2. 中国科学院研究生院, 北京 100049;
3. 中国石油大学(华东)地球资源与信息学院, 青岛 266555
2. Graduate University, Chinese Academy of Sciences, Beijing 100049, China;
3. College of Geo-Resources and Information, China University of Petroleum, Qingdao 266555, China
天然气水合物是在低温高压条件下,由天然气和水形成类似冰状的固体物质,其主要赋存于深水区的海底沉积物和陆地永久冻土地带中.一方面,天然气水合物以其巨大的储量,有望成为未来重要的替代能源;另一方面,它在海底灾害预测和全球气候变化研究中具有不可忽视的作用[1, 2].
天然气水合物的形成和分解主要受温度、压力、气体类型及海水盐度的影响,当上述条件发生变化时,其赋存状态也将发生变化,因而,构造作用、海平面升降和海底工程等因素都可能破坏天然气水合物的稳定性.天然气水合物分解会产生大量的游离气,增大沉积物的孔隙压力,降低沉积物的胶结强度,使得含气沉积层的抗剪强度和承载能力降低,被液化的分解带将形成一个向下的滑动面,此时一旦受地震或者沉积载荷增大等因素触发,仅依靠沉积物自身的重量,便可引起海底滑坡.
作为灾害地质因素,天然气水合物对海洋油气勘探的危害性还表现在其分解将导致地层承载力的不均匀.无论是浅层生物气还是深部热成因气,这种含气区内部承载力的不均匀都将威胁到海洋工程的安全,如造成钻井平台桩腿的不均匀沉降,使平台倾斜甚至翻倒等;另外,气体的突然释放会对管道产生破坏作用,特别是高压浅层气释放时轻则侵蚀套管,重则造成井喷,甚至可能引起平台燃烧,造成生命及财产的损失.因此,研究天然气水合物分解引起的海底滑坡,评价其对未来天然气水合物开发的安全性和可持续性具有重要的科学指导意义及实用价值[3, 4].
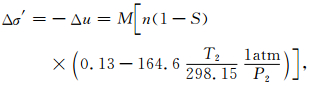
2 理论模型海底沉积物层中不同的岩性对地层压力的响应及传导是不同的,如孔隙度小的泥质沉积物由于其渗透率低,对地层压力变化的响应比较明显,压力不易传导到外部环境,可看作是不可渗透的地层.在这种情况下,不考虑其他载荷的影响,沉积物层中有效应力的变化近似等于孔隙压力的变化.Grozic等[5]正是基于这种思想,提出了水合物分解引起沉积物层中有效应力变化的计算模型,见式(1).
|
(1) |
式(1)中,σ′为孔隙压力,u为有效应力,e为空率,Cs为膨胀因子,n为孔隙度,S为饱和度,P2与T2分别为水合物的平衡压力与平衡温度,P1为水合物初始压力,VGH1为水合物初始体积.该模型得出过程中做了如下的基本条件假设:即1m3的水合物分解产生164.6m3的甲烷气(标态)及0.87m3的水;沉积物层中固相及水相不可压;气相压力变化符合波义耳定律.
式(1)方括号中,n(1-S)表示水合物的分解量;0.13表示水合物体积与完全分解后产生的水体积的差值(1~0.87m3);

根据上述沉积物层中固相及水相不可压的假设,沉积物层中游离气受压后的体积变化可由式(2)表示.
|
(2) |
式(2)中,ΔVFG为游离气的体积变化,VFG2为水合物分解导致压力上升后的游离气体积,VGH1为分解前的游离气体积.VFG2与VGH1之间符合波义耳定律,由此可得到
|
(3) |
式(2)可进一步化为
|
(4) |
在水合物的逐步分解过程中,气体的不断释放将造成游离气总体积膨胀,地层孔隙压力上升,由于低渗透率泥岩的存在,地层总体积变化不显著,这便造成游离气被强烈压缩.在实际计算过程中,假定游离气体积变化不明显,对沉积物层压力的影响不大,通常情况下可以忽略不计,从而可以不考虑式(4)以达到简化计算的目的.
Nixon[6, 7]在这一基础上,对式(1)的模型简化,得到了
|
(5) |
式(5)中,M为沉积物的压缩模量.
