基于超声影像组学和机器学习算法构建浸润性乳腺癌无病生存期预测模型

李鸿涛 赵佳琦 程颜苓 蒋卓韵 黄雯

引用本文: 李鸿涛,赵佳琦,程颜苓,等. 基于超声影像组学和机器学习算法构建浸润性乳腺癌无病生存期预测模型[J]. 海军军医大学学报,2026,47(1):28-36.DOI: 10.16781/j.CN31-2187/R.20250601.
Citation: LI H, ZHAO J, CHENG Y, et al. Development of a prediction model for disease-free survival in invasive breast cancer based on ultrasound radiomics and machine learning algorithms[J]. Acad J Naval Med Univ, 2026, 47(1): 28-36. DOI: 10.16781/j.CN31-2187/R.20250601.

基于超声影像组学和机器学习算法构建浸润性乳腺癌无病生存期预测模型

doi: 10.16781/j.CN31-2187/R.20250601
基金项目: 

国家自然科学基金 81501492;

上海市自然科学基金 20ZR1457900;

上海市虹口区卫生健康委员会医学科研课题面上项目 HW2302-26;

上海市虹口区卫生健康委员会临床重点扶持专科建设项目 HKLCFC202404;

海军军医大学第二附属医院人才建设三年行动计划“金字塔人才工程”军事医学人才项目 1009;

同济大学附属上海市第四人民医院科研启动专项 SYKYQD06101.

详细信息
    作者简介:

    李鸿涛, 硕士, 住院医师.E-mail: 2392707695@qq.com.

    通讯作者:

    赵佳琦, E-mail: qiqiblue67@163.com.

Development of a prediction model for disease-free survival in invasive breast cancer based on ultrasound radiomics and machine learning algorithms

Funds: 

National Natural Science Foundation of China 81501492;

Natural Science Foundation of Shanghai 20ZR1457900;

General Program of Medical Research Project of Health Commission of Shanghai Hongkou District HW2302-26;

Clinical Key Supporting Project of Health Commission of Shanghai Hongkou District HKLCFC202404;

Military Medical Talent Project of "Pyramid Talent Program" of Three-year Action Plan for Talent Construction of The Second Affiliated Hospital of Naval Medical University 1009;

Science and Technology Initiation Project of Shanghai Fourth People's Hospital Affiliated to Tongji University SYKYQD06101.

  • 摘要:  目的 结合临床病理特征和超声影像组学特征构建预测浸润性乳腺癌患者无病生存期(DFS)的机器学习模型,并验证其可靠性。 方法 回顾性纳入符合条件的浸润性乳腺癌患者978例,采集超声图像共4 414张,按患者例数比6∶2∶2分为训练集、验证集和测试集。采用Pyradiomics软件提取肿瘤超声影像组学(包括二维及彩色超声图像)特征,并应用t分布随机邻域嵌入(t-SNE)、最小绝对收缩和选择算子(LASSO)、相关系数进行数据降维,基于所选特征建立列线图预测模型。使用一致性指数(C-index)、ROC曲线的AUC、精确率、召回率、特异度、F1分数评价模型性能,使用Shapley可加性解释(SHAP)分析每个特征对模型预测的贡献。 结果 经筛选最终得到与浸润性乳腺癌患者DFS事件密切相关的12个影像组学特征和6个临床病理特征,基于这些特征构建的列线图预测模型C-index、AUC、精确率、召回率、特异度、F1分数分别为0.787、0.827、0.623、0.701、0.812、0.584,SHAP分析表明影像组学评分(Rad-Score)对模型输出有显著的正向影响。 结论 基于超声影像组学和机器学习算法构建的模型可有效预测浸润性乳腺癌患者DFS事件,且影像组学特征是浸润性乳腺癌DFS事件的独立预测因素。

     

    Abstract:  Objective To develop and validate a machine learning model for predicting disease-free survival (DFS) in invasive breast cancer by integrating clinicopathologic and ultrasound-radiomics features. Methods A total of 978 eligible patients with invasive breast cancer were retrospectively enrolled, and 4 414 ultrasound images were collected and allocated to training, validation, and test sets at a patient-level ratio of 6∶2∶2. Pyradiomics software was employed to extract tumor ultrasound radiomic features (from both 2-dimensional and color Doppler images). Feature dimensionality reduction was performed using t-distributed stochastic neighbor embedding (t-SNE), least absolute shrinkage and selection operator (LASSO), and correlation coefficients. The selected features were subsequently incorporated into a nomogram prediction model. Model performance was evaluated using the concordance index (C-index), area under curve (AUC) of the receiver operating characteristic curve (ROC), precision, recall, specificity, and F1-score. Additionally, the contribution of individual features to model predictions was quantified with Shapley additive explanations (SHAP). Results Twelve radiomic features and 6 clinicopathological features closely associated with DFS events in invasive breast cancer patients were ultimately selected. The nomogram model constructed from these features achieved a C-index of 0.787, AUC of 0.827, precision of 0.623, recall of 0.701, specificity of 0.812, and F1-score of 0.584. SHAP analysis revealed that the radiomics score (Rad-Score) exerted a significantly positive influence on model outputs. Conclusion The model based on ultrasound radiomics and machine learning algorithms can effectively predict DFS events in invasive breast cancer patients, with radiomic features serving as significant independent prognostic factors for DFS events.

