1990—2021年全球和中国10岁以下儿童视网膜母细胞瘤疾病负担

周宇 艾彬 潘佳豪 刘航宇 张裕

引用本文: 周宇,艾彬,潘佳豪,等. 1990-2021年全球和中国10岁以下儿童视网膜母细胞瘤疾病负担[J]. 海军军医大学学报,2025,46(12):1573-1581.DOI: 10.16781/j.CN31-2187/R.20250293..
Citation: ZHOU Y, AI B, PAN J, et al. Burden of retinoblastoma among children <10 years in China and globally, 1990-2021[J]. Acad J Naval Med Univ, 2025, 46(12): 1573-1581. DOI: 10.16781/j.CN31-2187/R.20250293..

1990—2021年全球和中国10岁以下儿童视网膜母细胞瘤疾病负担

doi: 10.16781/j.CN31-2187/R.20250293
详细信息

Burden of retinoblastoma among children < 10 years in China and globally during 1990-2021

  • 摘要:  目的 探究1990-2021年全球、中国及不同社会人口指数(SDI)地区10岁以下儿童视网膜母细胞瘤(RB)疾病负担,并对全球和中国10岁以下不同性别、不同年龄分组儿童的RB疾病负担进行分析。 方法 基于2021年全球疾病负担数据库,分析1990-2021年10岁以下儿童RB的发病人数、死亡人数、伤残调整生命年(DALY)及相应的年龄标化率,进一步按不同性别、不同SDI地区及不同年龄分组进行描述性分析。最后通过贝叶斯年龄- 时期- 队列模型预测2022-2040年全球和中国10岁以下儿童RB发病人数、死亡人数、DALY及相应的年龄标化率。 结果 2021年,全球10岁以下儿童RB的发病人数较1990年增长了34.27%,死亡人数和DALY较1990年分别下降了13.14% 和12.85%;中国10岁以下儿童RB的发病人数、死亡人数、DALY分别为1 102.43人、70.74人、6 765.72人年,发病人数较1990年增加了99.73%,死亡人数和DALY分别下降了77.51% 和75.59%;在10岁以下儿童中,RB的疾病负担存在显著的年龄和性别差异,全球0~6 d新生儿的RB疾病负担最高,而中国儿童则是在12~23个月RB疾病负担最高,并且全球和中国RB发病人数、死亡人数和DALY都在2~4岁达到峰值。预测到2040年,中国RB的发病人数和死亡人数将分别下降至890人和57人,较2021年分别下降19.24% 和19.72%,但DALY呈现上升趋势。 结论 中国在儿童RB疾病防控、早期筛查和治疗方面取得了显著进展,但RB对患者长期生活质量的影响仍然较大,未来需要进一步提高筛查覆盖率,优化治疗方案,并加强对患者康复期的管理和支持。

     

    Abstract:  Objective To investigate the burden of retinoblastoma (RB) among children < 10 years globally, in China and in different sociodemographic index (SDI) regions from 1990 to 2021, and to analyze its patterns by gender and age group. Methods Using the 2021 Global Burden of Disease (GBD) database, we estimated the number of incident cases, number of deaths, and disability-adjusted life year (DALY) of RB among children < 10 years from 1990 to 2021, along with the corresponding age-standardized rates. Further descriptive analyses were conducted by gender, SDI region, and age group. Finally, Bayesian age-period-cohort model was used to predict the number of incident cases, number of deaths, DALY, and the corresponding age-standardized rates globally and in China from 2022 to 2040. Results In 2021, the number of incident cases of RB among children < 10 years worldwide increased by 34.27% compared with 1990, while the number of deaths and DALY decreased by 13.14% and 12.85%, respectively. The number of incident cases, number of deaths and DALY of RB among children < 10 years in China were 1 102.43, 70.74 and 6 765.72, respectively. The number of incident cases increased by 99.73% compared with 1990, while the number of deaths and DALY decreased by 77.51% and 75.59%, respectively. Among children < 10 years, there were significant age and gender differences in the burden of RB. Globally, the burden of RB in newborns aged 0-6 d was the highest, while for Chinese children, the disease burden was the highest between 12 and 23 months. Moreover, the number of incident cases, number of deaths, and DALY reached their peaks at the age of 2-4 years globally and in China. It was predicted that by 2040, the incident cases and deaths of RB in China would drop to 890 and 57, respectively, decreased by 19.24% and 19.72% compared with 2021; however, DALY would show an upward trend. Conclusion Significant progress has been made in the prevention and control, early screening and treatment of RB among children in China. However, the impact of RB on the long-term quality of life of patients is still considerable, suggesting that we need to further increase the screening coverage rate, optimize the treatment regimens, and strengthen the management and support of patients during their recovery period.

