文章编号: 2096-3203(2022)02-0010-10 中图分类号: TM723
2. 国网山东省电力公司济南供电公司,山东 济南 250012;
3. 国网河南省电力公司电力科学研究院,河南 郑州 450052
基于电网换相换流器高压直流输电(line commutated converter-high voltage direct current,LCC-HVDC)技术是解决我国能源负荷分布不均的重要手段[1-2],该技术采用半控型的晶闸管作为换流元件,当受端交流系统故障时易引发换相失败 [3-4]。若首次换相失败发生后故障未及时清除或直流恢复过程中控制作用不当,易引发后续换相失败[5-6]。后续换相失败发生后,直流功率、电流等电气量波动剧烈,反复强烈冲击交流系统[7-8],甚至引发直流闭锁、潮流大范围转移乃至连锁故障[9],进一步危及电力系统安全稳定运行。因此,如何抑制后续换相失败是交直流混联系统领域的研究热点与难点。
目前,已有大量文献对后续换相失败的机理与抑制进行了研究。文献[10]分析了故障后直流系统恢复过程中逆变侧不同控制器之间的响应交互过程,从仿真角度分析后续换相失败的发生机理,但未研究抑制后续换相失败的方法。文献[11]通过柔性直流与LCC-HVDC的协调控制对后续换相失败进行抑制,但须引入柔性直流,应用场景具有局限性。文献[12]分析了调相机的紧急控制对后续换相失败的抑制效果,但此类方法须引入额外设备,经济成本较高。因此,为兼顾经济性,诸多研究从优化直流控制策略入手提出抑制后续换相失败的控制方法。
文献[13]采用交流母线电压代替直流电压作为低压限流控制的启动电压,可降低启动电压的波动程度,但该方法无法在直流故障时发挥作用。文献[14-17]均从限制直流电流增大来抑制后续换相失败出发,但多从控制层面着手,缺乏理论分析。文献[18-20]通过降低直流系统运行时的传输功率来减小换流站中的无功需求,以降低后续换相失败的发生风险,但存在通信延时问题。文献[21]提出一种根据换流母线电压跌落程度改变电流偏差控制环节输出的自适应控制方法,但该方法在交流故障后对关断角的增加裕度过高,导致直流系统恢复速度变慢,不利于交直流系统稳定运行。现有针对触发角补偿的控制方法多集中于换相失败预防(commutation failure prevention,CFPREV)控制,现有CFPREV控制存在触发角补偿值大小确定机理不明确的问题,在实际应用中可能加剧换相失败[22]。
为进一步提升HVDC系统换相失败抑制能力,文中提出一种自适应触发角补偿控制方法。首先,分析了故障恢复过程中各电气量的变化规律以及后续换相失败的影响因素和发生过程;接着,以此为基础,设计了控制策略,以首次换相失败发生和直流电流指令恢复过程作为触发角补偿控制的投入判据;然后根据直流功率恢复速度以及交流电压跌落程度动态调整逆变侧输出触发角,增大换相裕度;最后,在PSCAD/EMTDC中基于CIGRE仿真模型进行大量仿真分析验证,结果表明该方法能够有效抑制HVDC系统后续换相失败,改善系统的故障恢复特性。该方法综合考虑了功率变化与电压跌落特征来优化控制策略,实现难度小,具有较好的工程实践性。
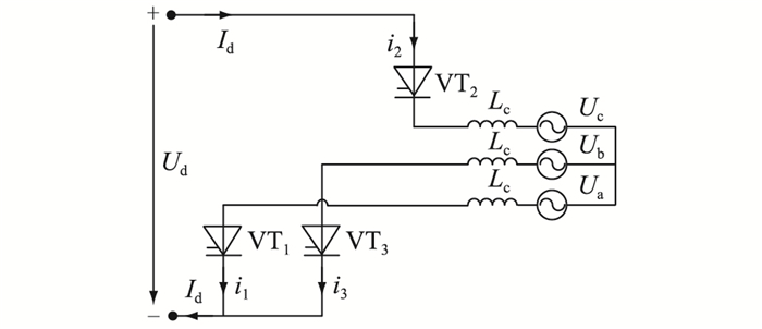
1 后续换相失败影响因素及过程分析 1.1 后续换相失败影响因素换流器中被换相阀向预定退出导通的阀倒换相的现象称为换相失败[14]。直流系统换相过程中各电气量之间的关系为:
| $ \gamma = {\rm{ \mathsf{ π} }} - \alpha - \mu $ | (1) |
| $ \beta = \gamma + \mu $ | (2) |
式中:γ为关断角;α为触发角;μ为换相角;β为越前触发角。
现以换流阀VT1向VT3换相为例,说明影响直流系统换相过程的各因素之间的关系,图 1为直流系统换相过程逆变侧等效电路。其中,Id为直流电流;Ud为直流系统逆变侧直流电压;i1,i2,i3分别为流过换流阀VT1、VT2、VT3的阀侧电流;Lc为等值换相电感;Ua,Ub,Uc分别为阀侧三相交流电压。
|
图 1 换相过程等效电路 Fig. 1 Equivalent circuit during the commutating process |
当角频率乘以时间为α时触发VT3,由于换相电感的存在,此时VT1和VT3同时导通。因此,由基尔霍夫电压定律可得:
| $ {L_{\rm{c}}}\frac{{{\rm{d}}{i_3}}}{{{\rm{d}}t}} - {L_{\rm{c}}}\frac{{{\rm{d}}{i_1}}}{{{\rm{d}}t}} = {u_{\rm{b}}} - {u_{\rm{a}}} = \sqrt 2 {U_{\rm{L}}}\sin \;\omega t $ | (3) |
式中:UL为换流母线换相电压有效值;ω为阀侧交流系统角频率。若忽略直流电流Id的变化,近似认为恒定,则:
| $ {i_1} + {i_3} = {I_{\rm{d}}} $ | (4) |
将i1=Id-i3,换相电抗Xc=ωLc代入式(3),并对式(3)两端进行积分[17],积分后式(3)右侧与左侧分别为式(5)和式(6)。
| $ {S_{{\rm{supply}}}} = \int_{{\rm{ \mathsf{ π} }} - \beta }^{{\rm{ \mathsf{ π} }} - \beta + \mu } {\sqrt 2 } {U_{\rm{L}}}\sin \;\omega t{\rm{d}}\omega t $ | (5) |