     

  • 乳腺癌是全球女性发病率最高的恶性肿瘤,其中Ⅰ期和Ⅱ期患者通过根治性手术联合辅助治疗可达到较高的临床治愈率[1]。无病生存期(disease-free survival,DFS)定义为从初始治疗至疾病复发、转移或全因死亡的时间间隔,是评估肿瘤治疗结局的重要指标。乳腺癌根治性手术或放化疗后5年内是复发的高峰期,患者在此期间需定期复查(如影像学检查、肿瘤标志物检测),以便早期发现复发并干预。目前,5年无病生存率已成为衡量乳腺癌治疗方案有效性的金标准[2]。对DFS的有效预测可以精确指导临床诊疗,避免过度治疗或治疗不足。

    尽管DFS预测在临床决策中至关重要,但现有预测模型仍存在明显局限性。传统的乳腺癌预后评估主要依赖于临床病理特征,但这些方法在处理高维度和非线性数据时表现有限,导致模型泛化能力不足、动态评估缺失及预测效能不稳定等问题[3]。近年来,随着人工智能技术的发展,超声影像组学逐渐应用于乳腺癌的预后预测[4]。该技术作为一种新兴的技术手段,能够从超声图像中提取定量特征,并借助人工智能算法构建乳腺癌DFS的预测模型,为预后评估提供了新思路[5-6]。本研究旨在构建浸润性乳腺癌5年DFS预测模型。为降低过拟合风险,拟采用机器学习算法,结合影像组学与临床病理特征构建预测模型,并进行验证,以获取最优预测方法。

    本研究为回顾性研究,经海军军医大学第二附属医院医学伦理委员会审批。通过查阅文献得到乳腺癌DFS预测模型的最佳一致性指数(C-index)为0.914[7],在本研究中的最少预测变量数为7,在预试验中乳腺癌DFS事件(定义为5年内出现复发、新发乳腺癌或死亡)比例约为0.101,通过R 4.3.3软件的pmsampsize包计算得到最小样本量为311[8]。收集2018年1月至2023年12月于海军军医大学第二附属医院住院并进行乳腺癌根治术的浸润性乳腺癌患者,共纳入样本978例,符合样本量需求。

    纳入标准:(1)经手术病理确诊为浸润性乳腺癌;(2)术前具有完整的超声检查图像,且图像质量符合诊断要求(分辨率≥512像素×512像素,灰阶图像显示清晰);(3)超声图像中可清晰测量肿块最大径且最大径≥5 mm;(4)图像采集包含常规二维超声及彩色多普勒血流成像;(5)确诊时经全身检查排除远处转移;(6)具有完整的临床及病理资料,包括雌激素受体(estrogen receptor,ER)、孕激素受体(progesterone receptor,PR)、Ki-67增殖指数、人表皮生长因子受体2(human epidermal growth factor receptor 2,HER-2)、P53、E-钙黏蛋白(E-cadherin)、组织学分级(采用Nottingham分级系统)、乳腺影像报告和数据系统(Breast Imaging Reporting and Data System,BI-RADS)分类,以及患者性别、年龄。排除标准:(1)多灶性同侧乳腺癌或多中心性双侧乳腺癌;(2)缺乏完整的组织病理学诊断结果(包括新辅助治疗前的免疫组织化学检测结果);(3)超声图像质量不符合诊断要求(如伪影明显、分辨率不足等);(4)接受姑息性治疗的患者;(5)临床病理资料不完整;(6)失访或随访时间不足12个月的患者。

    由具有5年以上经验的超声医师完成超声检查并获取超声图像。超声图像采集使用Mindray Resona7(深圳迈瑞生物医疗电子股份有限公司)、Voluson E9(美国GE HealthCare公司)、Philips iU22(荷兰皇家飞利浦电子集团)等超声诊断设备,配置工作频率为4~15 MHz的线阵探头。超声检查时受检者取仰卧位,充分暴露乳房和腋窝,调节线阵高频探头,深度设置为3~4 cm,保证病灶居于图像中央,聚焦位于病灶处。图像包含乳房组织及其后方胸肌,灰阶超声参数设置为增益40%~60%、动态范围60~80 dB、探头频率7~15 MHz,使皮下脂肪乳腺小叶显示为中等回声;彩色多普勒超声检查时取样框包括病灶及其周边至少1 cm的组织,速度标尺采用3~5 cm/s,以不出现明显的彩色噪声为宜,血流取最丰富切面,如果病灶无血流也留图证明。

    留取图像使用体位标记来标识探头所放置的位置,发现病灶时留取病灶最大径线切面(纵切面)及与其垂直的最大切面(横切面)、病灶内血流最丰富切面,发现异常淋巴结时留取异常淋巴结最长径线切面及血流最丰富切面。若切面呈现典型的恶性征象或疑恶性征象,如微小钙化(长度<0.5 mm)、毛刺状结构、边缘呈角状、导管结构紊乱等,特别是当最大切面无法全面反映病灶的所有特征时,应保留上述切面以辅助诊断。

