New Bilinear Bäcklund Transformation and Higher Order Rogue Waves with Controllable Center of a Generalized (3+1)-Dimensional Nonlinear Wave Equation
Shen Ya-Li1, 2, Yao Ruo-Xia1, †, Li Yan1
1School of Computer Science, Shaanxi Normal University, Xi’an 710119, China
2School of Mathematics and Information Technology, Yuncheng University, Yuncheng 044000, China

 

† Corresponding author. E-mail: rxyao2@hotmail.com

Supported by the National Natural Science Foundation of China (11471004,11501498), Shaanxi Key Research and Development Pro-grams (2018SF..251) and the Research Project at Yuncheng University [XK2012007]

Abstract
Abstract

In this paper, we first obtain a bilinear form with small perturbation u0 for a generalized (3+1)-dimensional nonlinear wave equation in liquid with gas bubbles. Based on that, a new bilinear Bäcklund transformation which consists of four bilinear equations and involves seven arbitrary parameters is constructed. After that, by applying a new symbolic computation method, we construct the higher order rogue waves with controllable center to the generalized (3+1)-dimensional nonlinear wave equation. The rogue waves present new structure, which contain two free parameters α and β. The dynamic properties of the higher order rogue waves are demonstrated graphically. The graphs tell that the parameters α and β can control the center of the rogue waves.

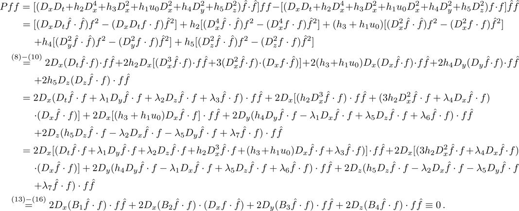
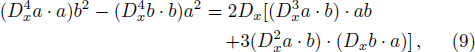
1 Introduction

It is well known that nonlinear evolution equations (NLEEs) can demonstrate many interesting nonlinear dynamic behaviors in the fields of optical fibers, atmospheric science, plasma physics, marine science etc. Searching for explicit solutions of NLEEs has always been a difficult and tedious but very important and meaningful work. So far, many kinds of powerful methods have been proposed. For instance, inverse scattering transformation (IST),[1] Painlevé analysis,[2] Hirota bilinear method,[34]Bäcklund transformations (BT),[56]Darboux transformations (DT),[7] Lie symmetry method,[89]etc.

In recent years, the study about rogue waves has attracted more and more attention in nonlinear science. It depicts a unique event that seems to appear from nowhere and disappear without a trace,[10] and may appear in a variety of different fields.[1114]In mathematical physics, rogue wave solution is a kind of interesting rational solution and is localized both in space and time. Many important results like rogue wave solutions were obtained for NLEEs.[1526]Recently, rogue wave solutions and rational solutions to some higher dimensional nonlinear systems are constructed by symbolic computation method. Inspired by the literatures,[2731]we obtain some higher order rogue waves with controllable center to a generalized (3+1)-dimensional nonlinear wave equation.

In this paper, we would like to focus on the generalized (3+1)-dimensional nonlinear wave equation in liquid containing gas bubbles
where u=u(x,y,z,t), hi (i = 1,. . .,5) arbitrary constants. Equation (1) was first proposed in Ref. [32]. By taking some appropriate parameter values for hi, we can construct a variety of nonlinear wave equations. For instance, if we choose the coefficients h1 = −6, h2 = 1, h3 = 0, h4 = h5 = 3, Eq. (1) can be changed to the (3+1)-dimensional KP equation[33]
When we set h1 = h2 = 1, h3 = 0 and h4 = h5 = 1/2, Eq. (1) can be reduced to the (3+1)-dimensional nonlinear wave equation[34]
Alternatively when we choose h1 = 6, h2 = 1, and h3 = h4 = h5 = 0, Eq. (1) can be reduced to the well-known Korteweg-de Vries equation[35]

The main purpose of this paper is to construct the bilinear BT of Eq. (1) based on a bilinear form with small perturbation u0. Our bilinear form and BT are different from that of literature.[32] Inspired by this literature,[2930]we construct the higher order rogue waves with controllable center of Eq. (1). Because our solutions contain arbitrary parameters hi (i = 1,. . .,5), the higher order rogue wave solutions of the corresponding equations can be obtained by choosing appropriate parameters. So our solutions are general. Based on that, we can get more general form solutions of (3+1)-dimensional NLEEs.

