2. 中国气象局气候研究开放实验室,国家气候中心,北京 100081;
3. 山西省晋中市气象局,山西晋中 030600;
4. 北京市气象局,北京 100081
2. Laboratory for Climate Studies, National Climate Center, China Meteorological Administration, Beijing 100081,China;
3. Jinzhong Meteorological Bureau of Shanxi Province, Shanxi Jinzhong 030600,China;
4. Beijing Meteorological Bureau, Beijing 100089, China
极端天气气候事件频率和强度的变化受到科学界、政府部门和公众的极大关注.Karl等人[1]的研究表明,美国和前苏联地区的平均最低气温在过去几十年有明显的上升趋势,平均高温气温的变化区域性较强,大范围看无明显的变化趋势;Plummer[2]指出,澳大利亚平均最低气温呈上升趋势,而平均最高气温的变化趋势则很弱;Frich 等人[3] 和Alexander等人[4]对极端气候事件指标进行了研究,结果表明在近50年全球陆地区域夏季暖夜频次显著增加,冬季冷夜频次和霜冻日数显著减少.
对中国地区的研究表明,近几十年全国平均最高气温略有增加,而最低气温显著升高,气温日较差显著减小[5, 6],且在各个季节中冬季最低气温上升最明显[7, 8];中国北方夜间气温极端偏低的日数显著趋于变少,白天气温极端偏高的日数有所增多,日最低气温小于0 ℃ 的日数显著减少[9, 10];谢庄等人[11]指出,1940~1990年北京地区最低气温明显上升,最高气温反而下降,结果导致日较差减少;Yan等人[12]发现1940~1970年北京地区极端冷事件频率在减少,极端暖事件频率在增加.
早先的研究还发现,城市热岛效应等因素对于城市附近气象台站观测到的地面平均气温趋势变化具有明显的影响[13~18].在华北地区,由于受城市化影响国家基准气候站和基本气象站网观测的年平均地面气温上升幅度非常明显,城市化对全部增温趋势的贡献率达到了37.9%[18].城市化因素对北京地区国家基准气候站和基本气象站年平均气温变化的影响更加显著[17].
由于迄今大多数研究中所用各类极端气温指数均由日最高和最低气温记录导出,上述研究结果暗示,城市化对全球陆地区域地面极端气温指数变化趋势可能具有明显的影响[19].但到目前为止,这个问题还没有引起足够重视,对于单站和区域尺度极端气温变化序列中的城市化影响分析还很少,尤其没有对国家基准气候站和基本气象站观测的极端气温事件频率变化趋势进行过系统评价.最近,周雅清等人[20]利用华北地区255 个气象站资料,分析了1961~2000年城市化对各类气象台站平均最高和最低气温变化趋势的影响,发现国家基本、基准站观测的年平均最低气温上升趋势中,城市化造成的增温为0.20 ℃/10a,对全部增温的贡献率达52.6%,从一个较大区域尺度上证明了最低气温观测记录中存在着十分明显的城市化影响.此外,季崇萍等人[21]发现北京市夜间热岛强度明显大于日间,暗示北京站记录到的夜间最低气温上升可能在一定程度上是城市热岛强度增加的结果.因此,有必要在早先研究的基础上,进一步分析评价城市化因素对单站和区域平均的极端气温指数变化趋势可能产生的影响.
本文根据北京地区5个乡村气象站和北京站最近49年日最高、最低气温资料,计算分析北京站和乡村站平均的年、季极端气温指数的变化趋势,并对北京站各极端气温指数的城市化影响及城市化影响贡献率进行定量估计.