    临床资料通过病历系统查询获得,病理资料通过病理查询系统查询获得。临床资料涵盖患者性别、年龄、BI-RADS分级[2013年修订版乳腺超声报告规范(BI-RADS-US)[9]]。病理资料包括ER、PR、Ki-67、HER-2、P53、E-cadherin的表达情况及组织学分级(Nottingham分级系统[10])。

    为了提升图像质量并提取有效信息,本研究采用R 4.3.3软件的EBImage包对图像进行预处理。(1)图像裁剪:统一图像尺寸,将所有图像调整为288像素×230像素;(2)图像的翻转和旋转:用于扩充训练数据集并增强最终训练模型的鲁棒性;(3)图像去噪处理:用于提升图像质量并排除干扰。

    病灶区域由2名超声医师采用基于深度学习的Segment Anything Model(SAM)模型[11]结合医学影像优化权重[12]进行半自动分割,并通过开源工具Pyradiomics[13]提取影像组学特征,包括形状、纹理及灰度分布特征,这些特征的来源基于计算机视觉纹理分析技术。

    为筛选最具预测价值的特征,首先通过t-分布随机邻域嵌入(t-distributed stochastic neighbor embedding,t-SNE)方法[14]评估特征显著性,随后采用最小绝对收缩和选择算子(least absolute shrinkage and selection operator,LASSO)回归[15]进一步压缩特征维度。基于筛选出的特征,使用Cox比例风险回归模型构建影像组学评分(Rad-Score),并将其与临床病理特征结合,通过列线图实现个体化预测模型的可视化[16]。模型训练时通过验证集上的表现来不断优化调整模型参数,确保模型在不过度记忆训练集噪声的前提下具备最佳的外部预测能力,最后用独立测试集来测试模型的预测性能。模型判别能力采用一致性指数(C-index)进行评估。为应对数据集中非复发患者与复发患者比例不平衡(约7∶1)可能导致的模型预测偏倚,本研究在构建Cox比例风险回归模型时引入了样本权重。对发生DFS事件的样本,其权重计算为weventN/Nevent,其中N为总样本量,Nevent为发生DFS事件的患者数。该加权方案使得模型在训练过程中对少数类(复发)样本给予更高关注,以提升其识别高危患者的能力。

    为增强模型的临床可解释性,采用Shapley可加性解释(Shapley additive explanation,SHAP)方法分析各特征对预测结果的贡献方向及程度,重点评估了Rad-Score及6项临床病理特征在模型决策中的重要性。

    使用Python 3.12、R 4.4.3、SPSS 27.0等软件进行统计分析。首先,运用Shapiro-Wilk检验对数据的分布特征进行检验,并通过Bartlett检验评估方差齐性,符合正态分布且方差齐的计量资料采用 x±s的形式进行描述,不符合正态分布或方差不齐的计量资料以MQ1Q3)形式描述并采用Mann-Whitney U检验进行差异性比较;分类资料和等级资料采用频数和百分数的形式进行描述,分类资料采用χ2检验来评估组间差异,等级资料采用秩和检验来评估组间差异。采用ROC曲线及其AUC评估模型的预测效能,并计算精确率、召回率、特异度、F1分数等指标。检验水准(α)为0.05(双侧)。

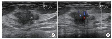
    纳入单侧浸润性乳腺癌女性患者978例、超声图像4 414张。患者年龄22~97岁,平均年龄(56±12)岁。按照患者例数比6∶2∶2随机分为训练集、验证集和测试集,其中训练集587例(2 633张图)、验证集196例(904张图)、测试集195例(877张图),3组患者社会人口学信息和一般临床特征差异无统计学意义(均P>0.05,表 1)。在全部研究对象中,复发患者119例(12.17%),其中训练集71例、验证集23例、测试集25例。纳入病例的超声图像示例如图 1