为计算M的值,引入压缩系数av,其中
|
得到


|
(6) |
在求解沉积物层孔隙压力σ′的过程中,n,S,P2与T2等参数值可预先获知,唯一的未知参数为Cs,由于海底沉积物的可接近程度与陆上山体完全不同,因此,Cs值无法直接获取.为求取Cs,引入另一参数Cc,Cc可近似表达为
|
(7) |
式(7)中,Cc为压缩因子,PI为沉积物塑性系数,Gs为沉积物比重.根据Wroth等[8]的研究方案计算了研究区内的Cs/Cc值:Cs/Cc=0.17(PI=0.15);Cs/Cc=0.34(PI=1.0),从而得到:
|
(8) |
通过式(8)代入PI与Gs的值,最终可求取Cs值.
将式(6)化简得到
|
(9) |
进一步化简可得到关于σ′的一元微分方程:
|
(10) |
求解方程可得
|
(11) |
式(11)中,C1与C2均为常数,其中C1可通过代入e、n、S、P2、T2、Cs的数值计算得到,C2可通过代入相应的边界条件和初始条件得到,最终可求出沉积物层孔隙压力σ′,同时也得到了沉积物层有效应力u.
上述理论模型是建立在沉积物层中孔隙压力不向围岩地层散失的基础上的,适用于非渗透性地层或极低渗透率地层.考虑到实际情况下,超高的孔隙压力总要通过沉积物或微通道向围岩地层扩散;超高孔隙压力的产生也不是瞬间完成的,总要经过压力不断累积的过程,这其间不可避免地减小了孔隙压力的峰值.相对于高渗透性的砂质沉积物层,低渗透的泥质沉积物层会以更低的速率向外部环境扩散超高的孔隙压力.因此,对于水合物快速分解(如地震等自然因素或油气钻探等人为因素)引起的泥质沉积物层孔隙压力的突变问题,该模型仍具有较好的适用性.
3 应用实例 3.1 区域地质背景研究区位于南海北部神狐海域(图 1),中国海洋石油总公司和国土资源部广州海洋地质调查局在研究区内获得了大量的高分辨率二维、三维地震资料,广州海洋地质调查局于2007年5月在该区域成功钻获了天然气水合物实物样品,证实了该区具有较大的天然气水合物的资源潜力[9].该区良好的天然气水合物远景与较高的研究程度是模拟计算理想的研究靶区.
|
图 1 南海北部神狐海域水合物钻获区位置 红线代表白云大型海底滑坡,直线代表测线,粗外框代表研究区位置,不规则外框代表二维工区,长方形内框代表三维工区. Fig. 1 The orientation of gas hydrate samples from Shenhu area of the northern South China Sea Red line indicates outline of the Baiyun submarine landslide, black line indicates the profile line, thick black box indicates the location of the study area, black irregular outer box indicates the extent of the 2D area, black rectangle inner box indicates the extent of the 3D area. |
神狐海域位于南海北部陆坡的中段,构造上属于南海北部白云凹陷,白云凹陷地处陆架到深海的陆坡过渡带,经历了与南海北部陆缘相似的地史演化,形成最终以海相沉积为主导的区域性沉积层,水深约200~2000m,大部分在500~1500m之间,凹陷面积超过20000km2,是珠江口盆地面积最大、沉积厚度最厚的凹陷[10, 11],具有海底滑坡发育的构造条件与压力条件,同时也具备了重力负荷触发滑坡的地质条件[12~17].受区域构造运动影响,神狐海域海底地形起伏较大,发育多条切穿较新沉积层延伸至海底附近的深大断裂,为天然气向浅部水合物稳定带运移创造了有利条件,区域内广泛存在的气烟囱、多边形断层及泥底辟等特殊构造体的存在,也有利于天然气水合物的形成[18, 19].神狐海域发育多期海底滑坡,钻井资料显示海底滑坡与水合物关系密切,表明天然气水合物的形成或分解与海底滑坡的形成密切相关[19, 20].
3.2 应用计算依据南海北部神狐海域水合物赋存区的地质条件,由于该区域海底斜坡在平面方向的几何尺度远大于深度方向的几何尺度,因此可应用极限平衡法中无限斜坡安全性的评价方法来探讨海底斜坡的稳定性问题.其原理遵循摩尔-库仑破坏准则:
|
(12) |
式(12)中,τf为抗剪切强度;C为沉积物的内聚力,大多数沉积物的内聚力都比较小,可以忽略不计,如砂体的内聚力一般为零;ϕ为沉积物的内摩擦角,一般取20°~45°;μ为作用在滑坡面上的总应力,σ为孔隙压力,μ-σ为有效正应力.式(12)表达了抗剪切强度和剪切力之间的线性关系.一般来说,触发海底滑坡的最主要的外力是地震、海平面变化、沉积物快速堆积作用、天然气水合物分解等因素.在上述的多种因素中,如果首要考虑天然气水合物分解产生的影响,将水合物分解看作是触发海底斜坡产生不稳定性的主要因素,问题将得以进一步简化.式(12)计算过程中所需要的有效应力值可由式(11)求出.
