 可以很好地将TEC 和NmF2 联系起来,由公式(1)可以得到电离层板厚随时间的变化公式:
|
(3) |
从公式(3)可以看出,电离层板厚τ 的时间变化主要取决于TEC 和NmF2 的变化情况,可以将板厚峰值结构的解释分成几种情况:(1)TEC 不变及NmF2减小引起板厚增加;(2)TEC 增大及NmF2 减小引起板厚增加;(3)TEC 和NmF2 同时增大而引起板厚增加,但是TEC 增加的幅度要高于NmF2;(4)TEC 和NmF2 同时减少而引起板厚增加,但是TEC减少的幅度要低于NmF2.计算2001年冬季电离层TEC、NmF2 和τ 随时间的变化率(df/dt/f,f=TEC,NmF2,τ),结果如图 7所示.从图中可以看出电离层TEC 和NmF2 随时间的变化率分布形态除了日出后和日落时有所差别,其余时间变化基本一致,NmF2 和τ 随时间的变化率强于TEC,并且TEC时间变化率呈现近似的正弦分布,与太阳天顶角的变化较为相似(图中未给出).由图 7中TEC 随时间的变化率曲线可以看出日出前TEC 增加的速度高于NmF2,而日落后TEC 减少的速度低于NmF2,这是因为电离层的高度一般为60~1000km, 而等离子体层可以延伸到几万公里,这就使得等离子体层受到太阳辐射的时间多于电离层,即日出前接受太阳辐射早于电离层,日落后比电离层持续更长时间.
|
图 7 2001年冬季电离层TEC、NmF2以及τ 随时间的变化率 Fig. 7 Variation rates of ionospheric TEC,NmF2 and r in winter of year 2001 |
图中箭头1、3和5标注处为电离层板厚随时间变化率减少的情况:箭头1处对应TEC 以及NmF2随时间变化率的增长,变化率分别为0.0161和0.0013,τ 随时间的变化率为0.0087,降低了电离层板厚增加的速度;箭头3处对应于TEC 以及NmF2 随时间变化率的增加,但是NmF2 增加的幅度高于TEC,NmF2 时间变化率为0.3243,而TEC 的变化率为0.1252,最终导致τ 随时间的变化率为-0.4868,引起电离层板厚急剧减少;箭头5 处对应TEC 以及NmF2 随时间变化率的减少,但是NmF2 减少幅度低于TEC,NmF2 时间变化率为-0.0058,而TEC的变化率为-0.0880,最终导致τ 随时间的变化率为-0.0334,引起电离层板厚减少速度快于相邻两个时刻的变化速度.
图中箭头2、4和6标注处为电离层板厚随时间变化率增加的情况:箭头2处对应TEC 变化率的增长以及NmF2 变化率的减少,变化率分别为0.0262和-0.0133,τ 随时间的变化率为0.2167,即电离层TEC 随时间增加,而NmF2 随时间减少,最终引起电离层板厚大幅增加,产生黎明峰结构;箭头4处对应TEC、NmF2 以及τ 随时间的变化率分别为-0.1291、-0.2402和0.1152,即TEC 减少的速度低于NmF2减少的速度,这样就引起电离层板厚产生日落峰结构,箭头6对应的变化情况与之相同.
由上面的分析我们认为相比于电离层TEC,NmF2 对电离层板厚变化的影响更大,黎明峰主要是由电离层TEC 增加以及NmF2 减少共同引起的,而日落峰主要是因为TEC 减少的速度低于NmF2造成的.我们又分析了其它年份不同季节电离层TEC、NmF2 以及τ 随时间变化率,得到了相同的结果.
黎明峰和日落峰期间电离层TEC 和NmF2 的不同变化特征可以用一些现有的理论进行解释.NmF2 的变化主要依赖于中性大气成分、风场、电场等诸多因素的改变[34-36],而TEC 在日出和日落时段内的变化可以用图 8 来进行解释.从图 8 中可以看出,太阳辐射到达地球空间时,一方面可以引起等离子体层电离的时间早于电离层,电离层TEC 在日出前的增加速率高于NmF2,日落后的减少速率低于NmF2;另一方面又能造成热层大气温度的变化,而中性大气温度与电离层板厚存在密切的联系,Titheridge[5]甚至给出了两者之间的经验关系式:Tn= (τ-15)/0.225K,因此热层大气温度的改变能够引起电离层板厚相应的变化.这些可能是TEC和NmF2 随时间变化率在日出和日落时段变化较大的原因,进而引起了电离层板厚日变化的双峰结构.