    表  1  训练集、验证集和测试集浸润性乳腺癌患者的社会人口学信息和临床特征
    Table  1  Sociodemographic characteristics and clinical features of invasive breast cancer patients in training, validation, and test sets
    Index Training set N=587 Validation set N=196 Test set N=195 P value
    Age/year, M (Q1, Q3) 56 (44, 67) 56 (45, 68) 56 (45, 68) 0.467
    BI-RADS category, n (%) 0.424
      4a 157 (26.75) 49 (25.00) 42 (21.54)
      4b 227 (38.67) 74 (37.76) 78 (40.00)
      4c 144 (24.53) 58 (29.59) 55 (28.21)
      5-6 59 (10.05) 15 (7.65) 20 (10.26)
    Molecular marker, n (%)
      ER 0.454
        0 146 (24.87) 53 (27.04) 62 (31.79)
        >0-20% 68 (11.58) 28 (14.29) 12 (6.15)
        >20% 373 (63.54) 115 (58.67) 121 (62.05)
      PR 0.082
        0 209 (35.60) 84 (42.86) 81 (41.54)
        >0-20% 65 (11.07) 20 (10.20) 25 (12.82)
        >20% 313 (53.32) 92 (46.94) 89 (45.64)
      Ki-67 0.245
        0-20% 177 (30.15) 47 (23.98) 54 (27.69)
        >20% 410 (69.85) 149 (76.02) 141 (72.31)
      HER-2 0.383
        Positive 265 (45.14) 80 (40.82) 79 (40.51)
        Negative 322 (54.86) 116 (59.18) 116 (59.49)
      P53 0.301
        Positive 367 (62.52) 125 (63.78) 111 (56.92)
        Negative 220 (37.48) 71 (36.22) 84 (43.08)
      E-cadherin 0.565
        Positive 557 (94.89) 182 (92.86) 184 (94.36)
        Negative 30 (5.11) 14 (7.14) 11 (5.64)
    Molecular subtype, n (%) 0.980
      Luminal-A 60 (10.22) 16 (8.16) 25 (12.82)
      Luminal-B 354 (60.31) 128 (65.31) 111 (56.92)
      HER-2-enriched 69 (11.75) 20 (10.20) 26 (13.33)
      TNBC 104 (17.72) 32 (16.33) 33 (16.92)
    Histological grade, n (%) 0.486
      Ⅰ 22 (3.75) 5 (2.55) 6 (3.08)
      Ⅱ 389 (66.27) 130 (66.33) 122 (62.56)
      Ⅲ 176 (29.98) 61 (31.12) 67 (34.36)
    BI-RADS: Breast Imaging Reporting and Data System; ER: Estrogen receptor; PR: Progesterone receptor; HER-2: Human epidermal growth factor receptor 2; TNBC: Triple-negative breast cancer.
    图  1  纳入病例的超声图像示例
    Fig.  1  Examples of ultrasound images of enrolled cases
    A: Two-dimensional grayscale image; B: Color Doppler blood flow image.
    下载: 全尺寸图片

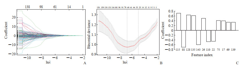
    采用Pyradiomics工具包分别从2D超声图像和彩色多普勒血流成像中提取影像组学特征,各获得93个特征,两类图像合计提取186个特征。经过t-SNE降维后共保留145个特征。考虑到高维特征可能导致模型过拟合和性能下降,本研究进一步采用LASSO回归进行特征选择。具体而言,首先构建LASSO回归模型(二分类),通过10折交叉验证确定最优正则化参数λ。基于最优λ值重新拟合模型,筛选出非零系数特征,共获得38个显著特征。为进一步优化特征集,将筛选出的特征按其回归系数绝对值进行降序排列,最终选取相关性最高的12个特征用于后续建模分析(图 2)。

    图  2  影像组学特征筛选过程
    Fig.  2  Radiomics feature selection process
    A: The coefficient paths of the 145 features after t-distributed stochastic neighbor embedding reduction; B: Selecting non-zero coefficient feature based on the optimal regularization parameter λ; C: Sorting and selecting the features with the strongest correlation based on the regression coefficients.
    下载: 全尺寸图片

    首先基于筛选的12个影像组学特征,使用Cox比例风险回归模型计算影像组学评分(Rad-Score)。在训练集中,Rad-Score为-0.005(-1.253,1.244);在测试集中,Rad-Score为0.012(-1.312,1.336)。经Mann-Whitney U检验,训练集与测试集之间的Rad-Score差异无统计学意义(P=0.237),表明数据具有良好的稳定性。进一步分析发现,发生DFS事件患者的Rad-Score为0.818(-0.154,1.790),高于未发生DFS事件组[-0.348(-1.570,0.874)],差异具有统计学意义(P<0.01)。这一结果表明,Rad-Score与DFS事件之间存在显著关联,影像组学特征能够反映患者的预后差异。

    使用Rad-Score与6个临床病理特征构建预测浸润性乳腺癌DFS事件的列线图模型(图 3)。基于Cox比例风险回归模型构建的列线图预测模型在测试集上展现出良好的预测性能,其C-index为0.787(95%CI 0.742~0.832)。为进一步评估预测模型的区分能力和预测准确性,计算了相关指标:AUC为0.827(95%CI 0.780~0.873),精确率为0.623(95%CI 0.585~0.657),召回率为0.701(95%CI 0.542~0.846),特异度为0.812(95%CI 0.746~0.865),F1分数为0.584(95%CI 0.541~0.627)。

    图  3  浸润性乳腺癌5年DFS事件的列线图预测模型
    Fig.  3  Nomogram prediction model for invasive breast cancer 5-year DFS events
    P53 and E-cadherin were scored as 0 for negative and 1 for positive. Molecular subtype was classified and scored as 1 for Luminal-A, 2 for Luminal-B/HER-2-positive, 3 for Luminal-B/HER-2-negative, 4 for HER-2-positive, and 5 for triple-negative breast cancer. Histological grade was assigned as 1 for grade Ⅰ, 2 for grade Ⅱ, and 3 for grade Ⅲ. BI-RADS category was scored as 1 for category 4a, 2 for 4b, 3 for 4c, and 4 for 5-6. DFS: Disease-free survival; BI-RADS: Breast Imaging Reporting and Data System.
    下载: 全尺寸图片

