2. 桂林理工大学地球科学学院, 桂林 541004
2. College of Earth Sciences, Guilin University of Technology, Guilin 541004, China
激发极化(Induced Polarization, IP)效应是一种很有意义的信息,以地壳中不同岩、矿石IP 效应的差异为物质基础的激发极化法已经在资源勘查中得到广泛应用,取得显著的地质效果.为扩展激发极化法的资源勘查能力以及多参量地球物理信息的提取,自20世纪60年代以来,国内外不少物探工作者致力于研究从电磁探测中拾取IP信息.
1974年,Ware[1]在博士论文中首次对利用天然场源作激电法的可能性进行了理论探讨,开创了从电磁探测中提取IP 信息课题的理论研究.随后,国内外学者开展大地电磁勘探资料中提取IP 信息研究,以求提取深部矿体IP 信息[2~16].同时,为避免大地电磁勘探数据精度难以满足提取IP 信息的要求,岳安平等[17~19]尝试从CSAMT(Control Source Audio frequency Magnetotellurics)信号中提取IP信息,认为从频率域电磁法信号中提取IP信息有乐观的前景.王隆平等[20]结合野外实测资料的分析,阐述IP效应对TEM 响应的影响规律.N.O.Kozhevnikov等论述了在高阻区先消除围岩等响应后,结合IP 衰减特征,有利于去推断TEM 衰减快而伴随有负异常的导电体[21].另外一些学者也做过一些有意义的研究探索工作[22, 23].
然而,由于电磁法IP 信息的复杂性,至今能够解决的问题还十分有限.针对这种情况,本文对电偶源频率电磁测深激发极化效应问题进行研究.首先分析电偶源频率电磁测深场量的分辨率,将表征介质IP性质的柯尔-柯尔(Cole-Cole)模型代入对地层分辨率高的电磁场分量,对几种典型理论极化地层进行正演计算;然后对得到的曲线进行分析总结,提出电偶源频率电磁测深IP 信息提取的几种可能方案,为实践提供理论指导.
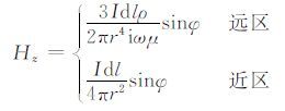
2 电偶源频率电磁测深场量的分辨率如图 1 所示的坐标系统,设水平电偶极子源AB与x轴一致,地面上任意一点M与AB中点O之间的距离为r,OM连线与AB线(即x轴)之间的夹角为φ.在频率域中,假定电磁场为简谐振动,忽略空气和介质中的位移电流,并令介质的导磁率为μ,则均匀半空间情况下地面上任意点M的电磁场分量Hx、Hy、Hz、Ex、Ey、Ez表达式为[24~26]:
|
图 1 水平偶极源及坐标示意图 Fig. 1 The sketch map of the horizontal electric dipole source and coordinate system |
|
(1) |
|
(2) |
|
(3) |
|
(4) |
|
(5) |
|
(6) |
式中,ρ 为均匀半空间的电阻率,Idl为电偶极子的偶极距.
在频率域电磁测深应用中,Ez分量的观测争议较多暂不作讨论,实际上使用的只有5个分量.由式(1)~(5)可见,在远区场Ex、Ey、Hx、Hy以1/r3 衰减,Hz以1/r4 衰减,Ex、Ey、Hz与介质电阻率有关,Hx、Hy仅与$\sqrt{\rho }$有关,这样,磁场水平分量Hx和Hy对电性分辨能力较差;在近区场,Hx、Hy、Hz以1/r3 衰减,但此时Hx、Hy、Hz的表达式中已不含有介质电阻率,即不再反映地层信息,而Ex和Ey分量仍与介质电阻率有关.过渡区是远区和近区之间的过渡,各场量在过渡区的特征介于远区和近区之间.由各场量的这些特征可知,Ex、Ey、Hz作为频率电磁测深的观测量较之其他分量对地层的反映灵敏.但Hz以随r的增大衰减较快,当极距r相同时将有较小的信噪比;当采用赤道装置(即φ=90°)时,Ex分量最强,Ey分量为零;当采用轴向装置(即φ=0°)时,Ex分量强度缩小一半,Ey分量仍为零;Ey将在φ=45°时取得最大值.为减小或避免场源效应等问题的产生与影响,施工装置的布置应使极距r尽量与地质构造走向平行,而φ 为45°的限制将带来不便.因此,综合考虑电磁场各分量对地层的分辨率情况,笔者认为采用Ex分量计算研究电偶源频率电磁测深IP问题相对适宜.