This paper is organized as follows. In Sec. 2, we give a bilinear form with small perturbation u0 for Eq. (1) by an appropriate transformation. Then we construct the bilinear BT of Eq. (1) based on that form. In Sec. 3, armed with the bilinear BT, we give the traveling wave solutions and mixed solution of Eq. (1). In Sec. 4, a new symbolic computation method for constructing higher order rogue wave solutions is presented. Meanwhile, some higher order rogue waves with controllable center to Eq. (1) are given. Finally, a brief conclusion is given in Sec. 5.

2 Bilinear BT

To begin with, we take the following transformation
where f = f(x,y,z,t). Substituting Eq. (5) into Eq. (1), we obtain the following bilinear form of Eq. (1)
where D is the well-known Hirota bilinear operator[3]

It is well known that Bäcklund transformation is a useful concept and an effective tool in the study of soliton systems. Firstly, we list the relevant bilinear identities, which can be proved directly.[3]




Here a and b are arbitrary functions of x and t.

Next we construct the bilinear Bäcklund transformation for Eq. (6). Our results are summarized as follows.

Theorem 1 Suppose that f is a solution of Eq. (6), then satisfying the following relations



is another solution of Eq. (6), where λi (i = 1,. . .,7) are arbitrary constants.

Proof We consider the following function
We now show that the above equations (13)–(16) imply P = 0. Here, we use the bilinear identities which are presented in Sec. 2.

In the above deduction, the coefficients of λi (i = 1,2,5) are zeros because of Eq. (11), and the coefficients of λi (i = 3,4,6,7) are zeros because of Eq. (12). Thus the proof of Theorem 1 is completed.□

3 Application of BT

Let us take a simple solution f = 1 to Eq. (6), which is transformed into the original variable u as . Due to , (n ≠ 1), the bilinear Bäcklund transformations (13)–(16) associated with f = 1 become a system of linear partial differential equations

3.1 Traveling Wave Solution

Consider a class of exponential wave solution
where ϵ, k, l, m, and ω are constants to be determined. Supposing λ3 = λ6 = λ7 = 0, then a direct computation tells

Thus we obtain the following exponential wave solution to Eq. (6)
where , and ϵ, h3, λi (i = 1,2,4) arbitrary constants.

So
solves Eq. (1), and parameters k, l, m, and ω satisfy Eq. (19).

Next, we consider a class of the first-order polynomial solution
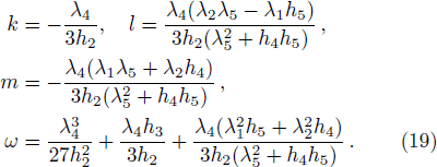
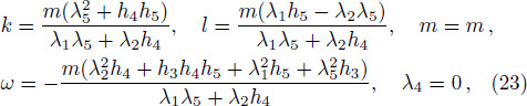
where k, l, m, and ω are constants to be determined. Similarly supposing λi = 0 (i = 3,6,7), a direct computation yields
where λ1λ5 + λ2h4 ≠ 0, m and hi (i = 3,5) are arbitrary constants.

So
is a class of rational solution to Eq. (1), and parameters k, l, m and ω satisfy Eq. (23).

3.2 Mixed Solution

Next, we consider a class of mixed solution with form
where ϵ1, ki, li, mi and ωi (i = 1,2) are constants to be determined. After direct but tedious computation, we get 31 sets of solutions. In order to guarantee the generality of Eq. (1), we remove the solutions containing hi = 0 (i = 1,. . .,5). We finally get one set of solutions listed below:
where ϵ1, l1, m1, m2, and h3 are arbitrary constants and h4h5 < 0, .

So
is a class of solution to Eq. (1), and parameters ϵ1, ki, li, mi and ωi (i = 1,2) satisfy Eq. (26).

