文章编号: 2096-3203(2023)03-0072-09 中图分类号: TM2
2. 亨通集团有限公司,江苏 苏州 215200
高压直流电缆是高压直流输电系统中的关键组成部分,其性能直接决定着高压直流输电系统的安全稳定运行状态。电缆附件属于电缆系统中的重要设备,包括中间接头和终端2种类型,中间接头实现2根电缆的互连;终端实现电缆和其他电气设备之间的连接[1-4]。直流电缆附件发展起步较晚,材料绝缘的匹配程度、空间电荷现象都会加剧电场畸变,增大附件击穿风险,使其设计难度远远高于交流电缆附件[5]。此外,相比于电缆本体,高压直流电缆附件的发展与研究相对滞后[6-7]。据报道,国内高压直流电缆线路故障的绝大多数都是由电缆附件故障导致的[8]。因此电缆附件是整个高压直流电缆系统的关键薄弱环节之一,掌握电缆附件的击穿机制是高压直流输电系统的安全稳定运行的保证。
近年来,有学者分析电缆附件典型故障场景,其中大多数为附近本体质量及安装施工原因造成电场集中进而故障[9]。有学者通过研究材料的电导参数对于接头中电场分布的影响,认为调控材料电导系数可改善应力锥根部电场强度[10]。有学者通过测试直流电场下双层介质硅橡胶与交联聚乙烯中空间电荷特性,发现温度梯度的升高会提高界面处空间电荷积累量。此外结合对电缆接头仿真结果分析,认为界面处空间电荷的存在使得应力锥根部、高压屏蔽处端部电场强度增大[11]。但上述研究仅考虑单个因素对电缆附件的影响,没有对各影响因素的作用程度分析比较。
文中以整体预制式±320 kV高压直流海底电缆附件终端为例,综合分析电缆附件杂质、绝缘电介质电导率和空间电荷多项因素对设备击穿强度的影响。首先对包含电缆本体、电缆接头和终端的模拟回路进行电缆负荷循环试验,确定系统级击穿弱点位置;其次通过物理场仿真分析和样品测试等方法,开展终端绝缘油杂质、多层绝缘材料匹配特性、界面空间电荷积累特性等对电场分布的影响研究。
1 实验方法对于直流电缆附件耐压测试,试验回路的电缆长度为60 m,包含1套复合套管终端、1个瓷套管终端、1个气体绝缘开关(gas switch gear, GIS)插拔式接头和1个软接头,实验过程中在2个终端加压。电缆附件结构示意与实物如图 1(a)和图 1(b)所示,主要包含2种绝缘介质交联聚乙烯(cross linked polyethylene,XLPE)和三元乙丙橡胶(ethylene propylene diene monomer,EPDM)。依据高压直流电缆国家标准GB/T 31489.1—2015《额定电压500 kV以下直流输电用挤包绝缘电力电缆系统第1部分:试验方法和要求》,进行电气型式试验中电压源换流器(voltage source converter,VSC)电缆系统中的负荷循环实验和叠加冲击试验[12],先常温进行1 h耐压试验,然后在负极性1.85U0(U0为电缆系统设计时的导体与屏蔽之间的额定电压,文中U0=320 kV)的电压下24 h进行2个循环(1个24 h负荷循环包括8 h升温至电缆导体最高运行温度和16 h自然冷却过程),电压停顿24 h,负荷循环不停止,再加正极性1.85U0电压24 h的2个循环,然后是48 h高负荷循环实验(包括24 h升温至电缆导体最高运行温度和24 h自然冷却过程),电缆附件及试验电路示意如图 1(c)所示。
|
图 1 预制式电缆附件及其耐压测试结构示意与实物 Fig. 1 Diagrammatic sketch and physical diagrams of prefabricated cable accessories and the measurement circuit |
电缆附件温度分布与电场分布采用COMSOL Multiphysics软件进行仿真计算。由于电缆实际长度远大于电缆及应力锥尺寸,因此可以认为电缆无限长,忽略电缆端部的影响,选用二维轴对称模型进行仿真;不考虑电缆及应力锥轴向重力作用对材料性能参数的影响,假定电缆终端的各组成材料在轴向上为各向同性均匀介质。依据电缆实际尺寸建立模型,选择电流接口作为物理仿真场,忽略导电介质中的电感效应,用于计算其中的电场分布。由于电流接口依据欧姆定律进行求解,并在所使用的电流守恒方程中用标量电势作为因变量,因此适用于电流守恒的恒定电场。
材料电导率的测试采用三电极法高压阻抗分析平台,依据GB/T 1410—2006《固体绝缘材料体积电阻率和表面电阻率试验方法》,标准三电极系统尺寸为50 mm×54 mm×74 mm,实际电极面积为0.02 m2,如图 2所示。通过记录极化电流数据,结合电压、样品尺寸数据计算样品电导率,使用测厚仪测量试样片4个边缘和中心共5处的厚度后,取其平均值作为试样片的厚度。此次实验中记录3 600 s极化电流数据并取末尾60 s电流中位数作为样品泄漏电流。利用恒温烘箱控制试样温度,将材料放入烘箱内等温4 h后开始测量,每种试样在某一场强某一温度点下,测试2次减小偶然误差。