|
图 8 太阳辐射对地球大气层作用示意图 Fig. 8 Sketch showing effect of solar radiationon the Earth's atmosphere |
| [1] | 翁利斌, 方涵先, 杨升高, 等. 基于IRI背景场的单站电离层TEC地图重构技术. 空间科学学报 , 2011, 31(4): 453–458. Weng L B, Fang H X, Yang S G, et al. Technique of reconstructing ionospheric TEC map with the data of single station based on the background field by using IRI. Chin. J. Space Sci. (in Chinese) , 2011, 31(4): 453-458. |
| [2] | Spalla P, Ciraolo L. TEC and foF2 comparison. Annali Di Geofisica , 1994, 37(5): 929-938. |
| [3] | Kouris S S, Xenos T D, Polimeris K V, et al. TEC and foF2 variations: preliminary results. Ann. Geophys. , 2004, 47(4): 1325-1332. |
| [4] | Amayenc P, Bertin F, Papet-Lepine J. An empirical relationship between ionospheric equivalent slab thickness and mean gradient of the electron temperature in the F-region. Planet. Space Sci. , 1971, 19(10): 1313-1317. DOI:10.1016/0032-0633(71)90185-1 |
| [5] | Titheridge J E. The slab thickness of the mid-latitude ionosphere. Planet. Space Sci. , 1973, 21(10): 1775-1793. DOI:10.1016/0032-0633(73)90168-2 |
| [6] | Furman D R, Prasad S S. Ionospheric slab thickness: its relation to temperature and dynamics. J. Geophys. Res. , 1973, 78(25): 5837. DOI:10.1029/JA078i025p05837 |
| [7] | Fox M W, Mendillo M, Spalla P. The variation of ionospheric slab thickness during geomagnetic storms. // Proceedings of the International Beacon Satellite Symposium (IBSS). Tucuman, Argentina: Defense Technical Information Center, 1990. |
| [8] | Luan X L, Liu L B, Wan W X, et al. A study of the shape of topside electron density profile derived from incoherent scatter radar measurements over Arecibo and Millstone Hill. Radio Sci. , 2006, 41: RS4006. DOI:10.1029/2005RS003367 |
| [9] | 熊波, 万卫星, 刘立波, 等. 武汉地区电离层TEC和NmF2及板厚的季节变化. 空间科学学报 , 2007, 27(2): 125–131. Xiong B, Wan W X, Liu L B, et al. Seasonal variation of the ionospheric total electron content, maximum electron density and slab thickness over Wuhan. Chin. J. Space Sci. (in Chinese) , 2007, 27(2): 125-131. |
| [10] | Wright J W. A model of the F region above hmaxF2. J. Geophys. Res. , 1960, 65(1): 185. DOI:10.1029/JZ065i001p00185 |
| [11] | Mahajan K K, Rao P B, Prasad S S. Incoherent backscatter study of electron content and equivalent slab thickness. J. Geophys. Res. , 1968, 73(7): 2477. DOI:10.1029/JA073i007p02477 |
| [12] | Bhonsle R V, Da Rosa A V, Garriott O K. Measurements of the total electron content and the equivalent slab thickness of the midlatitude ionosphere. Radio Sci. , 1965, 69(7): 929. |
| [13] | Rastogi R G, Iyer K N, Sharma R P. Ionospheric total electron content and slab-thickness at low latitudes in Indian zone. Proceedings of Indian Academy of Sciences , 1977, 85(6): 415-428. |
| [14] | Buonsanto M J, Mendillo M, Klobuchar J A. The ionosphere at L equals 4: Average behavior and the response to geomagnetic storms. Ann. Geophys. , 1979, 35: 15-26. |
| [15] | Huang Y N. Some result of ionospheric slab thickness observations at Lunping. J. Geophys. Res. , 1983, 88(A7): 5517. DOI:10.1029/JA088iA07p05517 |
| [16] | Davies K, Liu X M. Ionospheric slab thickness in middle and low latitudes. Radio Sci. , 1991, 26(4): 997-1005. DOI:10.1029/91RS00831 |
| [17] | Goodwin G L, Silby J H, Lynn K J W, et al. GPS satellite measurements: ionospheric slab thickness and total electron content. J. Atmos. Terr. Phys. , 1995, 57(14): 1723-1732. DOI:10.1016/0021-9169(95)00093-H |
| [18] | Gulyaeva T L, Jayachandranc B, Krishnankutty T N. Latitudinal variation of ionospheric slab thickness. Adv. Space Res. , 2004, 33(6): 862-865. DOI:10.1016/j.asr.2003.08.009 |
| [19] | Jayachandran B, Krishnankutty T N, Gulyaeva T L. Climatology of ionospheric slab thickness. Ann. Geophys. , 2004, 22(1): 25-33. DOI:10.5194/angeo-22-25-2004 |
