2. 同济大学海洋与地球科学学院,上海 200092
2. School of Ocean and Earth Science, Tongji University, Shanghai 200092, China
层析成像分辨率研究不仅可以帮助分析层析方法的反演能力,评价层析反演的效果,还可以帮助指导层析参数设置,优化观测系统等.为避免引起概念上的混淆,本文沿用马在田[1]在研究反射地震成像分辨率时对分辨率与分辨力的定义.即,空间可分辨的最小距离为分辨力,分辨力是空间的矢量函数.分辨率为分辨力除方法的最小分辨力,即分辨率与分辨力成反比关系,这一点与传统的分辨率定义相同.
本文研究的是菲涅耳体地震层析成像[2, 3]的分辨率问题.首先简单介绍一下基于射线理论的射线层析成像方法与基于有限频理论的菲涅耳体地震层析成像方法.
基于射线理论的透射波走时延迟Δτ 可表达为
|
(1) |
其中Δs(r)为射线路径Γ 上r处的慢度扰动.(1)式表明只有射线路径上的点对接收的走时信息具有影响,且射线路径上任意点对接收的走时信息具有相同的影响权重1.
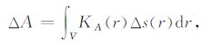
然而,根据地震波传播的有限频理论[4~13],对于某个特定震相的观测信息,不仅射线路径上的点对该信息具有影响,而且中心射线领域上的其他点对接收信息也有影响,且空间不同位置的点对接收信息的影响程度不同.这种影响可用核函数来表达.因此,有限频地震波传播的振幅扰动ΔA可表达为
|
(2a) |
其中KA(r)为振幅层析核函数.同样,空间慢度扰动对接收的地震波走时也具有影响,该影响可以用核函数KT(r)来表达.因此,有限频地震波传播的走时延迟Δτ 可以表达为类似于方程(2a)的形式:
|
(2b) |
公式(2a)与(2b)中,V为中心射线附近对初至信息贡献最大的邻域范围,即菲涅耳体.因此该方法称为菲涅耳体地震层析成像方法,其中,核函数与菲涅耳体边界的确定是方法的核心.关于核函数的计算、核函数的性质及菲涅耳体边界的确定方法可以参考刘玉柱等[14]的文章,这里不再赘述.
近年来,许多学者从不同角度对走时层析成像分辨率进行了研究.Williamson等[15, 16]从散射成像的角度,通过数值模拟手段得出该方法所能分辨的最小尺度不小于第一菲涅耳带;曹俊兴等[17]根据费马原理,对均匀介质背景条件下速度异常体的井间地震层析成像分辨率给出了估算式;裴正林等[18]通过理论模型实验,采用直射线SIRT 方法,对井间观测系统的层析成像分辨率进行了讨论.Schuster[19]从二维均匀介质中孤立散射体的散射出发,导出了水平层状介质中的折射走时层析纵、横向分辨力为
|
(3) |
其中,f为地震波的主频,v1、v2 分别为界面上覆介质与下伏介质的速度,θc 为临界角.Schuster[19]同时给出了均匀介质井间地震走时层析成像纵、横向分辨力的解析表达式:
|
(4) |
其中,x0 为半井间横向距离,L为井深.
以上分辨力的定量表达都是基于均匀介质或水平层状介质假设,对于非均匀介质情况无法得到分辨力的定量解析表达式.但根据反演理论[20],从层析方程(1)、(2)入手,根据公式(5)计算模型分辨率矩阵可以间接得到任意介质情况下的空间反演分辨率.该方法的缺点是不够直观,即不能直接计算得到反演分辨率的大小.
|
(5) |
(5) 式中,R代表模型分辨率矩阵,G为层析方程系数矩阵,T 表示转置.
可见,目前对于层析分辨率的研究比较多,而且已经形成一些共识.如分辨力与频率近似成反比,与速度成正比,井间垂直分辨率大于水平分辨率等.但上述对于层析分辨率的研究要么基于几何射线理论,要么基于水平层状介质假设或均匀背景介质假设,对于非均匀介质情况下的菲涅耳体走时层析成像分辨率的定量研究还比较少.