     

  • 视网膜母细胞瘤(retinoblastoma,RB)是儿童最常见的原发性眼内恶性肿瘤,其发病率为1/20 000~1/15 000,全球每年约有8 000名儿童罹患RB[1-4]。近年来,全球RB的疾病负担有所改善,早期诊断的RB目前认为可以治愈。在社会人口指数(sociodemographic index,SDI)较高的地区,恢复视力正在成为新的治疗目标,但SDI较低的地区仍面临较为严峻的RB疾病负担[5]

    中国作为世界上人口最多的国家之一,其RB疾病负担值得关注。过去几十年中,得益于医疗中心和基础设施的完善,以及逐渐增强的宣传意识,中国在RB的诊治上取得了显著进步[6-7]。根据2014-2017年的流行病学数据,中国的晚期RB和眼外RB发病率分别下降至41%和4%,尽管整体生存率呈上升趋势,但中国的RB整体死亡率仍为13%,明显高于包括美国在内的发达国家[6, 8]。2019年,RB作为儿童实体肿瘤已被中国政府列为首批救治管理的病种之一。分析中国既往和当下的RB负担可以明确当下医疗政策与RB负担之间的差距,有助于未来公共卫生政策的调整。

    全球疾病负担研究2021(Global Burden of Disease Study 2021,GBD 2021)基于公开的大规模数据,从发病率、死亡率、患病率等方面全面评估了1990-2021年204个国家和地区的371种疾病的流行病学特征[9-10]。GBD 2021仅提供了10岁以下儿童的RB数据,本研究基于GBD 2021聚焦分析全球和中国10岁以下儿童RB的疾病负担和变化趋势,旨在呈现全球和中国10岁以下儿童RB的流行病学特征,并为制定RB的精准防控策略提供参考。

    利用全球卫生数据交换系统(Global Health Data Exchange,GHDx)查询工具(https://ghdx.healthdata.org/gbd-results-tool)对GBD 2021中RB疾病负担数据进行二次分析。由于RB发病具有年龄特异性,本研究聚焦0~9岁患儿,分为0~6 d组、7~27 d组、1~5个月组、6~11个月组、12~23个月组、2~4岁组和5~9岁组。从GHDx下载1990-2021年全球及中国10岁以下儿童RB(ICD-10代码编号为C69.2)的发病率、死亡率、伤残调整生命年(disability-adjusted life year,DALY)及对应的95%不确定区间(95% uncertainty interval,95%UI),数据计算方法见GBD 2021原文[10-11]

    使用描述性统计分别总结各分层人群的权重得到年龄标化发病率(age-standardized incidence rate,ASIR)、年龄标化死亡率(age-standardized mortality rate,ASMR)和年龄标化DALY率。年龄标化率(age-standardized rate,ASR)的计算公式为

    $$ \mathrm{ASR}=\frac{\sum\limits_{i=1}^A a_i w_i}{\sum\limits_{i=1}^A w_i} \times 100\;000 $$

    其中,ai表示第i个年龄组的年龄分率,wi表示所选参考标准人口对应的第i个年龄组的个体数(或权重),A表示年龄组总数。

    采用线性回归分析计算1990-2021年的EAPC,分别评估发病率、死亡率和DALY的变化趋势。假设ASR的自然对数与时间呈线性关系,满足yα+βx+ε,式中x表示年份,y为速率的自然对数,α为截距,β为斜率,ε为随机误差。采用公式“EAPC=100×(exp(β)-1)”计算EAPC及其95%CI。95%CI下限大于0为上升趋势,95%CI上限小于0为下降趋势,95%CI包含0表示趋势变化无统计学意义。

    AAPC是年度变化百分比(annual percentage change,APC)的加权平均值,表示一段时间内的趋势。它允许一个单一的值来表示多年的平均APC。使用Joinpoint 5.4.0软件(https://surveillance.cancer.gov/joinpoint/)通过单个APC值的几何加权平均值计算AAPC及其95%CI。95%CI下限大于0为上升趋势,95%CI上限小于0为下降趋势,95%CI包含0表示趋势变化无统计学意义。

    基于BAPC,使用BAPC 0.0.36软件包预测2022-2040年全球及中国10岁以下儿童RB的发病率、死亡率及DALY的变化。

    使用R 4.2.3软件进行数据处理及图表的可视化。

    1990年,全球10岁以下儿童RB的发病人数、死亡人数、DALY分别为4 673.52人、3 179.83人、279 066.14人年(表 1)。2021年,全球10岁以下儿童RB的发病人数、死亡人数、DALY分别为6 274.97人、2 762.04人、243 204.27人年,发病人数较1990年增长了34.27%,死亡人数和DALY较1990年分别下降了13.14%和12.85%(表 1)。2021年,全球10岁以下儿童RB的ASIR为0.47/10万,高于1990年的0.39/10万;ASMR和年龄标化DALY率分别为0.21/10万和18.08/10万,低于1990年的0.26/10万和23.19/10万(表 1)。