2 资料和方法采用北京地区共6个气象站的逐日最高、最低气温资料,资料来源于国家气象信息中心.其中,北京、上甸子和霞云岭站资料选用时段为1960~2008年,佛爷顶、斋堂和汤河口气象站由于开始观测时间较晚,仅有30~34年不等的记录.此外,一些站还存在少量缺测现象,但缺测数据仅占总数据量的0.27%,不影响资料的可靠性.台站分布情况见图 1,其基本信息列于表 1.人口信息来自中国统计局[22].
|
图 1 (a)北京站和北京地区乡村站的分布;(b)北京站在市区的位置 Fig. 1 (a)The distribution of Beijing station and Beijing area rural stations;(b) Location of Beijing station in the city |
|
|
表 1 北京地区气象台站信息 Table 1 Information about meteorological stations in Beijing area |
为进一步保证气温资料的质量,对观测数据再次进行了质量控制.质量控制按以下步骤进行:(1)最高气温减去最低气温为负值则标记为错误值,且最高气温和最低气温均按照缺测值处理.经检验本数据集中不存在此类错误值;(2)超出平均值4倍标准差的记录被标记可疑值,根据邻近台站的对应记录进行人工判断,合理的记录保留,不合理的记录按缺测值处理.在此数据集中出现了9个可疑值,与周围台站资料进行对比,确定存在1个不合理值,并按缺测值处理;(3)所有缺测值取本站1971~2000 年的平均值,资料序列不足30年的,取1971~2000年期间记录存在年份的平均值.
北京和上甸子站发生过迁移.上甸子站1988年1月迁移1次,经纬度略有改变,高度增加约20 m.本文采用滑动t检验方法分别对上甸子站最高、最低气温和气温日较差序列进行了均一性检测,但在上述迁站时间附近未发现有跃变点,因此决定不做订正.由于已经对作为国家基本站的北京站进行了均一性检验和订正[23],因此未对其进行检验和处理.
本文选取1971~2000年为气候参考期,资料序列不足30年的取参考期内所有年份的平均值.表 2列出了本文所分析的极端气温指数[4],其中高温日数的阈值鉴于研究区域的差异确定为35 ℃.
百分位指数定义的方法:将某站1971~2000年中同日的最高(低)气温资料按升序排列,得到该日第90(10)个最高(低)气温的百分位值,照此方法可得到365个最高(低)气温的第90(10)个百分位值.百分位值在一年内的分布情况可能不连续,因此采用5日滑动平均对其进行处理,将滑动平均后的百分位值作为极端高(低)温事件的上(下)阈值.如果某日的最高气温超过了该日极端气温事件的上阈值,则认为该日出现了极端高温事件;同理,如果某日的最低温度低于该日极端气温事件的下阈值,则认为该日出现了极端低温事件.
乡村站的选取综合参考初子莹等人[17]和周雅清等人[18]的方法.初子莹等人[17]对1979~2000 年北京地区20个台站年和季节平均气温做经验正交函数分解(EOF),认为空间函数第二特征向量指示城市热岛效应或土地利用等局地因素对地面气温的影响,并将年和季节平均气温EOF第二特征向量均为负值的站作为“乡村"站;周雅清等人[18]根据台站记录和人口数据,要求台站附近居民点的常住人口数量最多不能超过8万.最后从20个台站中筛选出霞云岭、斋堂、佛爷顶、汤河口和上甸子等5 个乡村站.首先建立各单站月极端气温指数的距平序列,在此基础上计算北京站和乡村站季节、年平均极端气温指数距平序列的线性趋势;然后将北京站和乡村站平均的趋势进行比较,得到城市化影响和城市化影响贡献率.对极端气温指数序列变化趋势的估计采用最小二乘法计算.季节划分的方法是:1,2 月和上年12月为冬季,3~5 月为春季,6~8 月为夏季,9~11月为秋季.