3 理论计算方法 3.1 Cole-Cole模型柯尔-柯尔(Cole-Cole)模型是由Pelton等提出的一种用来描述岩、矿石激发极化效应的数学模型.Pelton基于对岩、矿石标本和露头的大量测量结果认为,由激电效应引起的复电阻率ρ(iω)随频率的变化可由下式表示[27]:
|
(7) |
式中,ρ0 为频率为零时的电阻率;τ 为时间参数;m为充电率;c为频率相关系数.τ 的单位为s, m和c无量纲.
式(7)提供了定量描述激电效应谱特性的手段.图 2给出了岩、矿石模型不同m时复电阻率振幅频谱和相位频谱曲线实例.计算条件是ρ0=100Ωm;m分别取值:0.0,0.2,0.4,0.6,0.8;τ=1s;c=0.25.由图可见,复电阻率振幅分量随频率的增加而单调下降,在高频时趋近于ρ0 值;相位分量与充电率m成正比,在低频和高频时趋近于零,在中间某个频率时取得负极值(即峰值).
|
图 2 不同充电率时复电阻率振幅频谱和相位频谱 (a)振幅频谱;(b)相位频谱. Fig. 2 The amplitude and phase of complex resistivity for different chargeability (a) Amplitude spectrum;b)Phase spectrum. |
如前所述,Ex分量是计算研究电偶源频率电磁测深IP问题最适宜的场量.水平电偶源在地面上的电场公式[28]为:
|
(8) |
式中,
|
|
λ 称为空间频率,它具有距离倒数的量纲,J1(λr)为以λr为变量的一阶贝塞尔函数,J0(λr)为以λr为变量的零阶贝塞尔函数.
当均匀大地或层状大地为导电极化时,将Cole-Cole模型的复电阻率式(7)代替以上式(8)中导电介质的电阻率后,便可以得到含激电信息的表达式.依此可做电偶源频率电磁测深激发极化效应的正演计算.仿照波区视电阻率定义方法[27],采用视电阻率ρEx和利用复电场Ex之实部、虚部定义复电场相位(后,简称相位)ΦEx表示电磁响应,其相应计算公式如下:
|
(9) |
|
(10) |
均匀半空间地电模型地层未极化时的电阻率ρ0 取100 Ωm;改变影响IP 强度的m分别取值:0.0,0.2,0.4,0.6,0.8;取τ和c分别为1s和0.25;电偶极子dl的长度为1500m;采用赤道偶极装置,其收发距r=10000 m.(以下模型中装置均采用赤道偶极装置,且τ、c、dl、r的取值均与均匀半空间模型的取值相同).图 3为均匀导电极化大地随充电率m变化的视电阻率ρEx和相位ΦEx电偶源频率测深激电测深理论计算曲线.由图可见,当m=0.0 时,由式(9)确定的视电阻率的右渐近线能给出均匀大地的真电阻率,在低频段出现ρ0/2 的左渐近线,由式(10)确定的相位在低频和高频时均趋近于零,在中间某个频率时取得峰值;而当m不为零时,视电阻率值随着m的增大而增大,且随着频率的降低,曲线变化幅度增大,这说明激发极化效应在低频时明显,相位绝对值随着m的增大而增大,但曲线变化幅度变得相对复杂,当频率大于0.1 Hz时,曲线变化幅度随着m的增大而增大,但频率小于0.1Hz时,曲线变化幅度随着m的增大而减小.