|
图 2 直流电导率测试系统示意 Fig. 2 Schematic diagram of DC conductivity test system |
采用电声脉冲法(pulsed electro-acoustic,PEA)测试空间电荷特性,测试系统结构如图 3所示。将制备好的XLPE和EPDM试样表面涂上适量硅油,2个薄片试样粘合为复合试样,其中XLPE薄片试样厚度约为0.2 mm,EPDM薄片试样的厚度约为0.3 mm,2种试样中心重合压制成厚度为0.56 mm的复合试样,分别测试场强为15、20、25 kV/mm下,极化时间为15、30、60 min的数据,并利用10 kV/mm数据进行标定,进而分析空间电荷积累程度和场强畸变程度。
|
图 3 空间电荷测试系统示意 Fig. 3 Schematic diagram of space charge test system |
直流电缆的负荷循环实验和叠加冲击试验中,第1次试验环境温度为22 ℃,试验回路包含终端和软接头,慢速连续升压至正极性1.85U0(+593 kV),耐压1 h未发生击穿,通过后初步判断认为可进行后续试验项目;第2次试验环境温度为14 ℃,在原来试验回路基础上安装了GIS插拔式接头,通过穿心变压器给回路施加1 800 A电流(约为满载),慢速连续升压至负极性1.85U0(-593 kV),升温过程中耐压持续4 h后发生内部闪络,之后重新升压仍可达到-500 kV,最终在多次升压后发生击穿;第3次试验施加电流1 800 A,在负荷循环试验中的负极性1.85U0第2个循环开始1.5 h后,升温过程中应力锥端口表面处发生滑闪,之后尝试重新升压时仍可升至-450 kV,并最终在多次升压后发生击穿;第4次试验击穿发生在完成负荷循环试验后,第3个操作冲击试验时软接头发生击穿;第5次试验完成冷态1.85U0电压下1 h耐压试验后,击穿发生在负荷循环负极性第一个循环加热1 h后,流经导体的电流为2 400 A,击穿路径位于应力锥与电缆绝缘接触位置。这5次试验除第4次试验时因为叠加操作冲击试验导致软接头发生击穿外,其余均是在负荷循环试验中附件终端应力锥与电缆绝缘处发生击穿,总结如表 1所示。
|
|
表 1 电缆终端耐压试验结果 Table 1 Results of withstand voltage test of cable terminal |
图 4是负极性负荷循环时,发生击穿套管拆除后内部应力锥与电缆的实物照片。
|
图 4 电缆附件击穿通道 Fig. 4 The breakdown channel of cable accessory |
将故障电缆切段后挖去铜导体,通过油浴试验后观察电缆击穿点的放电通道特征,结果如图 5所示。放电通道呈现明显的树枝形状,属于聚合物介质所特有的树枝化击穿,树根位于绝缘层外层,树枝靠近绝缘层内侧,说明击穿发生在电缆绝缘层外层。通过对故障电缆击穿点的放电通道观察,初步分析导致电缆绝缘和附件应力锥绝缘的击穿原因主要有两个,一是附件绝缘材料和温度梯度导致的电导率梯度引起的电场集中,二是复合界面空间电荷积聚引起的电场集中。表面滑闪可能是因为表面状态导致的积聚电荷释放。
|
图 5 附件击穿通道油浴切片 Fig. 5 Oil bath slice of breakdown channel |
电缆本体绝缘的XLPE材料与附件绝缘的EPDM材料由于存在介电常数和电导率等介电性能差异,在电缆运行中由于损耗发热等影响,附件中会形成温度梯度,导致同种材料的内外层产生电导率梯度,电导率的不均匀分布可能导致附件界面处电场集中。为了定量研究与评估电导率不均匀导致的电场集中程度,对电缆终端进行建模仿真计算,并求解温度场与电场的分布状态。
根据电缆终端的结构参数建立电缆终端的仿真模型,然后选用拟合公式拟合材料电导率与温度、电场强度的关系,计算得到不均匀直流电导率下,电缆空载、满载下的电缆绝缘及附件绝缘界面处的电场分布特性。由于电缆实际长度远大于电缆及应力锥尺寸,因此计算中可以认为电缆无限长,忽略电缆端部的影响,选用二维轴对称模型进行仿真;不考虑电缆及应力锥轴向重力作用对材料性能参数的影响,假定电缆终端的各组成材料在轴向上为各向同性均匀介质[13];此外忽略电缆和应力锥之间的各组成部分的接触电阻。基于以上条件建立电缆终端仿真模型[14]。
对于整个电缆终端系统,其结构从线芯到外依次为导体、导体屏蔽、XLPE绝缘层、绝缘屏蔽、EPDM绝缘层、应力锥半导电层、绝缘油、金属护套、套管。电缆终端的轴向截面的二维模型如图 6所示。套管外径为165 mm;金属护套外径为120 mm,厚度为4.2 mm;绝缘屏蔽外径为108.6 mm,厚度为1.5 mm;XLPE绝缘外径为105.6 mm,厚度为24 mm;导体屏蔽外径为57.6 mm,厚度为2.5 mm;铜导体外径为52.3 mm。