| $ {S_{{\rm{need}}}}{\rm{ = }}2{I_{\rm{d}}}{X_{\rm{c}}} $ | (6) |
式中:Ssupply,Sneed分别为换相过程中所能提供的换相面积和所需求的换相面积。
展开式(5)可得:
| $ {S_{{\rm{supply}}}} = \sqrt 2 {U_{\rm{L}}}\left( {\cos \left( {\beta - \mu } \right) - \cos \beta } \right) $ | (7) |
整理式(5)和式(6),可得关断角为:
| $ \gamma = \arccos \left( {\frac{{\sqrt 2 {I_{\rm{d}}}{X_{\rm{c}}}}}{{{U_{\rm{L}}}}} + \cos \beta } \right) $ | (8) |
若考虑单相不对称接地故障引起的换相电压过零点偏移角度φ,则式(8)可修正[21]为:
| $ \gamma = \arccos \left( {\frac{{\sqrt 2 {I_{\rm{d}}}{X_{\rm{c}}}}}{{{U_{\rm{L}}}}} + \cos \beta } \right) - \varphi $ | (9) |
由式(8)和式(9)可知,晶闸管关断角的大小与直流电流、换相电抗、换相电压、越前触发角和换相电压过零点偏移相关,实际工程中抑制后续换相失败的方法多数为抑制直流电流、提供无功电压支撑以及提前增大越前触发角。
逆变器在正常工作状态下,其越前触发角β∈[0°,90°],由式(8)可知,关断角随着β的增大而增大。因此,如果能够在直流系统故障恢复过程中动态增大β,则可增加直流换相裕度,避免再次发生换相失败。由直流系统工作原理可知逆变器各电气量之间关系如下:
| $ {P_{\rm{d}}} = {U_{\rm{d}}}{I_{\rm{d}}} $ | (10) |
| $ {Q_{{\rm{inv}}}} = {P_{\rm{d}}}\tan \;\mathit{\Phi } $ | (11) |
式中:Pd为直流功率;Qinv,Φ分别为逆变器消耗无功功率和逆变器功率因数角。由式(10)和式(11)可知,若在故障恢复过程中直流功率随着直流电压和直流电流的恢复而不断升高,将会导致逆变器无功功率消耗不断增大,引起换相电压下降,不利于直流系统的恢复,增大后续换相失败的发生概率。
1.2 后续换相失败过程分析基于图 1所示换相过程等效电路,以CIGRE直流标准测试系统为例,对三相故障时后续换相失败过程进行分析。设置直流逆变侧换流母线在2.5 s时经0.8 H电感发生三相接地故障,故障持续时间为0.5 s[15],仿真波形如图 2所示。
|
图 2 三相故障后逆变侧响应过程 Fig. 2 Response of the inverter system after three-phase fault |
由触发角曲线可知,首次换相失败发生后,当直流恢复过程处于绿色区间时,逆变侧处于定电流控制。此时,直流电流指令值随着直流电压的恢复开始上升并持续增大,直流功率也随着直流电压和直流电流的恢复逐渐升高。在此过程中,直流功率和直流电流的变化趋势一致且直流功率恢复过程相对直流电流较平稳。
由式(6)可知,在该恢复阶段中Sneed随直流电流的增大而持续增加。由于β-μ < β,且β-μ∈[0°,90°],因此由式(7)可知,Ssupply随β的增大而增大,但此时逆变侧处于定电流控制,β缓慢下降,导致Ssupply减小。而此时UL因交流系统短路故障发生跌落后,直流功率快速恢复导致系统无功消耗增加,并没有完全得到恢复,因此不能提供足够的换相面积。在Sneed持续增大,Ssupply逐渐减小的双重作用下,γ在该阶段中持续下降,最终导致后续换相失败。
2 自适应触发角补偿控制 2.1 补偿控制设计思路由前文可知,首次换相失败后的系统功率恢复过程中,直流电流和直流功率的过快恢复和持续增大导致所需换相面积持续增大;而所提供的换相面积随越前触发角的缓慢下降、无功消耗增大及换相电压的未完全恢复而逐渐减小。当所提供的换相面积小于所需换相面积时,系统发生后续换相失败。
为抑制后续换相失败,文中提出一种自适应触发角补偿控制策略:在首次换相失败后的故障恢复过程中,动态减小触发角α,从而增大换相供应面积,增加直流换相裕度,提高抵御后续换相失败的能力。其基本控制框图如图 3所示。其中,Udinv为逆变侧直流电压测量值;Idorder为直流电流指令值;Idinv为逆变侧直流电流测量值;αinv为逆变侧输出触发角指令;CEC为电流偏差控制;βinv为逆变侧输出越前触发角;Ides为指定的电流指令;Δαinv为逆变侧触发角补偿量;S为选择输出;C为触发角补偿量选择控制;tri为补偿控制环节有效的使能信号;S1,S2分别为补偿控制环节中换相失败检测模块与故障恢复过程判断模块的输出使能信号。γY,γΔ分别为星型接线与星三角接线的逆变侧关断角测量值;γmin为晶闸管恢复阻断能力所需最小关断角;ΔIdorder为逆变侧直流电流指令值的变化率;K为触发角转化系数;Pd(t)为直流功率;G为增益;T为量测时间常数;ua,ub,uc分别为逆变侧换流母线三相电压瞬时值;Vam,Vbm,Vcm分别为换流母线三相电压幅值;Vm为三相电压幅值的最小值;ΔVm为换流母线电压幅值的跌落大小;m为比例系数。