|
图 3 均匀半空间正演结果 (a)振幅频谱;(b)相位频谱. Fig. 3 The modeling for homogenous half-space model (a) Amplitude spectrum;b)Phase spectrum. |
为初步了解含有激电信息的电偶源频率电磁测深视电阻率ρEx和相位ΦEx与地层断面类型的关系,在均匀半空间模型基础上建立了覆盖层为极化层(m取0.5)两层水平地层模型,具体的模型参数见表 1.
|
|
表 1 覆盖层为极化层两层地电模型的参数 Table 1 Geoelectric parameters for 2-layer modelwith a polarized coverage |
图 4为两层模型的视电阻率和相位曲线.此外,为对比激电效应的影响,还计算了覆盖层不极化时(m=0)的模型.从这一组曲线可以看出,D 型断面和G 型断面的视电阻率曲线能分辨出地电断面类型,只是在低频段出现ρ2/2左渐近线,说明已进入近区场;而相位的首支和尾支渐近线均近似趋于零度渐近线;与覆盖层不极化(m=0.0)的情况相比,在趋肤深度范围内,视电阻率曲线和相位曲线均反应了覆盖层极化层的存在.另外,从视电阻率曲线和相位曲线是否极化的正演模拟结果看,显示出相位曲线具有比视电阻率曲线幅度变化大、分辨能力高的特点.
|
图 4 覆盖层为极化层两层模型正演结果 (a1)(b1)振幅频谱;(a2)(b2)相位频谱. Fig. 4 The modeling for 2-layer model with polarized coverage (al) (b1) Amplitude spectrum; (2) (b2) Phase spectrum. |
研究含有激电信息的电偶源频率电磁测深视电阻率ρEx和相位ΦEx与三层地层断面类型的关系很重要.通过这一研究,可以知道,上、下被不同电阻率和不同激发极化效应的岩石所限定的中间层在曲线中的效应.为此,建立了覆盖层仅为极化层(称为case1,即m1=0.5)、中间层仅为极化层(称为case2,即m2=0.5)和最底层仅为极化层(称为case3,即m3=0.5)三种情况下的三层水平地层模型,具体的模型参数见表 2.
|
|
表 2 三层地电模型参数 Table 2 Geoelectric parameters for 3-layer model |
图 5为O 型、A 型、H 型、K 型和Q 型水平不同极化层上视电阻率和相位正演曲线.同样,为对比激电效应的影响,还计算出覆盖层、中间层均不极化时(m=0)的模型曲线.理论曲线簇表明:(1)m=0时,视电阻率在低频段出现ρ3/2的左渐近线,而相位在低频和高频段渐近线均趋于零度渐近线;(2)随着趋肤深度的变化,反应了case1、case2和case3三种情况下极化层的频段范围;(3)case1、case2和case3清楚地显示出极化层对视电阻率和相位的影响,由于极化层的存在,使得反映极化层频段范围上的视电阻率幅度增大.同样,极化层的存在对相位的影响幅度更明显,但情况变得稍微复杂,类似于均匀半空间的情况.
|
图 5 三层模型正演结果 (a1,b1,c1,d1,e1)振幅频谱;(a2,b2,c2,d2,e2)相位频谱. Fig. 5 The modeling for 3-layer model (a1,b1,c1,dl, e1) Amplitude spectrum; (a2,b2,c2,d2,e2) Phase spectrum. |
为了了解更复杂地电断面类型极化层对视电阻率和相位的影响,这里以KHK 型5层地电模型为例,模型参数见表 3.同样,为对比激电效应的影响,给出了各地层均不极化时(m1=m2=m3=m4=m5=0)的模型计算结果,如图 6 所示,相对于不极化情况,曲线很好的反应了极化层1和极化层3的存在.
|
|
表 3 KHK型五层地电模型的参数 Table 3 Geoelectric parameters for 5-layer KHK model |
|
图 6 HK 型五层模型正演结果 (a)振幅频谱;(b)相位频谱. Fig. 6 The modeling for 5-layer KHK model (a) Amplitude spectrum; (b) Phase spectrum. |
前面定量计算了典型地电断面的电磁响应曲线特征.这里进一步讨论电磁响应与极化层埋深、厚度和电阻率变化的关系,图 7为计算结果,其响应模型的参数见表 4.从图 7 可以看出,随着极化层埋深、厚度、电阻率的增大,其视电阻率和相位的曲线形态也随之发生了变化,说明在电偶源频率电磁测深中,利用Ex分量发现极化层是有可能的.