4 Higher Order Rogue Waves
4.1 Algorithm for Rogue Waves

For a (3+1)-dimensional nonlinear system
where u = u(x,y,z,t), and N is a polynomial about u(x,y,z,t) and its various partial derivatives.

Choosing a traveling wave transformation
where k and ω are two real parameters, we transform the system (28) into the following (1+1)-dimensional nonlinear system
By an appropriate transformation
where f = f(ξ,z), the nonlinear system (30) is converted into Hirota’s bilinear form
where D-operator is defined by Eq. (7).

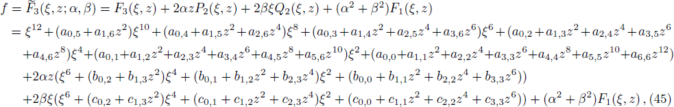
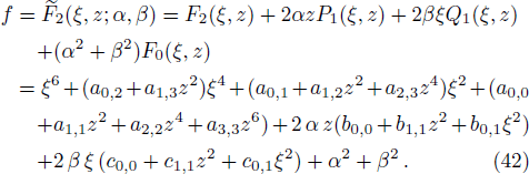
Assume f in Eq. (32) is of the form
with
where aj,m,bj, m,cj, m (j,m = 0,1,. . .,n(n + 1)/2) and α,β are real parameters. The coefficients aj, m,bj, m,cj, m can be determined, and α,β are used to control the wave center. When n = 0, we set F0 = 1, F−1 = P0 = Q0 = 0.

Substituting Eq. (33) into Eq. (32) and setting all the coefficients of the different powers of zlξk to zero, we obtain a system of polynomial equations. Solving the system leads to the values of aj, m,bj, m,cj, m (j,m = 0,1,. . .,n(n + 1)/2). Then we get the exact rational solution (31) to Eq. (1), which can be used to seek rogue wave solutions.

The method presented here are motivated by literatures,[2930]but the ranges of parameter indexes in system (34) are different from that in Ref. [30] and similar with that in the literature.[29]

4.2 Rogue Wave Solutions

Setting ξ = x + ky + ωt in Eq. (1), we get
Through the following transformation
Eq. (35) is equivalent to

According to the above approach, we derive several higher order rogue wave solutions with controllable center of Eq. (1) as follows.

Case 1 n = 0.

We take

Substituting Eq. (38) into Eq. (37) and setting all the coefficients of the different powers of zlξk to zero, we get
where a0,0 ≠ 0, and we might as well make a0,0 > 0 here.

Further, we can verify that
is a solution to Eq. (37), where a0,1, a1,1 and a0,0 satisfy Eq. (39), α and β are two real parameters. When ω+h1u0+h3+h4k2 > 0, h2 < 0 and h5 > 0, f in Eq. (40) is a positive polynomial solution of Eq. (37). Substituting Eq. (40) into Eq. (36), we get a first order rogue wave solution of Eq. (1) as follows

The rogue wave solution (41) is shown in Fig. 1 and Fig. 2. From Fig. 1 and Fig. 2, we see that this rogue wave contains two wave peaks and one wave valley. The two parameters (α,β) may control the center of the rogue wave. When ω + h1u0 + h3 + h4k2 > 0, h2 < 0 and h1 > 0, the rogue wave has the maximal amplitude u = u0 + (ω + h1u0 + h3 + h4k2)/h1 at and the minimum amplitude u = u0 − 8(ω + h1u0 + h3 + h4k2)/h1 at (α,β) in Fig. 1. And the rogue wave is concentrated around (0,0). In Fig. 2, the rogue wave is concentrated around (−5,−5).

Fig. 1 The first order rogue wave evolution graph (a) and contour plot (b) for Eq. (41) with α = β = 0, u0 = 1, h1 = 1, h2 = −1, h3 = 1, h4 = 1, h5 = 1, k = 1, ω = 1, b0, 1 = 1, c0, 1 = 1.
Fig. 2 The first order rogue wave evolution graph (a) and contour plot (b) for Eq. (41) with α = β = 500, u0 = 1, h1 = 1, h2 = −1, h3 = 1, h4 = 1, h5 = 1, k = 1, ω = 1, b0, 1 = 1, c0, 1 = 1.

