2. 73603部队, 南京 210049
2. 73603 Troops, Nanjing 210049, China
导航定位技术已经渗透于各种军事和民用领域,并显示出越来越重要的作用.然而目前常使用的导航定位技术在长期任务、无典型地貌特征环境等条件下尚存在很多的不足,需要其他方式的补充.例如潜艇,若仅利用惯导技术,虽然可以自动导航且短时精度较高,但存在积累误差,而在深水又难以借助其他现有技术,潜艇不得不定期浮出水面来修正;再如巡航导弹,虽然可以接收无线电导航信号,但战时容易受到敌方的屏蔽和干扰,导航基站本身也容易被攻击;此外,跨海、沙漠、森林等飞行,由于地形的灰度和纹理基本相同,地形匹配导航技术也无法实现.因此,学者逐渐转向寻找一些自助式、无长期积累误差、具有较强抗干扰能力的导航定位技术,以完成全天时、全天候、全地域导航任务.自从1898年美国Cornell大学的学者们[1]首次提出利用地磁场进行自主导航的概念以来,地磁导航逐渐成为导航领域的一个新的研究热点.
通过测量卫星所在位置的地磁场自主确定卫星轨道的方法,是Pasiaki和Bar-Itzhack[2~5]于20世纪90年代初首先提出来的,数据处理过程中影响定轨精度的重要环节是滤波算法的选择[6],本文从这个角度作为切入点,推导了系统的状态方程和观测方程,把EKF引入到系统中有效提高了定轨精度.
2 基于地磁场的自主导航原理对于低轨卫星,有丰富的地磁场资源可以利用,同时又要求轨道确定系统重量轻、功耗低、可靠性高而成本低,同时,地磁场已经有相当好的地磁场模型[7],而它的强度和方向是位置的函数,基于以上的事实,可以利用卫星轨道上的磁测结果实现卫星自主定轨.
通过长期对地磁场模型的研究,发现包含在地磁场中的信息是类似于高度的位置信息,每个给定的地磁场强度都处在一条椭圆形的等高线上,卫星的位置随着时间在不断的变化,不会始终处在同一条等高线上,因此通过对卫星所处空间位置的地磁场强进行观测,就可以获得卫星的位置信息[8, 9].把实时地磁场测量数据与地磁场模型计算出的地磁场数据之差作为观测量,结合卫星动力学方程通过一定的滤波算法处理,就可以实现卫星自主定轨.
在基于地磁场的自主导航中的观测量可以是地磁场大小,也可以是地磁场矢量,都是在卫星轨道动力学方程和地磁场强度观测的基础上,运用一定的滤波算法得到卫星的位置和速度,它们的不同之处在于利用地磁场的观测信息及相应的观测方程不一样.
3 EKF滤波算法定轨是一个连续非线性系统.对于非线性系统,在理论上很难找到一种严格的递推滤波算法,通常采用近似的方法来进行处理,其中之一就是非线性系统的线性化[10].对非线性模型进行"线性化"的近似,通常采用两种方法:一种围绕标称状态进行线性化,另一种围绕最优状态估值进行线性化.第二种线性化的滤波方法即扩展卡尔曼滤波方法(EKF:Extended Kalman Filter).
这里设系统的状态方程和观测方程为
|
(1) |
|
(2) |
|
(3) |
式中,X(t)为系统的状态向量,W(t)为系统的过程噪声,假设为零均值高斯白噪声过程,Q(t)为协方差矩阵,

对连续系统的扩展卡尔曼滤波而言,首先要对系统的状态方程进行离散化,然后再围绕
|
(4) |
式中,Wk表示系统噪声,uk为系统输入向量,tk表示某一时刻.对式(4)进行线性化,得到如下方程:
|
(5) |
|
(6) |
其中,Φ(k,k-1)为状态一步转移矩阵,假定协方差为Q的高斯白噪声,I为单位矩阵,T为滤波周期,Fk表示雅可比矩阵,当滤波周期较小时,Fk可近似看作常阵,其计算公式如下:
|
(7) |
得到状态方程线性化形式后,扩展卡尔曼滤波的过程和传统的卡尔曼滤波的过程相同.