|
图 3 自适应触发角补偿控制框图 Fig. 3 Block diagram of adaptive trigger angle compensation |
自适应触发角补偿控制可以根据直流系统故障恢复过程中的直流功率恢复速度及交流电压幅值跌落大小对βinv进行动态补偿,从而实现控制器自适应调节其输出的功能。由图 3可知,直流系统逆变侧配置有定关断角控制、定电流控制、电流偏差控制和低压限流控制(voltage dependent current order limiter,VDCOL)[14]。
2.2 补偿控制具体环节自适应触发角补偿控制环节包括4个模块:换相失败检测、故障恢复过程判断、直流功率恢复速度计算、触发角转化系数计算。换相失败检测模块和故障恢复过程判断模块是该控制环节中的2个使能子模块。在换相失败检测使能与故障恢复过程判断使能均为1的时候补偿控制环节使能才为1。
换相失败检测模块中采用关断角对系统换相失败风险进行判断,这是目前常用的方法[20],当γ≤γmin时,认为换流器发生首次换相失败,此时输出S1为1。
故障恢复过程判断模块中,当a端输入大于或等于b端输入,即变化率为正值时,说明直流电流指令值开始上升,故障恢复过程进入到图 2中绿色部分直流电流恢复上升阶段,此时输出S2为1。
直流功率恢复速度计算模块通过实时采集直流功率Pd(t),将当前时刻的直流功率与经过一阶惯性环节后的直流功率值进行作差,实现直流功率恢复速度的计算[23]。其中,增益G为1,T为一次换相失败中同一组桥臂的导通周期,为20 ms[2]。
触发角转化系数计算模块的功能是根据换流母线电压幅值跌落程度得到转化系数k,采用正余弦分量检测法进行实时计算[24]。通过取三相电压幅值的最小值Vm进行计算得到换流母线电压幅值的跌落大小ΔVm,然后乘以比例系数m得到触发角转化系数k。比例系数取值偏大虽然能够增加α的跌落幅度,增大实际关断角裕度,但会导致直流系统运行功率因数降低,故障期间直流输送功率下降;而比例系数取值偏小又会导致系统抑制换相失败的能力减弱。因此,需要通过仿真试验确定比例系数的经验取值,仿真测试的原则为在故障恢复过程中能够输出合适的Δαinv。经仿真试验,比例系数的取值范围为10.5~18.5。
将计算得到的直流功率恢复速度乘以触发角转化系数k,经限幅环节后得到触发角的补偿量Δαinv。为避免出现补偿量过大导致直流系统运行性能恶化的情况,文中对其进行了限幅,使得Δαinv小于等于15°。因此,Pd(t)恢复速度越快,Vam,Vbm,Vcm跌落越大,对逆变侧触发角的补偿量越大,系统抵御换相失败的能力越强。故所设计的控制方法能够同时考虑故障恢复过程中Pd(t)恢复速度和Vam,Vbm,Vcm跌落程度,实现对α的自适应动态调节,有效提升HVDC系统抑制后续换相失败的能力。图 4为自适应触发角补偿控制方法具体流程。
|
图 4 自适应补偿控制流程 Fig. 4 Flow chart of adaptive compensation control |
补偿控制器首先收集换流母线电压、直流功率、关断角以及直流电流指令值,通过换相失败检测使能模块是否动作判断逆变侧交流系统是否发生首次换相失败;并通过故障恢复过程判断使能模块是否动作来判断直流电流指令值是否处于恢复上升阶段,直流系统是否进入系统功率恢复过程。若2个条件均得到满足,则启动自适应触发角补偿控制,将补偿量Δαinv输出至触发角控制环节;否则不启动自适应触发角补偿控制。
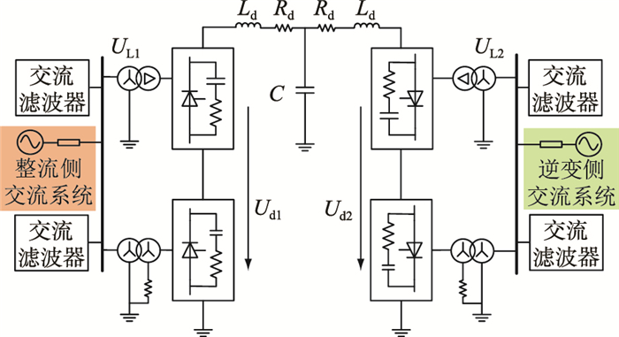
3 仿真验证 3.1 仿真模型为验证文中所提自适应触发角补偿控制策略抑制后续换相失败的有效性,在PSCAD/EMTDC中搭建如图 5所示的CIGRE标准测试仿真模型,并实现文中所提控制方法。经仿真测试,比例系数m取12,当检测到故障清除后,则可退出该控制。图 5中UL1,UL2分别为整流侧和逆变侧换流母线电压;Ud1,Ud2分别为整流侧和逆变侧直流电压;Rd,Ld,C分别为直流输电线路的电阻、电感和电容值。仿真模型的具体参数参见文献[14]。
|
图 5 CIGRE HVDC仿真简化模型 Fig. 5 Simplified CIGRE HVDC simulation model |
在相同条件下,电感性接地故障是电力系统中最常见也最容易导致换相失败的故障形态[21]。因此,文中设置逆变侧换流母线处经单相或三相电感Lf接地来模拟实际交流系统中的短路故障工况以验证所提控制方法的抑制效果。接地电感Lf大小的改变表示故障严重程度的不同,故障严重程度随着Lf的降低而愈加严重。
文中所提控制方法仅针对后续换相失败的抑制,在检测到首次换相失败发生后才触发控制,因此对未发生换相失败的故障工况没有任何影响。
分别对采用以下3种控制策略在不同逆变侧交流系统故障工况下的响应进行仿真分析。控制策略Ⅰ:控制方法与CIGRE直流输电标准测试系统完全一致;控制策略Ⅱ:直流系统采用文献[21]中所述自适应电流偏差控制方法;控制策略Ⅲ:采用文中所提自适应触发角补偿控制方法。
文献[13-17]通过比较实测关断角γ是否小于γmin来判断系统是否发生换相失败。而若要准确判断系统换相失败是否发生,需结合检测受端系统换流变压器阀侧电流是否发生倒换相的方法。下文针对不同的故障仿真工况进行分析和讨论。
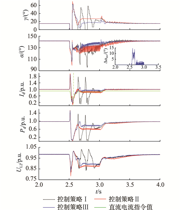