|
图 6 电缆终端结构示意 Fig. 6 Schematic diagram of cable terminal structure |
表 2给出所用±320 kV直流电缆的相关参数。进行负荷循环实验时,剥去电缆XLPE绝缘外的绝缘屏蔽、阻水带、护套、铠装层等结构,将绝缘表面打磨光滑后套上应力锥,应力锥底部与电缆接触部位仍保留绝缘屏蔽层,并与大地相连。因此在计算电场分布特性时不考虑绝缘屏蔽以外的材料层。在进行热场仿真计算时,设置导体为热源,其数值为电流密度的平方与铜导体电导率的比值[15]。设置环境温度为20 ℃,设置满载条件下导体温度为70 ℃,空载条件下导体温度为20 ℃。进行电场仿真计算时,电缆绝缘屏蔽层接地,在导体上施加593 kV的型式试验电压,空载条件下的电流值为0,满载条件下的电流值为2 200 A,通过设置不同的热源强度来改变流过导体的电流值。
|
|
表 2 电缆终端各结构材料参数 Table 2 Structural material parameters of cable terminal |
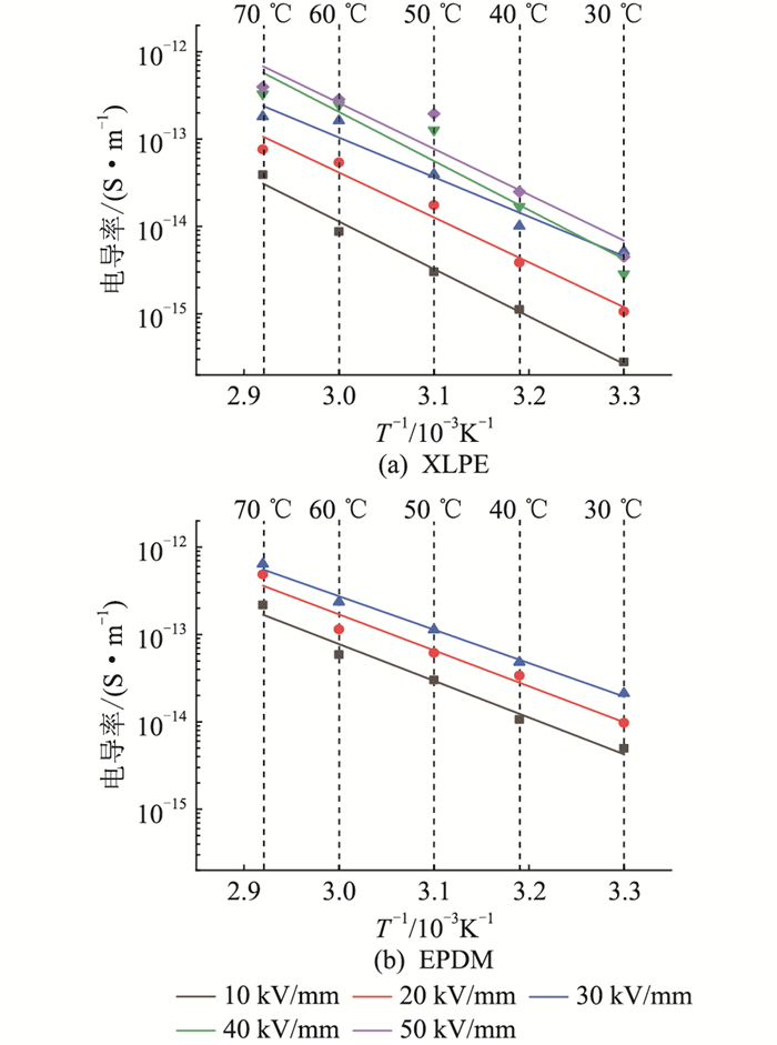
聚合物绝缘介质中的离子、电子、空穴等载流子在外加电场的作用下定向迁移形成电导电流,随着外加电场和温度的提高,参与导电的载流子迁移率增加,介质的电导率增大。因此在直流电场下,电缆绝缘XLPE和附件绝缘EPDM材料的电导率受温度和场强的影响较大。XLPE和EPDM材料的直流电导率在对数坐标下随温度变化的关系曲线如图 7所示。
|
图 7 XLPE和EPDM材料电导率随温度的变化 Fig. 7 Variation of XLPE′s and EPDM′s conductivity with field strength |
由图 7可知,XLPE和EPDM试样的电导率数据直流电导率对数与温度的倒数近似成正比;随着温度的升高,材料内部的电子、离子等载流子受热振动能量增大,载流子的迁移率增加;在载流子浓度和电荷量一定的情况下,材料的电导率也随之增大。
将上述XLPE和EPDM材料的电导率随温度和场强变化的参数带入仿真模型中,分别得到了空载和满载时基于不均匀电导率下的电场分布和温度分布仿真结果,如图 8所示。
|
图 8 空载和满载工况下电导率不均匀时的电缆系统电场和温度分布 Fig. 8 Electric field and temperature distribution of cable system with uneven conductivity under no-load and full-load conditions |
由图 8可知,当电缆终端空载运行即运行电流为0时,如图 8(a)和8(b)所示,整个套管内的电场分布呈现准静态电场,电场主要集中在电缆XLPE绝缘层中,靠近导体一侧的电场强度高,靠近应力锥一侧的电场强度低,最大值为32 kV/mm。由于应力锥中半导电层经电缆绝缘屏蔽层与大地连接,故应力锥半导电层处电场基本为0。应力锥EPDM绝缘中电场强度约在5 kV/mm左右,远低于相邻部位的XLPE绝缘。由于空载运行时,整个套管内部温度与环境温度相同,且电缆导体没有电流通过不产生热量,因此整个电缆终端始终维持环境温度20 ℃。
满载运行状态下的电场和温度分布如图 8(c)和8(d)所示。电场仍然主要集中在电缆XLPE绝缘层中,尤其是电缆绝缘与应力锥接触的以下位置,基本维持20 kV/mm以上的电场强度,与应力锥接触位置上侧电场强度较低,除电缆绝缘层外其他部位基本没有电场分布。与空载下的电场分布不同,此时的电场主要集中在XLPE绝缘下远离电缆导体一侧,靠近导体一侧的XLPE绝缘层中的电场强度反而较低,电场强度最大值为29.5 kV/mm。这是因为在满载运行状态下,电缆导体中有电流通过,从而有热量产生,导体温度不断升高,电缆绝缘层外部为环境温度,绝缘层内外因此存在温度差。由图 7可知,XLPE材料的直流电导率与温度密切相关,电导率随着温度的升高呈指数关系增大。绝缘层的温度差影响了绝缘层材料电导率的分布,使得靠近导体一侧的电导率大,靠近应力锥一侧的电导率低,而在直流下的电场强度与电导率成反比,出现“电场反转”现象。稳态时导体温度约为70 ℃,并沿电缆绝缘和应力锥不断向外扩散,最终在金属护套和套管处达到环境温度。此外温度分布在轴向上基本相同,热量扩散到电缆绝缘层时的温度约为50 ℃,应力锥处的温度约为40 ℃,温度从导体到应力锥下降的较快,而在绝缘油中温度下降较慢。
由于电场主要集中应力锥以下位置,因此对整个套管下半段对不同高度同一直线上的电场强度对导体线芯的径向距离作图,分别得到空载和满载运行状态下电缆终端的稳态电场分布情况,如图 9所示。