| [20] | Jin S G, Cho J H, Park J U. Ionospheric slab thickness and its seasonal variations observed by GPS. J. Atmos. Sol.-Terr. Phys. , 2007, 69(15): 1864-1870. DOI:10.1016/j.jastp.2007.07.008 |
| [21] | Stankov S M, Warnant R. Ionospheric slab thickness — Analysis, modelling and monitoring. Adv. Space Res. , 2009, 44(11): 1295-1303. DOI:10.1016/j.asr.2009.07.010 |
| [22] | 刘选谋. 半个太阳活动周期内我国中纬地区上空电离层等效板厚的变化特征. 空间科学学报 , 1992, 12(2): 139–145. Liu X M. Behavior of the ionospheric slab thickness over Chinese mid-latitude region for a half solar cycle. Chin. J. Space Sci. (in Chinese) , 1992, 12(2): 139-145. |
| [23] | 吴健, 龙其利, 权坤海. 新乡观测的电离层TEC和板厚的统计与建模研究. 电波科学学报 , 1998(3): 291–296. Wu J, Long Q L, Quan K H. A statistical study and modeling of the ionospheric TEC and the slab thickness with observations at Xinxiang, China. Chinese Journal of Radio Science (in Chinese) , 1998(3): 291-296. |
| [24] | Jakowski N, Sardon E. Comparison of GPS/IGS-derived TEC data with parameters measured by independent ionospheric probing techniques. // International GPS Service Symposium. Silver Spring, 1996. |
| [25] | Belehaki A, Jakowski N, Reinisch B W. Comparison of ionospheric ionization measurements over Athens using ground ionosonde and GPS-derived TEC values. Radio Sci. , 2003, 38: 1105. DOI:10.1029/2003RS002868 |
| [26] | Liu J Y, Chen Y I, Lin J S. Statistical investigation of the saturation effect in the ionospheric foF2 versus sunspot, solar radio noise, and solar EUV radiation. J. Geophys. Res. , 2003, 108: 1067. DOI:10.1029/2001JA007543 |
| [27] | Liu L B, Wan W X, Chen Y D, et al. Solar activity effects of the ionosphere: A brief review. Chin. Sci. Bull. , 2011, 56(12): 1202-1211. DOI:10.1007/s11434-010-4226-9 |
| [28] | 陈光明. 中低纬顶部电离层O+场向扩散通量研究. 北京: 中国科学院空间科学与应用研究中心 , 2009. Chen G M. Field-aligned diffusive fluxes of O+ ions in the mid- and low-latitude topside ionosphere (in Chinese). Beijing: Center for Space Science and Applied Research, Chinese Academy of Sciences (in Chinese) , 2009. |
| [29] | Liu L B, Le H J, Wan W X, et al. An analysis of the scale heights in the lower topside ionosphere based on the Arecibo incoherent scatter radar measurements. J. Geophys. Res. , 2007, 112: A06307. DOI:10.1029/2007JA012250 |
| [30] | Liu L B, Wan W X, Ning B Q, et al. Solar activity variations of the ionospheric peak electron density. J. Geophys. Res. , 2006, 111: A08304. DOI:10.1029/2006JA011598 |
| [31] | Chen Y D, Liu L B, Le H J. Solar activity variations of nighttime ionospheric peak electron density. J. Geophys. Res. , 2008, 113: A11306. DOI:10.1029/2008JA013114 |
| [32] | 徐中华, 刘瑞源, 刘顺林, 等. 南极中山站电离层F2层临界频率变化特征. 地球物理学报 , 2006, 49(1): 1–8. Xu Z H, Liu R Y, Liu S L, et al. Variations of the ionospheric F2 layer critical frequency at Zhongshan Station, Antarctica. Chinese J. Geophys. (in Chinese) , 2006, 49(1): 1-8. DOI:10.1002/cjg2.v49.1 |
| [33] | Liu L B, Wan W X, Ning B Q, et al. Climatology of the mean total electron content derived from GPS global ionospheric maps. J. Geophys. Res. , 2009, 114: A06308. DOI:10.1029/2009JA014244 |
| [34] | Zou L, Rishbeth H, Müller-Wodarg I C F, et al. Annual and semiannual variations in the ionospheric F2-layer: Ⅰ. Modelling. Ann. Geophys. , 2000, 18: 927-944. DOI:10.1007/s00585-000-0927-8 |
| [35] | Rishbeth H, Müller-Wodarg I C F, Zou L, et al. Annual and semiannual variations in the ionospheric F2-layer: Ⅱ. Physical discussion. Ann. Geophys. , 2000, 18: 945-956. DOI:10.1007/s00585-000-0945-6 |
| [36] | 余涛, 万卫星, 刘立波, 等. 电离层电场的半年变化对F2区峰值电子浓度的影响. 地球物理学报 , 2006, 49(3): 616–622. Yu T, Wan W X, Liu L B, et al. Influence of electric fields on semiannual variations in the ionosphere at mid and low latitudes. Chinese J. Geophys. (in Chinese) , 2006, 49(3): 616-622. |
2012, Vol. 55



