Exact Interaction Solutions of an Extended (2+1)-Dimensional Shallow Water Wave Equation
1 IntroductionThe investigation in finding the exact solutions of nonlinear evolution equations (NLEEs) is important for the understanding of nonlinear phenomena in various fields of science, especially in physics. For example, the nonlinear wave phenomena observed in fluid dynamics, plasma, and optical fibers are often modelled by the bell-shaped sech solutions and the kink-shaped tanh solutions.[1] Up to now, many powerful and systematic methods have been developed to construct explicit solitary wave solutions for the NLEEs, such as the Darboux transformation (DT),[2–3] the Bäcklund transformation (BT),[4] and the function expansion method.[5] Recently, inspired from the nice results via nonlocal symmetry method,[6–7] Lou proposed the consistent Riccati expansion (CRE) method,[8] which is a lucid and systematic method to construct interaction solutions between different types of nonlinear excitations. Many interaction solutions for NLEEs, for instance, the Boussinesq–Burgers equation,[9] Boiti–Leon–Pempinelli equation,[10] modified KP equation,[11] Sharma–Tasso–Olver equation,[12] breaking soliton equation,[13] Bogoyavlenskii coupled KdV system,[14] higher-order Broer–Kaup system,[15] KdV-mKdV equation,[16] modified Bogoyavlenskii–Schiff equation,[17] coupled mKdV–BLMP system,[18] are discussed in detail.
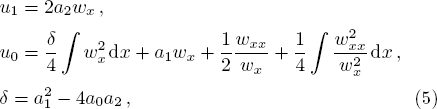
In this paper, we focus on the following extended (2+1)-dimensional shallow water wave equation

which can be rewritten as
[19]

through transformation
v =
ux. When
α = 0, Eq. (
2) can be reduced to the breaking soliton equation.
[20–23] With the help of the Hereman’s simplified method, Ref. [
19] derived the multiple-soliton solutions of Eq. (
2). In Ref. [
24], the bilinear form,
N-soliton solutions, Lax pair, bilinear BT, Darboux covariant Lax pair, and infinite conservation laws of Eq. (
2) are presented by means of the binary Bell polynomial and Hirota bilinear method. To our knowledge, the soliton-cnoidal wave solutions, solitoff-typed solutions, nonlocal symmetry, and consistent Riccati solvability for Eq. (
2) have not been reported.
The purpose of this work is to employ the truncated Painlevé expansion, consistent Riccati expansion (CRE) and symbolic computation to study the nonlocal symmetry, BT, consistent Riccati solvability and interaction solutions for Eq. (2). In Sec. 2, the CRE method is used to prove the CRE solvability of Eq. (2). In Sec. 3, we will give some interaction solutions of Eq. (2), including soliton-cnoidal wave interaction solutions and solitoff-typed solutions. In Sec. 4, the nonlocal symmetry related to truncated Painlevé expansion is studied. Section 5 will be our conclusions.
2 Consistent Riccati SolvabilityAs is well-known, investigation of integrability for NLEEs can be regarded as a pre-test and first step of its exact solvability. Among the methods employed to study the integrability of NLEEs, the Painlevé analysis not only can be used to verify the integrability, but also can be used to find exact solutions and other significant properties such as Lax pair and BT.[25–26] Recently, Lou defined the consistent Riccati solvability for NLEEs if it has a consistent Riccati expansion.[8] It has been shown that many more integrable systems are CRE solvable which indicates that the CRE solvable systems are integrable.[8–18]
In the following, we will apply the CRE to Eq. (2), and prove it is consistent Riccati solvable.
For Eq. (2), we give the possible CRE solution in the form of

where
u0,
u1,
w are related to {
t,
x,
y}, and function
R(
w) needs to satisfy the following Riccati equation

with
Rw indicates d
R/d
w, and
ai (
i = 0, 1, 2) are arbitrary constants.
By substituting the expansion (3) with Eq. (4) into Eq. (2) and vanishing different powers of R yields

and the function
w only needs to satisfy

where

are usual Schwartzian variables.
It is clear that if w is a solution of Eq. (6), then expression (3) is also a solution of Eq. (2). Hereby, we have the CRE solvable theorem for Eq. (2):
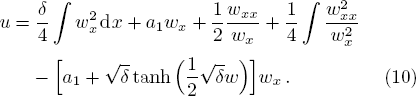
It is easy to see that the expression (8) can also be regarded as the BT of Eq. (2). As is well-known, the Riccati equation (4) has the following tanh function solution

therefore, from the CRE solution (
8), we can give the interaction solutions for Eq. (
2) in the form as