    SHAP可视化分析表明,Rad-Score对模型输出有显著的正向影响,尤其是当Rad-Score值较高时。此外,BI-RADS分类、分子分型和组织学分级对模型输出的影响较大,且高值通常与较高的SHAP值相关。而年龄以及P53、E-cadherin表达情况对模型输出的影响较小,但仍有正向贡献。SHAP值的分析结果显示,影像组学特征是浸润性乳腺癌DFS事件的独立预测因素。见图 4

    图  4  各特征对浸润性乳腺癌5年DFS事件列线图预测模型贡献的SHAP可视化摘要图
    Fig.  4  SHAP visualization summary for contribution of each feature to nomogram prediction model for invasive breast cancer 5-year DFS events
    DFS: Disease-free survival; SHAP: Shapley additive explanation; BI-RADS: Breast Imaging Reporting and Data System.
    下载: 全尺寸图片

    乳腺癌是全球女性最常见的恶性肿瘤,其发病率呈逐年上升趋势[17]。尽管早期诊断和综合治疗手段不断进步,术后复发和转移仍是影响患者长期生存的主要挑战。DFS作为评估治疗效果和预后的关键指标,对指导术后辅助治疗及随访策略具有重要意义。传统的预后评估主要依赖TNM分期、组织学分级、分子分型等临床病理因素,这些指标虽具有一定的预测价值,但仍存在一定局限性,如主观性强、无法全面反映肿瘤异质性等[18]。近年来,随着医学影像人工智能技术的快速发展,影像组学通过高通量提取并分析医学图像中的定量特征,为无创、动态评估肿瘤生物学行为提供了新的途径[19]

    在乳腺癌预后预测领域,已有研究尝试将MRI、CT等影像模态与机器学习方法结合,并显示出良好前景[20]。然而,大多数研究基于小样本单中心数据,模型泛化能力不足,且多依赖复杂影像检查,成本高、可及性低,限制了临床推广。超声检查因具有无辐射、操作简便、成本低廉及可重复性强等优势,成为乳腺癌筛查和随访的首选影像方法[21]。近年来,基于超声的影像组学研究逐渐增多,但多聚焦于肿瘤诊断或分子分型预测,针对长期生存预后,特别是DFS预测的研究仍相对缺乏,且往往未充分整合临床病理指标,模型解释性较差[22]

    既往研究中,Li等[23]基于MRI影像组学特征构建DFS预测模型,AUC达0.85,与本研究的0.827相近。尽管MRI具有高灵敏性,但其成本高昂、检查流程复杂,且对微钙化显示不佳,限制了其作为乳腺疾病初筛或常规检查的普及应用。超声因其无辐射、低成本、易重复等优势,更适用于长期随访和动态监测。陆春伟等[24]基于SEER数据库构建的浸润性乳腺癌预后模型可有效评估患者预后,但纳入的指标不够充分且缺乏外部验证。本研究将超声影像组学与临床病理指标结合,构建浸润性乳腺癌5年DFS预测模型,成功筛选出了12个具有显著预测价值的影像组学特征,并结合6项临床病理指标建立预测模型。该模型在测试集中表现出良好的预测性能(C-index为0.787,AUC为0.827),表明其在个体化预后评估中具有一定的临床应用潜力,亦进一步完善了超声影像组学在DFS预测模型领域的应用探索。该模型召回率达到0.701,展现出良好的识别DFS事件的能力;特异度为0.812,表明模型也具备优秀的排除非DFS事件的能力。这些结果表明,模型在灵敏度和特异度之间取得了较好的平衡。与传统的TNM分期或单因素分析相比,本研究构建的列线图模型通过多维度数据整合,提供了更为精细的风险分层工具。Rad-Sore的高值显著关联于DFS事件的发生,这为识别术后复发高风险人群提供了量化依据,有助于临床制定个体化辅助治疗策略。

    本研究基于超声影像组学与机器学习方法,通过整合临床病理特征与超声图像的高维定量特征,构建用于预测浸润性乳腺癌患者DFS的列线图模型,采用经典机器学习算法(如LASSO回归),主要基于以下考虑:首先,本研究样本量有限(总样本量为978例,复发病例为119例),深度学习通常需要大规模标注数据才能避免过拟合,而机器学习方法在中小样本中表现更加稳健[25];其次,本研究的目标是筛选具有明确生物学意义的预测特征,并构建可解释的预后模型,机器学习方法更容易实现特征筛选和模型解释,有助于临床医师理解与接受[26];最后,通过结合SHAP等解释性工具,能够进一步揭示不同特征对预测结果的贡献,符合临床决策对透明度和可信度的要求[27]

    本研究还采用了多阶段特征筛选策略,即首先通过t-SNE进行初步降维,再使用LASSO回归进一步筛选出最具代表性的特征。该方法有效避免了高维数据中常见的过拟合问题,提升了模型的泛化能力。最终入选的12个影像组学特征主要来源于灰度共生矩阵(gray-level co-occurrence matrix,GLCM)、灰度运行长度矩阵(gray-level run-length matrix,GLRLM)和局部二值模式(local binary pattern,LBP)等纹理特征,这些特征能够反映肿瘤内部的异质性和微观结构变化,与既往研究[28]一致。此外,Rad-Score的构建综合了各特征的权重,综合反映了影像组学特征对患者DFS的预测能力,显著增强了模型对DFS事件的区分能力。

