1Department of Basical Courses, Shandong University of Science and Technology, Taian 271019, China 2Department of Mathematics, Shanghai University, Shanghai 200444, China
† Corresponding author. E-mail:
zhangningsdust@126.com
1 IntroductionIt is an important task in soliton theory to find integrable lattice system such as those connecting with well-known physical meaning equations. In past decades, lots of nonlinear integrable lattice soliton systems have been obtained and discussed successfully, e.g. the Ablowitz–Ladik lattice,[1] the Toda lattice,[2] the differential-difference KdV equation,[3] the Blaszakl–Marciniak lattice,[4–5] and so on.[6–10] It is well known, there are many systematic approaches to obtain explicit solutions of lattice soliton systems, such as the inverse scattering transformation,[11] the Hirota technique,[12] the algebra-geometric method,[13] the Darboux transformation,[14–15] etc. Among them, it has been proved that Darboux transformation is one of the most fruitful algorithmic procedures to get explicit solutions of nonlinear partial differential equations from a trivial seed.[16–22]
In this paper, we consider a discrete spectral problem

where

,

are potentials, and
λ is the spectral parameter and

. For a lattice function

, the shift operator
E, the inverse of
E and difference operator
D are defined as follows


If let

,

, then the spctral problem (
1) can be changed into the spectral problem

which was considered by Ding
et al., where only a positive discrete hierarchy and 1-fold Darboux transformation were obtained.
[23] So in this paper, we would like to further consider a negative discrete hierarchy and its properties associated with spectral problem (
1).
The organization of this paper is as follows. In Sec. 2, we first establish a negative discrete hierarchy related to the spectral problem (1). In Sec. 3, it is shown that the hierarchy is integrable in Liouville sense and possesses bi-Hamiltonian structure. In Sec. 4, an N-fold Darboux transformation for negative discrete hierarchy is established with the help of gauge transformations of Lax pair. As an application, some exact solutions for a discrete equation in the negative hierarchy are given in Sec. 5.
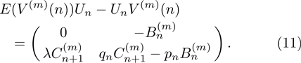
2 A New Negative Discrete HierarchyIn order to get the discrete integrable system, we first proceed to solve the stationary discrete zero curvature equation

where

From Eq. (
5), it is easy to obtain the following recursion relations

Substituting

into Eq. (
6) and comparing each power of
λ yields

If we choose the initial values as

then

,

,

(

) are determined from the recursion relations (
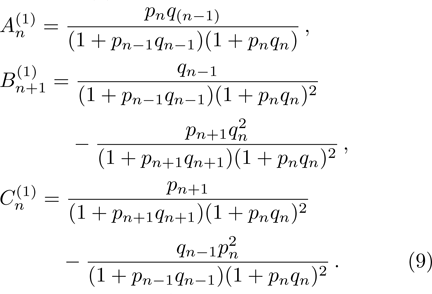
7). In particular, the first set is

For any integer

, we choose

Direct calculation shows that

Consider auxiliary spectral problem

then compatibility condition between Eqs. (
1) and (
12) gives zero curvature equation

which is equivalent to integrable discrete hierarchy

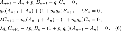
We can give the first two discrete integrable systems in the hierarchy:
When m = 0, the hierarchy (13) gives

When m = 1, the hierarchy (13) gives

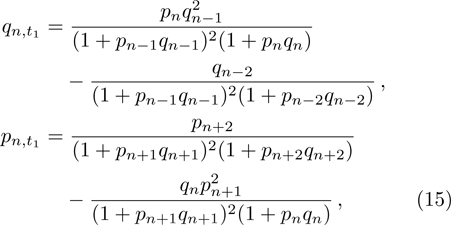
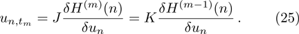
Eq. (
14) is a new negative discrete system, whose time part of the Lax pairs is

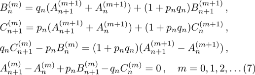
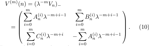
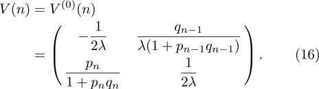
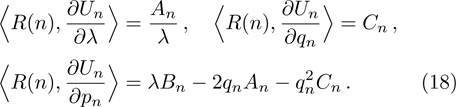
3 Bi-Hamiltonian Structures of the HierarchyDefine

where

By implying the discrete trace identity

we have

with
ε to be determined later. Substituting expressions

into Eq. (
20) and comparing the coefficient of

, we obtain

Taking
m = 1 in Eq. (
21), a direct calculation shows that
ε = 0, so we get

The hierarchy (
13) can be re-written in the form

where

where

It is easy to verify that
J and
K are all skew-symmetric operators, i.e.

,

. Then substituting Eq. (
22) into Eq. (
23) gives the bi-Hamitonian structure for the hierarchy (
13)

We can further prove the following theorem:
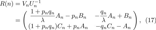
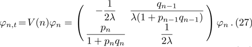
4
-Fold Darboux TransformationAs an illustrative example, we construct the N-fold Darboux transformation for the system (14) based on its Lax pair


In fact, the Darboux transformation of the system (14) is a special gauge transformation of Lax pair (26) and (27). Consider the following gauge transformation

where
Tn is a Darboux matrix. The eigenfunction

should satisfy the following new Lax pair (
26) and (
27) with
Un and

replaced by

and

respectively

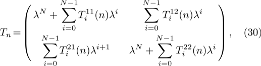
We can construct the Darboux matrix Tn as follows

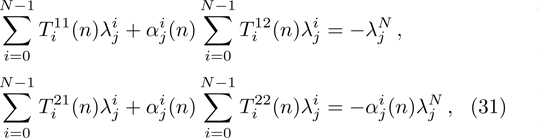
where

,

,

,

are given by a linear algebraic system


where

are two basic solutions of Lax pair (
26) and (
27), and

are

parameters suitably chosen so that the determinant of the coefficients of the system (
31) is nonzero. According to Eqs. (
30)–(
32), we can show that

is a (2
N)-th order polynomial of
λ

By using above fact, we can prove the following proposition.
By using above facts, we can obtain the following theorem:
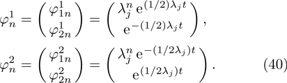
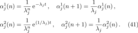
5 The Exact SolutionsIn this section, we will give some exact solutions of system (14) via Darboux transformation (39). Taking the trivial solution
,
, we obtain two kinds of exact solutions of the Lax pair (26) and (27) with
as follow

According to Eqs. (
32) and (
36), we have

By use of Cramer’s rule, the linear algebraic system (
41) leads to

with

Next, we give some exact solutions of the system (14) via Darboux transformation (39) for two cases when N = 1 and N = 2 respectively.