    表  1  1990年和2021年全球、中国和不同SDI地区10岁以下儿童视网膜母细胞瘤疾病负担
    Table  1  Burden of retinoblastoma in children < 10 years globally, in China and in different SDI regions in 1990 and 2021
    Index 1990 2021 Number variation /% ASR variation /% EAPC (95%CI)
    Number (95%UI) ASR (95%UI)/(×10-5) Number (95%UI) ASR (95%UI)/(×10-5)
    Incidence
      Global 4 673.52 (3 025.30, 6 050.81) 0.39 (0.25, 0.50) 6 274.97 (3 758.96, 8 499.45) 0.47 (0.28, 0.63) 34.27 20.51 1.35 (1.13, 1.58)
      China 551.97 (279.35, 919.48) 0.26 (0.13, 0.43) 1 102.43 (412.20, 1 774.31) 0.64 (0.24, 1.02) 99.73 146.15 5.70 (4.86, 6.55)
      High SDI 817.98 (636.98, 1 029.22) 0.66 (0.51, 0.83) 648.66 (471.09, 858.18) 0.58 (0.42, 0.76) -20.70 -12.12 0.43 (0.10, 0.77)
      High-middle SDI 605.52 (395.02, 922.75) 0.33 (0.21, 0.50) 934.67 (469.48, 1 427.13) 0.61 (0.31, 0.94) 54.36 84.85 3.70 (3.16, 4.24)
      Middle SDI 907.49 (512.65, 1 365.11) 0.23 (0.13, 0.35) 1 481.37 (786.97, 2 160.83) 0.40 (0.21, 0.58) 63.24 73.91 2.83 (2.52, 3.15)
      Low-middle SDI 1 198.33 (659.20, 1 697.90) 0.36 (0.20, 0.51) 1 530.56 (854.95, 2 292.13) 0.40 (0.22, 0.59) 27.72 11.11 0.68 (0.49, 0.86)
      Low SDI 1 141.84 (632.02, 1 588.17) 0.69 (0.38, 0.95) 1 677.06 (953.13, 2 528.22) 0.53 (0.30, 0.79) 46.87 -23.19 -0.67 (-0.82, -0.53)
    Mortality
      Global 3 179.83 (1 791.47, 4 214.06) 0.26 (0.15, 0.35) 2 762.04 (1 666.72, 3 788.26) 0.21 (0.12, 0.28) -13.14 -19.23 -0.43 (-0.56, -0.31)
      China 314.55 (161.54, 491.59) 0.15 (0.07, 0.23) 70.74 (28.84, 107.87) 0.04 (0.02, 0.06) -77.51 -73.33 -2.41 (-2.98, -1.83)
      High SDI 40.01 (32.61, 48.96) 0.03 (0.03, 0.04) 12.45 (9.85, 15.43) 0.01 (0.01, 0.01) -68.88 -66.67 -2.64 (-3.12, -2.16)
      High-middle SDI 213.62 (119.29, 334.02) 0.12 (0.06, 0.18) 59.28 (29.42, 88.23) 0.04 (0.02, 0.06) -72.25 -66.67 -2.65 (-3.00, -2.31)
      Middle SDI 651.56 (379.54, 871.80) 0.17 (0.10, 0.22) 308.74 (175.26, 420.43) 0.08 (0.05, 0.11) -52.62 -52.94 -1.74 (-1.93, -1.55)
      Low-middle SDI 1 133.58 (608.85, 1 623.98) 0.34 (0.18, 0.49) 922.86 (553.6, 1 310.19) 0.24 (0.14, 0.34) -18.59 -29.41 -0.75 (-0.87, -0.63)
      Low SDI 1 139.69 (633.59, 1 584.99) 0.68 (0.38, 0.95) 1 457.4 (873.96, 2 126.27) 0.46 (0.27, 0.67) 27.88 -32.35 -1.05 (-1.17, -0.92)
    DALY
      Global 279 066.14 (157 364.44, 368 779.06) 23.19 (13.08, 30.64) 243 204.27 (147 119.47, 333 465.19) 18.08 (10.94, 24.79) -12.85 -22.04 -0.42 (-0.55, -0.28)
      China 27 716.77 (14 252.44, 43 268.15) 12.83 (6.60, 20.02) 6 765.72 (2 724.52, 10 434.44) 3.90 (1.57, 6.02) -75.59 -69.60 -2.11 (-2.68, -1.54)
      High SDI 3 920.16 (3 219.07, 4 736.61) 3.15 (2.59, 3.81) 1 444.55 (1 128.93, 1 818.51) 1.28 (1.00, 1.62) -63.15 -59.37 -2.06 (-2.51, -1.60)
      High-middle SDI 18 893.96 (10 552.23, 29 432.55) 10.27 (5.74, 16.00) 5 661.16 (2 804.97, 8 481.65) 3.71 (1.84, 5.56) -70.04 -63.88 -2.36 (-2.70, -2.03)
      Middle SDI 57 028.48 (33 186.97, 76 499.12) 14.47 (8.42, 19.41) 27 522.06 (15 588.87, 37 596.41) 7.36 (4.17, 10.06) -51.74 -49.14 -1.66 (-1.85, -1.47)
      Low-middle SDI 99 162.85 (53 320.64, 141 905.66) 29.73 (15.98, 42.54) 80 917.68 (48 449.98, 114 806.72) 20.94 (12.54, 29.71) -18.40 -29.57 -0.74 (-0.86, -0.62)
      Low SDI 99 940.23 (55 531.37, 138 761.43) 60.01 (33.34, 83.32) 127 543.20 (76 374.55, 186 075.35) 39.97 (23.94, 58.32) 27.62 -33.39 -1.05 (-1.18, -0.93)
    SDI: Sociodemographic index; 95%UI: 95% uncertainty interval; ASR: Age-standardized rate; EAPC: Estimated annual percentage change; 95%CI: 95% confidence interval; DALY: Disability-adjusted life year.