Case 2 n = 1.

We take
Substituting Eq. (42) into Eq. (37) and setting all the coefficients of the different powers of zlξk to zero, we get
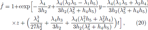
where Θ = ω + h1u0 + h3 + h4k2 ≠ 0, h1h5 ≠ 0 and b0,1, c0,1, h2 arbitrary constants. Substituting Eq. (42) and Eq. (43) into Eq. (36), we get a second order rogue wave solution of Eq. (1) as follows

If choosing some appropriate parameter values in Eq. (44), the rogue wave Eq. (44) is shown in Fig. 3 and Fig. 4. When two parameters α and β are zeros, Fig. 3 presents the second order rogue wave. From Fig. 3, we see that this rogue wave contains three wave peaks and two wave valleys which are concentrated around (0,0). When α and β are nonzeros, this rogue wave forms a set of three first order rogue waves in Fig. 4. Figure 4 shows interestingly that the centers of three first order rogue waves form a triangle. It is called “rogue wave triplet” in Ref. [36] and the “three sisters” in Ref. [37].

Fig. 3 The second order rogue wave evolution graph (a) and contour plot (b) for Eq. (44) with α = β = 0, u0 = 1, h1 = 1, h2 = −1, h3 = 1, h4 = 1, h5 = 1, k = 1, ω = 1, b0, 1 = 1, c0, 1 = 1.
Fig. 4 The second order rogue wave evolution graph (a) and contour plot (b) for Eq. (44) with α = β = 500, u0 = 1, h1 = 1, h2 = −1, h3 = 1, h4 = 1, h5 = 1, k = 1, ω = 1, b0, 1 = 1, c0, 1 = 1.

Case 3 n = 2.

We take
where
Substituting Eq. (45) into Eq. (37) and setting all the coefficients of the different powers of zlξk to zero, we get
where Θ = ω + h1u0 + h3 + h4k2 ≠ 0, h1h5 ≠ 0, and h2 an arbitrary constant. Substituting Eqs. (45) and (46) into Eq. (36), we get a third order rogue wave solution of Eq. (1) as follows
When α = β = 0, Fig. 5 presents the third order rogue wave. From Fig. 5, we see that this rogue wave contains three first order rogue waves, which are concentrated around (0,0). When α = β = 500, this rogue wave is shown in Fig. 6. When parameters α and β are sufficiently large, the third order rogue wave is composed of six first order rogue waves in Fig. 7. From Fig. 7, we see that the five first order rogue waves are located at the corners of a pentagon and the other one sits in the center.

Fig. 5 The third order rogue wave evolution graph (a) and contour plot (b) for Eq. (47) with α = β = 0, u0 = 1, h1 = 1, h2 = −1, h3 = 1, h4 = 1, h5 = 1, k = 1, ω = 1.
Fig. 6 The third order rogue wave evolution graph (a) and contour plot (b) for Eq. (47) with α = β = 500, u0 = 1, h1 = 1, h2 = -1, h3 = 1, h4 = 1, h5 = 1, k = 1, ω = 1.
Fig. 7 The third order rogue wave evolution graph (a) and contour plot (b) for Eq. (47) with α = β = 9000, u0 = 1, h1 = 1, h2 = −1, h3 = 1, h4 = 1, h5 = 1, k = 1, ω = 1.
5 Conclusion

In this paper, the generalized (3+1)-dimensional nonlinear wave equation in liquid with gas bubbles (1) is studied. Firstly, by Hirota bilinear method, we construct the bilinear Bäcklund transformation of it on the bilinear form with small perturbation u0, which consists of four bilinear equations and involves seven arbitrary parameters. Armed with the obtained bilinear Bäcklund transformation, we obtain two traveling wave solutions and a mixed solution. Then by applying a new symbol calculation method, we construct the higher order rogue waves with controllable center to Eq. (1). The dynamic properties of the higher order rogue waves are shown graphically. From the graphs, we find that the parameters α and β can control the center of the rogue waves. The obtained rogue waves have the following asymptotic behavior: limx→ ±∞ u = u0, limt→∞ u = u0, limy→ ±∞ u = u0, limz→±∞ u = u0. Remarkably, by taking some appropriate parameter values for hi (i = 1,. . .,5) in our results, we could construct a variety of higher order rogue waves with controllable center to the corresponding equation.