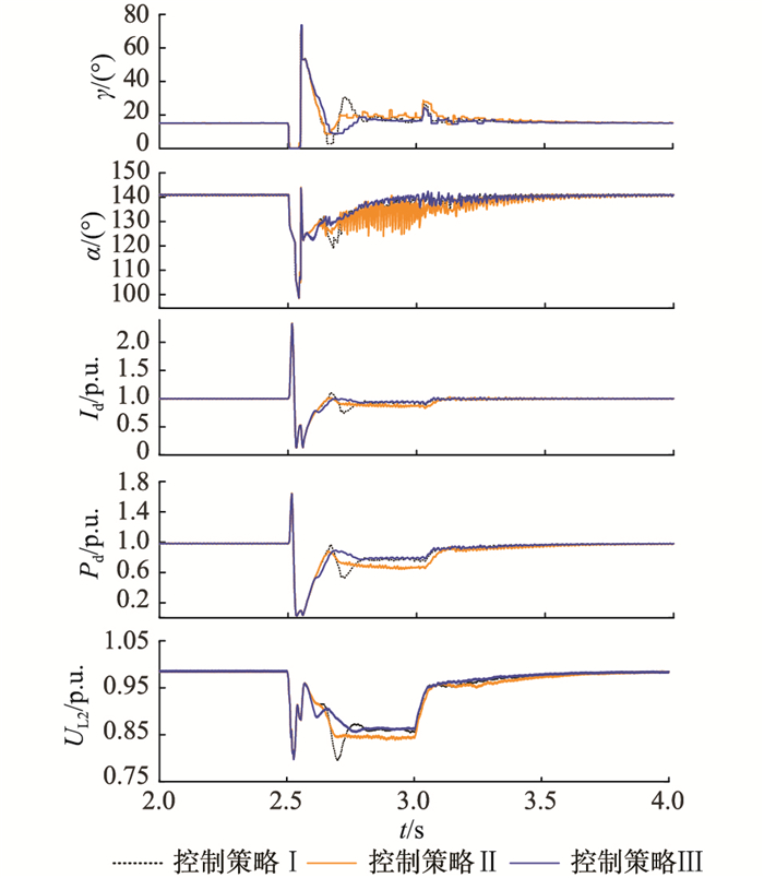
3.2.1 单相故障分析故障工况Ⅰ:在2.5 s时设置逆变侧换流母线处经0.48 H电感接地的单相故障,故障持续时间为0.5 s[15]。该故障工况下,HVDC系统在3种控制策略作用下各电气量与变压器阀侧电流的对比如图 6、图 7所示。其中IYD,IYY分别为星三角接线与星型接线的变压器阀侧电流。
|
图 6 不同控制下系统电气量特性(单相故障Lf=0.48 H) Fig. 6 System electrical characteristics under different control strategies (single-phase fault Lf=0.48 H) |
|
图 7 不同控制下变压器阀侧电流(单相故障Lf=0.48 H) Fig. 7 Transformer valve side current under different control strategies (single-phase fault Lf=0.48 H) |
结合图 6、图 7可知,该故障工况下Lf较小,故障相电压跌落较严重,系统均发生首次换相失败。采用控制策略Ⅰ时,直流系统在故障后共发生3次换相失败且关断角3次跌落至零,对交流系统反复冲击很大。而采用控制策略Ⅱ和控制策略Ⅲ时能将换相失败次数降低至1次,仅发生1次换相失败。
由图 6可知,采用控制策略Ⅲ时,首次换相失败发生后,当处于直流电流指令值上升过程时,即t=2.560 8 s(绿色虚线处)左右自适应触发角补偿控制器投入启动。在故障恢复期间,其根据直流功率恢复速度和交流电压幅值跌落程度动态增大越前触发角β,减小触发角α,最高补偿数值可达14°左右,能够增大换相裕度,有效避免后续换相失败的发生。而采用控制策略Ⅱ虽然能够将换相失败次数降低为1次,但其仅通过交流电压跌落幅值和零序电压幅值单一因素来调整增大关断角整定值,容易导致故障稳态时关断角整定值增加过高,功率因数cos φ下降,不利于直流系统功率恢复。
采用控制策略Ⅲ时,能够在系统恢复过程中同时考虑直流功率恢复速度和交流电压幅值的跌落程度,对触发角减小值进行动态调节,使关断角能够平稳变化。在故障稳态时,虽然交流母线电压幅值跌落较高,但直流功率恢复速度很低,故控制策略Ⅲ的输出触发角减小量较低,因此相对控制策略Ⅱ,在故障稳态时控制策略Ⅲ的运行关断角低9°左右,运行功率因数高,无功消耗少。所以其逆变侧交流母线电压有效值要比控制策略Ⅱ高0.023 p.u.,进而使得故障稳态时能够多提供0.175 p.u.的直流有功功率,改善直流系统功率恢复特性。
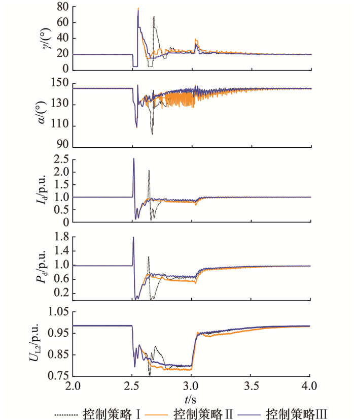
3.2.2 三相故障分析故障工况Ⅱ:为研究直流系统发生单次换相失败时文中方法是否会带来不良影响,设置2.5 s时逆变侧交流母线处经0.7 H电感接地的三相故障,0.5 s后故障切除。HVDC系统在3种控制策略下各电气量与变压器阀侧电流的对比如图 8、图 9所示。
|
图 8 不同控制下系统电气量特性(三相故障Lf=0.7 H) Fig. 8 System electrical characteristics under different control strategies (three-phase fault Lf=0.7 H) |
|
图 9 不同控制下变压器阀侧电流(三相故障Lf=0.7 H) Fig. 9 Transformer valve side current under different control strategies (three-phase fault Lf=0.7 H) |
结合图 8、图 9可知,交流系统故障后发生首次换相失败,关断角跌落为零;结合换流变阀侧电流可知,采用3种控制策略均只发生了1次换相失败,未发生后续换相失败。这说明在该故障工况下采用自适应触发角补偿控制策略并未带来任何不良影响。而且,相对于控制策略Ⅰ,控制策略Ⅲ能够在系统恢复过程中动态降低触发角α,增加关断角裕度,其关断角在首次换相失败后最低值比控制策略Ⅰ高5.69°,有利于抑制换相失败的再次发生。同时,相对控制策略Ⅱ,控制策略Ⅲ在故障稳态时的关断角值较低,因此直流系统故障期间的无功需求降低,能够加快直流系统的功率恢复过程,在故障稳态时能够多提供0.13 p.u.的直流输送功率,有利于提升交直流系统运行稳定性。
此外,由仿真结果可得,当交流系统发生故障时,若控制策略Ⅰ下HVDC系统没有发生后续换相失败,则使用文中所提控制策略也不会发生后续换相失败,即文中方法不会降低直流系统抑制后续换相失败的能力。
故障工况Ⅲ:设置逆变侧交流母线处经0.4 H电感三相接地,故障时刻为2.5 s,0.5 s后切除故障。HVDC系统在3种控制策略作用下各电气量与变压器阀侧电流的对比如图 10、图 11所示。
|
图 10 不同控制下系统电气量特性(三相故障Lf=0.4 H) Fig. 10 System electrical characteristics under different control strategies (three-phase fault Lf=0.4 H) |
|
图 11 不同控制下变压器阀侧电流(三相故障Lf=0.4 H) Fig. 11 Transformer valve side current under different control strategies (three-phase fault Lf=0.4 H) |
