自20世纪40年代以来,在应用地震资料进行钻前油气藏预测的研究中,相继出现“亮点"、“暗点"、AVO、模式识别和神经网络等[1~4]诸多技术,试图直接由地震剖面显示的属性特征,判别探区内是否含有油气.历经半个世纪的实践,人们逐渐意识到油气储藏所赋存的地质圈闭条件有别,即使相同类别的油气藏(田)也会呈现其自身特性的差异;因此,导致现有成型技术的应用效果差异巨大.
20世纪以来,国内外学者在应用地球物理方法直接识别油气储层空间展布方面做了大量的尝试性工作.顾功叙等[5]借助于地震反射界面性质差异寻找油气,利用地震反射特性与测井地层物性的综合进行地层特征的横向追踪;黄绪德等[6]对地震资料作多参数提取及优选复合,可直接判断储层中油、气、水,或对干层识别的研究.O′Doherty 等[7]通过具体公式分析了如何利用振幅和波形变化来检测岩石特性及沉积旋回周期,指出对地震记录振幅衰减与频谱变化的联合研究可以判断沉积类型.Banik等[8]重新推导出了新的O′Doherty-Anstey公式,并将其用于沉积序列随机模型的研究.Shapiro等[9]在此基础上,将O′Doherty-Anstey公式推广到倾斜入射情况,应用范围更加广泛,可以用于对薄层及变密度地层的研究.由于含流体岩石存在的内摩擦性及黏滞性,使得地震波穿过含油气地层时高频能量衰减突出,使能量相对集中到低频部分,故在含油气地层下方出现低频阴影现象[10~12].近年来,基于时频分析的低频阴影油气检测技术受到了广泛的关注,在实际应用中也见到一定效果,波形特征分析方法、地震属性技术等逐渐成为油气预测的基础理论方法[13~16],但是,整体应用效果并不理想,所以,需要新的油气预测理论、方法、技术,以满足面临日益复杂的油气勘探的需要.
局部指数拟合异常提取法(作者曾称为“地震数据体结构特征法")预测油气是近30 年来提出的一种直接用地震数据寻找油气的方法,林昌荣在这方面做了大量理论上和应用上的尝试[17~20],取得了一定进展[21~24].本文针对现有的地震属性油气预测应用效果,深入研究了其潜在的局限性及影响因素,在此基础上,应用地震波形、振幅时间离散采样点的时序几何结构特征,根据其与地层中含有油气的关系,提出了一种新的地震属性提取方法---局部指数拟合异常提取法油气预测技术,详细介绍了这种定量或半定量油气预测的理论方法、实施流程和实效验证结果.通过对普光气田的应用实例分析,表明本文方法的提出不仅对地震勘探理论有了全新的认识和突破,并且能够在实际生产中取得十分显著的经济效益,形成了一种新的、独立的油气预测技术.
2 基本原理与方法研究 2.1 局部指数拟合异常局部指数拟合异常,是指每一地震道离散数据点按时间顺序排列后,分析其所显示的波形特征,通过拓扑变换按指数函数拟合局部地震数据体结构特征异常,并与井关联排序,最后确定油气层.其表现形式分单道和多道两种.单道波形时序是指每一地震道离散数据点按时间顺序排列显示的单道波形特征(图 1).多道则是指道与道之间离散数据点按时间顺序排列后显示的诸多波形相邻数据点的结构特征.
|
图 1 同一测线不同CDP点的反射振幅值纵向排列变化特征示意图 (a)CDP882;(b)CDP884. Fig. 1 Characteristic of reflection amplitude variety in the same line at different CDP (a) CDP 882; (b) CDP 884. |
如图 1所示,由一地震测线抽取并经高倍放大后的两个地震道,图中标注的数据表,分别是由 CDP882和CDP884实际t0 时间对应的振幅值,采样率为2ms.对比这两个地震道可见:在2430 ms至2446ms时间段内的地震道波形是不同的,图 1a2440ms处为波谷,而图 1b却为波峰,且波形走向的斜率不同.此时间段内除波形不同外,时间及空间上地震数据体的结构也有差异;此外,在2454 ms(图 1a)和2460 ms(图 1b)邻近时间点上数值基本一致,为1172.1 和1172,分别见图中两个红叉点,但是,它们的组合、排列却有差异,图 1a2454ms处,上一个坐标点在2452ms处的数值减少为4.9,下一个坐标点在2456ms处的数值增加到2287.1;图 1b2460ms处,上一个坐标点在2458ms处的数值减少为1157.9,下一个坐标点在2462ms处的数值减少到814.9.这类波形在数值基本相同,而排列各异的特征,正是地震数据体中的数据结构在时-空上的差别体现.由上述对局部指数拟合异常定义可知:一为纵向上的时间顺序排列;另一为横向上的空间组合变化特征.借此时- 空关系可作为探索油气储层存在与否的预测途径.