应用无限斜坡稳定性分析法需要预先假定一个滑动面(如图 2所示),通过计算该滑动面的安全系数F(s)来评价斜坡的稳定性,安全系数F(s)为斜坡沉积物的抗剪切强度与剪切应力的比值.当安全系数大于1时,表明斜坡处于稳定状态,当安全系数等于或小于1时,表明斜坡处于亚稳定或不稳定状态.安全系数F(s)的计算式为
|
(13) |
|
图 2 应用无限斜坡稳定性分析法海底滑坡示意图 Fig. 2 Sketch of submarine landslide analyzed by infinite slope method |
式(13)中,C为沉积物的内聚力,γw为水的容重,γ为沉积物的容重,H为海底水深,h为滑动面地层深度,u为有效应力,ϕ为沉积物的内摩擦角,β为斜坡坡角.在研究区内,沉积物内聚力为零,ϕ为30°,β取1°~5°.
根据神狐海域水合物赋存区域的地质条件及地震剖面资料(图 3),综合主要的影响因素,对比世界典型海底滑坡发生海域的地质状况及相关文献报道的资料,确定了南海北部神狐海域的斜坡稳定性计算所需的相关参数值,见表 1.
|
图 3 南海北部神狐海域地震剖面图 Fig. 3 Seismic profile of Shenhu area of the northern South China Sea |
|
|
表 1 与世界两大典型海域海底斜坡稳定性计算相关参数对比[21~28] Table 1 The parameters comparison of submarine slope stability to the two typical deepwater areas[21~28] |
表 1中,水深、水合物层深度、海底坡角等参数可通过该区域的地震剖面资料确定;水合物含量、沉积物层孔隙度、地热梯度等参数通过具体的钻样及勘测数据得出;比重、塑性系数、内聚力、摩擦角、沉积物容重、空率等参数通过综合对比国内外相关文献得出.
计算过程是在假设水合物分解10%的条件下开始的,这样假设的目的是为海底滑坡的最初产生提供一定的触发力,然后通过计算的结果再次校正假设的条件.根据表 1的相关参数值,分别应用式(11)与式(13)在预先设定的10个滑动面上计算了相应的安全系数,通过对比安全系数的大小确定最可能出现不稳定的滑动面,见表 2.
|
|
表 2 10个不同滑动面上计算得到的安全系数 Table 2 The calculated safety factors of ten different landslide planes |
通过计算对比得出,7°滑动面的安全系数最小.在假设天然气水合物分解10%的条件下,该斜坡尽管安全系数计算值(F(s)=1.10)大于1,仍处于稳定状态,但在更多量天然气水合物分解的条件下,该斜坡有可能受到影响而处于不稳定的状态.因此,需要进一步重点考察7#滑动面的稳定性状况.通过代入相关参数的具体数值,得到了水合物分解引起海底斜坡不稳定性的模式图(见图 4).以该模式图为基础,通过改变几个主要参数的数值,得到相关条件下的安全系数值,用以评价不同因素变化对海底斜坡稳定性的影响.
|
图 4 天然气水合物分解引起海底斜坡不稳定性模式图 Fig. 4 The schematic map of the submarine slope instability due to gas hydrate dissociation |
在不考虑地震、海平面变化、沉积物快速堆积作用等因素对海底滑坡的触发与影响的情况下,施加在海底斜坡滑动面上的作用力主要包括海水的静压力、沉积物重力、水合物分解引起的超高孔隙压力.其中海水的静压力与水深密切相关,沉积物层的重力取决于沉积物类型与厚度,孔隙压力的大小与水合物的分解量密切相关.这三种力的作用对海底斜坡的稳定性具有最直接的影响.此外,海底斜坡自身的性质对其稳定性的影响也同样不容忽视,这主要需考虑海底斜坡坡角大小的影响.由此,根据图 4的具体情况,重点考察天然气水合物分解量、海底斜坡水深、沉积物层厚度、斜坡坡角这四个方面的因素对海底斜坡不稳定性的影响.