    1990年,中国10岁以下儿童RB的发病人数、死亡人数、DALY分别为551.97人、314.55人、27 716.77人年(表 1)。2021年,中国10岁以下儿童RB的发病人数、死亡人数、DALY分别为1 102.43人、70.74人、6 765.72人年,发病人数较1990年增加了99.73%,死亡人数和DALY分别下降了77.51%和75.59%(表 1)。2021年,中国10岁以下儿童RB的ASIR较1990年增加146.15%,ASMR和年龄标化DALY率较1990年下降73.33%和69.60%(表 1)。

    从发病人数、死亡人数和DALY来看,不同SDI地区变化趋势各异。2021年与1990年相比,在发病人数上,仅高SDI地区下降,中SDI地区升幅最大,达63.24%;在死亡人数方面,仅低SDI地区上升,中高SDI地区降幅最大,为72.25%;DALY则只有低SDI地区升高(表 1)。32年间,不同SDI地区的ASMR和年龄标化DALY率均有不同程度的下降,其中高SDI地区和中高SDI地区下降幅度最大;ASIR仅有高SDI地区和低SDI地区呈下降趋势(表 1)。

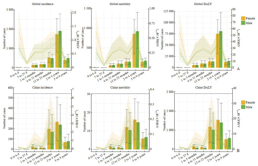
    2021年,全球10岁以下儿童RB的疾病负担存在显著的年龄和性别差异(图 1)。0~6 d新生儿的ASIR、ASMR和年龄标化DALY率最高,其中女性的ASIR、ASMR和年龄标化DALY率分别为1.34/10万、0.62/10万和56.13/10万,男性的ASIR、ASMR和年龄标化DALY率分别为0.73/10万、0.26/10万和23.15/10万,均低于女性(图 1A)。7~27 d新生儿的RB疾病负担降低,但随着年龄的增长,RB疾病负担又逐渐增加,在2~4岁儿童中发病人数、死亡人数和DALY达到峰值(图 1A)。2~4岁女性儿童的发病人数、死亡人数和DALY分别为1 738人、858人和75 331人年,男性儿童的发病人数、死亡人数和DALY分别为1 912人、923人和81 006人年(图 1A)。

    图  1  2021年全球(A)和中国(B)不同性别及年龄分组10岁以下儿童的视网膜母细胞瘤疾病负担情况
    Fig.  1  Burden of retinoblastoma in children < 10 years of different gender and age groups globally (A) and in China (B) in 2021
    ASIR, ASMR, and age-standardized DALY rate of females and males were illustrated with yellow and green lines, respectively, each accompanied by 95% confidence interval. Yellow and green bars showed the actual number of incident cases, number of deaths and DALY. ASR: Age-standardized rate; DALY: Disability-adjusted life year; ASIR: Age-standardized incidence rate; ASMR: Age-standardized mortality rate.
    下载: 全尺寸图片

    2021年,中国10岁以下女性儿童的RB疾病负担总体上大于男性,在12~23个月年龄段儿童中RB疾病负担最高;12~23个月女性儿童的ASIR、ASMR和年龄标化DALY率分别为3.25/10万、0.20/10万和19.37/10万,男性儿童的ASIR、ASMR和年龄标化DALY率分别为2.41/10万、0.15/10万和14.54/10万(图 1B)。在2~4岁年龄段RB的发病人数、死亡人数和DALY达到峰值,其中女性发病人数、死亡人数和DALY分别为269人、16人和1 551人年,男性发病人数、死亡人数和DALY分别为240人、15人和1 413人年(图 1B)。

    从1990-2021年,全球和中国10岁以下儿童RB的ASIR整体上均呈现上升趋势,AAPC分别为0.64和3.08(图 2A)。在全球范围内,1990-2003年10岁以下儿童RB的ASIR总体呈缓慢上升趋势(APC=0.42),2003-2015上升趋势略微加快(APC=2.54),而在2019-2021年呈下降趋势(APC=-8.92)(图 2A)。但在中国,10岁以下儿童RB的ASIR在2019年之前呈上升的趋势,尤其是在1999-2012年快速上升(APC=8.75),在2019-2021年呈现显著下降趋势(APC=-24.29)(图 2A)。1990-2021年全球及中国10岁以下儿童RB的ASMR和年龄标化DALY率整体呈下降趋势,并且中国ASMR和年龄标化DALY率的下降趋势(AAPC=-3.70和-3.43)大于全球下降趋势(AAPC=-0.68和-0.67)(图 2B2C)。全球女性RB的ASIR整体上升趋势(AAPC=0.68)比男性(AAPC=0.65)高,而中国女性RB的ASIR整体上升趋势(AAPC=2.79)比男性(AAPC=3.52)低(图 2D2G)。全球和中国女性RB的ASIR分别在2018年和2019年后呈现下降趋势(APC=-6.68和-24.24),男性RB的ASIR分别在2019年和2018年后呈现下降趋势(APC=-8.20和-18.36)(图 2D2G)。中国女性RB的ASMR和年龄标化DALY率整体呈下降趋势(AAPC=-4.06和-3.78),比全球的下降趋势(AAPC=-0.65和-0.64)更明显(图 2E2F)。全球女性的ASMR和年龄标化DALY率在2002-2014年出现小幅度的上升趋势(APC=0.32和0.35),而中国女性的ASMR和年龄标化DALY率在1990-2004年出现小幅度的上升趋势(APC=0.14和0.24)(图 2E2F)。全球和中国女性RB的ASMR和年龄标化DALY率均在2019-2021年出现快速下降,但中国女性下降的趋势更快(APC=-24.96和-24.78)(图 2E2F)。全球男性RB的ASMR和年龄标化DALY率均在2003-2007年(APC=0.23和0.25)和2010-2013年(APC=0.63和0.68)出现小幅度上升趋势;而中国男性在2002-2014年出现小幅度上升趋势(APC=0.71和1.13),并且与中国女性一样,中国男性RB的ASMR和年龄标化DALY率在2019-2021年出现迅速下降趋势(APC=-26.59和-26.32)(图 2H2I)。