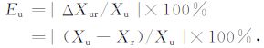
为了定量评价城市化对极端气温指数变化趋势的影响,参照周雅清等人[20]定义如下术语:城市化影响:指由于城市热岛效应加强等因素引起的城市附近台站极端气温指数线性趋势的变化,用ΔXur表示.设Xu 为城市站极端气温指数的变化趋势,Xr 为乡村站极端气温指数的变化趋势.城市化影响(ΔXur)的表达式为
|
(1) |
当ΔXur >0时,表示城市化影响使极端气温指数上升或增加;当ΔXur =0时,表示城市化影响为0;当ΔXur <0时,表示城市化影响使极端气温指数下降或减少.城市化影响贡献率:指城市化影响对城市附近台站极端气温指数趋势变化的贡献率,即城市化影响在城市附近台站极端气温指数趋势变化中所占的比率,用Eu 表示.城市化影响贡献率(Eu)的表达式为
|
(2) |
考虑到使城市化影响贡献率0≤Eu ≤100%,所以取了绝对值.当Eu=0 时,表示城市化对城市站极端气温指数的变化趋势没有贡献;当Eu=100%时,表示城市站极端气温指数的变化完全是由城市化影响造成的.实际计算当中,少数情况下Eu 可能超过100%,说明可能存在某种尚未认清的局地因子影响,但这种情况均按100%处理.
3 结果分析 3.1 城市和乡村站极端气温指数变化趋势表 3给出了1960~2008年5个乡村站平均和北京站极端气温指数变化趋势.图 2为1960~2008年5个乡村站和北京站年极端气温指数距平值及变化趋势.年结冰日数、高温日数、冷昼日数、暖昼日数、平均最高气温等极端气温指数在北京站和在乡村站变化趋势相似,均表现为极端低温事件减少,极端高温事件增多.北京站的年霜冻日数和冷夜日数显著减少,趋势分别为-5.45d/10a和-15.9d/10a,而暖夜日数和平均最低气温显著增加,趋势分别为13.79d/10a和0.67 ℃/10a,所有变化趋势均通过了0.01水平的显著性检验;但乡村站年霜冻日数、冷夜日数、暖夜日数和平均最低气温等极端气温指数均无显著性变化.因此,平均最高气温和基于最高气温的极端气温指数在城市和乡村具有相似的变化,但不是所有变化趋势都通过了显著性检验;而平均最低气温和基于最低气温的夜间极端气温指数在城市发生了显著的变化,但在乡村没有经历明显变化.尽管平均最高气温都表现为增加,但由于北京站平均最低气温大幅下降,乡村站平均最低气温没有明显变化,因此北京站气温日较差显著减小,而乡村站气温日较差显著增大.
|
|
表 3 1960〜2008年北京地区乡村站和北京站极端气温指数变化趋势(单位:d/10a或℃/10a) Table 3 Trends of extreme temperature indices of rural stations andBdjing Station for I960〜2008 (unit: d/10a or ℃/10a) |
|
图 2 1960〜2008年北京站(红)和北京地区乡村站(蓝)年平均极端气温指数距平,黑实线为趋势线 Fig. 2 Anomalies of annual mean extreme temperature indices of rural stations (blue) and Beijing Station (red) for 1960〜2008. The black solid lines show the linear trends |
由于霜冻日数、结冰日数和高温日数等极端事件季节性强,故本文只分析其年变化情况.其他极端气温指数在各个季节与年平均变化趋势相近(表 3和图 2).各个季节冷昼日数、暖昼日数、平均最高气温等极端气温指数在北京站和在乡村站变化趋势方向相同,且均表现为极端低温事件减少,极端高温事件增多.冷昼日数和平均最高气温在冬季变化最明显,暖昼日数在冬、秋季变化最显著.北京站冷夜日数四季均显著下降,暖夜日数、平均最低气温四季均显著上升,变化趋势均通过了0.01 显著性水平检验,其中冷夜日数、平均最低气温在冬季变化最明显,暖夜日数在夏季变化最显著.乡村站四季冷夜日数、暖夜日数、平均最低气温的变化都不显著,但气温日较差四季均出现显著性增大.
