† Corresponding author. E-mail:
Supported by the National Natural Science Foundation of China under Grant No. 11505150; the Yuncheng University Research Project under Grant No. YQ-2014014; the National Natural Science Foundation of China under Grant No. 11405278
Within the framework of the isospin-dependent transport model, the roles of the reactions NΔ → NN and πN → Δ are investigated through simulating heavy-ion collisions at 1000 MeV/nucleon. The absorption process NΔ → NN plays an important role for heavy impact systems and small impact parameters than for light impact systems and large impact parameters. The resorption process πN → Δ is of importance for heavy impact systems and large impact parameters than for light impact systems and small impact parameters. Thus the influences of the reaction NΔ → NN (πN → Δ) on pion production dynamics can be neglected in heavy-ion collisions for smaller (larger) impact parameters and light systems. It is the reaction πN → Δ that causes the anti-correlation of pions and nucleons in the rapidity dependence of the directed flow.
In the 80’s of last century, pion production has been used as a useful tool to probe the nuclear equation of state (EOS).[1–4]From then on, numerous experimental measurements[5–20]and theoretical studies[21–48]have been devoted to understanding pion production mechanisms. In particular, the ratio of negatively to positively charged pions π−/π+ in heavy-ion collisions induced by neutron-rich nuclei at energies near pion threshold was proposed to extract the information of the nuclear symmetry energy Esym(ρ).[28] However, unfortunately, the predicted form for the Esym(ρ) by using the ratios of π−/π+ is highly controversial.[30–34,37]
The EOS of nuclear matter at density ρ can be written as E(ρ,δ) = E(ρ,δ = 0) + Esym(ρ)δ2 + O(δ4) in terms of δ = (ρn − ρp/ρ) with ρ, ρn, and ρp representing the total, neutron, and proton densities, respectively. Until now the EOS of the isospin symmetric part E(ρ,δ = 0) is constrained quite acceptably,[49] but the EOS of isospin asymmetric nuclear matter, namely the Esym(ρ), is not yet constrained. In the past decades, a lot of probes to the Esym(ρ) have been found. Among them, the ratios of π−/π+ is one of the most controversial probes. Many inconsistent results have been obtained by comparing the theoretical simulations to the experimental data taken by the FOPI collaboration for pion production.[31–34]The in-depth understanding about the pion production mechanisms and the more precise experimental data on the pion production are required.
In theory, there are many aspects to influence the simulated results of π−/π+, such as the pion in-medium potentials,[34,38,42–46] the isosvector potentials for resonances Δ,[35] threshold effects,[39] nucleon short-range correlation,[36,48] and so on. The absorption reaction NΔ → NN and resorption reaction πN → Δ play a significant role in discussing the dependence of the π−/π+ on the Esym(ρ). However, this point is hardly stressed in above theoretical studies. In heavy-ion collisions induced by neutron-rich nuclei at intermediate energies, the different cross sections for the two channels will correspond to the completely different ratios of π−/π+. For the cross section of NΔ → NN, the simplest form is derived from the detailed balance principle, which is considered to be correct only for resonances with zero width.[27] Thus a modified detailed balance formula was proposed in order to take the finite width of resonances into account. It is found that it enhances the reabsorption of pions, particularly near pion threshold value.[13,21] For the cross section of πN → Δ, there are several different cases used in theoretical approaches, e.g., for reaction π−p → Δ0, where p denotes protons, the maximum value of the cross section σmax = 70 mb is used in Refs. [26, 50], σmax = 30 mb is used in Refs. [51--52], and σmax = 66.7 mb is used in Ref. [53]. It is necessary to study the impact of the reactions of NΔ → NN and πN → Δ on the final simulated results for pion production. It is also important for sheding light on the sensitivity of the ratios of π−/π+ on the Esym(ρ).
In this work, within the isospin-dependent quantum molecular model developed in the Beijing Normal University (IQMD-BNU),[54–55]the roles of NΔ → NN and πN → Δ reactions in heavy-ion collisions at intermediate energies are investigated. The article is organized as follows: In Sec.
In the QMD approach, the nucleons are specified as particles with finite widths of Gaussian shape instead of point particles. The width of the wave packet is fixed in the evolution and increases as the mass number of the nuclide increases. The final N-body wave function is considered as the direct product of the coherent states and the antisymmetrization is not taken into account. The time evolution of the baryons, including nucleons and resonances, and mesons in the system obeys the Hamiltonian equations of motion:






The parameters α, β, γ, and ρ0 are taken as −390 MeV, 320 MeV, 1.14, and 0.16 fm−3, respectively, and the corresponding compressibility is 200 MeV. gsur is taken as 130 MeV⋅fm5 and δ is the isospin asymmetry. 