4 EKF在地磁场自主导航中的应用 4.1 地心固联坐标系下卫星轨道动力学方程地磁场自主导航系统的状态方程是卫星轨道动力学方程[11~13].在这里把地固系中的卫星轨道动力学方程作为状态方程.
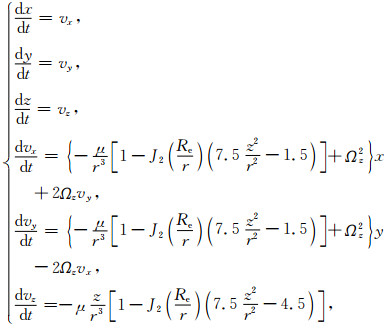
假设地球引力是作用在卫星上的惟一力,考虑到J2项的影响,可得到地心固联坐标系下卫星的轨道动力学方程:
|
(8) |
其中,x,y,z,vx,vy,vz分别表示卫星位置和速度在地心固联坐标系下的分量,地固坐标系相对地心惯性坐标系的角速度为Ω=[Ωx,Ωy,Ωz]T,Re为地球参考球赤道半径,r为空间一点的地心距,μ为引力常数.
4.2 状态向量和状态方程这里选取状态向量为
|
(9) |
式中,x,y,z,vx,vy,vz分别表示卫星位置和速度在地心固联坐标系下的分量.
令W=[wx,wy,wz,wvx,wvy,wvz],则卫星在地心固联坐标系下的状态方程可写为
|
(10) |
联系式(8),f(X,t)中各分量为
|
把状态方程式(10)进行线性离散化得:
|
(11) |
在基于地磁场的卫星自主导航中观测量有两种:一是采用地磁场强度的模,即地磁场大小;二是采用地磁场强度的矢量作为观测量.下面给出两种观测量对应的观测方程.
4.3.1 地磁场大小为观测量的观测方程通过测量可以得到地磁场强度在卫星星体坐标系中的三个分量,利用国际参考地磁场模型(IGRF)可以求得地磁场强度在东北天坐标系中的分量.直接利用地磁场强度的模作为观测量,就可以省去复杂的坐标转换,计算量也会极大的减少,这对于星上计算非常有利.
|
(12) |
式中,V(k)表示测量噪声,Bx、By、Bz分别表示地磁场强度矢量在地心固联坐标系下的分量.
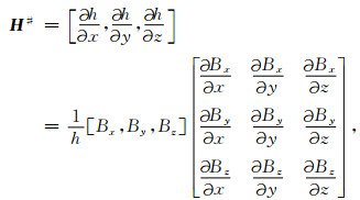
对式(12)进行线性化可以得到测量矩阵:
|
(13) |
式中,h表示地磁场强度的大小,BECF=(Bx,By,Bz),R=(r,φ,φ)表示卫星位置矢量在地心固联坐标系下的球坐标,φ为地心纬度,X=
以地磁场矢量作为观测量有助于提高定轨精度,对应的观测方程为[12, 13]:
|
(14) |
式中,V(k)=[Vx,Vy,Vz]T.
式(14)线性化就可以测量矩阵:
|
(15) |
测量矩阵求解过程中,必须将所有的矢量统一在一个坐标系下.这里的状态方程和测量方程均在地心固联坐标系下表示,参考坐标系是地心固联坐标系.