|
图 7 电磁响应与极化层特征的关系 (a1,a2)与极化层埋深关系;(b1,b2)与极化层厚度关系;(c1,c2)与极化层电阻率关系. Fig. 7 The relationship between electromagnetic effect and polarized layer properties (a1,a2) The depth of the polarized layer; (b1,b2) The thickness of the polarized layer; (c1,c2)The resistivity of the polarized layer. |
|
|
表 4 模型1~3的参数 Table 4 Geoelectric paraneters for model 1~3 |
电偶源频率电磁测深野外测量结果数据是各种效应(如:激发极化效应、电磁效应)的综合反应,是各种效应相互耦合的结果.如何从电磁效应和激发极化效应相互耦合中提取IP信息,经多种方式尝试,归结如下:
(1) 利用视电阻率数据计算视电阻率百分频率效应ρPFE 作为表征激电效应能力的参数.其表达式为
|
(11) |
|
(12) |
式(11)中,ρEx表示激电效应、感应效应并存时的视电阻率,ρ0 表示仅存在感应效应时的视电阻率.式(12)中,ρlow 和ρhigh 分别表示低频和高频时的电阻率.
(2) 利用视电阻率数据计算视电阻率比值BT作为表征激电效应能力的参数.其表达式如下:
|
(13) |
|
(14) |
同样,式(13)中,ρEx表示激电效应、感应效应并存时的视电阻率,ρ0 表示仅存在感应效应时的视电阻率.式(14)中,ρlow 和ρhigh 分别表示低频和高频时的电阻率.
(3) 利用相位数据计算相位差值CT 作为表征激电效应能力的参数.其表达式如下:
|
(15) |
|
(16) |
式(15)中,ΦEx表示激电效应、感应效应并存时的相位,Φ0 表示仅存在感应效应时的相位.式(16)中,Φlow 和Φhigh 分别表示低频和高频时的相位.
表 5是采用式(11)~(16)定义得到的表 1中G型断面表征激电效应能力参数数值,计算ρPFE2、BT2、CT2 时低频和高频分别取100 Hz和1000 Hz.从表 5的IP信息提取参数数值可以看出,如不考虑激电效应的影响,G 型断面的视电阻率ρEx最大观测相对误差将达到9.69%,而相位ΦEx最大观测误差达1.1.同时,从表 5 分析可以得出,实际观测资料中ρEx和ΦEx的观测误差若是分别小于38.93%和59.42%,那么通过IP信息提取参数的计算可以识别到明显的激电效应.
|
|
表 5 G型断面IP信息提取参数计算结果 Table 5 The results of IP information extraction parameters for model G |
在电偶源频率电磁测深激发极化效应研究过程中,通过对各场量分辨率情况的分析,提出通过研究电场Ex分量来提取IP 信息的合理性;通过正演理论计算公式的介绍,编制程序对一些典型地电断面计算并对其结果进行分析,讨论激电效应对这些地电断面类型的影响;在这些基础上,对电偶源频率电磁测深中激电效应的提取提出了几种方案.值得注意的是,本文的分析是基于一维理论的,但文中关于IP信息的提取方案同时考虑了二维和三维问题,将这一方法直接应用于二维、三维极化异常体问题应该不存在任何障碍,有关二维、三维理论模型的计算将在以后的工作中介绍.