之所以能够依据局部指数拟合异常进行油气预测主要是因为地震信息中包含油气信息.记录在地震测线上的总信息量很大,包含着油气信息和非油气信息这两方面内容.当地震波穿过油气层时不仅地震参数发生了变化,而且出现了不同的局部指数拟合异常.含油气储集层物性与围岩物性的不同,以及流体性质的不同,不仅可以使得地震波穿过该油气层时地震参数的变化出现不同的地震相(即不同的地震反射波特征),而且也会出现不同的局部指数拟合异常.所以,利用局部指数拟合异常如同用差异信息原理一样可以用于储层含油气性的预测.
2.2 预测方法基本原理局部指数拟合异常提取法预测油气满足灰色预测模型原理,因为局部指数拟合异常与油气的关系不是一一对应的确定性关系,而是某种准确性不十分确定的灰色关系,故利用灰色系统理论[25~30]来进行研究是非常合适的.本文通过将灰色系统理论与局部指数拟合异常的基本理论相结合,从而形成了一种新的油气预测方法.其基本原理可简单表述为:在地震道局部(一个同相轴)范围内,利用指数拟合公式:
|
(1) |
拟合地震道x(t)的背景,使x(t)垂向积分拟合残差的统计分布满足高斯分布规律.其中,a为数据行发展系数,u为灰色作用量.这种残差分布与波阻抗反演时(类似于垂向积分)的最小二乘拟合残差分布假定一致,但由于是局部拟合,故又与需要很好的低频分量的整条曲线反演波阻抗不同.这种拟合模型的局部频谱为对称中心为0的低通谱:
|
(2) |
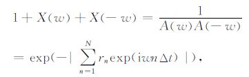
X(w)为地震道的局部频谱,F()表示Fourier变换.根据自回归算子谱分解与O′Doherty公式得:
|
(3) |
rn为上覆层反射系数,此时假定:
|
(4) |
即反射系数rn的频谱是一种低通的谱.因此,本文方法相当于利用地层含油气对地震道振幅与频谱的影响,尽可能检测缓变(垂向)上覆层下面快速变化的反射(灰色异常值),然后对这些反射进行灰关联分析,进而达到油气预测目的.
其实现过程可分为两大步:首先建立灰色模型,即地震振幅数据列参数预测模型,用以确定局部指数拟合异常的灰色异常值;然后将灰色异常值进行关联分析,并通过排序来识别油气水层.
针对局部指数拟合油气预测异常值计算特点,可将其建模工作归纳总结为6 个步骤,具体实现如下:
第一步 设有任一地震振幅数据列.首先建立灰色模型GM(1,n),其中,1 表示一阶,n为变量的维数,实际中通常采用GM(1,1)模型.若给定原始地震数据的振幅数据列:
|
(5) |
式中,下标N表示时间点数,上标(0)表示操作次数.选择任一子数列,并记作
|
(6) |
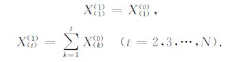
第二步 对子数列作一次累加生成.对子数列式(6)作一次累加生成,其目的是使数据更有规律性,可得新的子序列X(1):
|
(7) |
其中,
|
第三步 用式(7)建立由(8)式表示的灰色模型GM(1,1):
|
(8) |
其中,a反映原始数列和累加数列的发展态势;一般情况下,系统作用量可以是外生的或预设的,而GM(1,1)是单列建模,只用到系统的行为序列,而没有外作用序列.GM(1,1)中的灰色作用量u是从背景值挖掘出来的数据,它反映数据变化的关系,其确切内涵是灰的.灰色作用量是内涵外延化的具体体现,它的存在是区别灰色建模与一般建模的分水岭,也是区分灰色系统观点与灰箱观点的重要标志.