|
图 9 电缆终端电场强度沿径向分布 Fig. 9 The electric field intensity at the cable terminal is distributed along the radial direction |
由图 9可知,电场主要集中在电缆绝缘层,并在应力锥外的绝缘油中少量分布。空载运行状态下,靠近导体一侧电场高;满载运行状态下,远离导体一侧电场高。
仿真计算的电缆终端的电场分布满载状态下的最大电场强度为29.5 kV/mm,空载状态下的最大电场强度为32 kV/mm,均远低于电缆绝缘XLPE和应力锥绝缘EPDM材料的本体击穿场强,因此电缆运行时由于电导率不均匀导致的电场集中不是负荷循环试验附件击穿的主要原因。
2.2 复合界面空间电荷积聚导致的电场集中高压直流电缆系统中电缆主绝缘及附件绝缘组成的双层复合绝缘界面如果绝缘匹配特性较差就会形成积聚空间电荷,在电场、温度等多方面的共同作用下,易诱发局部放电,最终导致沿面放电甚至绝缘破坏。根据Maxwell-Wagner界面极化理论,在高压直流电缆系统运行过程中,电缆系统绝缘界面中XLPE和EPDM的相对介电常数与直流电导率的比值不相等时,就会导致界面空间电荷的产生。为了更直观的表现电缆绝缘和附件绝缘材料的匹配程度,引入了绝缘匹配系数k,如式(1)所示。
| $ k=\frac{\sigma_{\mathrm{XLPE}} / \varepsilon_{\mathrm{XLPE}}}{\sigma_{\mathrm{EPDM}} / \varepsilon_{\mathrm{EPDM}}} $ | (1) |
式中:σXLPE、σEPDM分别为XLPE、EPDM的直流电导率;εXLPE、εEPDM分别为XLPE、EPDM的相对介电常数。
k值越接近1,说明2种材料的匹配特性越好,界面处空间电荷积累程度低。采用宽带介电谱测试试样相对介电常数,结果如图 10所示。
|
图 10 XLPE和EPDM的宽带介电谱 Fig. 10 Broadband dielectric spectra of XLPE and EPDM |
由图 10可知,XLPE的相对介电常数约为2.3,EPDM的相对介电常数约为2.8,XLPE和EPDM作为非极性或弱极性高聚物材料,几乎不存在离子位移极化以及转向极化,其极化的方式主要是电子位移极化,其松弛频率约为光频,因此在直流环境下,相比于电导率2个数量级变化,可以认为材料的介电常数在电缆运行温度和电场范围内基本保持不变。计算获得的2种绝缘材料在不同温度、不同电场强度下的绝缘匹配系数如图 11所示。
|
图 11 XLPE和EPDM的绝缘匹配系数 Fig. 11 Insulation matching coefficient of XLPE and EPDM |
由图 11可知,当电场强度为10 kV/mm、温度为30 ℃时,绝缘匹配系数k仅为0.07;当温度为60 ℃,电场强度为30 kV/mm时,绝缘匹配系数有最大值0.85,匹配特性变好;温度为70 ℃,电场强度为20、30 kV/mm的情况下,由于XLPE、EPDM之间电导率相差突然增大,因此造成了绝缘匹配系数的降低。
进一步采用电声脉冲法测试了XLPE-EPDM试样的空间电荷和电场强度分布特性,由空间电荷积聚导致的电场强度畸变率δE0[16-18],如式(2)所示。
| $ \delta_{\mathrm{E} 0}=\left|\frac{E_{\max }-E_0}{E_0}\right| \times 100 \% $ | (2) |
式中:Emax为试样内电场强度的最大值;E0为试样的外加电场强度,可由外加电压与试样厚度的比值求得。
由于电声脉冲法测试验中所用的数据处理软件无法准确计算出相应空间荷分布特性下的电场强度畸变率,对式(2)进行了修正,Emax仍为复合试样内的最大仍为复合试样内的最大电场强度,而E0通过式(3)得到[19-21]。
| $ E_0=\frac{1}{L} \int_0^L\left|E_{\mathrm{p}}(x)\right| \mathrm{d} x $ | (3) |
式中:L为试样厚度; Ep(x)为距离下电极x处的电场强度。
不同电场强度、不同极化时间下复合试样的空间电荷和电场强度在厚度上的分布如图 12(a)—(f)所示,其中“蓝圈”强调的部分表示XLPE/EPDM界面,场强畸变率如图 13所示。
|
图 12 复合XLPE-EPDM试样空间电荷和电场强度分布 Fig. 12 Space charge and electric field intensity distri-bution of composite XLPE-EPDM samples |