    本研究构建的列线图模型在测试集上表现出较高的区分度(AUC为0.827),说明其能够较好地将高风险与低风险患者区分开来。尽管精确率(0.623)和F1分数(0.584)相对较低[这可能与数据中DFS事件发生率较低(12.17%)及样本不平衡有关],但C-index达到0.787,表明模型整体预测一致性良好,与现有文献中报道的预后模型性能相当[29]

    为了解释机器学习模型的预测结果,本研究引入了SHAP分析方法。SHAP分析基于博弈论中的Shapley值,通过计算每个特征对模型预测的贡献来解释模型的输出[30]。SHAP分析显示Rad-Score对模型预测的贡献最大,进一步证实了影像组学特征在预后评估中的独立价值。此外,BI-RADS分类、分子分型和组织学分级等临床变量也显示出较强的预测能力,这与当前临床实践中这些指标作为乳腺癌预后重要标志物的共识[31]相符。年龄、P53和E-cadherin的表达水平虽然贡献较小,但仍对模型有一定正向作用,证明了多因素整合模型在预后预测中的优势。

    本研究尚存在一定局限性。第一,作为单中心回顾性研究,样本虽已达到统计学要求,但可能存在选择偏倚。第二,超声图像采集使用多种设备,尽管已进行标准化预处理,但仍可能存在设备间差异。第三,本研究仅纳入了二维灰阶和彩色多普勒血流图像,未融合弹性成像、超声造影等模态信息,未来可考虑多模态融合以进一步提升模型性能。第四,外部验证集的缺乏也限制了模型的泛化能力,后续需通过多中心前瞻性研究进行验证。

    综上所述,本研究成功构建并验证了一个基于超声影像组学和临床病理特征的列线图模型用于预测浸润性乳腺癌患者的5年DFS,该模型表现出良好的预测性能与临床解释性,影像组学特征作为独立预测因子具有重要价值。

  • 图  1   纳入病例的超声图像示例

    Fig.  1   Examples of ultrasound images of enrolled cases

    A: Two-dimensional grayscale image; B: Color Doppler blood flow image.

    下载: 全尺寸图片

    图  2   影像组学特征筛选过程

    Fig.  2   Radiomics feature selection process

    A: The coefficient paths of the 145 features after t-distributed stochastic neighbor embedding reduction; B: Selecting non-zero coefficient feature based on the optimal regularization parameter λ; C: Sorting and selecting the features with the strongest correlation based on the regression coefficients.

    下载: 全尺寸图片

    图  3   浸润性乳腺癌5年DFS事件的列线图预测模型

    Fig.  3   Nomogram prediction model for invasive breast cancer 5-year DFS events

    P53 and E-cadherin were scored as 0 for negative and 1 for positive. Molecular subtype was classified and scored as 1 for Luminal-A, 2 for Luminal-B/HER-2-positive, 3 for Luminal-B/HER-2-negative, 4 for HER-2-positive, and 5 for triple-negative breast cancer. Histological grade was assigned as 1 for grade Ⅰ, 2 for grade Ⅱ, and 3 for grade Ⅲ. BI-RADS category was scored as 1 for category 4a, 2 for 4b, 3 for 4c, and 4 for 5-6. DFS: Disease-free survival; BI-RADS: Breast Imaging Reporting and Data System.

    下载: 全尺寸图片

    图  4   各特征对浸润性乳腺癌5年DFS事件列线图预测模型贡献的SHAP可视化摘要图

    Fig.  4   SHAP visualization summary for contribution of each feature to nomogram prediction model for invasive breast cancer 5-year DFS events

    DFS: Disease-free survival; SHAP: Shapley additive explanation; BI-RADS: Breast Imaging Reporting and Data System.

    下载: 全尺寸图片

    表  1   训练集、验证集和测试集浸润性乳腺癌患者的社会人口学信息和临床特征

    Table  1   Sociodemographic characteristics and clinical features of invasive breast cancer patients in training, validation, and test sets