对于菲涅耳体地震层析成像方法,我们同样可以采用公式(5)间接计算任意介质中的反演分辨率.除此之外,Vasco 等[21],Watanabe 等[22],Sheng等[23]学者提出,可以根据菲涅耳体的胖度计算菲涅耳体层析成像的分辨力,即层析在某一方向上所能分辨的最小空间尺度为经过该点的所有菲涅耳体中在该方向上的最小宽度.为下文叙述方便,本文称此方法为方法Ⅰ.Sheng[23]同时提出,可以根据空间采样率与波数的关系,利用空间某一慢度扰动点的最大波数来计算该点的菲涅耳体走时层析分辨力,本文称此方法为方法Ⅱ.然而这两种方法都没有考虑空间覆盖次数与空间覆盖角度的问题,因此计算出的分辨力不准确.为此,本文提出了上述两种方法的优化方法.考虑到方法Ⅰ存在计算量大,占用内存量与存储空间大的问题,本文根据优化后的方法Ⅱ 进行了大量的二维理论模型实验.进而,对菲涅耳体走时层析成像分辨力的规律进行了总结,并将其与射线层析的分辨力进行了对比.最后给出分辨率研究对观测系统与层析成像的指导作用,尤其是对层析中平滑窗设置、变网格层析中模型剖分原则给出了具体的建议.
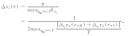
2 计算方法方法Ⅰ的计算示意图如图 1所示,即只要统计出经过空间某点的所有菲涅耳体即可以计算得到任意方向的分辨力.可见,这种方法概念简单、易于理解,但计算量大,占用内存与存储空间大,不易实施.方法Ⅱ计算分辨力的表达式如公式(6)所示,图示见图 2[23].
|
(6) |
其中,Δxi(r)为空间点r处xi坐标方向的分辨力,T为地震波主频周期,τ0(r,s)、τ0(r,g)分别表示震源点s、检波点g到空间点r的走时,可以通过射线追踪计算得出.ηsg(r)表示第一菲涅耳体包含空间点r的炮检对sg.这里第一菲涅耳体在不同维度情况下是不同的,具体定义见文献[14].可见,相对于方法Ⅰ,方法Ⅱ比较复杂,难于理解,但计算简单,无需占用大量内存与磁盘空间,易于实施.
|
图 1 方法Ⅰ计算菲涅耳体反演分辨力示意图 Fig. 1 Schematic plot calculating in verse resolution of FVT based on method Ⅰ |
然而两种方法都没有考虑两个问题:(1)空间某一慢度扰动点处的覆盖次数问题,即经过扰动点的菲涅耳体个数或波数个数;(2)空间慢度扰动点处的覆盖角度问题,即经过扰动点的菲涅耳体的空间角度范围或波数向量的方向分布范围.如果经过某一空间扰动点的菲涅耳体个数(或波数个数)很少,或是菲涅耳体的空间角度都集中在某一较小范围内(或波数向量的方向分布范围较小),这时计算出的该点分辨率是不准确的.只有当经过某一空间扰动点的菲涅耳体个数(或波数个数)和菲涅耳体空间角度范围(或波数向量的方向分布范围)满足一定条件时,计算出的该点分辨率才足够准确.在观测系统比较均匀的情况下,上述两个问题是等同的,可以只考虑其中的一个问题.否则,两个问题需要同时考虑.
|
图 2 方法Ⅱ计算菲涅耳体反演分辨力示意图 Fig. 2 Schematic plot calculating in verseresolution of FVT based on method Ⅱ |
针对方法Ⅰ、Ⅱ中存在的上述问题,本文提出了如下步骤的优化方法:
(1) 利用菲涅耳体射线追踪统计出经过空间各点的菲涅耳体个数或波数个数(菲涅耳体角度或波数角度);
(2) 统计并绘制覆盖次数(覆盖角度)---空间点个数关系曲线;
(3) 假设覆盖次数(覆盖角度)与空间点个数呈高斯分布,对该关系曲线进行最小二乘高斯曲线拟合,以得到覆盖次数(覆盖角度)高斯分布均方差估计σn(σa);
(4) 将σn(σa)作为空间点覆盖次数(覆盖角度)阀值,即只有当空间扰动点的覆盖次数(覆盖角度)大于σn(σa)时,才可以计算该点的分辨力,否则就不予计算;
(5) 对模型空间中所有可以计算的点的分辨力计算完毕后再对未计算点的分辨力进行插值求取.