第四步 用最小二乘法求解灰参数列$\hat{a}$,由
|
(9) |
式中,
|
(10) |
|
(11) |
第五步 将灰参数代入(8)式,求得模型值序列:
|
(12) |
即
|
(13) |
第六步 计算X(t)(0) 与$\hat{X}$(t)(0) 之差,得到用灰色预测模型计算的地震振幅数据灰色异常值e(t)(0),同时求出其相对误差q(t):
|
(14) |
求出局部指数拟合异常的灰色异常值后,就要进一步找到与油气密切相关的异常层段,即对所求出的灰色异常值进行关联分析.
同样,实现局部指数拟合异常油气预测灰关联分析[22, 23, 27]也包含几个方面的内容,针对其特点,可分为五步:
第一步 对原始地震振幅数据进行无量纲化处理,如初值化、均值化等.
第三步 求关联系数.设母序列记为x0,即x0 = {x0(1),x0(2),…,x0(n)};子序列为xj即xj={xj(1),xj(2),…,xj(n)}(j=1,2,…,m).各数列间的联系,称为灰关系.灰关系的紧密程度可以用灰关联系数来体现,其表达式为
|
(15) |
表明子序列xj的第k个元素xj(k)与母序列x0 中相应元素x0(k)的相对差值,ξ 为分辨系数.
第四步 求关联度;两条曲线的形状彼此越相似,关联度就越大,反之,则关联度越小.其中的关键是对灰关联矩阵进行分析,找出其中起主导作用的因素.
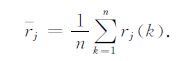
由于关联系数的数目较多,信息不集中,不便于比较.为此,将各个元素下的关联系数取平均值为rj.将rj定义为子序列对母序列的关联度:
|
(16) |
第五步 排出关联序列确定油气层.当参考数列不止一个,被比较因素也不止一个时,就可进行优势分析.下面称参考数列为母数列(或母因素),比较数列为子数列(子因素),由母数列(或母因素)与子数列(子因素)可构成关联矩阵.通过关联矩阵各元素间的关系,分析哪些因素是优势,哪些因素是劣势,最后确定一个关联序列来进行油气的预测[13~15, 20].
3 应用实例应用局部指数拟合异常提取法预测油气层,不仅是简单的方法理论创新,而且在实际应用中有了新的突破.在生产实践中,实现了纵向与横向分辨率按统一算法、统一划分标准确定油气层的预测方法的统一;并在成果表达方面,采用图与表可对比和无量纲黑白标定,使得结果简单明了,有利于含油气区分布规律清楚、分布范围和特征不需太多人为推理的判断,减少了对油气检测的不确定因素.通过20多年来对中国海上和陆上48 个构造、三百多口探井、评价井和生产井的油气钻前预测统计结果表明,该方法在陆相碎屑岩、海相碳酸盐岩以及火成岩油气储层中应用效果很好;深度范围从200~7000m;厚度在5~10m 以上的储层都具有很好的适用性.近几年,将该技术推广应用到中国陆上两大石油公司中,也取得了明显的效果,准确率均达80%以上,经济效益显著.因此,应用局部指数拟合异常提取法预测油气层技术已在油田的勘探、开发中发挥越来越重要的作用,带来了巨大的经济效益.
下面以局部指数拟合异常提取法预测油气层在川东北普光气田的应用为例,验证其有效性.
3.1 地质概况普光气田位于四川盆地东北部,处于米苍山-大巴山造山带的前缘.川东断褶带与大巴山冲断褶皱带的双重叠加构造区,构造形态复杂多样,北侧为大巴山弧形褶皱带,西侧以华蓥山断裂为界与川中平缓褶皱带相接.主要由一系列轴面倾向南东或北西的背向斜及与之平行的断裂组成.由于经历了燕山期及早、晚喜山期三期构造变形,使得普光气田褶皱强烈,断裂发育,圈闭个数多,圈闭面积大小不等;发育的三套岩性变形层(三叠系嘉陵江组二段,三叠系下统飞仙关组,二叠系上统长兴组.普光气田主力气层为飞仙关组和长兴组),具有不协调变形等特点.其中主要产气区普光构造是一个构造-岩性复合圈闭,主要储集空间为孔隙和裂缝两种类型,以孔隙型为主;储集层岩性、含气性相变较大;岩性-岩相复杂;含气储层横向变化快;埋藏深度大(4500 m 以上,一般在4500~5500 m 之上);地震信号强弱参差不齐;含气饱和度极度不均,且物性与含气性没有必然的对应关系.这些都使得普光气田在平面上没有统一的储层与含气性对比标准,给含气层的识别、级别和类型的划分带来困难.因此,单纯的储层预测结果已经不能满足开发的要求,从而必须全面开展含气性分布规律的研究工作.