3.2 城市化影响分析表 4和图 3给出了北京站年极端气温指数趋势变化中的城市化影响和城市化影响贡献率.1960~2008年,城市化造成北京站年霜冻日数、冷夜日数显著减少,暖夜日数和平均最低气温显著增加,城市化对这些极端气温指数趋势变化的影响都通过了0.01显著性水平检验.其中,霜冻日数和冷夜日数序列中的城市化影响分别为-5.78d/10a和-17.83d/10a,暖夜日数和平均最低气温序列中的城市化影响分别是14.76d/10a和0.70 ℃/10a,城市化影响贡献率均达到100%.近49年北京站结冰日数、高温日数、冷昼日数、暖昼日数和平均最高气温等极端气温指数趋势变化中的城市化影响很小,均未通过显著性检验,分别为0.80d/10a、-0.26d/10a、-0.85d/10a、-1.04d/10a和-0.04 ℃/10a,对应的城市化影响贡献率分别为37.23%、98.15%、21.08%、18.10%和17.71%.由于平均最低气温受城市化影响显著上升,因此平均日较差受城市化影响显著减小,且城市化影响贡献率为100%.
|
|
表 4 1960〜2008年北京站极端气温指数序列中的城市化影响和城市化影响贡献率 Table 4 Effects of urbanization on extreme temperature indices trends and contribution of urbanization effect to extreme temperature indices trends for Beijing Station for period I960〜2008 |
|
图 3 1960〜2008年北京站极端温度指数的城市化影响和城市化影响的贡献率 Fig. 3 Effects of urbanization on extreme temperature indices trend and the contribution of the effects of urbanization |
因此,北京站基于日最低气温的年极端气温指数变化趋势受城市化影响均很显著,但基于日最高气温的极端气温指数变化趋势受城市化影响很弱.由于最高气温指数趋势变化中的城市化影响为弱的负值,城市化对各相关极端气温指数变化趋势的影响也是负值,说明城市化因素可能造成北京站白天最高气温相对乡村站下降了.
从各季节来看,由城市化造成的北京站冷夜日数四季均显著减少,暖夜日数、平均最低气温四季均显著增加,城市化影响都通过了0.01显著性水平检验(表 4和图 3).平均最低气温的城市化影响在冬季最大为0.83 ℃/10a,城市化影响贡献率为86.42%;而暖夜日数的城市化影响在夏季最显著,达到4.69d/10a,城市化影响贡献率为100%.由于城市化影响造成四季平均最低气温均显著上升,从而使平均气温日较差受城市化影响在四季都明显减小,且均通过了0.01显著性水平检验,城市化影响贡献率均达到100%.冷昼日数、暖昼日数、平均最高气温等极端气温指数趋势变化中的城市化影响在各季节均未达到显著性水平.
4 讨 论目前分析城市化对单站或区域平均极端气温事件影响的工作还很少.有不少研究对陆地区域平均最高、最低气温和气温日较差的变化进行了分析,发现地面气温的上升是不对称的,最低气温上升很明显,而最高气温上升趋势较弱,气温日较差明显变小[1, 11, 24~28].地面气温长期趋势变化的这种“非对称性"现象在国内外的大量研究中得到证实.谢庄等人[11]较早指出北京站最低气温明显上升、而最高气温反而下降的非对称性变化,这种变化导致气温日较差显著减少.
陈正洪等[29]在研究湖北省城市化对平均气温变化趋势影响的同时,分析了城市热岛效应对平均最高和最低气温变化趋势的影响及其热岛增温贡献率,发现1961~2000年城市热岛效应导致城市台站的年平均最低气温增加速率比最高气温增加速率快接近1倍,热岛增温贡献率均在70% 以上,但平均最高气温的热岛增温贡献率更大.周雅清等[20]分析了1961~2000年城市化对华北地区各类城市台站和国家基准气候/基本气象站平均最高和最低气温变化趋势的影响,发现城市化对平均最高气温变化趋势的影响微弱,个别台站和季节甚至可能造成降温,而对平均最低气温变化趋势的影响非常明显,国家基准气候/基本气象站观测的年平均最低气温上升趋势中,城市化影响贡献率达到52.6%,城市化影响也是乡村站以外的各类气象台站气温日较差明显减小的唯一因子.