    Index Training set N=587 Validation set N=196 Test set N=195 P value
    Age/year, M (Q1, Q3) 56 (44, 67) 56 (45, 68) 56 (45, 68) 0.467
    BI-RADS category, n (%) 0.424
      4a 157 (26.75) 49 (25.00) 42 (21.54)
      4b 227 (38.67) 74 (37.76) 78 (40.00)
      4c 144 (24.53) 58 (29.59) 55 (28.21)
      5-6 59 (10.05) 15 (7.65) 20 (10.26)
    Molecular marker, n (%)
      ER 0.454
        0 146 (24.87) 53 (27.04) 62 (31.79)
        >0-20% 68 (11.58) 28 (14.29) 12 (6.15)
        >20% 373 (63.54) 115 (58.67) 121 (62.05)
      PR 0.082
        0 209 (35.60) 84 (42.86) 81 (41.54)
        >0-20% 65 (11.07) 20 (10.20) 25 (12.82)
        >20% 313 (53.32) 92 (46.94) 89 (45.64)
      Ki-67 0.245
        0-20% 177 (30.15) 47 (23.98) 54 (27.69)
        >20% 410 (69.85) 149 (76.02) 141 (72.31)
      HER-2 0.383
        Positive 265 (45.14) 80 (40.82) 79 (40.51)
        Negative 322 (54.86) 116 (59.18) 116 (59.49)
      P53 0.301
        Positive 367 (62.52) 125 (63.78) 111 (56.92)
        Negative 220 (37.48) 71 (36.22) 84 (43.08)
      E-cadherin 0.565
        Positive 557 (94.89) 182 (92.86) 184 (94.36)
        Negative 30 (5.11) 14 (7.14) 11 (5.64)
    Molecular subtype, n (%) 0.980
      Luminal-A 60 (10.22) 16 (8.16) 25 (12.82)
      Luminal-B 354 (60.31) 128 (65.31) 111 (56.92)
      HER-2-enriched 69 (11.75) 20 (10.20) 26 (13.33)
      TNBC 104 (17.72) 32 (16.33) 33 (16.92)
    Histological grade, n (%) 0.486
      Ⅰ 22 (3.75) 5 (2.55) 6 (3.08)
      Ⅱ 389 (66.27) 130 (66.33) 122 (62.56)
      Ⅲ 176 (29.98) 61 (31.12) 67 (34.36)
    BI-RADS: Breast Imaging Reporting and Data System; ER: Estrogen receptor; PR: Progesterone receptor; HER-2: Human epidermal growth factor receptor 2; TNBC: Triple-negative breast cancer.
  • [1] WANG X, WANG N, ZHONG L, et al. Prognostic value of depression and anxiety on breast cancer recurrence and mortality: a systematic review and meta-analysis of 282, 203 patients[J]. Mol Psychiatry, 2020, 25(12): 3186-3197. DOI: 10.1038/s41380-020-00865-6.
    [2] LI J, ZHOU Z, DONG J, et al. Predicting breast cancer 5-year survival using machine learning: a systematic review[J]. PLoS One, 2021, 16(4): e0250370. DOI: 10.1371/journal.pone.0250370.
    [3] 黄雯, 蒋卓韵, 朱志刚, 等. 人工智能在乳腺癌患者预后预测中的研究进展[J]. 建模与仿真, 2025, 14(8): 228-239. DOI: 10.12677/mos.2025.148562.
    [4] WU J, GE L, GUO Y, et al. Predicting hormone receptor status in invasive breast cancer through radiomics analysis of long-axis and short-axis ultrasound planes[J]. Sci Rep, 2024, 14(1): 16503. DOI: 10.1038/s41598-024-67145-z.
    [5] LIU Z, LI Z, QU J, et al. Radiomics of multiparametric MRI for pretreatment prediction of pathologic complete response to neoadjuvant chemotherapy in breast cancer: a multicenter study[J]. Clin Cancer Res, 2019, 25(12): 3538-3547. DOI: 10.1158/1078-0432.CCR-18-3190.
    [6] YIN Y, MO S, LI G, et al. Ultrasound radiomics for the prediction of breast cancers with HER2-zero, -low, and -positive status: a dual-center study[J]. Technol Cancer Res Treat, 2024, 23: 15330338241292668. DOI: 10.1177/15330338241292668.
    [7] GUO Q, DONG Z, JIANG L, et al. Establishment and validation of an ultrasound-based nomogram with risk stratification for short disease-free survival in breast cancer[J]. J Clin Ultrasound, 2023, 51(1): 134-147. DOI: 10.1002/jcu.23296.
    [8] MOONS K G M, DE GROOT J A H, BOUWMEESTER W, et al. Critical appraisal and data extraction for systematic reviews of prediction modelling studies: the CHARMS checklist[J]. PLoS Med, 2014, 11(10): e1001744. DOI: 10.1371/journal.pmed.1001744.
    [9] American College of Radiology. ACR BI-RADS® atlas: Breast Imaging Reporting and Data System[M]. 5th ed. Reston, VA: American College of Radiology, 2013.
    [10] World Health Organization Classification of Tumours Editorial Board. Breast tumours[M]. 5th ed. Lyon: International Agency for Research on Cancer, 2019.
    [11] MA J, HE Y, LI F, et al. Segment anything in medical images[J]. Nat Commun, 2024, 15: 654. DOI: 10.1038/s41467-024-44824-z.
    [12] WU J, WANG Z, HONG M, et al. Medical SAM adapter: adapting segment anything model for medical image segmentation[J]. Med Image Anal, 2025, 102: 103547. DOI: 10.1016/j.media.2025.103547.
    [13] MU W, SCHABATH M B, GILLIES R J. Images are data: challenges and opportunities in the clinical translation of radiomics[J]. Cancer Res, 2022, 82(11): 2066-2068. DOI: 10.1158/0008-5472.CAN-22-1183.