Reference
1 Ablowitz M. J. Clarkson P. A. Soliton, Nonlinear Evolution Equations and Inverse Scattering Cambridge University Press Cambridge 1991
2 Weiss J. Tabor M. Carnevale G. J. Math. Phys. 24 1983 522
3 Hirota R. Direct Method in Soliton Theory Cambridge University Press Cambridge 2004
4 Hietarinta J. Phys. AUC 15 part 1 2005 31
5 Hu X. B. J. Nonlinear Math. Phys. 35 1994 4739
6 Ma W. X. Appl. Math. Lett. 25 2012 1500
7 Matveev V. B. Salle M. A. Darboux Transformation and Solitons Springer-Verlag Berlin 1991
8 Olver P. J. Application of Groups to Differential Equation Graduate Texts in Mathematics 2 SpringerVerlag New York 1993
9 Yao R. X. Lou S. Y. Chin. Phys. Lett. 25 2008 1927
10 Akhmediev N. Ankiewicz A. Taki M. Phys. Lett. A 373 2009 675
11 Müller P. Garrett C. Osborne A. Oceanography 18 2005 66
12 Kharif C. Pelinovsky E. Slunyaev A. Rogue Waves in the Ocean Advances in Goephysical and Enviromental Mechnics and Mathematics Springer-Verlag Berlin 2009
13 Solli D. R. Ropers C. Koonath P. Jalali B. Nature (London) 450 2007 1045
14 Chabchoub A. Hoffmann N. P. Akhmediev N. Phys. Rev. Lett. 106 2011 204502
15 Zhang Y. Nie X. J. Zha Q. L. Chin. Phys. Lett. 31 2014 060201
16 Xu Z. H. Chen H. L. Dai Z. D. Appl. Math. Lett. 37 2014 34
17 Ma W. X. Phys. Lett. A 379 2015 1975
18 Yue Y. Huang L. Chen Y. Comput. Math. Appl. 75 2018 2538
19 Hossen M. B. Roshid H. O. Ali M. Z. Phys. Lett. A 382 2018 1268
20 Yan X. W. Tian S. F. Dong M. J. Zou L. Nonlinear Dynam. 92 2018 709
21 Li B. Q. Ma Y. L. Optik-International Journal for Light and Electron Optics 158 2018 177
22 Ma W. X. Qin Z. Y. X. Nonlinear Dynam. 84 2016 923
23 Yang J. Y. Ma W. X. Int. J. Mod. Phys. B 30 2016 1640028
24 Ma W. X. Int. J. Nonlinear Sci. 17 2016 355
25 Fokas A. S. Pelinovsky D. E. Sulem C. Physica D 152 2001 189
26 Tang Y. N. Tao S. Q. Guan Q. Comput. Math. Appl. 72 2016 2334
27 Zhaqilao Phys. Lett. A 377 2013 3021
28 Xu Z. H. Chen H. L. Dai Z. D. Appl. Math. Lett. 37 2014 34
29 Clarkson P. A. Dowie E. Rational Solutionas of the Boussinesq Equation and Applications to Rogue Waves arXiv: math-ph/1609.00503v2 2017
30 Zhaqilao Comput. Math. Appl. 75 2018 3331
31 Cui W. Y. Zhaqilao Comput. Math. Appl. 76 2018 1099
32 Tu J. M. Tian S. F. Xu M. J. et al. Nonlinear Dynam. 83 2016 1199
33 Ablowitz M. J. Segur H. J. Fluid Mech. 92 1979 691
34 Kudryashov N. A. Sinelshchikov D. I. Phys. Scripta 85 2012 025402
35 Lax P. D. Commun. Pure Appl. Math. 21 1968 467
36 Ankiewicz A. Kedziora D. J. Akhmediev N. Phys. Lett. A 375 2011 2782
37 Gaillard P. J. Phys. A 44 2011 435204