本文对北京站的分析结果印证了谢庄等[11]和陈正洪等[29]的研究,并且表明城市化对北京站平均最低气温变化的影响比最高气温变化的影响大得多;本文研究结果与周雅清等[20]针对华北地区的分析结论非常相似,两项研究均指出,1960 年以来平均最高气温序列中的城市化影响很弱,而平均最低气温序列中的城市化影响则十分明显,气温日较差明显减小趋势完全由城市化因素造成.本文和周雅清等[20]的研究说明,长期以来国内外研究者反复证实的“气温非对称性变化"现象,主要与城市化对常用观测站网地面最低气温的明显增加效应有关.司鹏等[30]对北京站1960~2006年地面气温序列中的城市化影响进行了分析,发现年平均最高气温、平均最低气温和平均气温日较差序列中的城市化影响分别为0.108 ℃/10a、0.299 ℃/10a和-0.191 ℃/10a,对应的城市化影响贡献率分别为31.6%、46.4%和57.4%;平均最高气温在春季的城市化影响最明显,平均最低气温、平均日较差在冬季的城市化影响最显著.这些分析结果与本文部分一致,但也存在明显差异.本文分析表明,城市化对北京站平均最低气温和气温日较差趋势变化的影响更大些,而城市化对平均最高气温变化的影响则弱得多.造成这种差异的原因主要在乡村站或参考站点的选取上,也可能与资料处理方法及线性趋势计算方法不同有一定关系.
除了分析城市化对平均最高、最低气温和气温日较差变化趋势的影响外,本文还进一步分析了城市化因素对基于日最高、最低气温资料的主要极端气温指数变化趋势的影响.这种分析是迄今国内外研究中未见报道的.本文的分析表明,城市化对北京站霜冻日数、冷夜日数和暖夜日数等基于日最低气温的极端气温指数趋势变化均产生了明显的影响,而对结冰日数、冷昼日数和暖昼日数等基于日最高气温的极端气温指数趋势变化影响很小.造成这种现象的一个原因是白天的城市热岛强度要小于夜间[21],城市热岛强度的这种非对称性致使北京站最低气温上升迅速,而最高气温上升缓慢,基于日最低气温的极端气温指数趋势变化显著,而基于日最高气温的极端气温指数趋势变化较小.另一个可能影响因子是城乡站上空气溶胶的差异.白天城市内和近郊区更高浓度的气溶胶减弱了太阳直接辐射和总辐射,可能在一定程度上消弱甚至抵消了城市热岛效应的增温作用,致使由于城市热岛效应加强因素引起的相对不明显的最高气温上升幅度进一步减小,相关的极端气温指数变化也很小;夜间城市上空的气溶胶则减弱了北京站附近的外逸地面长波辐射和冷却效应,在增强的城市热岛效应基础上,进一步增强了平均最低气温的上升速率,增强了基于日最低气温的极端气温指数变化趋势.因此,城市化对城市站平均气温以及最高、最低气温的影响,至少包含了城市热岛强度和气溶胶浓度增加两个因素的作用.
城市化因素不仅对北京站等具有长序列观测资料的台站地面平均气温变化趋势造成显著影响,也对基于日最低气温计算的各种极端气候指数序列的趋势变化具有明显的影响,而且这种影响甚至更突出.今后在开展与气温有关的极端气候事件频率变化研究时,要充分注意这个问题.