    [14] ZHOU Y, SHARPEE T O. Using global t-SNE to preserve intercluster data structure[J]. Neural Comput, 2022, 34(8): 1637-1651. DOI: 10.1162/neco_a_01504.
    [15] WALLISCH C, BACH P, HAFERMANN L, et al. Review of guidance papers on regression modeling in statistical series of medical journals[J]. PLoS One, 2022, 17(1): e0262918. DOI: 10.1371/journal.pone.0262918.
    [16] WANG X, LU J, SONG Z, et al. From past to future: bibliometric analysis of global research productivity on nomogram (2000-2021)[J]. Front Public Health, 2022, 10: 997713. DOI: 10.3389/fpubh.2022.997713.
    [17] SUNG H, FERLAY J, SIEGEL R L, et al. Global cancer statistics 2020: GLOBOCAN estimates of incidence and mortality worldwide for 36 cancers in 185 countries[J]. CA Cancer J Clin, 2021, 71(3): 209-249. DOI: 10.3322/caac.21660.
    [18] CARDOSO F, KYRIAKIDES S, OHNO S, et al. Early breast cancer: ESMO clinical practice guidelines for diagnosis, treatment and follow-up[J]. Ann Oncol, 2019, 30(8): 1194-1220. DOI: 10.1093/annonc/mdz173.
    [19] ELAHI R, NAZARI M. An updated overview of radiomics-based artificial intelligence (AI) methods in breast cancer screening and diagnosis[J]. Radiol Phys Technol, 2024, 17(4): 795-818. DOI: 10.1007/s12194-024-00842-6.
    [20] WANG X, BA R, HUANG Y, et al. Time-dependent diffusion MRI helps predict molecular subtypes and treatment response to neoadjuvant chemotherapy in breast cancer[J]. Radiology, 2024, 313(1): e240288. DOI: 10.1148/radiol.240288.
    [21] LI H, ZHAO J, JIANG Z. Deep learning-based computer-aided detection of ultrasound in breast cancer diagnosis: a systematic review and meta-analysis[J]. Clin Radiol, 2024, 79(11): e1403-e1413. DOI: 10.1016/j.crad.2024.08.002.
    [22] GUO Y, LI N, SONG C, et al. Artificial intelligence-based automated breast ultrasound radiomics for breast tumor diagnosis and treatment: a narrative review[J]. Front Oncol, 2025, 15: 1578991. DOI: 10.3389/fonc.2025.1578991.
    [23] LI H, ZHU Y, BURNSIDE E S, et al. Quantitative MRI radiomics in the prediction of molecular classifications of breast cancer subtypes in the TCGA/TCIA data set[J]. NPJ Breast Cancer, 2016, 2: 16012-. DOI: 10.1038/npjbcancer.2016.12.
    [24] 陆春伟, 马骏. 利用机器学习算法构建浸润性乳腺癌预后模型: 基于SEER数据库[J]. 海军军医大学学报, 2024, 45(7): 858-864. DOI: 10.16781/j.CN31-2187/R.20230255.
    [25] VABALAS A, GOWEN E, POLIAKOFF E, et al. Machine learning algorithm validation with a limited sample size[J]. PLoS One, 2019, 14(11): e0224365. DOI: 10.1371/journal.pone.0224365.
    [26] YAGIN F H, GORMEZ Y, AL-HASHEM F, et al. Biomarker discovery and development of prognostic prediction model using metabolomic panel in breast cancer patients: a hybrid methodology integrating machine learning and explainable artificial intelligence[J]. Front Mol Biosci, 2024, 11: 1426964. DOI: 10.3389/fmolb.2024.1426964.
    [27] QI X, WANG S, FANG C, et al. Machine learning and SHAP value interpretation for predicting comorbidity of cardiovascular disease and cancer with dietary antioxidants[J]. Redox Biol, 2025, 79: 103470. DOI: 10.1016/j.redox.2024.103470.
    [28] PICCOLO C L, SARLI M, PILERI M, et al. Radiomics for predicting prognostic factors in breast cancer: insights from contrast-enhanced mammography (CEM)[J]. J Clin Med, 2024, 13(21): 6486. DOI: 10.3390/jcm13216486.
    [29] XIONG L, TANG X, JIANG X, et al. Automatic segmentation-based multi-modal radiomics analysis of US and MRI for predicting disease-free survival of breast cancer: a multicenter study[J]. Breast Cancer Res, 2024, 26(1): 157. DOI: 10.1186/s13058-024-01909-3.
    [30] FU Q, WU Y, ZHU M, et al. Identifying cardiovascular disease risk in the U.S. population using environmental volatile organic compounds exposure: a machine learning predictive model based on the SHAP methodology[J]. Ecotoxicol Environ Saf, 2024, 286: 117210. DOI: 10.1016/j.ecoenv.2024.117210.
    [31] LI C, GUO F, ZHAI J, et al. An immunogenic cell death-related signature for prediction of prognosis and response to immunotherapy in breast cancer[J]. Chin Med J (Engl), 2024, 137(4): 487-489. DOI: 10.1097/CM9.0000000000002862.
WeChat 点击查看大图
图(4)  /  表(1)
出版历程
  • 收稿日期:  2025-09-04
  • 接受日期:  2025-11-11

目录

    /

    返回文章
    返回