    图  2  1990-2021年全球和中国10岁以下儿童视网膜母细胞瘤疾病负担变化趋势
    Fig.  2  Trends in burden of retinoblastoma among children < 10 years globally and in China from 1990 to 2021
    A-C: Trends in ASIR, ASMR, and age-standardized DALY rate of retinoblastoma among total children; D-F: Trends in ASIR, ASMR, and age-standardized DALY rate of retinoblastoma among female children; G-I: Trends in ASIR, ASMR, and age-standardized DALY rate of retinoblastoma among male children. ASR: Age-standardized rate; AAPC: Average annual percentage change; APC: Annual percentage change; DALY: Disability-adjusted life year; ASIR: Age-standardized incidence rate; ASMR: Age-standardized mortality rate.
    下载: 全尺寸图片

    通过BAPC预测2022-2040年全球和中国10岁以下儿童RB的ASIR、ASMR和年龄标化DALY率。从整体上看,2022-2040年全球ASIR、ASMR和年龄标化DALY率呈现下降趋势,2040年全球RB的发病人数、死亡人数和DALY将分别下降至4 795人、2 382人和191 412人年,较2021年分别下降23.59%、13.76%和21.30%。中国儿童的ASIR和ASMR变化趋势与全球相比较为缓慢,2040年中国RB的发病人数和死亡人数将分别下降至890人和57人,较2021年分别下降19.24%和19.72%,但DALY呈现上升趋势。在不同性别中,全球和中国儿童未来RB的ASIR、ASMR和年龄标化DALY率变化趋势与总体变化趋势稍有不同。全球男性和女性儿童未来RB的ASIR、ASMR和年龄标化DALY率变化呈下降趋势。在中国,未来男性儿童RB的ASIR呈现上升趋势,而女性儿童RB的ASIR呈现下降趋势;2040年男性儿童RB的发病人数将上升至520人,较2021年增加5.8%,而女性儿童RB的发病人数将下降至370人,较2021年下降36.75%。未来中国女性儿童RB的年龄标化DALY率呈现较大幅度的上升趋势,2040年中国女性儿童DALY达到6 173人年,较2021年上升73.30%。见图 3

    图  3  2022-2040年未来全球和中国10岁以下儿童视网膜母细胞瘤疾病负担预测
    Fig.  3  Projections of burden of retinoblastoma among children < 10 years globally and in China from 2022 to 2040
    A: Projections of the number of incident cases (bars) and ASIR (lines); B: Projections of the number of deaths (bars) and ASMR (lines); C: Projections of DALY (bars) and age-standardized DALY rate (lines). ASIR: Age-standardized incidence rate; ASMR: Age-standardized mortality rate; DALY: Disability-adjusted life year.
    下载: 全尺寸图片

    RB是儿童群体中最为常见的原发性眼内恶性肿瘤,约90%的病例发生于5岁以下儿童[12]。该病起病隐匿,若未能及时发现与干预,随着病情进展到晚期,肿瘤不仅会突破眼球屏障侵入眼眶组织,还会沿视神经逆向蔓延至中枢神经系统,或经血行转移至骨髓、肝脏、肺等重要脏器,严重威胁患儿生命健康[13-14]。作为全球范围内亟待解决的公共卫生问题,RB的早期诊断、规范治疗及长期随访管理始终是眼科及儿科肿瘤领域的研究重点与临床挑战[15]

    为探究RB的疾病负担特征,本研究基于GBD数据库,系统分析了全球、中国及不同SDI地区10岁以下儿童RB的疾病负担现状,并进一步剖析了全球与中国不同性别群体以及各年龄分组的疾病负担动态趋势,并借助预测模型推演全球及中国未来RB疾病负担的发展趋势。本研究结果将为制定更具针对性的预防策略、优化临床治疗方案、完善公共卫生干预措施提供科学依据,助力RB综合防控水平的提升。

    从1990年到2021年,全球10岁以下儿童RB的发病人数增长了34.27%,死亡人数下降了13.14%,反映了全球在RB疾病治疗和管理方面取得的进展。经过年龄标准化后,除了ASIR有所增加外,ASMR和年龄标化DALY率都有所降低,进一步说明全球RB治疗效果的提升和疾病负担的减轻。全球RB发病人数和ASIR的增长可能是由于检测手段的普及和推广、诊断灵敏性增强等,使得早期病例的检出率显著提升,同时可能也存在一些环境暴露因素增加了RB发病风险。2021年,在高SDI地区RB的发病人数和死亡人数都有所下降,但低SDI地区的发病人数和死亡人数都有所升高,这表明全球范围内在疾病防控和治疗资源上的分配还存在不平等。不同SDI地区RB变化趋势各异,是医疗资源分配、技术应用、环境暴露及社会经济因素综合作用的结果,例如高SDI地区普遍将眼底筛查纳入新生儿常规检查,使得早期RB检出率提升,同时通过基因检测的普及和遗传咨询的干预降低遗传性疾病患儿出生率,从源头上降低了RB发病率[16-17]。而低SDI地区中有些区域目前可能还处在农业现代化进程中,工业化导致的污染物扩散也进一步提高散发性RB病例的比例,同时其早期筛查覆盖率较低使得诊断延迟,导致治疗难度大幅增加、死亡率上升[18]。在中国,虽然2021年RB的死亡人数和DALY都较1990年有一定幅度的下降,但发病人数显著增加,这表明中国在RB治疗和管理方面取得了显著进展,其发病人数的显著增加可能与RB早期筛查有关,今后还需要进一步关注RB早期筛查的推广与诊断技术的进步。