3 数值模拟实验为了进行层析成像分辨率的定量计算,本文设计的二维复杂起伏地表理论模型如图 3 所示.该模型被离散为4001×151 个采样点,采样间隔10m×10m.在7~33km 的地表区域均匀布设640炮,炮间隔40m, 观测系统为4000m~20 m~0 m~20 m~4000m.刘玉柱等[14]基于地表观测数据给出了该模型的射线层析与菲涅耳体层析反演结果,并通过对比指出,菲涅耳体层析反演结果的精度与分辨率要明显优于射线层析反演结果.
|
图 3 二维复杂起伏地表模型 Fig. 3 2D complex near surface theoretical model with topography |
本文基于图 3所示理论模型分别进行了地表初至波走时层析和井间初至波走时层析的数值反演实验,进而根据方法Ⅱ 对初至波菲涅耳体走时层析成像分辨率进行研究.实验中,选取了三种地震波主频和两个最大偏移距,地震波主频分别为10、30Hz和60Hz, 最大偏移距分别为1000 m 与2000 m.数值实验结果如图 4~7所示.
|
图 4 主频10 Hz(A)、30 Hz(B)、60 Hz(C),最大偏移距1000m 计算得到的横向(a1~c1)与纵向(a2~c2)分辨力 Fig. 4 Horizontal (al~c1) and vertical (a2~c2) resolution with dominant frequency being 10 Hz(a),30 Hz(b),60 Hz (c) and the maximum offset being 1000 meters.The minimum resolution value is shown in the figures. |
|
图 5 主频30 Hz, 最大偏移距1000m 计算得到的不同空间坐标处对应的分辨力玫瑰花图(a)(20000,50);(b)(20000,100);(c)(20000,150);(d)(20000,200). 同一颜色曲线代表菲涅耳体经过该空间点的同一激发点不同接收点对应的K.图中的坐标表示最小横向分辨力与最小纵向分辨力. Fig. 5 Rose diagramof FVT resolution at points (20000 ,50),(20000 ,100) ,(20000 ,150) ,(20000 ,200) with dominant frequency being 30 Hz ,and the maximum offset being 1000 meters The (kx,kz)s calculated from the same source are shown in a line with same color.The coordinate in the figures indicates the minimum horizontal and vertical resolutions. |
|
图 6 主频10 Hz(A)、30 Hz(B)、60 Hz(C),最大偏移距2000m 计算得到的横向(a1~c1)与纵向(a2~c2)分辨力 Fig. 6 Horizontal (al~cl) andvertical (a2~c2) resolution with dominant frequency being 10 Hz(A),30 Hz(B),60 Hz (C) and the maximum offset being 2000 meters.The minimum resolution value is shown in the figures. |
|
图 7 根据不同偏移距,不同主频计算得到的水平位置20000m 处的横向(a)与纵向(b)分辨力垂直剖面 其中红线为2000m, 10Hz;绿线为2000m, 30Hz;蓝线为2000m, 60Hz;浅蓝线为1000m, 10Hz;粉线为1000m, 30Hz;黄线为1000m, 60Hz. Fig. 7 Vertical sections of horizontal (left) and vertical (right) resolution at position km, with varied maximum offsets and varied frequencies.Horizontal axis denotes depth, and the vertical axis denotes resolution value The red curve: the maximum offset is 2000 meters, and the dominant frequency is 10 Hz; The green curve: the maximum offset is 2000 meters, and the dominant frequency s 30 Hz; The blue curve: the maximum offset s 2000 meters, and the domrnant frequency s 60 Hz; The shallow blue curve: the maximum offstt s 1000 meters, and the dominant frequency s 10 Hz; The pink curve: the maxmum offset s 1000 meters, and the dominant frequency s 30 Hz; The yellow curve: the maximum offstt s 1000 meters, and the dominant frequency s 60 Hz. |