致谢感谢中国地质科学院地球物理地球化学勘查研究所电磁综合研究室成员的指点及卓有成效的讨论;感谢赵子言教授对本文研究工作的悉心指导;同时,两位匿名评审专家对本文提出修改意见给了作者很多指导与帮助,进一步完善了本文的研究内容,在此一并表示感谢.
| [1] | Ware G H. Theoretical and field investigations of telluric currents and induced polarization. Berkeley: University of California at Berkeley, 1974 . |
| [2] | Marali S. Comparison of anomalous effects determined using telluric fields and time domain IP technique (test results). Geophysics , 1982, 2(1-2): 44-45. |
| [3] | Gasperikova E, Morrison H F. Mapping of induced polarization using natural fields. 66th Annual Internat SEG Mtg. Expanded Abstracts, 1996. 603~606 |
| [4] | Gasperikova E. Mapping of induced polarization using natural fields. Berkeley: University of California at Berkeley, 1999 . |
| [5] | Gasperikova E, Morrison H F. Mapping of induced polarization using natural fields. Geophysics , 2001, 66(1): 137-147. DOI:10.1190/1.1444888 |
| [6] | Dias C A. Developments in a model to describe low-frequency electrical polarization of rocks. Geophysics , 2000, 65(2): 437-451. DOI:10.1190/1.1444738 |
| [7] | 吴汉荣, 王式铭. 利用天然电磁场进行激发极化法测量的可能性. 物探与化探 , 1978(1): 62–64. Wu H R, Wang S M. The feasibility of nature source induced polarization. Geophysical and Geochemical Exploration (in Chinese) , 1978(1): 62-64. |
| [8] | 杨进, 谭捍东, 傅良魁. 被动源激发极化法的野外试验结果. 现代地质 , 1998, 12(3): 437–441. Yang J, Tan H D, Fu L K. Results of field test for the IP method using the passive source. Geoscience (in Chinese) , 1998, 12(3): 437-441. |
| [9] | 杨进, 谭捍东, 傅良魁. 被动源激发极化法的数值模拟结果. 现代地质 , 1999, 13(Suppl): 112–113. Yang J, Tan H D, Fu L K. Results of numerical modeling for the IP method using the passive source. Geoscience (in Chinese) , 1999, 13(Suppl): 112-113. |
| [10] | Chen Q L. Fundamental study on induced polarization under natural electromagnetic source . Beijing: China University of Geosciences, 2001 . |
| [11] | 李金铭, 陈清礼, 杨冠鼎, 等. 极化水平层上天然场源激电测深的理论研究. 物探与化探 , 2003, 27(4): 280–283. Li J M, Chen Q L, Yang G D, et al. A therotical study of induced polarization sounding under natural electromagnetice source over the polarizatal horizontal lauer. Geophysical and Geochemical Exploration (in Chinese) , 2003, 27(4): 280-283. |
| [12] | 李勇, 林品荣, 王有学, 等. 天然场激电法的探讨. 物探化探计算技术 , 2006, 28(Suppl): 74–80. Li Y, Lin P R, Wang Y X, et al. A discuss on natural source induced polarization. Computing Techniques for Geophysical and Geochemical Exploration (in Chinese) , 2006, 28(Suppl): 74-80. |
| [13] | Li Y. Research of natural source induced polarization information extraction . Guilin: Guilin University of Technology, 2007 . |
| [14] | 曹中林, 何展翔, 昌彦君. MT激电效应的模拟研究及在油气检测中的应用. 地球物理学进展 , 2006, 21(4): 1252–1257. Cao Z L, He Z X, Chang Y J. A simulation study of induced polarization effect of magnetotelluric and its application in oil and gas detection. Progress in Geophysics (in Chinese) , 2006, 21(4): 1252-1257. |
| [15] | 岳安平, 底青云, 王妙月, 等. 油气藏MT激电效应一维正演研究. 石油地球物理勘探 , 2009, 44(3): 364–370. Yue A P, Di Q Y, Wang M Y, et al. 1-D forward simulation of MT induced polarization (IP) effect of reservoir. Oil Geophysical Prospecting (in Chinese) , 2009, 44(3): 364-370. |