    在全球范围内,10岁以下儿童RB的疾病负担在不同年龄段和性别之间存在显著差异。特别是在0~6 d新生儿期,女性RB的ASIR、ASMR和年龄标化DALY率均高于男性。这一现象可能是受到遗传与生物学差异的潜在影响,RB的发生与RB1抑癌基因的双等位失活密切相关,有研究发现女性新生儿中RB1基因突变的检出率略高于男性,且突变类型更倾向于导致早发和侵袭性表型[19]。随着年龄的增长,2~4岁儿童RB的疾病负担达到最高峰,其中男性的发病人数、死亡人数和DALY略高于女性。在中国,10岁以下女性儿童的RB疾病负担总体上大于男性,特别是在12~23个月的儿童中,女性的ASIR、ASMR和年龄标化DALY率均高于男性。在中国,RB的发病人数、死亡人数和DALY也在2~4岁儿童中达到峰值并且女性略高于男性。这些数据提示,需针对特定年龄段儿童特别是0~6 d新生儿和2~4岁儿童进行早期筛查和诊断,以便及时干预和治疗。

    本研究仅限于GBD数据库来源的数据分析,未考虑到经济发展状况与医疗水平等重要因素。例如以SDI分层的地区分析,无法捕捉特定国家的政策创新、地方性环境暴露差异和宗教文化影响等局部特征;也未将环境与遗传交互作用进行简化处理,如污染物暴露与基因突变的协同效应,职业辐射暴露的代际传递等。同时,预测模型虽可预测趋势,但也未将今后医疗政策、筛查手段或治疗技术的变化等纳入考量。

    综上所述,全球和中国10岁以下儿童RB的疾病负担存在差异,可能与地区特定的遗传、环境和医疗资源有关。数据分析提示,在全球范围内需要特别关注低SDI地区的儿童健康状况,建议在低SDI地区推广低成本、便携式筛查设备,将新生儿眼底筛查纳入国家公共卫生项目,以提高RB的筛查覆盖率,实现早发现、早治疗。在中国,考虑到12~23个月儿童中女性较高的RB疾病负担,建议增加健康教育活动提高家长的识别能力,增加对女性儿童的关注和保护措施,同时针对这一年龄段的女性儿童制定特定的公共卫生策略。

  • 图  1   2021年全球(A)和中国(B)不同性别及年龄分组10岁以下儿童的视网膜母细胞瘤疾病负担情况

    Fig.  1   Burden of retinoblastoma in children < 10 years of different gender and age groups globally (A) and in China (B) in 2021

    ASIR, ASMR, and age-standardized DALY rate of females and males were illustrated with yellow and green lines, respectively, each accompanied by 95% confidence interval. Yellow and green bars showed the actual number of incident cases, number of deaths and DALY. ASR: Age-standardized rate; DALY: Disability-adjusted life year; ASIR: Age-standardized incidence rate; ASMR: Age-standardized mortality rate.

    下载: 全尺寸图片

    图  2   1990-2021年全球和中国10岁以下儿童视网膜母细胞瘤疾病负担变化趋势

    Fig.  2   Trends in burden of retinoblastoma among children < 10 years globally and in China from 1990 to 2021

    A-C: Trends in ASIR, ASMR, and age-standardized DALY rate of retinoblastoma among total children; D-F: Trends in ASIR, ASMR, and age-standardized DALY rate of retinoblastoma among female children; G-I: Trends in ASIR, ASMR, and age-standardized DALY rate of retinoblastoma among male children. ASR: Age-standardized rate; AAPC: Average annual percentage change; APC: Annual percentage change; DALY: Disability-adjusted life year; ASIR: Age-standardized incidence rate; ASMR: Age-standardized mortality rate.

    下载: 全尺寸图片

    图  3   2022-2040年未来全球和中国10岁以下儿童视网膜母细胞瘤疾病负担预测

    Fig.  3   Projections of burden of retinoblastoma among children < 10 years globally and in China from 2022 to 2040

    A: Projections of the number of incident cases (bars) and ASIR (lines); B: Projections of the number of deaths (bars) and ASMR (lines); C: Projections of DALY (bars) and age-standardized DALY rate (lines). ASIR: Age-standardized incidence rate; ASMR: Age-standardized mortality rate; DALY: Disability-adjusted life year.

    下载: 全尺寸图片

    表  1   1990年和2021年全球、中国和不同SDI地区10岁以下儿童视网膜母细胞瘤疾病负担

    Table  1   Burden of retinoblastoma in children < 10 years globally, in China and in different SDI regions in 1990 and 2021