3.2 应用效果分析根据普光气田的具体特点,应用局部指数拟合异常提取法进行了气层预测,取得了非常好的应用效果.这里以较为典型的普光2 井三叠系下统飞仙关组和二叠系上统长兴组的预测情况进行说明.
表 1和表 2分别为普光气田过已钻井普光2井和普光3井的局部指数拟合异常值,从表上可以看出,普光2井过气层的局部指数拟合异常都表现为有较高的异常特征值,而普光3 井全井段都没有异常特征值(没有气层).表 1 过普光2 井局部指数拟合异常值表中的时间序列t6、t7、t8 的黑色相对误差值18.01、21.31、27.33,比其他时间序列的相对误差值大,为局部指数拟合异常值段,代表着有利的含气层段,表 2过普光3 井局部指数拟合异常值表中的时间序列从t1 到t9,则没有比较大的局部指数拟合异常值段,代表着没有明显的有利的含气层段;表 1和表 2数据还证明,经处理后的局部指数拟合异常层段与实钻结果是吻合的,表明在普光气田应用局部指数拟合异常提取法预测气层是可行的.
|
|
表 1 过普光2井局部指数拟合异常值表 Table 1 Seismic data local exponential fitting abnormity values cross Puguang 2 well |
|
|
表 2 过普光3井局部指数拟合异常值表 Table 2 Seismic data local exponential fitting abnormity values cro^s Puguang 3 well |
图 2显示了普光气田过普光2井的主测线地震剖面,井点位于背斜构造较高部位上.图 3为过普光2井的局部指数拟合异常剖面模型,在含气层段中,地震道的局部指数拟合异常值变化大,其斜率及夹角变化也比较大,自上而下一致性较差,没有规律可循;而不含气的层段,自上而下地震道的变化很小,无论斜率或夹角均较为规律,一致性较好,这说明地层含气影响了局部指数拟合异常的变化.另外,不含气层段的局部指数拟合异常值变化小,但波形和振幅值的大小都变化无常,表明数据结构变化与波形变化是有区别的.
|
图 2 过普光2井地震剖面 Fig. 2 Seismic section cross Puguang 2 well |
|
图 3 过普光2井局部指数拟合异常剖面模型图 Fig. 3 Section of local exponential titting abnormity model cross Puguang 2 well |
图 4为过普光2井地震反演与局部指数拟合异常剖面对比图(Iln596),图 4a为过普光2井气层井约束地震反演属性剖面,图 4b为过普光2井气层局部指数拟合异常剖面.从两张剖面对比可以看到,普光2井气层(T1f4-T1f3-T1f1,飞仙关组)局部指数拟合异常剖面明显比井约束地震反演属性剖面易于提取含油气信息,图 4b更为清晰的体现出了含气层段在纵向上所具有的局部指数拟合异常变化,并由此可以圈定出含气层段的局部指数拟合异常边界.图 5为过普光3井地震反演与局部指数拟合异常剖面对比图(Iln911),因为无气层,其飞仙关组也就没有相应的局部指数拟合异常剖面(5a);但是,地震反演剖面图 5b上仍然特征明显.由此可见,局部指数拟合异常提取法与地震反演是有较大区别的.
|
图 4 普光气田过普光2井地震反演与局部指数拟合异常剖面对比(Iln596) (a)普光气田过普光2井气层井约束地震反演属性剖面;(b)普光气田过普光2井气层局部指数拟合异常剖面. Fig. 4 The contrast of seismic inversion and seismic data local exponential fitting abnormity cross Puguang2 well in Puguang oil field (a) Seismic inversion attribute section of gas zone constrained by well cross Puguang2 well;(b) Seismic data local exponential ftting abnormity section of gas zone cross Puguang2 well |
|
图 5 普光气田过普光3井地震反演与局部指数拟合异常剖面对比(Iln911) (a)非气层局部指数拟合异常剖面;(b)非气层井约束地震反演属性剖面. Fig. 5 The contrast of seismic inversion and seismic data local exponential titting abnormity cross Puguang3 well tn Puguang oil tield (a) Seismic data local exponential fitting abnormity section of non-gas zone;(b) Seismic inversion attribute section of non-gas zone constrained by well. |
图 6为普光气田全区地震道都经过上述流程进行处理,最终得到局部指数拟合异常值的分布边界图,是普光气田全工区飞仙关组-长兴组(T1f4-P2c)预测有利气层分布范围叠合图,如果全区综合三个层位(其T1f1往下取150ms, T1f4往上取30ms),即长兴组,飞仙关组一、二段和飞仙关组三段按局部指数拟合异常值分布等值线420(无量纲)下限取值,预测含气面积为34.63km2;如果按局部指数拟合异常值分布等值线按380(无量纲)下限取值,预测含气面积为40.27km2.