|
图 13 场强畸变率 Fig. 13 Electric field distortion varies with electric field |
由图 13可知,复合XLPE-EPDM试样由空间电荷积聚导致的电场强度畸变率与外加场强和极化时间有关,随着外加场强和极化时间的增加而增大,极化15 min、外加电场为15 kV/mm时场强畸变率有最小值为115.18%,在极化时间为60 min、外加场强为25 kV/mm时,由空间电荷积聚引起的电场强度畸变率最大为209.49%。随着极化时间和外加电场的增加,复合试样内空间电荷的积聚效应增加,内部场强畸变更严重,场强畸变率不断增加[22]。由此可见,XLPE/EPDM复合介质界面处的空间电荷积聚导致了约100%~200%的电场畸变率,可能为直流电缆附件击穿的主要因素[23-25]。根据上述绝缘匹配系数分析,后续可能可以通过EPDM纳米掺杂改性等手段降低EPDM的电导率,从而降低空间电荷积聚效应[26-28]。
3 结论文中以±320 kV高压直流海底电缆附件为研究对象,在理想化实验室条件下分析比较了材料本征绝缘匹配和空间电荷积累特性对电缆附件击穿的影响。在±320 kV直流电缆系统负荷循环试验中,进行的7次试验中1次因为叠加操作冲击试验导致软接头发生击穿外,其余均是在负荷循环试验中附件终端应力锥与电缆绝缘处发生击穿,表明电缆附件为电缆系统击穿薄弱环节。在击穿机制研究中,首先利用仿真计算电缆附件在空载和满载条件下的温度和电场分布,发现电场最高点出现于电缆本体绝缘与附件界面处,最大电场强度为32 kV/mm,远低于电缆绝缘XLPE和应力锥绝缘EPDM材料的本体击穿场强;然后通过电声脉冲法表征了XLPE/EPDM叠层介质界面空间电荷和电场畸变率,发现因两者绝缘匹配程度较低导致界面处积聚空间电荷,电场畸变率达100%~200%,因此认为相较于材料本征绝缘匹配,界面空间电荷积累造成的电场畸变更严重,对附件的影响程度更大,在后续附件提升中应更注重开发抑制空间电荷的绝缘材料。
| [1] |
杜伯学, 李忠磊, 杨卓然, 等. 高压直流交联聚乙烯电缆应用与研究进展[J]. 高电压技术, 2017, 43(2): 344-354. DU Boxue, LI Zhonglei, YANG Zhuoran, et al. Application and research progress of HVDC XLPE cables[J]. High Voltage Engineering, 2017, 43(2): 344-354. ( 0) |
| [2] |
杜钢, 杨杰, 蔡汉贤, 等. 湿热环境下聚丙烯基直流电缆绝缘材料的应用前景[J]. 高压电器, 2022, 58(6): 9-16. DU Gang, YANG Jie, CAI Hanxian, et al. Application prospect of polypropylene-based DC cable insulation materials in humid and hot environment[J]. High Voltage Apparatus, 2022, 58(6): 9-16. ( 0) |
| [3] |
刘凤莲, 夏荣, 李文杰, 等. 高压交联电缆缓冲层烧蚀缺陷检测方法研究[J]. 高压电器, 2022, 58(8): 259-266, 274. LIU Fenglian, XIA Rong, LI Wenjie, et al. Research on detection method of buffer layer ablation defect in high voltage XLPE cable[J]. High Voltage Apparatus, 2022, 58(8): 259-266, 274. ( 0) |
| [4] |
刘文浩, 吴毅江, 李文泽, 等. 基于随机决策森林的高压电缆局部放电模式识别[J]. 高压电器, 2022, 58(6): 165-170, 177. LIU Wenhao, WU Yijiang, LI Wenze, et al. Partial discharge pattern recognition of high-voltage cables based on random forest method[J]. High Voltage Apparatus, 2022, 58(6): 165-170, 177. ( 0) |
| [5] |