| [16] | 罗延钟, 张胜业, 熊彬. 天然场源激电法的可行性. 地球物理学报 , 2003, 46(1): 125–130. Luo Y Z, Zhang S Y, Xiong B. Feasibility of natural source induced polarization. Chinese J. Geophys. (in Chinese) , 2003, 46(1): 125-130. |
| [17] | 岳安平, 底青云, 石昆法. 从CSAMT信号中提取IP信息探讨. 地球物理学进展 , 2007, 22(6): 1925–1930. Yue A P, Di Q Y, Shi K F. The discussion on the IP information extraction from CSAMT signal. Progress in Geophysics (in Chinese) , 2007, 22(6): 1925-1930. |
| [18] | 岳安平, 底青云, 王妙月, 等. 含激电效应的CSAMT一维正演研究. 地球物理学报 , 2009, 52(7): 1937–1946. Yue A P, Di Q Y, Wang M Y, et al. 1-D forward modeling of the CSAMT signal incorporating IP effect. Chinese J. Geophys. (in Chinese) , 2009, 52(7): 1937-1946. |
| [19] | Yue A P, Wang M Y, Shi K F, et al. Preliminary study on IP information in signal of extremely low-frequency electromagnetic sounding with artificial high-power fixed source. Abstracts of the 19th International Workshop of Electromagnetic Induction in the Earth. Expanded Abstracts, 2008. 794~799 |
| [20] | 王隆平, 温佩琳. 论TEM法中的IP效应. 中南工业大学学报(自然科学版) , 1998, 29(3): 209–211. Wang L P, Wen P L. IP effects in TEM response. Journal of Central South University of Technology(Natural Science) (in Chinese) , 1998, 29(3): 209-211. |
| [21] | Kozhevnikov N O, Antonov E Y. Fast-decaying IP in frozen unconsolidated rocks and potentialities for its use in permafrost-related TEM studies. Geophysical Prospecting , 2006, 54(4): 383-397. DOI:10.1111/gpr.2006.54.issue-4 |
| [22] | 汤井田, 黄磊, 余灿林, 等. CSAMT法中极化层的视电阻率响应. 工程地球物理学报 , 2008, 5(6): 648–651. Tang J T, Huang L, Yu C L, et al. The responsibility of apparent resistivity curves on CSAMT for polarized layer. Chinese Journal of Engineering Geophysics (in Chinese) , 2008, 5(6): 648-651. |
| [23] | 刘磊, 昌彦君, 曹中林. 可极化大地上CSAMT激发极化效应的研究. 工程地球物理学报 , 2008, 5(6): 686–690. Liu L, Chang Y J, Cao Z L. Research on induced polarization effect of CSAMT on polarizable horizontal layer. Chinese Journal of Engineering Geophysics (in Chinese) , 2008, 5(6): 686-690. |
| [24] | 何继善编译. 可控源音频大地电磁法. 长沙: 中南工业大学出版社, 1990 . He J S. Controlled Source Audio Frequency Magnetotellurics Method (in Chinese). Changsha: Central South University of Technology Press, 1990 . |
| [25] | 汤井田, 何继善著. 可控源音频大地电磁法及其应用. 长沙: 中南大学出版社, 2005 . Tang J T, He J S. Controlled Source Audio Frequency Magnetotellurics Method and Its Applications (in Chinese). Changsha: Central South University Press, 2005 . |
| [26] | 底青云, 王若. 可控源音频大地电磁数据正反演及方法应用. 北京: 科学出版社, 2008 . Di Q Y, Wang R. CSAMT Forward Modeling and Inversion and Its Application (in Chinese). Beijing: Science Press, 2008 . |
| [27] | Pelton W H, Ward S H, Hallof P G, et al. Mineral discrimination and removal of inductive coupling with multifrequency IP. Geophysics , 1978, 43: 588-609. DOI:10.1190/1.1440839 |
| [28] | 李勇, 林品荣, 徐宝利. 电离层影响层状介质长导线源的电磁场. 物探化探计算技术 , 2009, 31(3): 183–188. Li Y, Lin P R, Xu B L. Electromagnetic response of the long wire source on the layered media under ionosphere coupling. Computing Techniques for Geophysical and Geochemical Exploration (in Chinese) , 2009, 31(3): 183-188. |
2011, Vol. 54