5 结 论采用北京地区6个气象站1960~2008 年逐日最高、最低气温资料,分析了北京站和5个乡村站平均的极端气温指数变化趋势,并检验了城市化因素对北京站极端气温指数变化趋势的影响及贡献率,得到以下结论:
(1) 北京站年极端气温指数序列中,霜冻日数、冷夜日数、冷昼日数和平均气温日较差均显著减少,暖夜日数、暖昼日数、平均最高气温和平均最低气温均显著上升,这些指数的趋势变化均通过了0.01显著性水平检验,其中霜冻日数、冷夜日数、暖夜日数、平均最低气温、平均气温日较差的变化趋势比冷昼日数、暖昼日数、平均最高气温的变化趋势更明显,说明基于日最低气温的极端气温指数比基于日最高气温的极端气温指数的变化趋势更显著.这些结果与过去多数研究结论是一致的.北京地区5个乡村站各极端气温指数虽也发生了一定变化,但这种变化主要与平均最高气温的明显上升有关,表现为结冰日数减少、冷昼日数减少、暖昼日数增加、气温日较差增大,而与最低气温有关的各项极端气温指数变化趋势均不明显.
(2) 北京站年霜冻日数、冷夜日数、暖夜日数和平均最低气温等极端气温指数序列中的城市化影响非常显著,分别为-5.78d/10a、-17.83d/10a、14.76d/10a和0.70 ℃/10a,对应的城市化影响贡献率均为100%;而年结冰日数、高温日数、冷昼日数、暖昼日数和平均最高气温等极端气温指数序列中的城市化影响一般很弱,分别仅为0.80d/10a、-0.26d/10a、-0.85d/10a、-1.04d/10a和-0.04℃/10a,对应的城市化影响贡献率为37.23%、98.15%、21.08%、18.10%和17.71%;由于平均最低气温序列中的城市化影响显著,因此北京站平均气温日较差受城市化影响显著减小,减少幅度达到-0.73 ℃/10a,其城市化影响贡献率为100%.
(3) 城市化致使北京站的冷夜日数、平均气温日较差四季均显著减少,暖夜日数、平均最低气温四季均显著增加,其中冬季的平均最低气温和气温日较差趋势变化中的城市化影响最明显,而夏季的暖夜日数趋势变化中的城市化影响最显著;冷昼日数、暖昼日数和平均最高气温等极端气温指数的城市化影响在各季节均未达到显著性水平.
因此,北京站基于日最低气温的极端气温指数变化趋势受城市化影响十分显著,而基于日最高气温的极端气温指数受城市化影响很小,早先研究发现的“气温非对称性变化"现象[11]主要是由于城市化造成夜间最低气温显著上升所引起的.造成夜间和白天极端气温指数序列中城市化影响性质与程度明显差异的原因,可能同城市热岛效应的非对称性以及城市上空更高浓度的气溶胶影响有关.
| [1] | Karl T R, Kukla G, Razuvayev V N, et al. Global warming: Evidence for asymmetric diurnal temperature changes. Geophy Res Lett , 1991, 18: 2253-2256. DOI:10.1029/91GL02900 |
| [2] | Plummer N. Temperature variability and extreme over Australia: Part 1—recent observed changes. Aust Meteorol Mag , 1996, 45: 233-250. |
| [3] | Frich P, Alexander L V, Della-Marta P, et al. Observed coherent changes in climatic extremes during the second half of the 20th Century. Climate Res , 2002, 19: 193-212. DOI:10.3354/cr019193 |
| [4] | Alexander L V, Zhang X, Pererson T C, et al. Global observed changes in daily climate extremes of temperature and precipitation. J Geophys Res , 2006, 111: D05109. DOI:10.1029/2005JD006290 |
| [5] | 翟盘茂, 潘晓华. 中国北方近50年温度和降水极端事件变化. 地理学报 , 2003, 58(Suppl): 1–10. Zhai P M, Pan X H. Change in extreme temperature and precipitation over northern China during the second half of the 20th century. Acta Geographica Sinica (in Chinese) , 2003, 58(Suppl): 1-10. |
| [6] | Zhai P M, Pan X H. Trends in temperature extreme during 1951-1999 in China. Geophy Res Lett , 2003, 30(17): 1-4. |
| [7] | 王翠花, 李雄, 缪启龙. 中国近50年来日最低气温变化特征研究. 地理科学 , 2003, 23(4): 441–447. Wang C H, Li X, Miao Q L. Study of characteristics of daily minimum temperature change in China. Scientia Geographica Sinica (in Chinese) , 2003, 23(4): 441-447. |