图 4为根据地表观测系统1000 m 偏移距范围内初至数据计算得到的不同主频对应的分辨率结果.可以看出菲涅耳体分布深度随频率增加而降低,这是由菲涅耳体随频率增加而变“瘦"[3]导致的.同时可以看出,横向分辨力随深度增加而快速变大,而纵向分辨力则增加缓慢.分辨率剖面与理论模型速度分布有一定的相似性,说明分辨力与速度近似成正比.对比图中标出的最小分辨力数值可以发现,浅层的横向分辨力略小于纵向分辨力,且分辨力大小与频率成反比;图 5 为1000 m 偏移距范围,30 Hz主频,相同水平位置不同深度处对应的分辨力玫瑰花图.从该图可以看出,经过这些点的菲涅耳体都达到了一定的覆盖次数与覆盖角度.另外,从图中标出的最小横、纵向分辨力数值同样可以看出横向分辨力随深度的快速增加与纵向分辨率随深度的缓慢增加;图 6为根据地表观测系统2000m 偏移距范围内初至数据计算得到的不同主频对应的分辨率结果,基本反映出与图 4相同的规律.同时,对比图 6与图 4可以发现,偏移距增大菲涅耳体分布范围深度增加,这是偏移距增加导致射线深度增加造成的;图 7为图 4与图 6的综合对比,可以看出,偏移距增大对浅层(图 7中200m 以内)的横向分辨力与纵向分辨力影响不大,但可以有效降低小偏移距的深部(图 7中200~500m)横向分辨力,对小偏移距的深部纵向分辨力降低不大.
因此,地表初至波走时层析分辨率计算实验结果表明:(1)纵、横向分辨力与频率成反比,与速度近正比;(2)横向分辨力随着深度增加而迅速增加,纵向分辨力则随深度变化不大;(3)一般地,浅层横向分辨力小于浅层纵向分辨力,而深层横向分辨力大于深层纵向分辨力;(4)增加偏移距信息,浅层分辨力的减小不大,但可以有效降低深部的横向分辨力.
井间初至波走时层析实验的理论模型即在图 3的水平位置19km 与21km 处分别放置一激发井与一接收井.井深1500 m, 井间距2000 m, 激发点与接收点从井口以10m间隔均匀布设至井底.分辨力计算结果如图 8~10所示.
|
图 8 主频10 Hz(A)、30 Hz(B)、60 Hz(C),井间层析计算得到的横向(a1~c1)与纵向(a2~c2)分辨力 Fig. 8 Horizontal (a1 ~cl) andvertical (a2~c2) resolution of cross well FVT with dominant frequency being 10 Hz(a),30 Hz(b) and 60 Hz(c). |
|
图 9 主频60 Hz, 井间层析计算得到的不同空间坐标处对应的分辨力玫瑰花图(a)(20000,300);(b)(20000,600);(c)(20000,900);(d)(20000,1200).同一颜色曲线代表菲涅耳体 经过该空间点的同一激发点不同接收点对应的K.图中的坐标表示最小横向分辨力与最小纵向分辨力. Fig. 9 Rose diagramof cross well FVT resolution at points (20000,300),(20000,600),(20000,900),(20000,1200) with dominant frequency being 60 Hz.The (kx,kz)s calculated from the same source are shown in a linewith same color. The coordinate in the figures indicates the minimum horizontal and vertical resolutions. |
|
图 10 初至层析(红线)与井间层析(绿线)在水平位置20000m(A)与19500m(B)处的横向(a1,b1)与纵向(a2,b2)分辨力垂直剖面对比.水平坐标代表深度,纵向坐标代表分辨力大小. Fig. 10 Compare of horizontal (a1,b1) and vertical (a2,b2) resolution sections between first arrival tomography (red curve) and cross well tomography (green curve) at position x = 20.0 km (upper) and x= 19.5 km (lower).Horizontal axis denotes depth, and the vertical axis denotes resolution value. |
图 8为不同主频对应的层析反演分辨力计算结果,从该结果可以看出,分辨力仍然随频率增加而降低,且标出的最小分辨力数值表明分辨力与频率成反比.分辨率剖面与理论模型速度分布有一定的相似性,说明分辨力与速度近似成正比.同时,平均横向分辨力大于平均纵向分辨力.分辨力随深度的变化不大,但横向上从井中心向两边缓慢减小;图 9为60Hz主频,水平方向位置相同,深度不同的四个位置的分辨力玫瑰花图.从该图可以看出,经过这些点的菲涅耳体都达到了一定的覆盖次数与覆盖角度.另外,从图中标出的最小横、纵向分辨力数值同样可以看出分辨力与深度的无关性,及横向分辨力大于纵向分辨力;图 10为地表观测系统与井间观测系统层析成像分辨力的对比,可以看出,虽然井间层析不能有效降低浅层的分辨力,但可以明显降低深部的分辨力,且井间层析的分辨力总体上小于地表层析的分辨力.