结合图 10、图 11可知,在该故障工况下,所提自适应触发角补偿控制器同样可以起到与故障工况Ⅰ类似的抑制后续换相失败的作用。采用控制策略Ⅰ时,由换流变压器阀侧电流可知,直流系统在首次换相失败的恢复过程中发生1次后续换相失败;同时故障发生后其关断角2次跌落至零,导致直流系统在故障后受到2次冲击和波动。采用控制策略Ⅱ时直流系统发生1次换相失败,其通过调节故障期间的关断角整定值增大换相裕度,一定程度上改善系统的故障恢复特性。
采用控制策略Ⅲ时,直流系统仅发生单次换相失败,随着直流电流指令值开始上升、直流功率逐渐恢复,在t=2.566 5 s时自适应触发角补偿控制环节投入;其根据直流功率的恢复速度及交流电压的跌落程度,减小逆变侧触发角,相对控制策略Ⅰ其最高减小幅度可达7.3°,故障持续过程中一直保持较低触发角运行,有效避免了换相失败的再次发生。
相对控制策略Ⅱ仅根据电压跌落程度增大关断角整定值,文中同时考虑直流功率恢复速度及电压跌落程度对触发角进行调整,因此在故障稳态时控制策略Ⅲ对触发角调节量较小,其关断角不至于过大。而控制策略Ⅱ在故障稳态时的关断角比控制策略Ⅲ高,因此其功率因数较低,无功损耗增多,故在故障稳态时交流母线电压有效值比控制策略Ⅲ低0.02 p.u.;控制策略Ⅲ相较控制策略Ⅱ能够在故障稳态时多提供0.12 p.u.的直流输送功率,为受端交流系统提供更大的稳定裕度。
3.3 后续换相失败抑制效果验证为充分验证文中所提控制策略在不同交流故障严重程度下抑制HVDC系统后续换相失败的有效性和适用性,同时考虑三相对称故障和单相不对称故障2种典型故障类型,设置不同严重程度的故障工况,统计对比采用自适应控制策略和常规控制策略时系统发生换相失败的次数。设置故障发生时刻为2.5 s,故障持续时间为0.5 s[15]。定义故障水平FL如式(12)所示[21],FL值越大,说明故障程度越严重。
| $ {F_{\rm{L}}} = \frac{{U_{{\rm{L}}2}^2}}{{\omega {L_{\rm{f}}}}}\frac{1}{{{P_{{\rm{dN}}}}}} \times 100\% $ | (12) |
式中:PdN为直流系统的额定运行功率。
设置故障水平FL在15%~50%之间变化,变化步长为1%,统计采用CIGRE-HVDC标准测试系统本身控制策略(常规控制)及文中方法时的换相失败发生次数。所得仿真结果如图 12所示。
|
图 12 自适应触发角补偿控制对后续换相失败抑制效果 Fig. 12 Suppression effect of adaptive firing angle compensation control on subsequent commutation failure |
由图 12可知,采用文中方法能够有效降低HVDC系统发生后续换相失败的概率。比较常规控制和自适应控制下的换相失败发生次数可以发现,采用文中方法后所有的2次、3次甚至4次换相失败均可以被抑制为单次换相失败,证明了该方法抑制后续换相失败的有效性。
为进一步说明文中控制策略的有效性,与近期最新的抑制后续换相失败的研究进行对比。根据文献[25]的故障条件设置相应工况,分别应用文中控制策略及文献[25]所提控制策略后,后续换相失败次数如表 1、表 2所示。
|
|
表 1 后续换相失败次数对比(单相故障) Table 1 Comparison of the number of subsequent commutation failure(single-phase fault) |
|
|
表 2 后续换相失败次数对比(三相故障) Table 2 Comparison of the number of subsequent commutation failure (three-phase fault) |
由表 1、表 2可见,相较于文献[25],文中所提控制策略能更加有效地抑制后续换相失败。文献[25]需附加储能进行后续换相失败抑制,其应用成本高于文中所提控制策略。2种方案并不冲突,可以同时作用在直流输电系统,共同作用。
4 结论文中结合直流输电系统后续换相失败过程分析和影响因素,提出一种抑制后续换相失败的自适应触发角补偿控制方法。该方法能够根据直流功率恢复速度和交流电压大小动态调整逆变侧输出触发角。通过理论分析和仿真验证,得到以下结论:
(1) 交流系统故障导致换流母线电压发生跌落,直流功率快速恢复导致的逆变站无功需求增加,换相电压未能及时恢复是造成后续换相失败的重要原因。
(2) 所提自适应触发角补偿控制器同时考虑直流功率恢复速度和交流电压幅值的跌落程度,能够对故障期间逆变侧输出的触发角进行动态调节,增大换相裕度,从而提升后续换相失败抑制能力。
(3) 所提控制策略虽较为复杂,但无须额外添加设备,具有技术经济性且易于控制实现。
| [1] |
袁阳, 卫志农, 雷霄, 等. 直流输电系统换相失败研究综述[J]. 电力自动化设备, 2013, 33(11): 140-147. YUAN Yang, WEI Zhinong, LEI Xiao, et al. Survey of commutation failures in DC transmission systems[J]. Electric Power Automation Equipment, 2013, 33(11): 140-147. ( 0) |