图 5表示了在不同的坡角条件下,水合物的分解量对海底斜坡稳定性的影响.由图 5可以看出,当15%的水合物分解后,坡角为5°的斜坡将发生失稳,而坡角为1°和3°的斜坡仍处于稳定状态.而当25%的水合物分解后,坡角为1°、3°、5°的斜坡都失去稳定性.图 5中,安全线以上的部分说明斜坡处于稳定状态,安全线以下的部分说明斜坡处于不稳定状态.图 5说明了水合物分解量对海底斜坡稳定性的重要影响作用.此外,通过图 5也可看出,在水合物逐步分解的过程中,相同条件下较大坡角的海底斜坡将率先发生失稳.
|
图 5 天然气水合物分解量对海底斜坡稳定性的影响 Fig. 5 Effect of the content of gas hydrate dissociation on submarine slope stability |
图 6表示了沉积物层中15%水合物分解的条件下,对应于不同斜坡坡角,海底斜坡的水深对斜坡稳定性的影响.由于海水静压力的存在,水深的增加具有维持海底斜坡处于稳定状态的作用,随着水深的逐步增加,海底斜坡将趋于更加稳定.从图 6可看出,在水深小于600 m时,坡角为5°的海底斜坡处于不稳定的状态,这主要是由于海水的静压力较小的缘故.这时的海水静压力不足以消除水合物分解所产生的超高的孔隙压力的影响,因此难以维持海底斜坡的稳定状态.当水深大于600 m之后,海水的静压力逐步增大,维持斜坡处于稳定性的作用力大为增强,这时1°、3°与5°坡角的斜坡均处于稳定状态.可见,水深的增加对海底滑坡的产生具有一定的抑制作用.
|
图 6 水深变化对海底斜坡稳定性的影响(15%水合物分解) Fig. 6 Effect of variation in water depth on submarine slope stability (15% gas hydrate dissociation) |
图 7表示了沉积物层中15%水合物分解的条件下,对应于不同斜坡坡角,沉积物层厚度变化对斜坡稳定性的影响.由于沉积物在自身重力的作用下,具有压实作用,因此,沉积物层厚度的增加也同样具有使海底斜坡处于稳定状态的作用.随着沉积物层厚度逐步增加,海底斜坡更加稳定.但当沉积物层的深度超出了天然气水合物赋存的稳定带底界时,探讨水合物分解对海底斜坡不稳定性的影响就失去了意义.因此,沉积物层深度的影响仅限于一定的深度范围.从图 7可看出,在沉积物层厚度小于100m的条件下,坡角为5°的海底斜坡处于不稳定的状态,说明沉积物层的压实作用在这时候表现得不明显,当沉积物层厚度大于100m后,其对海底斜坡稳定性的保持作用才显著地表现出来,这时,1°、3°与5°坡角的海底斜坡均处于稳定状态.沉积物层厚度的增加对海底滑坡的产生同样具有抑制作用.
|
图 7 沉积物层厚度变化对海底斜坡稳定性的影响(5%水合物分解) Fig. 7 Effect of variation in bed thickness on submarine slope stability (15% gas hydrate dissociation) |
图 8说明了海底斜坡坡角的大小对斜坡的稳定性有较大的影响,在20°的较大坡角条件下,5%的水合物分解就可能引起海底斜坡的不稳定.相对于5°坡角的情况下,15%的水合物分解才导致海底斜坡不稳定性的产生,对比结果十分明显.说明了较大的坡角是海底滑坡产生的一个重要诱因.
|
图 8 坡度变化对斜坡稳定性的影响 Fig. 8 Effect of variation in slope angle on submarine slope stability |
天然气水合物的分解量、海底斜坡水深、沉积物层厚度、斜坡坡角这四个方面的因素是影响海底斜坡不稳定性的主要因素.其中天然气水合物的分解对斜坡不稳定性的影响最为明显;海底斜坡水深的增加、沉积物层厚度的增加对海底斜坡的不稳定性具有一定的抑制作用;较大的坡角是海底斜坡不稳定性产生的一个重要诱因,在同样的触发条件下,较大坡角的海底斜坡将率先发生失稳.在南海神狐海域地质条件下,当水深为1200 m,沉积物层厚度为200m,斜坡坡角为5°时,沉积物层中15%水合物分解后,将会引起海底斜坡失稳;其他条件不变,当斜坡坡角为3°或更小时,沉积物层中25%水合物分解后,将会引起海底斜坡失稳;而对于20°的较大坡角,沉积物层中5%水合物分解将引起海底斜坡失稳.