|
图 6 普光气田全区局部指数拟合异常值分布边界 Fig. 6 The distributive boundary of seismic data local exponential titting abnormity values m whole Puguang gas field |
依据局部指数拟合异常值变化特征的预测结果,在普光气田主体区块随后部署的普光5、6、8 和9等4口井中都得到了证实,即在飞仙关组-长兴组获得了巨厚的深部海相碳酸盐岩气层,后经测试均获得了高产,进一步落实并扩大了研究工区内目的层各主力气层平面分布格局及形态,得到了研究工区内主力气层储层纵向上、横向上的展布规律,较大幅度地增加了普光气田储量.因此,研究成果为普光气田主体开发方案部署的52 口开发井提供了有力依据,对钻前选层和布井具有很好的指导作用,也是布井或优选井位的重要参考成果之一,同时成为气藏工程重要的参考资料之一.总之,研究效果所带来的经济效益十分显著.
通过开展对普光气田长兴组和飞仙关组的局部指数拟合异常研究表明:普光气田长兴组和飞仙关组具有明显的局部指数拟合异常特征,预测有较大范围气层的存在;预测的三个较高的结构特征异常值关联为气层,在剖面上主要分布在长兴组(T1f1- P2c)、飞仙关组一、二段(T1f1-T1f3)和飞仙关组三段(T1f3-T1f4);平面上它们主要分布在普光2井区的长兴组-飞仙关组(区块)、普光1井-普光4井井区的飞仙关组(区块)和普光1井-普光4井外的普光3井井区飞仙关组(区块).另外研究结果还表明,对长兴组和飞仙关组气层三个有利含气圈闭面积的确定是可靠的,在随后部署的普光8 和9 井的探井中得到了进一步证实.
4 结语通过以上研究表明,应用本文方法在普光气田三叠系下统的飞仙关组(T1f)和二叠系上统的长兴组(P2c)进行含气性预测完全适用,无论从7口过井原始地震数据局部指数拟合异常剖面模型,还是从其数值模型都得以证实.而且,含气层段的地震数据体局部指数拟合异常剖面模型和地震数据体局部指数拟合异常值变化都比较大.建立的普光气田飞仙关组气层地震数据体局部指数拟合异常特征明显,预测的飞仙关组三个有利含气层(圈闭)落实可靠.另外,通过对4口实钻井的解释对比可知,4口实钻井气层与处理过的地震数据体局部指数拟合异常特征解释层段基本都能吻合,证明研究结果较为可靠.
应用局部指数拟合异常提取法进行油气预测,与其他油气预测的方法相比,具有诸多优点.主要原因是其在剖面上,依据单道数据点的结构特征,可以较为准确地预测地层含油气性的位置(时间段),在平面上,通过道与道之间无量纲化的矢量关联分析,可以较为准确地预测出油气层分布范围(油气层边界);初步实现了油气层预测过程中纵向上和横向上的油气预测方法的统一,克服了一些纵向预测和横向推测技术方法、物理参数和机理公式推导等不一致所带来预测准确率不高的问题;从而实现了纵与横、图与表可以联动对比的新型物探油气预测技术手段.减少了人为的一些推理判断,尽可能多地降低了对油气检测的不确定因素,明显提高了钻前油气预测成功率.
虽然局部指数拟合异常提取法预测油气的研究已经取得一些好的成果,并引起国内外有关学者和专家的注意,但这仅仅是初步的,还存在许多问题,如:理论研究、计算过程、模型数据与实现自动化等方面,都需进一步研究、完善.