| [2] |
周泓宇, 姚伟, 李程昊, 等. 一种可降低首次换相失败风险的预测型低压限流控制[J/OL]. 高电压技术: 1-9[2021-08-25]. https://doi.org/10.13336/j.1003-6520.hve.20210532. ZHOU Hongyu, YAO Wei, LI Chenghao, et al. A predictive voltage dependent current order limiter with the ability to reduce the risk of first commutation failure of HVDC[J/OL]. High Voltage Engineering: 1-9[2021-08-25]. https://doi.org/10.13336/j.1003-6520.hve.20210532. ( 0) |
| [3] |
景柳铭, 王宾, 董新洲, 等. 高压直流输电系统连续换相失败研究综述[J]. 电力自动化设备, 2019, 39(9): 116-123. JING Liuming, WANG Bin, DONG Xinzhou, et al. Review of consecutive commutation failure research for HVDC transmission system[J]. Electric Power Automation Equipment, 2019, 39(9): 116-123. ( 0) |
| [4] |
林圣, 刘健, 刘磊, 等. 基于控制保护的高压直流输电系统换相失败抑制方法综述[J]. 中国电机工程学报, 2020, 40(19): 6045-6059. LIN Sheng, LIU Jian, LIU Lei, et al. A review of commutation failure suppression methods for HVDC systems based on control protection measures[J]. Proceedings of the CSEE, 2020, 40(19): 6045-6059. ( 0) |
| [5] |
MIRSAEIDI S, DONG X Z, TZELEPIS D, et al. A predictive control strategy for mitigation of commutation failure in LCC-based HVDC systems[J]. IEEE Transactions on Power Electronics, 2019, 34(1): 160-172. DOI:10.1109/TPEL.2018.2820152 ( 0) |
| [6] |
ZHANG L D, DOFNAS L. A novel method to mitigate commutation failures in HVDC systems[C]//Proceedings of International Conference on Power System Technology. Kunming, China. IEEE, 2002: 51-56.
( 0) |
| [7] |
刘羽超, 郭春义, 许韦华, 等. 一种降低直流输电换相失败概率的控制方法[J]. 电网技术, 2015, 39(1): 76-82. LIU Yuchao, GUO Chunyi, XU Weihua, et al. A control method to reduce commutation failure probability in HVDC power transmission[J]. Power System Technology, 2015, 39(1): 76-82. ( 0) |
| [8] |
雷霄, 孙栩, 李新年, 等. 适应大容量直流接入弱受端的直流极控系统优化控制方法[J]. 电力自动化设备, 2017, 37(9): 205-209. LEI Xiao, SUN Xu, LI Xinnian, et al. Optimization methods of pole control system for large-capacity HVDC accessing to weak receiving system[J]. Electric Power Automation Equipment, 2017, 37(9): 205-209. ( 0) |
| [9] |
许汉平, 杨炜晨, 张东寅, 等. 考虑换相失败相互影响的多馈入高压直流系统换相失败判断方法[J]. 电工技术学报, 2020, 35(8): 1776-1786. XU Hanping, YANG Weichen, ZHANG Dongyin, et al. Commutation failure judgment method for multi-infeed HVDC systems considering the interaction of commutation failures[J]. Transactions of China Electrotechnical Society, 2020, 35(8): 1776-1786. ( 0) |
| [10] |