目前的研究工作给出了海底斜坡不稳定性的初步评价方法,对于海底滑坡的滑动机理及滑坡体的应力如何分布等问题,该评价方法还无法给出明确的结果.因此,今后的工作需要通过有限元或有限差分法分析与模拟海底斜坡不稳定靶区的应力变化与分布,从而更深入地研究海底滑坡的产生机理及预防措施,为海洋油气开采提供安全保障.
| [1] | Hampton M A, Lee H J, Locat J. Submarine landslides. Reviews of Geophysics , 1996, 34(1): 33-59. DOI:10.1029/95RG03287 |
| [2] | Locat J, Lee H J. Submarine landslide:advances and challenges. Geotechnical Journal , 2002, 39(1): 193-212. DOI:10.1139/t01-089 |
| [3] | Kristoffersen Y, Coakley B J, Hall J K, et al. Mass wasting on the submarine Lomonosov Ridge, central. Arctic Ocean Marine Geology , 2007, 243: 132-142. DOI:10.1016/j.margeo.2007.04.012 |
| [4] | Vanneste M, Mienert J, BUnz S.The Hinlopen Slide:a giant.submarine slope failure on the northern Svalbard margin, Arctic Ocean.Earth and Planetary Science Letters, 2006.245:373~388 |
| [5] | Grozic J L H, Kvalstad T J.Effect of gas on deepwater marine sediments.In:Proceedings of XVth International Conference on Soil Mechanic and Geotechnical Engineering.2001.27~31 |
| [6] | Nixon M F.Influence of gas hydrates on submarine slope stability[Master's thesis].Department of Civil Engineering, University of Calagary, Alberta, 2005 |
| [7] | Nixon M F, Grozic J L H.Submarine slope failure due to gas hydrate dissociation:a preliminary quantification.Canada Geotech, 2007.314~325 |
| [8] | Wroth C P.Correlations of some engineering properties of soil.In:Acta Informatica:Proceedings of the International Conference on the behaviour offshore Structures.London, 1979, August 28~31 |
| [9] | 吴时国, 姚根顺, 董冬冬, 等. 南海北部陆坡大型气田区天然气水合物的成藏地质构造特征. 石油学报 , 2008, 29(3): 324–328. Wu S G, Yao G S, Dong D D, et al. Geological structures for forming gas hydrate reservoir in the huge deepwater gas field of the northern South China Sea. Acta Petrolei Sinica (in Chinese) , 2008, 29(3): 324-328. |
| [10] | 龚再升, 李思田, 谢泰俊, 等. 南海北部大陆边缘盆地分析与油气聚集. 北京: 科学出版社, 1997 . Gong Z S, Li S T, Xie T J, et al. Continental Margin Basin Analysis and Hydrocarbon Accumulation of the Northem South China Sea (in Chinese). Beijing: Science Press, 1997 . |
| [11] | 朱伟林, 张功成, 杨少坤, 等. 南海北部大陆边缘盆地天然气地质. 北京: 石油工业出版社, 2007 . Zhu W L, Zhang G C, YangS K, et al. Natural Gas Geology in the Continental Margin Basin of the Northern South China Sea (in Chinese). Beijing: Petroleum Industry Press, 2007 . |
| [12] | 孙运宝, 吴时国, 王志君, 等. 南海北部白云大型海底滑坡的几何形态与变形特征. 海洋地质与第四纪地质 , 2008, 28(6): 69–77. Sun Y B, Wu S G, Wang Z J, et al. The geometry and deformation characteristics of Baiyun submarine landslide. Marine Geology & Quaternary Geology (in Chinese) , 2008, 28(6): 69-77. |
| [13] | 王秀娟, 吴时国, 刘学伟. 天然气水合物和游离气饱和度估算的影响因素. 地球物理学报 , 2006, 49(2): 504–511. Wang X J, Wu S G, Liu X W. Factors affecting the estimation of gas hydrate and free gas saturation. Chinese J.Geophys. (in Chinese) , 2006, 49(2): 504-511. |
| [14] | 董冬冬, 吴时国, 张功成, 等. 南海北部深水盆地的裂陷过程及裂陷期延迟机制探讨. 科学通报 , 2008, 53(19): 2342–2351. Dong D D. Wu S G, ZhangG C, et al. The mechanism of the process and date of depression in the northern South China Sea.Chinese Science Bulletin (in Chinese) , 2008, 53(19): 2342-2351. |