这里以地磁场偶极子模型为例,有:
|
(16) |
|
图 1 地固坐标系与东北天坐标系 Fig. 1 Earth-Centered-Earth-Fixed coordinates and North-East-Up coordinates |
其中,g10,g11,h11为高斯系数,φ为地心经度.求(16)式在三个方向上的偏导数就可以得到地磁场在纬度方向、经度方向、径向方向三个方向上的分量Bφ、Bφ、Br:
|
(17) |
再通过坐标转换就可以得到地磁场矢量在地心固联坐标系的各分量为
|
(18) |
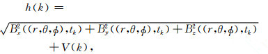
以地磁场强度振幅作为观测量时,h可表示为
|
(19) |
由于其观测量是一个标量,测量矩阵H矢量可以表示为
|
(20) |
其中,
|
(21) |
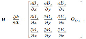
以地磁场强度矢量作为观测量时,h可表示为
|
(22) |
观测量是一个3×1矢量,测量矩阵H为3×6矢量.即表示为
|
(23) |
地磁场自主导航系统的仿真系统有两部分组成:第一部分为实际系统的仿真模型,第二部分为导航滤波器设计.实际系统的仿真模型是对卫星运行的实际环境进行模拟,包括卫星的轨道运动方程、空间环境的影响以及测量系统的性能等,用于基本数据准备.导航滤波器模型则用于对采用的自主导航方法进行仿真分析.导航系统的仿真结构图如图 2所示.
|
图 2 基于地磁场的自主导航系统仿真结构图 Fig. 2 The structure of the autonomous navigation system using geomagnetic field |
第一部分程序包括:
(1)准确的卫星轨道动力学模型
给定某一初始时刻卫星的位置和速度值,通过比较精确的轨道动力学进行轨道预推,从而可以获得卫星在任意时刻对应的位置和速度矢量值.模型要尽可能模拟真实的卫星轨道模型,模型中除地球中心引力的作用外,还包含了地球的非球形高阶引力摄动、日月引力摄动、大气阻力摄动、太阳光压摄动等.
(2)实际测量数据的模拟
这一部分是对卡尔曼滤波所需的测量系统进行模拟.通过STK软件可以仿真生成地磁场强度的数据,但是与通过地磁场球谐模型计算的结果有-600~300nT的偏差,这在相关文献已有过讨论.因此为了减少不必要的因量测模型的不准确而对仿真结果造成的影响,此处采用计算得到的测量值.具体方法如下:
由卫星在某一时刻的位置求得对应的地磁场强度在地心固联坐标系下的三个分量值Bx,By,Bz和地磁场强的大小h.Bx,By,Bz可以通过式(18)求解,h可以通过式(19)求解.
求得测量数据后,再叠加上模拟的测量噪声作为测量系统的输出值,模型中地磁场强度的测量噪声以正态分布由计算机随机产生.
第二部分程序包括:
(1)卫星轨道预测
给定初始时刻卫星的位置和速度矢量值,通过简化的卫星轨道动力学模型预测在某一指定时刻的位置和速度矢量值.简化的动力学模型只考虑地球中心引力项和J2引力项.导航滤波器模型的输入参数为带有一定偏差的卫星
(2)地磁场强度的观测
导航滤波器根据当前的轨道参数,在相应的观测点,以固定的采样周期采集测量系统的输出值,得到一个对应于离散的观测点的地磁场强度序列.
(3)卡尔曼滤波器的设计
将得到的导航滤波器的观测量根据扩展卡尔曼滤波或其他先进滤波公式进行计算,从而得到对应于卫星各个时刻的位置和速度矢量的最优估计值.
导航滤波器的输入为有偏差的卫星轨道初值,输出为卫星的估计轨道.将导航滤波器模型的输出值与实际系统仿真模型生成的卫星标称轨道进行比较分析,就可以对导航滤波器的性能和算法进行评估.
5.2 仿真参数选择为了模拟卫星在轨的真实运动情况,在计算卫星轨道时,考虑如下摄动因素:
(1)地球非球形引力,地球模型采用JGM-3(Joint Gravity Model),地球非球形摄动考虑前21×21阶带谐项与田谐项;
(2)太阳引力;
(3)月球引力;
(4)太阳光压,其中Cr=1.0000,面质比为0.02000 m2/kg;
(5)大气阻力,其中Cd=2.000,面质比为0.02000 m2/kg,大气密度模型采用Harris-Priester模型.