    Index 1990 2021 Number variation /% ASR variation /% EAPC (95%CI)
    Number (95%UI) ASR (95%UI)/(×10-5) Number (95%UI) ASR (95%UI)/(×10-5)
    Incidence
      Global 4 673.52 (3 025.30, 6 050.81) 0.39 (0.25, 0.50) 6 274.97 (3 758.96, 8 499.45) 0.47 (0.28, 0.63) 34.27 20.51 1.35 (1.13, 1.58)
      China 551.97 (279.35, 919.48) 0.26 (0.13, 0.43) 1 102.43 (412.20, 1 774.31) 0.64 (0.24, 1.02) 99.73 146.15 5.70 (4.86, 6.55)
      High SDI 817.98 (636.98, 1 029.22) 0.66 (0.51, 0.83) 648.66 (471.09, 858.18) 0.58 (0.42, 0.76) -20.70 -12.12 0.43 (0.10, 0.77)
      High-middle SDI 605.52 (395.02, 922.75) 0.33 (0.21, 0.50) 934.67 (469.48, 1 427.13) 0.61 (0.31, 0.94) 54.36 84.85 3.70 (3.16, 4.24)
      Middle SDI 907.49 (512.65, 1 365.11) 0.23 (0.13, 0.35) 1 481.37 (786.97, 2 160.83) 0.40 (0.21, 0.58) 63.24 73.91 2.83 (2.52, 3.15)
      Low-middle SDI 1 198.33 (659.20, 1 697.90) 0.36 (0.20, 0.51) 1 530.56 (854.95, 2 292.13) 0.40 (0.22, 0.59) 27.72 11.11 0.68 (0.49, 0.86)
      Low SDI 1 141.84 (632.02, 1 588.17) 0.69 (0.38, 0.95) 1 677.06 (953.13, 2 528.22) 0.53 (0.30, 0.79) 46.87 -23.19 -0.67 (-0.82, -0.53)
    Mortality
      Global 3 179.83 (1 791.47, 4 214.06) 0.26 (0.15, 0.35) 2 762.04 (1 666.72, 3 788.26) 0.21 (0.12, 0.28) -13.14 -19.23 -0.43 (-0.56, -0.31)
      China 314.55 (161.54, 491.59) 0.15 (0.07, 0.23) 70.74 (28.84, 107.87) 0.04 (0.02, 0.06) -77.51 -73.33 -2.41 (-2.98, -1.83)
      High SDI 40.01 (32.61, 48.96) 0.03 (0.03, 0.04) 12.45 (9.85, 15.43) 0.01 (0.01, 0.01) -68.88 -66.67 -2.64 (-3.12, -2.16)
      High-middle SDI 213.62 (119.29, 334.02) 0.12 (0.06, 0.18) 59.28 (29.42, 88.23) 0.04 (0.02, 0.06) -72.25 -66.67 -2.65 (-3.00, -2.31)
      Middle SDI 651.56 (379.54, 871.80) 0.17 (0.10, 0.22) 308.74 (175.26, 420.43) 0.08 (0.05, 0.11) -52.62 -52.94 -1.74 (-1.93, -1.55)
      Low-middle SDI 1 133.58 (608.85, 1 623.98) 0.34 (0.18, 0.49) 922.86 (553.6, 1 310.19) 0.24 (0.14, 0.34) -18.59 -29.41 -0.75 (-0.87, -0.63)
      Low SDI 1 139.69 (633.59, 1 584.99) 0.68 (0.38, 0.95) 1 457.4 (873.96, 2 126.27) 0.46 (0.27, 0.67) 27.88 -32.35 -1.05 (-1.17, -0.92)
    DALY
      Global 279 066.14 (157 364.44, 368 779.06) 23.19 (13.08, 30.64) 243 204.27 (147 119.47, 333 465.19) 18.08 (10.94, 24.79) -12.85 -22.04 -0.42 (-0.55, -0.28)
      China 27 716.77 (14 252.44, 43 268.15) 12.83 (6.60, 20.02) 6 765.72 (2 724.52, 10 434.44) 3.90 (1.57, 6.02) -75.59 -69.60 -2.11 (-2.68, -1.54)
      High SDI 3 920.16 (3 219.07, 4 736.61) 3.15 (2.59, 3.81) 1 444.55 (1 128.93, 1 818.51) 1.28 (1.00, 1.62) -63.15 -59.37 -2.06 (-2.51, -1.60)
      High-middle SDI 18 893.96 (10 552.23, 29 432.55) 10.27 (5.74, 16.00) 5 661.16 (2 804.97, 8 481.65) 3.71 (1.84, 5.56) -70.04 -63.88 -2.36 (-2.70, -2.03)
      Middle SDI 57 028.48 (33 186.97, 76 499.12) 14.47 (8.42, 19.41) 27 522.06 (15 588.87, 37 596.41) 7.36 (4.17, 10.06) -51.74 -49.14 -1.66 (-1.85, -1.47)
      Low-middle SDI 99 162.85 (53 320.64, 141 905.66) 29.73 (15.98, 42.54) 80 917.68 (48 449.98, 114 806.72) 20.94 (12.54, 29.71) -18.40 -29.57 -0.74 (-0.86, -0.62)
      Low SDI 99 940.23 (55 531.37, 138 761.43) 60.01 (33.34, 83.32) 127 543.20 (76 374.55, 186 075.35) 39.97 (23.94, 58.32) 27.62 -33.39 -1.05 (-1.18, -0.93)
    SDI: Sociodemographic index; 95%UI: 95% uncertainty interval; ASR: Age-standardized rate; EAPC: Estimated annual percentage change; 95%CI: 95% confidence interval; DALY: Disability-adjusted life year.
  • [1] COBRINIK D. Retinoblastoma origins and destinations[J]. N Engl J Med, 2024, 390(15): 1408-1419. DOI: 10.1056/NEJMra1803083.
    [2] KAMIHARA J, BOURDEAUT F, FOULKES W D, et al. Retinoblastoma and neuroblastoma predisposition and surveillance[J]. Clin Cancer Res, 2017, 23(13): e98-e106. DOI: 10.1158/1078-0432.ccr-17-0652.
    [3] ANDERSEN J B. Single cell profiling reveals window for immunotherapy in liver cancers[J]. Hepatobiliary Surg Nutr, 2018, 7(1): 48-51. DOI: 10.21037/hbsn.2017.12.04.