李中原. 高压直流电缆附件三元乙丙橡胶绝缘改性与电气性能研究[D]. 哈尔滨: 哈尔滨理工大学, 2021. LI Zhongyuan. Insulation modifications and electrical properties of EPDM used for high voltage DC cable accessories[D]. Harbin: Harbin University of Science and Technology, 2021. ( 0) |
| [6] |
WANG W W, LI S T, TANAKA Y, et al. Interfacial charge dynamics of cross-linked polyethylene/ethylene-propylene-diene dual dielectric polymer as revealed by energy band structure[J]. IEEE Transactions on Dielectrics and Electrical Insulation, 2019, 26(6): 1755-1762. DOI:10.1109/TDEI.2019.008122 ( 0) |
| [7] |
FABIANI D, MONTANARI G C, LAURENT C, et al. Polymeric HVDC cable design and space charge accumulation. Part 1:insulation/semicon interface[J]. IEEE Electrical Insulation Magazine, 2007, 23(6): 11-19. DOI:10.1109/MEI.2007.4389975 ( 0) |
| [8] |
ZHENG Z, BOGGS S. Defect tolerance of solid dielectric transmission class cable[J]. IEEE Electrical Insulation Magazine, 2005, 21(1): 34-41. DOI:10.1109/MEI.2005.1389268 ( 0) |
| [9] |
李海, 沈斌, 周咏晨, 等. 对高压电缆附件典型击穿机理的电场仿真分析[J]. 电力与能源, 2019, 40(6): 649-653, 659. LI Hai, SHEN Bin, ZHOU Yongchen, et al. Electric field simulation analysis of typical breakdown mechanism of HV cable accessories[J]. Power & Energy, 2019, 40(6): 649-653, 659. ( 0) |
| [10] |
宋淑伟, 赵洪, 李中原, 等. 高压直流电缆接头稳态与暂态电场分布特征[J]. 高电压技术, 2017, 43(11): 3607-3616. SONG Shuwei, ZHAO Hong, LI Zhongyuan, et al. Stationary and transient electric field distribution characteristics inside HVDC cable joint[J]. High Voltage Engineering, 2017, 43(11): 3607-3616. ( 0) |
| [11] |
王霞, 朱有玉, 王陈诚, 等. 空间电荷效应对直流电缆及附件绝缘界面电场分布的影响[J]. 高电压技术, 2015, 41(8): 2681-2688. WANG Xia, ZHU Youyu, WANG Chencheng, et al. Effect of space charge on electric field distribution at the insulating interface between DC cable and accessory[J]. High Voltage Engineering, 2015, 41(8): 2681-2688. ( 0) |
| [12] |
国家质量监督检验检疫总局, 中国国家标准化管理委员会. 额定电压500 kV及以下直流输电用挤包绝缘电力电缆系统第1部分: 试验方法和要求: GB/T 31489.1—2015[S]. 北京: 中国标准出版社, 2015. General Administration of Quality Supervision, Inspection and Quarantine of the People′s Republic of China, Standardization Administration of the People′s Republic of China. D.C. extruded cable systems for power transmission at a rated voltage up to and including 500 kV-part 1: test methods and requirements: GB/T 31489.1-2015[S]. Beijing: Standards Press of China, 2015. ( 0) |