We use the same method as in the cascade model to treat two-particle collisions.[59] The elastic cross sections in free space, which is taken from Ref. [60], and the inelastic cross section, which is derived from the one-boson exchange model,[61] with an in-medium factor of C = 1 − 0.2 ρ/ρ0,[62] are used in the present work.
The pion is generated through the decay of resonances Δ and N*(1440). The spectral function of resonances is obtained by a modified Breit-Wigner function:[25]







To test our model, firstly, we compare the calculated results with the corresponding experimental data taken by the FOPI collaboration.[15,18] Figure
| Fig. 1 Rapidity distributions of π+ produced in Au+Au collisions at 400 (a) and 1500 MeV/nucleon (b). The FOPI data and the IQMD SM results are taken from Ref. [18]. |
| Fig. 2 The same as in Fig. |
In order to shed light on the impact of the reactions NΔ → NN and πN → Δ on the pion production dynamics, the relative differences of the kinetic energy and rapidity spectra are used, that is,


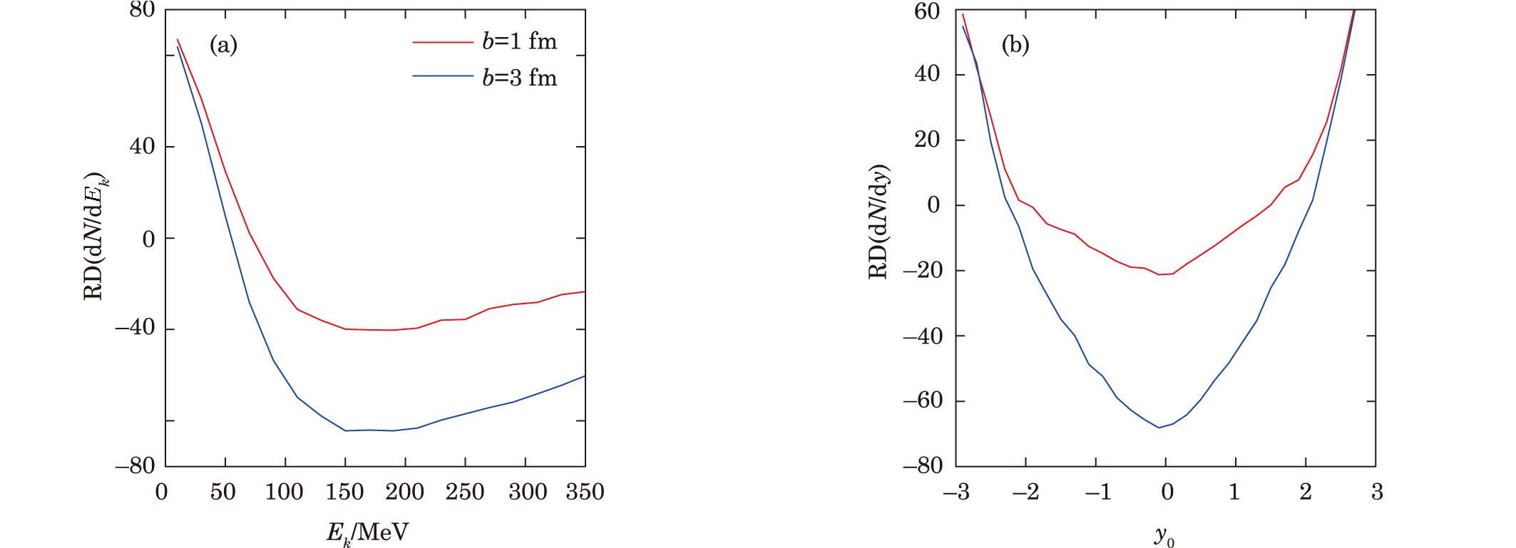