| [8] | 张宁, 孙照渤, 曾刚. 1955-2005年中国极端气温的变化. 南京气象学院学报 , 2008, 31(1): 123–128. Zhang N, Sun Z B, Zeng G. Change of extreme temperatures in China during 1955-2005. Journal of Nanjing Institute of Meteorology (in Chinese) , 2008, 31(1): 123-128. |
| [9] | 丁一汇, 任国玉, 翟盘茂, 等. 气候变化国家评估报告. 北京: 科学出版社, 2007 : 30 -37. Ding Y H, Ren G Y, Zhai P M, et al. National Assessment Report of Climate Change (in Chinese). Beijing: Science Press, 2007 : 30 -37. |
| [10] | 丁一汇, 任国玉. 中国气候变化科学概论. 北京: 气象出版社, 2008 : 87 -99. Ding Y H, Ren G Y. Introduction to Climate Change Science of China (in Chinese). Beijing: Meteorological Press, 2008 : 87 -99. |
| [11] | 谢庄, 曹鸿兴. 北京最高和最低气温的非对称变化. 气象学报 , 1996, 54(4): 501–507. Xie Z, Cao H X. The asymmetric trend of change in maximum and minimum temperature in Beijing. Acta Meteor Sinica (in Chinese) , 1996, 54(4): 501-507. |
| [12] | Yan Z W, Yang C. Influence of inhomogeneity on the estimation of mean and extreme temperature trends in Beijing and Shanghai. Adv Atmos Sci , 2001, 18(3): 309-322. DOI:10.1007/BF02919312 |
| [13] | Karl T R, Jones P D. Urban bias in area-averaged surface air temperature trends. B Am Meteorol Soc , 1989, 70(3): 265-270. DOI:10.1175/1520-0477(1989)070<0265:UBIAAS>2.0.CO;2 |
| [14] | 赵宗慈. 近39年中国气温变化与城市化影响. 气象 , 1991, 17(4): 14–16. Zhao Z C. Surface temperature variability and urbanization effect on it over the past 39 years in China. Meteor Mon (in Chinese) , 1991, 17(4): 14-16. |
| [15] | 林学椿, 于淑秋. 北京地区气温的年代际变化和热岛效应. 地球物理学报 , 2005, 48(1): 39–45. Lin X C, Yu S Q. Interdecadal changes of temperature in the Beijing region and its heat island effect. Chinese J Geophys (in Chinese) , 2005, 48(1): 39-45. DOI:10.1002/cjg2.v48.1 |
| [16] | 林学椿, 于淑秋, 唐国利. 北京城市化进程与热岛强度关系的研究. 自然科学进展 , 2005, 15(7): 882–886. Lin X C, Yu S Q, Tang G L. Research on the relationship between urbanization and urban heat island in Beijing City. Progress of Natural Sciences (in Chinese) , 2005, 15(7): 882-886. |
| [17] | 初子莹, 任国玉. 北京地区城市热岛强度变化对区域温度序列的影响. 气象学报 , 2005, 63(4): 534–540. Chu Z Y, Ren G Y. Effect of enhanced urban heat island magnitude on average surface air temperature series in Beijing region. Acta Meteor Sinica (in Chinese) , 2005, 63(4): 534-540. |
| [18] | 周雅清, 任国玉. 华北地区地表气温观测中城镇化影响的检测和订正. 气候与环境研究 , 2005, 10(4): 743–753. Zhou Y Q, Ren G Y. Identifying and correcting urban bias for regional surface air temperature series North China over period of 1961-2000. Climatic and Environmental Research (in Chinese) , 2005, 10(4): 743-753. |
| [19] | 任国玉. 关于极端气温变化研究的几个问题. 北京: 科学出版社, 2009 : 85 -86. Ren G Y. On issues of extreme temperature change researches (in Chinese). Beijing: Science Press, 2009 : 85 -86. |