| [1] | 李津, 孙渊, 张成利. 地震属性参数神经网络油气预测应用研究. 西安石油学院学报 , 1999, 14(6): 17–19. Li J, Sun Y, Zhang C L. Prediction of oil and gas based on seismic data by fuzzy BP neural network. J. of Xi'an Petr. Inst. (in Chinese) , 1999, 14(6): 17-19. |
| [2] | 郭淑文. 二维叠前模式识别方法研究. 石油地球物理勘探 , 2008, 43(3): 313–317. Guo S W. Study on methods of 2D prestack pattern recognition. OGP (in Chinese) , 2008, 43(3): 313-317. |
| [3] | 郑春雷, 史忠科. 基于神经网络的油气预测方法. 西北工业大学学报 , 2003, 21(5): 574–577. Zheng C L, Shi Z K. Neural network prediction method and its application to oil and gas forecast. Journal of Northwestern Polytechnical University (in Chinese) , 2003, 21(5): 574-577. |
| [4] | 王振国, 陈小宏, 王学军, 等. AVO 方法检测油气应用实例分析. 石油地球物理勘探 , 2007, 42(2): 194–197. Wang Z G, Chen X H, Wang X J, et al. Cases analysis of applying AVO to detect hydrocarbon. OGP (in Chinese) , 2007, 42(2): 194-197. |
| [5] | 顾功叙. 顾功叙文集. 北京: 地质出版社, 1999 . Gu G X. Collected Works of Gu Gongxu (in Chinese). Beijing: Geological Publishing House, 1999 . |
| [6] | 黄绪德. 油气预测与油气藏描述. 南京: 江苏科学技术出版社, 2003 . Huang X D. Prediction About Oil-Gas & Description of Reservoir (in Chinese). Nanjing: Jiangsu Phoenix Science Press, 2003 . |
| [7] | O'Doherty R F, Anstey N A. Reflections on amplitudes. Geophys. Prospect. , 1971, 19: 430-458. DOI:10.1111/gpr.1971.19.issue-3 |
| [8] | Banik N C, Lerche T, Shuey R T. Stratigraphic filtering, Part I: Derivation of O'Doherty-Anstey formula. Geophysics , 1985, 50: 2768-2774. DOI:10.1190/1.1441897 |
| [9] | Shapiro S A, Zien H. The O'Doherty-Anstey formula and localization of seismic waves. Geophysics , 1993, 58: 736-740. DOI:10.1190/1.1443458 |
| [10] | 尹陈, 贺振华, 黄德济. 基于波动方程的地震波衰减理论研究及应用. 成都理工大学学报(自然科学版) , 2008, 35(3): 263–267. Yin C, He Z H, Huang D J. Research and application of the attenuation theory for seismic wave based on the wave equation. Journal of Chengdu University of Technology (Science & Technology Edition) (in Chinese) , 2008, 35(3): 263-267. |
| [11] | 陈学华, 贺振华, 黄德济, 等. 时频域油气储层低频阴影检测. 地球物理学报 , 2009, 52(1): 215–221. Chen X H, He Z H, Huang D J, et al. Low frequency shadow detection of gas reservoirs in time-frequency domain. Chinese J. Geophys. (in Chinese) , 2009, 52(1): 215-221. |
| [12] | 何诚, 李邗, 张延充, 等. 单频成像技术在油气检测中的应用. 天然气工业 , 2008, 28(4): 40–42. He C, Li H, Zhang Y C, et al. Application of monofrequency imaging in oil and gas recognition. Natr. Gas Ind. (in Chinese) , 2008, 28(4): 40-42. |
| [13] | 刘洪, 何利, 刘国锋, 等. 地层滤波公式的李代数积分证明. 中国地质地球物理研究进展--庆贺刘光鼎院士80华诞. 北京: 科学出版社, 2008 : 412 -422. Liu H, He L, Liu G F, et al. Lie algebra integral demonstration of earth filtering formula. The paper collection in memory of 80th anniversary of Academician Liu Guangding (in Chinese). Beijing: Sciences Press, 2008 : 412 -422. |
| [14] | 刘文岭, 李刚, 夏海英. 地震波形特征分析定量描述方法. 大庆石油地质与开发 , 1999, 18(4): 44–46. Liu W L, Li G, Xia H Y. Quantitative description method for characteristic analysis of seismic waveform. PGODD (in Chinese) , 1999, 18(4): 44-46. |
| [15] | 刘喜武, 张宁, 勾永峰, 等. 地震勘探信号时频分析方法对比与应用分析. 地球物理学进展 , 2008, 23(3): 743–753. Liu X W, Zhang N, Gou Y F, et al. The comparison and application of time-frequency analysis methods to seismic signal. Progress in Geophysics (in Chinese) , 2008, 23(3): 743-753. |