| [13] |
包淑珍, 邓红雷, 韩卓展, 等. 电缆绝缘层老化对接头界面压力的影响研究[J]. 电力工程技术, 2020, 39(5): 16-22. BAO Shuzhen, DENG Honglei, HAN Zhuozhan, et al. The influence of aging cable insulation on the interface pressure of cable joint[J]. Electric Power Engineering Technology, 2020, 39(5): 16-22. ( 0) |
| [14] |
尚康良, 曹均正, 赵志斌, 等. 320 kV XLPE高压直流电缆接头附件仿真分析和结构优化设计[J]. 中国电机工程学报, 2016, 36(7): 2018-2024. SHANG Kangliang, CAO Junzheng, ZHAO Zhibin, et al. Simulation analysis and design optimization of 320 kV HVDC cable joint[J]. Proceedings of the CSEE, 2016, 36(7): 2018-2024. ( 0) |
| [15] |
WANG P Y, KANG L Y, XU Z F, et al. Dynamic thermal analysis for underground cables under continuously fluctuant load considering time-varying van wormer coefficient[J]. Electric Power Systems Research, 2021, 199: 107395. ( 0) |
| [16] |
国家市场监督管理总局, 国家标准化管理委员会. 额定电压500 kV及以下直流输电用挤包绝缘电力电缆系统第2部分: 直流陆地电缆: GB/T 31489.2—2020[S]. 北京: 中国标准出版社, 2020. General Administration of Quality Supervision, Inspection and Quarantine of the People′s Republic of China, Standardization Administration of the People′s Republic of China. D.C. extruded cable systems for power transmission at a rated voltage up to and including 500 kV-part 2: D.C. land cables: GB/T 31489.2-2020[S]. Beijing: Standards Press of China, 2020. ( 0) |
| [17] |
WU K, CHENG C H. Interface charges between insulating materials[J]. IEEE Transactions on Dielectrics and Electrical Insulation, 2017, 24(4): 2633-2642. ( 0) |
| [18] |
BAFERANI M A, LI C Y, SHAHSAVARIAN T, et al. High temperature insulation materials for DC cable insulation-part Ⅰ: space charge and conduction[J]. IEEE Transactions on Dielectrics and Electrical Insulation, 2021, 28(1): 223-230. ( 0) |
| [19] |
REN H W, TAKADA T, UEHARA H, et al. Research on charge accumulation characteristics by PEA method and Q(t) method[J]. IEEE Transactions on Instrumentation and Measurement, 2021, 70: 1-9. ( 0) |