刘磊, 林圣, 刘健, 等. 控制器交互不当引发后续换相失败的机理分析[J]. 电网技术, 2019, 43(10): 3562-3568. LIU Lei, LIN Sheng, LIU Jian, et al. Mechanism analysis of subsequent commutation failures caused by improper interaction of controllers[J]. Power System Technology, 2019, 43(10): 3562-3568. ( 0) |
| [11] |
肖超, 欧阳金鑫, 熊小伏, 等. 基于混合双馈入直流输电系统有功无功协调的后续换相失败控制方法[J]. 电网技术, 2019, 43(10): 3523-3531. XIAO Chao, OUYANG Jinxin, XIONG Xiaofu, et al. Subsequent commutation failure control method based on coordination between active and reactive powers in hybrid dual-infeed HVDC system[J]. Power System Technology, 2019, 43(10): 3523-3531. ( 0) |
| [12] |
李兆伟, 吴雪莲, 曹路, 等. 抑制直流连续换相失败的调相机紧急控制[J]. 电力系统自动化, 2018, 42(22): 91-97. LI Zhaowei, WU Xuelian, CAO Lu, et al. Emergency control of synchronous condenser to suppress DC continuous commutation failure[J]. Automation of Electric Power Systems, 2018, 42(22): 91-97. ( 0) |
| [13] |
刘席洋, 王增平, 郑博文, 等. LCC-HVDC故障恢复型连续换相失败机理分析与抑制措施[J]. 中国电机工程学报, 2020, 40(10): 3163-3172. LIU Xiyang, WANG Zengping, ZHENG Bowen, et al. Mechanism analysis and mitigation measures for continuous commutation failure during the restoration of LCC-HVDC[J]. Proceedings of the CSEE, 2020, 40(10): 3163-3172. ( 0) |
| [14] |
李瑞鹏, 李永丽, 陈晓龙. 一种抑制直流输电连续换相失败的控制方法[J]. 中国电机工程学报, 2018, 38(17): 5029-5042, 5300. LI Ruipeng, LI Yongli, CHEN Xiaolong. A control method for suppressing the continuous commutation failure of HVDC transmission[J]. Proceedings of the CSEE, 2018, 38(17): 5029-5042, 5300. ( 0) |
| [15] |
郭春义, 李春华, 刘羽超, 等. 一种抑制传统直流输电连续换相失败的虚拟电阻电流限制控制方法[J]. 中国电机工程学报, 2016, 36(18): 4930-4937, 5117. GUO Chunyi, LI Chunhua, LIU Yuchao, et al. A DC current limitation control method based on virtual-resistance to mitigate the continuous commutation failure for conventional HVDC[J]. Proceedings of the CSEE, 2016, 36(18): 4930-4937, 5117. ( 0) |
| [16] |
陆翌, 童凯, 宁琳如, 等. 基于虚拟电感的双馈入直流输电系统连续换相失败的抑制方法[J]. 电网技术, 2017, 41(5): 1503-1509. LU Yi, TONG Kai, NING Linru, et al. A method mitigating continuous commutation failure for double-infeed HVDC system based on virtual inductor[J]. Power System Technology, 2017, 41(5): 1503-1509. ( 0) |
| [17] |
刘磊, 林圣, 何正友. 基于虚拟换相面积缺乏量的HVDC系统连续换相失败抑制策略[J]. 中国电机工程学报, 2018, 38(18): 5361-5368. LIU Lei, LIN Sheng, HE Zhengyou. A novel method based on virtual commutation area insufficient to mitigate the continuous commutation failure for HVDC[J]. Proceedings of the CSEE, 2018, 38(18): 5361-5368. ( 0) |