仿真使用的轨道数据由通用STK仿真软件产生,具体方法可参见文献[14, 15],详细条件设置如下:
(1)坐标系:地心固联坐标系;
(2)标称轨道参数:
半长轴a=6799.400km,偏心率e=1.34×10-3,轨道倾角i=65°,升交点赤经Ω=30.00°,近升角距ω=30.00°;
(3)卫星初始轨道参数为
|
(4)各个滤波器的滤波初值均取:
|
(5)系统噪声方差为
|
(6)以地磁场强度幅值作观测量时,观测噪声方差取:
|
(7)以地磁场强度矢量作观测量时,观测噪声方差取:
|
假设卫星三轴姿态对地稳定,状态方程采用式(10),观测方程采用式(19),滤波周期T=1s,仿真时间为15000s,仿真的结果如图 3、4.
|
图 3 观测量为地磁场幅值时三个方向上的位置误差 (a) X轴; (b) Y轴; (c) Z轴. Fig. 3 Position errors in three directions with geomagnetic size as observation (a) X axis; (b) Y axis; (c) Z axis. |
|
图 4 观测量为地磁场幅值时三个方向上的速度误差 (a) X轴; (b) Y轴; (c) Z轴. Fig. 4 Velocity errors tn three directions with geomagnetic size as observation (a) X axis; (b) Y axis; (c) Z axis. |
假设卫星对地姿态稳定,状态方程采用式(10),观测方程采用式(22),滤波周期T=1s,仿真时间为15000s,仿真的结果如图 5、6.
|
图 5 观测量为地磁场矢量时三个方向上的位置误差 (a) X轴; (b) Y轴; (c) Z轴. Fig. 5 Position errors in three directions with geomagnetic vector as observation (a) X axis; (b) Y axis; (c) Z axis. |
|
图 6 观测量为地磁场矢量时三个方向上的速度误差 (a) X轴; (b) Y轴; (c) Z轴. Fig. 6 Velocity errors in three directions with geomagnetic vector as observation (a) X axis; (b) Y axis; (c) Z axis. |
结果分析:
对比图 3、4与图 5、6可以看到,以地磁场强度振幅为观测量时,滤波效果较差;以地磁场矢量为观测量时,收敛精度比较高,滤波效果有了显著提高.
为了比较不同观测量的导航精度这里进行了多次仿真.表 1和表 2各给出了其中5次的计算结果,其中σ表示计算结果误差的均方差值.
|
|
表 1 地磁炀幅值为观测量的定轨精度 Table 1 Orbit determination precision with geomagnetic size as observation |
|
|
表 2 地磁炀矢量为观测量的定轨精度 Table 2 Orbit determination precision with geomagnetic vector as observation |
从表 1中可以得到:以地磁场振幅作观测量时,三个方向的平均位置误差分别为10km、14km、10km,三个方向的平均速度误差分别为0.02km·s-1、0.018km·s-1、0.012km·s-1.
而以地磁场矢量作观测模型时,三个方向的平均位置误差分别为:2.7km、3.3km、2km,三个方向的平均速度误差分别为0.018km·s-1、0.014km·s-1、0.009km·s-1.
仿真结果说明:
(1)扩展卡尔曼滤波算法有较好的收敛性和稳定性,可以有效地对地磁场自主导航系统的状态进行估计,为卫星实时提供导航数据.
(2)利用扩展卡尔曼滤波,在本文研究条件下,将地磁场大小作为观测模型时的定轨精度在10km左右,将地磁场矢量作为观测模型时的定轨精度为3km左右,可以满足卫星中等精度的定轨需求.