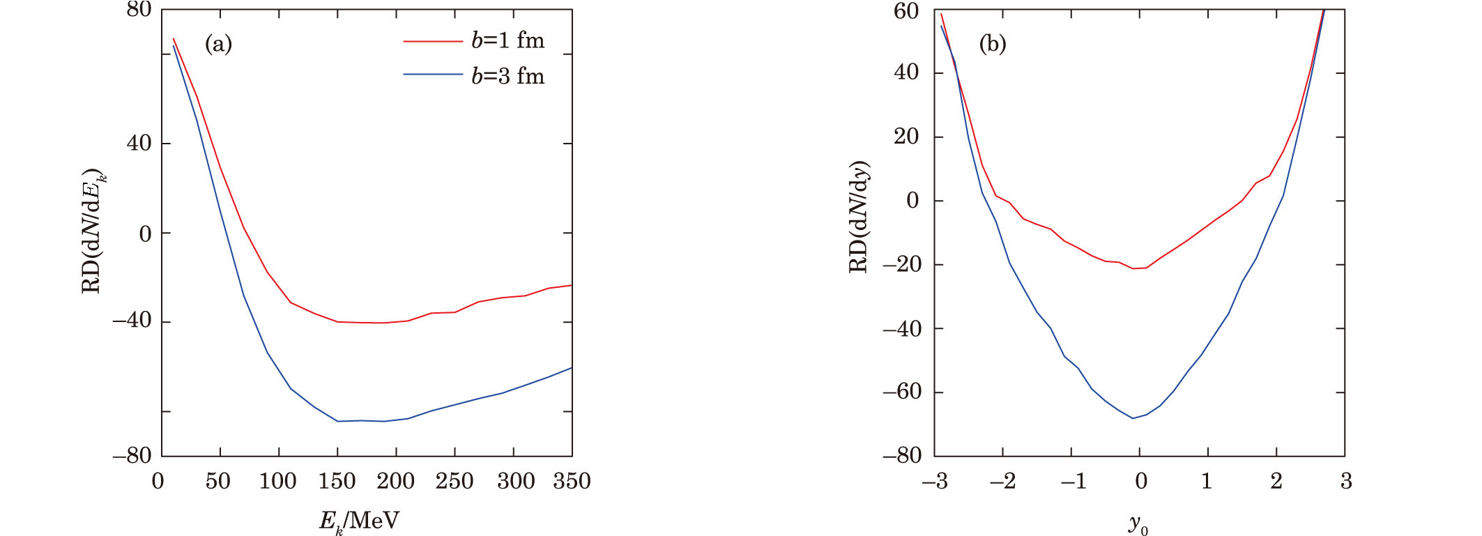
| Fig. 3 Impacts of the reaction NΔ → NN on the kinetic energy (a) and rapidity (b) spectra of π0 produced in 132Sn + 124Sn collisions at 1000 MeV/nucleon with b = (1, 3, 5, and 7) fm. |
To further explore the impacts of the reaction NΔ → NN on pion observables, in Fig.
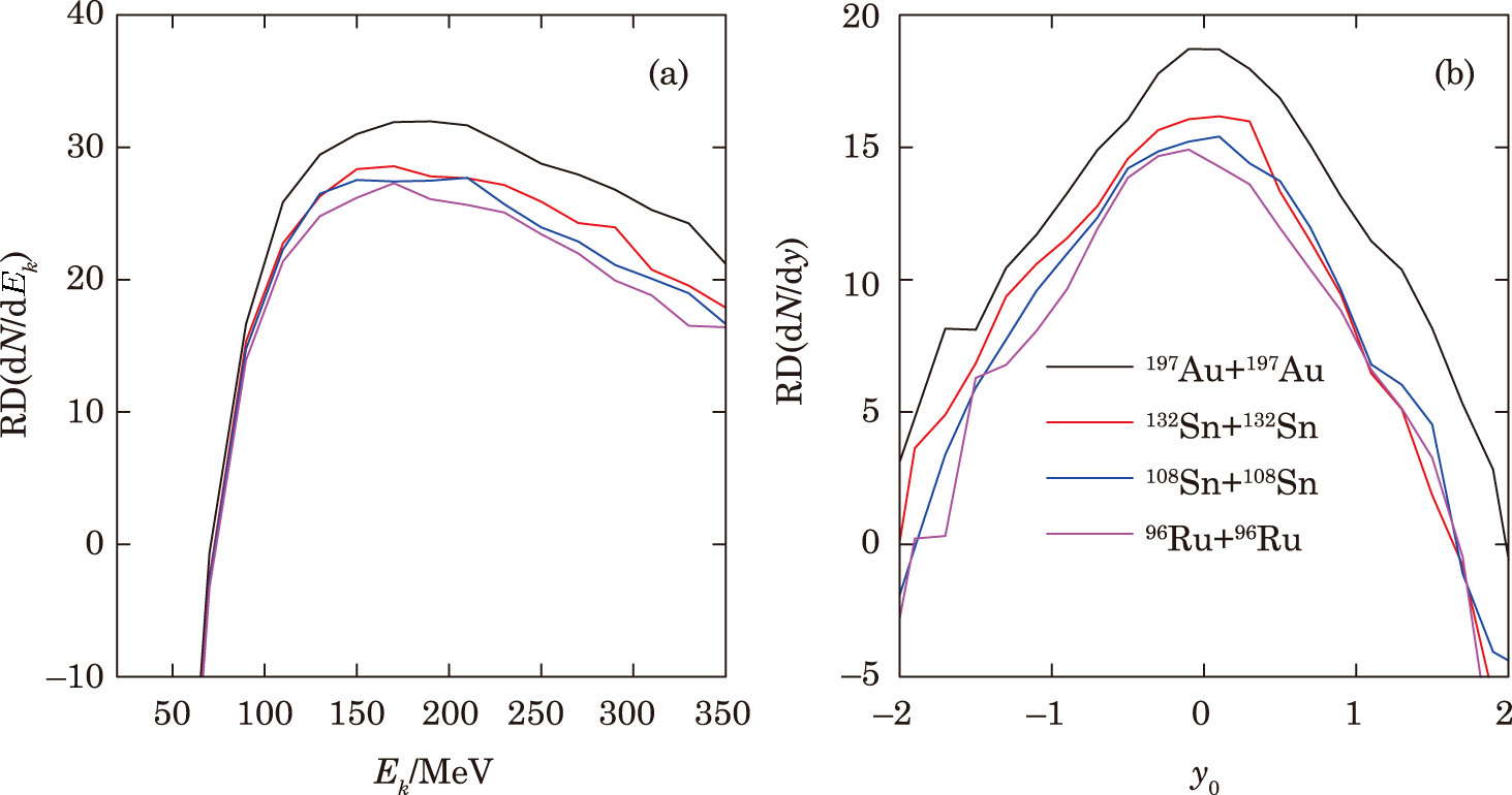
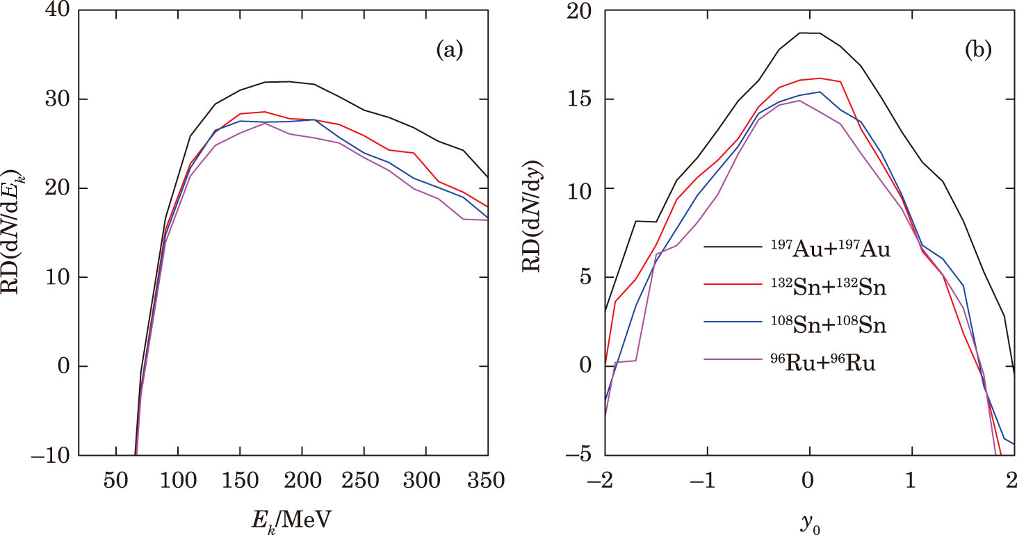
| Fig. 4 Impacts of the reaction NΔ → NN on the kinetic energy (a) and rapidity (b) spectra of π0 produced in different reaction systems as indicated. |
Shown in Fig. 
