Path of Momentum Integral in the Skorniakov-Ter-Martirosian Equation
Gao Chao1, †, Zhang Peng2, 3, 4, ‡
       

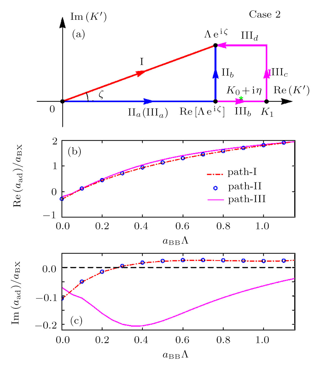
(Color online) (a) Typical integration paths for case 2; (b) and (c): Re[aad] and Im[aad] as functions of aBB, for the systems of case 2. The parameters are same as in Fig. 2. Here we show the results given by path-I (red dashed-dotted line), path-II (blue open circles), and path-III (magenta solid line).