(3)观测模型的选择对于导航精度的影响是比较大的.以地磁场矢量作为观测模型时,由于可观测量的增多,对于系统状态模型的修正会更好,因此导航精度比较好.
| [1] | Psiaki M L, Martel F. Autonomous Magnetic Navigation for Earth Orbiting Spacecraft. Proceedings of the Third Annual AIAA/USU conference on Small Satellites.Logan, UT, Sept.1989 |
| [2] | Psiaki M L, Martel F. Autonomous Magnetic Navigation for Earth Orbiting Spacecraft. Third Annual AIAA/USU Conference on Small Satellites, Logan USA, 1989 |
| [3] | Fox S M, Pal P K, Psiaki M L. Magnetometer-based Autonomous Satellite Navigation. The annual Rochy Mountain Guidance and Control Conference, Keystone, USA, 1990 |
| [4] | Psiaki M L, Huang L, Fox S M. Ground tests of magnetometer-based autonomous navigation for low-earth-orbiting spacecraft. Journal of Guidance, Control, and Dynamicl , 1993, 16(1): 206-214. DOI:10.2514/3.11447 |
| [5] | Psiaki M L. Autonomous orbit and magnetic field determination using magnetometer and star sensor data. Journal of Guidance, Control, and Dynamics , 1995, 18(3): 584-592. DOI:10.2514/3.21427 |
| [6] | Wiegand M. Autonomous satellite navigation via Kalman filtering of data. Acta Astronautica , 1996, 38(4-8): 395-403. DOI:10.1016/0094-5765(96)00052-5 |
| [7] | Mclean S, Quinn J M. The 2000 revision of the joint UK/US geomagnetic field model for 2005~2010. NOAA Technical Report NESD IS/NGDC-1, 2005 |
| [8] | Michael Plett. Magnetic Field Models, Spacecraft Attitude Determination and Control, 1978.56~91 |
| [9] | Deutschmann J, Harman R, Bar-Itzhack L. An Innovative Method for Low Cost, Autonomous Navigation for Low Earth Orbit Satellites. Proceedings of the 1998 AIAA/AASA strodynamics Specialist Conf..Boston, MA, Aug 1998. 1~8 |
| [10] | Julier S J, Uhlmann J K. A New Extension of the Kalman Filter to Nonlinear Filters. The 11th International Symposium on Aerospace/Denfense Sensing.Simulation and Controls.Orlando FL, USA, 1997 |
| [11] | 左文辑, 宋福香. 微小卫星磁测自主导航方法. 宇航学报 , 2002(2): 100–104. Zuo W J, Song F X. An approach to autonomous navigation using magnetic measurements for small satellites. Journal of Astronautics (in Chinese) , 2002(2): 100-104. |
| [12] | 赵敏华, 石萌, 曾雨莲, 等. 基于地磁定轨和扩维卡尔曼滤波的导航算法. 西安交通大学学报 , 2004, 38(12): 1315–1318. Zhao M H, Shi M, Zeng Y L, et al. Navigation algorithms using magnetometers and augmented kalman filtering. Journal of Xi'an Jiaotong University (in Chinese) , 2004, 38(12): 1315-1318. |
| [13] | 王淑一, 杨旭, 杨涤, 等. 近地卫星磁测自主导航算法研究. 宇航学报 , 2003, 24(6): 634–637. Wang S Y, Yang X, Yang D, et al. Algorithm for autonomous navigation of low Earth orbit satellite using magnetic measurements. Journal of Astronautics (in Chinese) , 2003, 24(6): 634-637. |
| [14] | 杨颖, 王琦. STK在计算机仿真中的应用. 北京: 国防工业出版社, 2005 . Yang Y, Wang Q. Application of STK in Computer Simulation (in Chinese). Beijing: National Defense Industry Press, 2005 . |
| [15] | STK (Satellite Tool Kit)使用帮助文件. Satellite Tool Kit Use Assit File. |
2010, Vol. 53