因此,井间初至波走时层析分辨率计算实验结果表明:(1)分辨力仍与频率成反比,与速度近正比,但随深度变化不大;(2)一般地,横向分辨力大于纵向分辨力;(3)井中心位置处的分辨力大于两边的分辨力;(4)井间层析并不能减小浅层的分辨力,但可以有效地降低深部的分辨力,且井间层析的分辨力总体上小于地表层析的分辨力.
根据以上数值实验总结的规律可以看出,本文总结的适用于非均匀介质情况的部分规律与 Schuster[19]给出的水平层状介质假设前提下地表走时层析分辨力的解析表达式(3)与均匀背景介质假设下的井间层析分辨率表达式(4)所反应的规律是基本相同的.
另外,上述理论模型实验并没有全面地定量对比射线层析与菲涅耳体层析的分辨力大小,但在频率等于30Hz的情况下,根据公式(3)计算得到速度为3000m/s的(20000m, 50m)处的射线初至层析反演纵、横向分辨力分别为50m 与100m, 即为λ/2与λ.而菲涅耳体初至层析反演纵、横向分辨力则近似为20m 与40m, 即为λ/5与2λ/5,这与Sheng & Schuster[23]提出的λ/3 分辨率比较接近.在频率等于30Hz的情况下,根据公式(4)计算得到的射线井间层析中心位置处(速度为4500m/s)的纵、横向分辨力近似为300m 与800m, 即为2λ 与5λ.而上述井间层析实验计算得到的菲涅耳体层析反演中心位置处的纵、横向分辨力则近似为75 m 与150 m, 即为λ/2与λ.这进一步证明了,菲涅耳体层析比射线层析具有更好的反演效果与更高的反演分辨率[14].
4 分辨率研究的指导作用从以上数值实验可以看出,菲涅耳体层析分辨率与多种因素有关,除介质本身速度分布外,还主要与观测系统、地震波主频、层析参数等有关.对于层析成像而言,真实的地下介质速度分布是永远无法知道的,即层析分辨率计算所依托的速度模型只能是具有一定不确定性的层析初始模型或迭代更新后的模型,因此确定的观测系统、地震波主频与层析参数对层析分辨率起到了决定性的作用.同时,总结的层析分辨率规律又反过来对以上影响因素产生一定的指导作用.
(1) 如果只关心浅层的反演效果,可以采用地表观测;如果关心深层反演效果,可以采用井间观测或增大地表观测的排列长度;如兼顾两者,则应采用联合观测.为了获得均匀的反演分辨率,可以通过对比观察层析分辨率剖面,对分辨率相对低的区域加密观测系统.为了获得更加精细的表层反演结果,可以加密观测系统,但不必加大排列.
(2) 理论上,地震波主频的提高对层析反演分辨率的提高有重要作用,但主频的提高对其他地震数据处理可能会带来负面影响,包括层析初始模型的获得,因此实际未必可行.
(3) 可以采用变网格层析成像方法,这样做可以在不影响反演分辨率的前提下大大提高计算效率.
对于地表初至层析成像,变网格剖分的原则为:
(a)浅部采用小网格,深部采用大网格;
(b)浅部采用“窄"网格,深部采用“扁"网格;
(c)横向网格大小随着深度可以从λ/8 变化到2~4λ;
(d)纵向网格大小随着深度可以从λ/4变化到1~2λ.