| Fig. 6 The same as in Fig. |
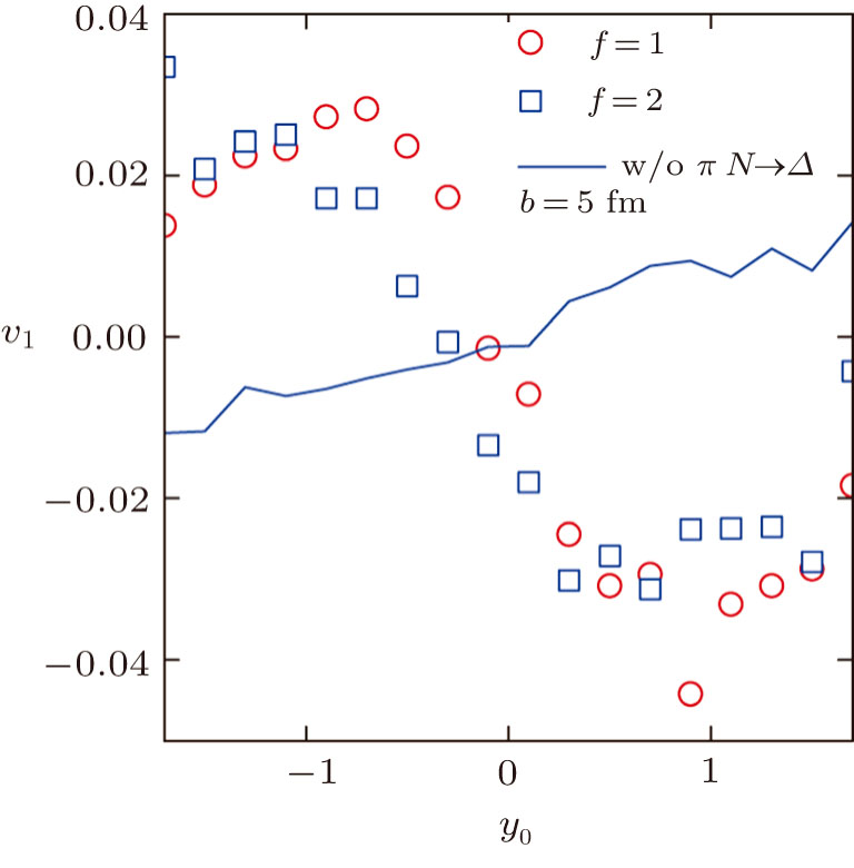
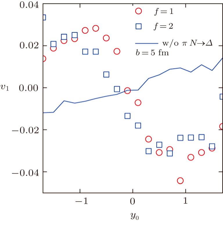
| Fig. 7 Impacts of the reaction πN → Δ on the rapidity spectra of the directed flow for π0 produced in 132Sn + 124Sn collisions at 1000 MeV/nucleon with b = 5 fm and 7 fm. |
In summary, within the IQMD-BNU model, in which the inelastic channels to generate pions are incorporated, the impacts of absorption and resorption processes on pion production are investigated through simulating heavy-ion collisions with various impact parameters. It is found that our model overestimate the experimental data on the rapidity distribution of π+ and the transverse momentum distribution of π− produced in Au+Au collisions at 400 and 1500 MeV/nucleon. Moreover, our results are identical with those from other theoretical calculations. The absorption process NΔ → NN is more important for central nucleus-nucleus collisions and heavy collision systems than for semicentral or peripheral nucleus-nucleus collisions and light systems. The resorption process πN → Δ is of lesser significance for light systems and nucleus-nucleus collisions with small impact parameters.
| 1 | |
| 2 | |
| 3 | |
| 4 | |
| 5 | |
| 6 | |
| 7 | |
| 8 | |
| 9 | |
| 10 | |
| 11 | |
| 12 | |
| 13 | |
| 14 | |
| 15 | |
| 16 | |
| 17 | |
| 18 | |
| 19 | |
| 20 | |
| 21 | |
| 22 | |
| 23 | |
| 24 | |
| 25 | |
| 26 | |
| 27 | |
| 28 | |
| 29 | |
| 30 | |
| 31 | |
| 32 | |
| 33 | |
| 34 | |
| 35 | |
| 36 | |
| 37 | |
| 38 | |
| 39 | |
| 40 | |
| 41 | |
| 42 | |
| 43 | |
| 44 | |
| 45 | |
| 46 | |
| 47 | |
| 48 | |
| 49 | |
| 50 | |
| 51 | |
| 52 | |
| 53 | |
| 54 | |
| 55 | |
| 56 | |
| 57 | |
| 58 | |
| 59 | |
| 60 | |
| 61 | |
| 62 |