| [18] |
汤奕, 郑晨一, 楼伯良, 等. 抑制连续换相失败的直流功率控制策略[J]. 电网技术, 2019, 43(10): 3514-3522. TANG Yi, ZHENG Chenyi, LOU Boliang, et al. Research on DC power control strategy for mitigating continuous commutation failure[J]. Power System Technology, 2019, 43(10): 3514-3522. ( 0) |
| [19] |
张玉红, 姜懿郞, 秦晓辉, 等. 改善直流因持续换相失败导致闭锁的功率指令速降措施研究[J]. 电网技术, 2019, 43(10): 3569-3577. ZHANG Yuhong, JIANG Yilang, QIN Xiaohui, et al. Research on countermeasure via fast decrease of DC power reference to alleviate DC lockdown risk due to continuous commutation failure[J]. Power System Technology, 2019, 43(10): 3569-3577. ( 0) |
| [20] |
印月, 刘天琪, 艾青, 等. 预防多馈入直流输电系统换相失败的直流功率控制方法[J]. 电力自动化设备, 2019, 39(11): 107-113. YIN Yue, LIU Tianqi, AI Qing, et al. DC power control method for preventing commutation failure in multi-DC transmission system[J]. Electric Power Automation Equipment, 2019, 39(11): 107-113. ( 0) |
| [21] |
夏海涛, 周小平, 洪乐荣, 等. 一种抑制后续换相失败的自适应电流偏差控制方法[J]. 中国电机工程学报, 2019, 39(15): 4345-4356. XIA Haitao, ZHOU Xiaoping, HONG Lerong, et al. An adaptive current deviation control method for suppressing following com mutation failures[J]. Proceedings of the CSEE, 2019, 39(15): 4345-4356. ( 0) |
| [23] |
张峻榤, 林卫星, 文劲宇. 基于直流电压变化率的直流电网直流故障保护[J]. 南方电网技术, 2017, 11(1): 14-22. ZHANG Junjie, LIN Weixing, WEN Jinyu. DC fault protection based on change rate of DC voltage in DC grid[J]. Southern Power System Technology, 2017, 11(1): 14-22. ( 0) |
| [24] |
陈树勇, 李新年, 余军, 等. 基于正余弦分量检测的高压直流换相失败预防方法[J]. 中国电机工程学报, 2005, 25(14): 1-6. CHEN Shuyong, LI Xinnian, YU Jun, et al. A method based on the sin-cos components detection mitigates commutation failure in HVDC[J]. Proceedings of the CSEE, 2005, 25(14): 1-6. ( 0) |
| [25] |
周泓宇, 李培平, 姚伟, 等. 抑制直流后续换相失败的电化学储能有功控制策略[J]. 电力系统自动化, 2021, 45(19): 70-79. ZHOU Hongyu, LI Peiping, YAO Wei, et al. Active power control strategy of electrochemical energy storage for mitigating subsequent DC commutation failures[J]. Automation of Electric Power Systems, 2021, 45(19): 70-79. ( 0) |
2. State Grid Jinan Power Supply Company of Shandong Electric Power Company, Jinan 250012, China;
3. State Grid He′nan Electric Power Company Research Institute, Zhengzhou 450052, China

杨程祥(1996),男,硕士,从事特高压交直流稳定性分析与控制相关工作(E-mail:
0)