综合以上4点,我们可以给出变网格初至层析模型剖分示意图,如图 11a所示.
|
图 11 地表(a)、井间(b)、水平井间(c)初至变网格菲涅耳体层析模型剖分示意图 Fig. 11 Schematic plot of model partition for surface (a),vertical well hole (b),horizontal well hole (c) tirst arrival dynamic gridding FVT |
对于井间层析成像,变网格剖分的原则为:
(a)水平方向靠近中心处采用大网格,远离中心处采用小网格;
(b)模型采用“扁"网格剖分;
(c)横向网格大小随着远离中心可以从2λ 变化到λ/4;
(d)纵向网格大小随着远离中心可以从λ 变化到λ/8.
综合以上4点,我们可以给出变网格井间层析模型剖分示意图,如图 11b所示.
如果未来的观测系统能够实现地面激发,地下水平井接收(不妨称为水平井间),则变网格剖分的原则为:
(a)水平方向靠近中心处采用大网格,远离中心处采用小网格;
(b)模型采用“窄"网格剖分;
(c)横向网格大小随着远离中心可以从λ变化到λ/8;
(d)纵向网格大小随着远离中心可以从2λ 变化到λ/4.
综合以上4点,我们可以给出变网格水平井间层析模型剖分示意图,如图 11c所示.
平滑因子对层析成像同样具有重要的影响[24],上述三种层析成像中的平滑窗大小也可以按照同样的方法动态变化.
5 结语本文采用前人提出的方法,通过多组理论模型实验对菲涅耳体层析成像的分辨力进行了计算.在计算过程中,通过考虑空间中不同点的覆盖次数及覆盖方向对前人提出的方法进行了优化.分辨力计算结果表明菲涅耳体层析比射线层析具有更高的反演分辨率.同时,对目前常用的观测系统对应的地表初至层析与井间透射层析的分辨力规律进行了总结,进而提出了分辨率规律对观测系统设计与层析成像的指导作用,尤其是提出了变网格层析成像模型剖分策略.遗憾的是本文尚未实现变网格层析成像方法,因此无法对提出的模型剖分策略进行对比验证,这将在以后的研究工作中完成.另外,本文的理论模型实验虽然都是基于二维模型,但分辨率计算方法与优化方法、总结的层析分辨率规律与分辨率研究指导作用同样适用于三维情况.
| [1] | 马在田. 反射地震成像分辨率的理论分析. 同济大学学报 (自然科学版) , 2005, 33(9): 1144–1153. Ma Z T. Theoretical analysis of reflection seismic imaging resolution. Journal of Tongji University (Natural Science) (in Chinese) , 2005, 33(9): 1144-1153. |
| [2] | Spetzler J, Snieder R. The fresnel volume and transmitted waves. Geophysics , 2004, 69(3): 653-663. DOI:10.1190/1.1759451 |
| [3] | Liu Y Z, Dong L G, Wang Y W, et al. Sensitivity kernels for seismic Fresnel volume tomography. Geophysics , 2009, 74(5): U35-U46. DOI:10.1190/1.3169600 |
| [4] | Woodward M J. Wave-equation tomography. Geophysics , 1992, 57(1): 15-26. DOI:10.1190/1.1443179 |
| [5] | Snieder R, Lomax A. Wavefield smoothing and the effect of rough velocity perturbations on arrival times and amplitudes. Geophysical Journal International , 1996, 125(3): 796-812. DOI:10.1111/gji.1996.125.issue-3 |
| [6] | Marquering H, Nolet G, Dahlen F A. Three-dimensional waveform sensitivity kernels. Geophysical Journal International , 1998, 132(3): 521-534. DOI:10.1046/j.1365-246X.1998.00426.x |
| [7] | Marquering H, Dahlen F A, Nolet G. Three-dimensional sensitivity kernels for finite-frequency traveltimes: the banana-doughnut paradox. Geophysical Journal International , 1999, 137(3): 805-815. DOI:10.1046/j.1365-246x.1999.00837.x |
| [8] | Wu R S, Toksoz M N. Diffraction tomography and multisource holography applied to seismic imaging. Geophysics , 1987, 52(1): 11-25. DOI:10.1190/1.1442237 |
| [9] | Spetzler G, Snieder R. The effect of small-scale heterogeneity on the arrival time of waves. Geophysical Journal International , 2001, 145(3): 786-796. DOI:10.1046/j.1365-246x.2001.01438.x |
| [10] | Dahlen F A, Hung S H, Nolet G. Fréchet kernels for finite-frequency traveltimes—I. Theory. Geophysical Journal International, 2000, 141(1): 157~174 |