    [4] SOLIMAN S E, RACHER H, ZHANG C, et al. Genetics and molecular diagnostics in retinoblastoma: an update[J]. Asia Pac J Ophthalmol, 2017, 6(2): 197-207. DOI: 10.22608/APO.201711.
    [5] WONG E S, CHOY R W, ZHANG Y, et al. Global retinoblastoma survival and globe preservation: a systematic review and meta-analysis of associations with socioeconomic and health-care factors[J]. Lancet Glob Health, 2022, 10(3): e380-e389. DOI: 10.1016/S2214-109X(21)00555-6.
    [6] WEN X, FAN J, JIN M, et al. Intravenous versus superselected intra-arterial chemotherapy in children with advanced unilateral retinoblastoma: an open-label, multicentre, randomised trial[J]. Lancet Child Adolesc Health, 2023, 7(9): 613-620. DOI: 10.1016/S2352-4642(23)00141-4.
    [7] ZHOU C, WEN X, DING Y, et al. Eye-preserving therapies for advanced retinoblastoma: a multicenter cohort of 1 678 patients in China[J]. Ophthalmology, 2022, 129(2): 209-219. DOI: 10.1016/j.ophtha.2021.09.002.
    [8] LUO Y, ZHOU C, HE F, et al. Contemporary update of retinoblastoma in China: three-decade changes in epidemiology, clinical features, treatments, and outcomes[J]. Am J Ophthalmol, 2022, 236: 193-203. DOI: 10.1016/j.ajo.2021.09.026.
    [9] GBD 2021 Forecasting Collaborators. Burden of disease scenarios for 204 countries and territories, 2022-2050: a forecasting analysis for the Global Burden of Disease Study 2021[J]. Lancet, 2024, 403(10440): 2204-2256. DOI: 10.1016/S0140-6736(24)00685-8.
    [10] GBD 2021 Risk Factors Collaborators. Global burden and strength of evidence for 88 risk factors in 204 countries and 811 subnational locations, 1990-2021: a systematic analysis for the Global Burden of Disease Study 2021[J]. Lancet, 2024, 403(10440): 2162-2203. DOI: 10.1016/S0140-6736(24)00933-4.
    [11] GBD 2021 Diseases and Injuries Collaborators. Global incidence, prevalence, years lived with disability (YLDs), disability-adjusted life-years (DALYs), and healthy life expectancy (HALE) for 371 diseases and injuries in 204 countries and territories and 811 subnational locations, 1990-2021: a systematic analysis for the Global Burden of Disease Study 2021[J]. Lancet, 2024, 403(10440): 2133-2161. DOI: 10.1016/S0140-6736(24)00757-8.
    [12] SHIELDS C L, BAS Z, LAITON A, et al. Retinoblastoma: emerging concepts in genetics, global disease burden, chemotherapy outcomes, and psychological impact[J]. Eye (Lond), 2023, 37(5): 815-822. DOI: 10.1038/s41433-022-01980-0.
    [13] BYROJU V V, NADUKKANDY A S, CORDANI M, et al. Retinoblastoma: present scenario and future challenges[J]. Cell Commun Signal, 2023, 21(1): 226. DOI: 10.1186/s12964-023-01223-z.
    [14] WARDA O, NAEEM Z, ROELOFS K A, et al. Retinoblastoma and vision[J]. Eye (Lond), 2023, 37(5): 797-808. DOI: 10.1038/s41433-021-01845-y.
    [15] VEMPULURU V S, MANIAR A, KALIKI S. Global retinoblastoma studies: a review[J]. Clin Exp Ophthalmol, 2024, 52(3): 334-354. DOI: 10.1111/ceo.14357.
    [16] SINGH L, CHINNASWAMY G, MEEL R, et al. Epidemiology, diagnosis and genetics of retinoblastoma: ICMR consensus guidelines[J]. Indian J Pediatr, 2024, 91(11): 1147-1156. DOI: 10.1007/s12098-024-05085-2.
    [17] SHARMA T, NERIYANURI S, RAMAN R, et al. Prenatal genetic diagnosis of retinoblastoma-clinical correlates on follow-up[J]. Indian J Ophthalmol, 2015, 63(9): 741. DOI: 10.4103/0301-4738.170979.
    [18] CHANTADA G L, DUNKEL I J, QADDOUMI I, et al. Familial retinoblastoma in developing countries[J]. Pediatr Blood Cancer, 2009, 53(3): 338-342. DOI: 10.1002/pbc.21970.
    [19] 李薇薇, 刘丹宁, 周希瑗. 儿童视网膜母细胞瘤的基因型及临床表型分析[J]. 第三军医大学学报, 2020, 42(18): 1859-1867. DOI: 10.16016/j.1000-5404.202003399.
WeChat 点击查看大图
图(3)  /  表(1)
出版历程
  • 收稿日期:  2025-05-11
  • 接受日期:  2025-08-25

目录

    /

    返回文章
    返回