| [16] | 刘伟方, 于兴河, 黄兴文, 等. 利用地震属性进行无井条件下的储层及含油气预测. 西南石油学院学报 , 2006, 28(4): 22–25. Liu W F, Yu X H, Huang X W, et al. Study of using seismic attribute to predicate reservoir and oil-gas bearing under little well. Journal of Southwest Petroleum Institute (in Chinese) , 2006, 28(4): 22-25. |
| [17] | Lin Changrong, Wang Shangxu, Zhang Yong. Predicting the distribution of reservoirs by applying the method of seismic data structure characteristics: Example from the eighth zone in Tahe Oilfield. Applied Geophysics , 2006, 3(4): 234-242. DOI:10.1007/s11770-006-4006-0 |
| [18] | Lin Changrong. Application of Grey System Theory to Gas Pool Prediction of 3D Seismic Data Prior to Drilling, 1999, SPE 54274 |
| [19] | Wang Shangxu, Lin Changrong. The analysis of seismic data structure and oil and gas prediction. Applied Geophysics , 2004, 1(2): 75-82. DOI:10.1007/s11770-004-0002-4 |
| [20] | 刘雯林. 油气田开发地震技术. 北京: 石油工业出版社, 1996 . Liu W L. Seismic Technology in Field Development (in Chinese). Beijing: Petroleum Industry Press, 1996 . |
| [21] | 林昌荣, 王尚旭, 夏强. 川东北地区飞仙关组地震反射特征及地震相分析. 油气田地面工程 , 2007, 26(4): 10–12. Lin C R, Wang S X, Xia Q. Seismic reflection and seismic facies analysis of Feixianguan, northeast of Sichuan Province. Oil-Gasfield Surface Engineering (in Chinese) , 2007, 26(4): 10-12. |
| [22] | 林昌荣, 王尚旭, 马在田, 等. 地震数据体结构特征时空关系与油气预测. 石油勘探与开发 , 2009, 36(2): 208–215. Lin C R, Wang S X, Ma Z T, et al. Space-time relationship of seismic data structure and hydrocarbon prediction. Petroleum Exploration and Development (in Chinese) , 2009, 36(2): 208-215. |
| [23] | 林昌荣, 王尚旭, 张骥东. 储层物性参数预测技术在大牛地气田开发中的应用. 天然气工业 , 2007, 27(Suppl. B): 44–47. Lin C R, Wang S X, Zhang J D. The application of reservoir prediction technique in DaNiudi gas field development. Natural Gas Industry (in Chinese) , 2007, 27(Suppl. B): 44-47. |
| [24] | 林昌荣, 孙立春, 崇仁杰. 地震数据结构特征与油气预测. 中国海上油气(地质) , 2000, 14(6): 417–421. Lin C R, Sun L J, Chong R J. Numerical structure of seismic data and hydrocarbon prediction. China Offshore Oil and Gas (Geology) (in Chinese) , 2000, 14(6): 417-421. |
| [25] | 邓聚龙. 灰色系统基本方法. 武汉: 华中理工大学出版社, 1987 . Deng J L. Basic Method of Grey System (in Chinese). Wuhan: Huazhong University of Science and Technology Press, 1987 . |
| [26] | 邓聚龙. 灰色预测与决策. 武汉: 华中理工大学出版社, 1986 . Deng J L. Grey Prediction And Decision (in Chinese). Wuhan: Huazhong University of Science and Technology Press, 1986 . |
| [27] | 邓聚龙. 灰色控制系统. 武汉: 华中理工大学出版社, 1985 . Deng J L. Grey Control System (in Chinese). Wuhan: Huazhong University of Science and Technology Press, 1985 . |
| [28] | 刘思峰, 徐忠祥. 灰色系统研究新进展. 武汉: 华中理工大学出版社, 1996 . Liu S F, XU Z X. New Development of Grey System Research (in Chinese). Wuhan: Huazhong University of Science and Technology Press, 1996 . |
| [29] | 邓聚龙. 多维灰色规划. 武汉: 华中理工大学出版社, 1989 . Deng J L. Multi-dimension Grey Plan (in Chinese). Wuhan: Huazhong University of Science and Technology Press, 1989 . |
| [30] | 邓聚龙. 灰色理论基础. 武汉: 华中理工大学出版社, 2003 . Deng J L. Grey Theoretical Base (in Chinese). Wuhan: Huazhong University of Science and Technology Press, 2003 . |
2011, Vol. 54