| [20] | 周雅清, 任国玉. 城市化对华北地区最高、最低气温和日较差变化趋势的影响. 高原气象 , 2009, 28(5): 1158–1166. Zhou Y Q, Ren G Y. Urbanization effect on trends of mean maximum temperature, minimum temperature and daily temperature range in North China. Plateau Meteorology (in Chinese) , 2009, 28(5): 1158-1166. |
| [21] | 季崇萍, 刘伟东, 轩春怡. 北京城市化进程对城市热岛的影响研究. 地球物理学报 , 2006, 49(1): 69–77. Ji C P, Liu W D, Xuan C Y. Impact of urban growth on the heat island in Beijing. Chinese J Geophys (in Chinese) , 2006, 49(1): 69-77. |
| [22] | 中国统计局. 中国乡、镇、街道人口资料. 北京: 中国统计出版社, 2002 : 1 -6. China Statistic Bureau. Population Data of China Towns and City Districts (in Chinese). Beijing: China Statistic Press, 2002 : 1 -6. |
| [23] | Li Q X, Liu X N, Zhang H Z, et al. Detecting and adjusting temporal inhomogeneity in Chinese mean surface air temperature data. Adv Atmos Sci , 2004, 21(2): 260-268. DOI:10.1007/BF02915712 |
| [24] | Easterling D R, Horton B, Jones P D, et al. Maximum and minimum temperature trends for the globe. Science , 1997, 277: 364-367. DOI:10.1126/science.277.5324.364 |
| [25] | 翟盘茂, 任福民. 中国近四十年最高最低温度变化. 气象学报 , 1997, 55(4): 418–429. Zhai P M, Ren F M. Maximum and minimum temperature change of China over the past 40 years. Acta Meteorologica Sinica (in Chinese) , 1997, 55(4): 418-429. |
| [26] | Qian W H, Lin X. Regional trends in recent temperature and indices in China. Climate Res , 2004, 27: 119-134. DOI:10.3354/cr027119 |
| [27] | 华丽娟, 马柱国, 罗德海. 1961-2000年中国区域气温较差分析. 地理学报 , 2004, 59(5): 680–688. Hua L J, Ma Z G, Luo D H. Analysis of temperature range from 1961 through 2000 across China. Acta Geographica Sinica (in Chinese) , 2004, 59(5): 680-688. |
| [28] | 陈正洪, 王海军, 任国玉. 武汉市城市热岛强度非对称性变化. 气候变化研究进展 , 2007, 3(5): 282–286. Chen Z H, Wang H J, Ren G Y. Asymmetrical change of urban heat island intensity in Wuhan,China. Advances in Climate Change Research (in Chinese) , 2007, 3(5): 282-286. |
| [29] | 陈正洪, 王海军, 任国玉, 等. 湖北省城市热岛强度变化对区域气温序列的影响. 气候与环境研究 , 2005, 10(4): 771–779. Chen Z H, Wang H J, Ren G Y, et al. Change of urban heat island intensity and its effect on regional temperature series: A case study in Hubei Province. Climatic and Environmental Research (in Chinese) , 2005, 10(4): 771-779. |
| [30] | 司鹏, 李庆祥, 轩春怡, 等. 城市化对北京气温变化的贡献分析. 自然灾害学报 , 2009, 18(4): 138–144. Si P, Li Q X, Xuan C Y, et al. Contribution of urbanization to change of air temperature in Beijing. Journal of Natural Disasters (in Chinese) , 2009, 18(4): 138-144. |
2011, Vol. 54