| [15] | 陈多福, 李绪宣, 夏斌. 南海琼东南盆地天然气水合物稳定域分布特征及资源预测. 地球物理学报 , 2004, 47(3): 483–489. Chen D F, Li X X, Xia B. Distribution of gas hydrate stable zones and resource prediction in Qiongdongnan Basin of the South China Sea. Chinese J.Geophys. (in Chinese) , 2004, 47(3): 483-489. |
| [16] | 石万忠, 陈红汉, 陈长民, 等. 珠江口盆地白云凹陷地层压力演化与油气运移模拟. 地球科学-中国地质大学学报 , 2006, 31(2): 229–236. Shi W Z, Chen H H, Chen C M, et al. Modelling of pressure evolution and hydrocarbon migration in the Baiyun Depression, Pearl River Mouth Basin, China. Earth ScienceJournal of China University of Geosciences (in Chinese) , 2006, 31(2): 229-236. |
| [17] | 张光学, 祝有海, 梁金强, 等. 构造控制型天然气水合物矿藏及其特征. 现代地质 , 2006, 20(4): 605–612. Zhang G X, Zhu Y H, Liang J Q, et al. Tectonic controls on gas hydrate deposits and their characteristics. Geoscience (in Chinese) , 2006, 20(4): 605-612. |
| [18] | 宋海斌, 吴时国, 江为为. 南海东北部973剖面BSR及其热流特征. 地球物理学报 , 2007, 50(5): 1508–1517. Song H B, Wu S G, Jiang W W. The characteristics of BSRs and their derived heat flow on the profile 973 in the northeastern South China Sea. Chinese J.Geophys. (in Chinese) , 2007, 50(5): 1508-1517. |
| [19] | 王宏斌, 张光学, 杨木壮, 等. 南海陆坡天然气水合物成藏的构造环境. 海洋地质与第四纪地质 , 2003, 23(1): 81–86. Wang H B, Zhang G X, Yang M Z, et al. Structural circumstance of gas hydrate deposition in the continent margin, the South China Sea. Marine Geology & Quaternary Geology (in Chinese) , 2003, 23(1): 81-86. |
| [20] | 宋海斌. 天然气水合物体系动态演化研究(Ⅱ).海底滑坡. 地球物理学进展 , 2003, 18(3): 503–511. Song H B. Researches on dynamic evolution of gas hydrate system (Ⅱ):Submarine slides. Progress in Geophysics (in Chinese) , 2003, 18(3): 503-511. |
| [21] | Gee M J R, U.y H S, Warren J, et al. The Brunei slide:a giant submarine landslide on the north west Borneo margin revealed by 3D seismic data. Marine Geology , 2007, 246: 9-23. DOI:10.1016/j.margeo.2007.07.009 |
| [22] | Haflidason H, Lien R, Sejrup H P, et al. The dating and morphometry of the Storegga Slide. Marine and Petroleum Geology , 2005, 22: 123-136. DOI:10.1016/j.marpetgeo.2004.10.008 |
| [23] | Hjelstuen B O, Eldholm O, Faleide J I. Recurrent Pleistocene mega-failures on the SW Barents Sea margin. Earth and Planetary Science Letters , 2007, 258: 605-618. DOI:10.1016/j.epsl.2007.04.025 |
| [24] | Mohrig D, Marr J G. Constraining the efficiency of turbidity current generation from submarine debris flows and slides using laboratory experiments. Marine and Petroleum Geology , 2003, 20: 883-899. DOI:10.1016/j.marpetgeo.2003.03.002 |
| [25] | Silva A J, Baxter C D P, LaRosa P T, et al. Investigation of mass wasting on the continental slope and rise. Marine Geology , 2004, 203: 355-366. DOI:10.1016/S0025-3227(03)00315-3 |
| [26] | Collet T S. Natural gas hydrates of the Prudhoe Bay and Kuparuk River. North slope Alaska.American Association of Petroleum Geologists Bulletin , 1993, 77(5): 793-812. |
| [27] | Solheim A, Berg K, Forsberg C F, et al. The Storegga Slide complex:repetitive large scale sliding with similar cause and development. Marine and Petroleum Geology , 2005, 22: 126-134. |
| [28] | Dai J, Xu H, Snyder F, et al. Detection and estimation of gas hydrates using rock physics and seismic inversion:examples from the northem deepwater Gulf of Mexico. The Leading Edge , 2004, 23(1): 60-66. DOI:10.1190/1.1645456 |
2010, Vol. 53