| [11] | Dahlen F A. Finite-frequency sensitivity kernels for boundary topography perturbations. Geophysical Journal International , 2005, 162(2): 525-540. DOI:10.1111/gji.2005.162.issue-2 |
| [12] | Hung S H, Dahlen F A, Nolet G. Wavefront healing: a banana-doughnut perspective. Geophysical Journal International , 2001, 146(2): 289-312. DOI:10.1046/j.1365-246x.2001.01466.x |
| [13] | Zhang Z G, Shen Y, Zhao L. Finite-frequency sensitivity kernels for head waves. Geophysical Journal International , 2007, 171(2): 847-856. DOI:10.1111/gji.2007.171.issue-2 |
| [14] | 刘玉柱, 董良国, 李培明, 等. 初至波菲涅耳体地震层析成像. 地球物理学报 , 2009, 52(9): 2310–2320. Liu Y Z, Dong L G, Li P M, et al. Fresnel volume tomography based on the first arrival of the seismic wave. Chinese J. Geophys. (in Chinese) , 2009, 52(9): 2310-2320. |
| [15] | Williamson P R. A guide to the limits of resolution imposed by scattering in ray tomography. Geophysics , 1991, 56(2): 202-207. DOI:10.1190/1.1443032 |
| [16] | Williamson P R, Worthington M H. Resolution limits in ray tomography due to wave behavior: Numerical experiments. Geophysics , 1993, 58(5): 727-735. DOI:10.1190/1.1443457 |
| [17] | 曹俊兴, 严忠琼. 地震波跨孔旅行时层析成象分辨率的估计. 成都理工学院学报 , 1995, 22(4): 95–101. Cao J X, Yan Z Q. Resolving power estimation of seismic crosshole traveltime tomography. Journal of Chengdu University of Technology (in Chinese) , 1995, 22(4): 95-101. |
| [18] | 裴正林, 余钦范, 狄帮让. 井间地震层析成像分辨率研究. 物探与化探 , 2002, 26(3): 218–224. Pei Z L, Yu Q F, Di B R. Resolution in crosshole seismic tomography. Geophysical and Geochemical Exploration (in Chinese) , 2002, 26(3): 218-224. |
| [19] | Schuster G T. Resolution limits for crosswell migration and traveltime tomography. Geophysical Journal International , 1996, 127(2): 427-440. DOI:10.1111/gji.1996.127.issue-2 |
| [20] | 姚姚. 地球物理反演基本理论与应用方法. 武汉: 中国地质大学出版社, 2002 . Yao Y. The fundamental theory and application methods of geophysical inversion (in Chinese). Wuhan: China University of Geosciences Press, 2002 . |
| [21] | Vasco D W, Peterson J E Jr, Majer E L. Beyond ray tomography: Wavepaths and Fresnel volumes. Geophysics , 1995, 60(6): 1790-1804. DOI:10.1190/1.1443912 |
| [22] | Watanabe T, Matsuoka T, Ashida Y. Seismic traveltime tomography using Fresnel volume approach. SEG Expanded Abstracts, 1999 |
| [23] | Sheng J M, Schuster G T. Finite-frequency resolution limits of wave path traveltime tomography for smoothly varying velocity. Geophysical Journal International , 2003, 152(3): 669-676. DOI:10.1046/j.1365-246X.2003.01878.x |
| [24] | 刘玉柱, 董良国. 初至波层析影响因素分析. 石油地球物理勘探 , 2007, 42(5): 544–553. Liu Y Z, Dong L G. Analysis of influence factors of first-breaks tomography. Oil Geophysical Prospecting (in Chinese) , 2007, 42(5): 544-553. |
2011, Vol. 54