| [20] |
KIM H G, JUNG H C, PARK J D, et al. Measurement of sheet-like space charge distribution and signal calibration of insulator XLPE using PEA method[J]. Journal of Electrical Engineering & Technology, 2020, 15(5): 2027-2032. ( 0) |
| [21] |
LI J, KONG X X, DU B X, et al. Effects of high temperature and high electric field on the space charge behavior in epoxy resin for power modules[J]. IEEE Transactions on Dielectrics and Electrical Insulation, 2020, 27(3): 882-890. ( 0) |
| [22] |
UPADHYAY A K, JOHRI P, REDDY C C, et al. Direct measurement of accumulated space charge using external currents[J]. IEEE Transactions on Instrumentation and Measurement, 2021, 70: 1-8. ( 0) |
| [23] |
DOEDENS E, JARVID E M, GUFFOND R, et al. Space charge accumulation at material interfaces in HVDC cable insulation part Ⅰ-experimental study and charge injection hypothesis[J]. Energies, 2020, 13(8): 2005. ( 0) |
| [24] |
AKRAM S, YANG Y, ZHONG X, et al. Influence of nano layer structure of polyimide film on space charge behavior and trap levels[J]. IEEE Transactions on Dielectrics and Electrical Insulation, 2018, 25(4): 1461-1469. ( 0) |
| [25] |
RIZZO G, ROMANO P, IMBURGIA A, et al. Review of the PEA method for space charge measurements on HVDC cables and mini-cables[J]. Energies, 2019, 12(18): 3512. ( 0) |
| [26] |
YANG P, HE M, REN X C, et al. Effect of carbon nanotube on space charge suppression in PP/EPDM/CNT nanocomposites[J]. Journal of Polymer Research, 2020, 27(5): 132. ( 0) |
| [27] |
ARAB BAFERANI M, LI C Y, TEFFERI M, et al. Large improvement in DC electrical properties of EPDM with 2D platelet nanoclay[J]. Journal of Physics D: Applied Physics, 2021, 54(47): 475304. ( 0) |
| [28] |
ARAB BAFERANI M, WU C, CAO Y. Charge transport and space charge dynamics in EPDM/2D-nanoclay composite dielectrics[J]. Composites Science and Technology, 2022, 219: 109241. ( 0) |
2. Hengtong Group Co., Ltd., Suzhou 215200, China

刘泳斌(1992),男,博士,助理教授,研究方向为电力设备绝缘设计和电介质储能(E-mail:
0)