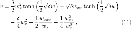
Meanwhile, the solution of Eq. (
1) can be also given as

via the transformation
v =
ux. In the following section, starting from the expression (
11) and
w satisfies Eq. (
6), we will study some interesting interaction solutions for Eq. (
1).
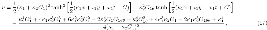
3 Exact Interaction SolutionsIt is obvious that once the solutions of w satisfies Eq. (6) are obtained, then we can get the interaction solutions of Eq. (1). Here are some interesting examples.
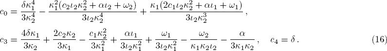
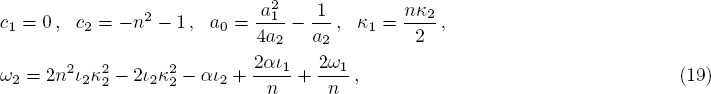
Substituting Eq. (14) with Eq. (15) into the w Eq. (6), we can obtain

Then Eq. (
1) has the following explicit solutions

with the relations (
15) and (
16).
It is well known that the explicit solutions of Eq. (15) can be expressed by Jacobi elliptic functions, here, we just take a simple solution of Eq. (15) as

where sn(
θ,
n) is the usual Jacobi elliptic sine function. Substituting expression (
18) with Eq. (
16) into Eq. (
15) and vanishing all the different powers of sn, cn, and dn, we have

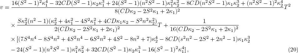
which leads Eq. (
17) to the following soliton-cnoidal wave interaction solutions by choosing
a0 = 0,
a1 =
a2 = 1, saying

where

and
ω2,
κ1 satisfy Eq. (
19).
From Fig. 1, we can find that a single soliton moving on a cnoidal wave background instead of on the plane continuous wave background. This kind of interactions can be used to display many interesting physical phenomena, such as the Fermionic quantum plasma.[27]
4 Nonlocal Symmetry Related to Truncated Painlevé ExpansionOne knows that the symmetry method[30–31] is very effective for constructing explicit solutions of NLEEs. In Refs. [6–7], the nonlocal symmetries related to the BT and DT are used successfully to construct the interaction solutions among different types of nonlinear excitation, such as the soliton-cnoidal wave solutions. Recently, it is found that the Painlevé analysis can be also used to find nonlocal symmetries of NLEEs.[32–33] In this section, with the help of the truncated Painlevé expansion method, we will first give a non-auto BT of Eq. (2), then write down the nonlocal symmetry related to the BT, and localize the nonlocal symmetry by introducing an enlarged system.
According to the Painlevé analysis,[25] one can know that Eq. (2) exists the following truncated Painlevé expansion

with
u0,
u1,
f being the functions of (
x,
y,
t).
Substituting Eq. (25) into Eq. (2), and vanishing all the coefficients of different powers of 1/f, we have

and the function
f satisfies

Here,
,
,
are the Schwarzian variables shown in Eq. (7), which function w replaced with function f. It is known that the Schwarzian variables keep the Möbius invariance property

which means that variable
f possesses the point symmetry as

where
k0,
k1,
k2 being constants.
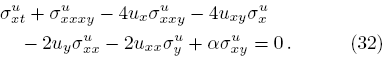
From the Theorem 2, on the one hand, one can construct various exact solutions of Eq. (2), on the other hand, one can also obtain the nonlocal symmetry. As is known, under the invariant property

one knows that the symmetry equation for Eq. (
2) reads

It can be verified that Eq. (
2) possesses a residual symmetry
[32]

with
u and
f satisfy Eqs.(
27) and (
30), respectively.
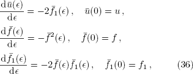
By solving f from Eq. (30), one knows that the residual symmetry (33) of u is nonlocal, therefore, Eq. (33) is a nonlocal symmetry of Eq. (2). To find out the symmetry group of the nonlocal symmetry (33), we need to extend the original system such that nonlocal symmetry becomes the local Lie point symmetries of an enlarged system. Therefore, we introduce a new dependent variable f1 satisfies

Now one can easily verify that the nonlocal symmetry (
33) of the original system (
2) becomes Lie point symmetries of the enlarged system including Eqs. (
2), (
30), and (
34), namely

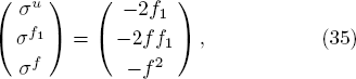
with
σf = −
f2 is obtained by choosing
k0 =
k1 = 0,
k2 = −1 in Eq. (
29).
Based on the Lie’s first theorem, the corresponding initial value problem of Eq. (35) reads

with arbitrary group parameter
ϵ.
By solving the initial value problem (36), we have the following finite transformation theorem:
Theorem 3 provides a way to obtain new solution of Eq. (2) from the old ones.
5 ConclusionsIn this paper, we investigate the extended (2+1)-dimensional shallow water wave equation by means of CRE, truncated Painlevé expansion and symbolic computation. On the one hand, by using the CRE method, Eq. (2) is proved CRE solvable. It is interesting that the CRE solvable can be regarded as the pre-test for finding the exact interaction solutions of NLEEs. And on this basis we obtain the soliton-cnoidal wave interaction solutions (20) and solitoff-typed solutions (23) for Eq. (1). On the other hand, with the help of truncated Painlevé expansion (25) of Eq. (2), a non-auto BT (30) is obtained, and from which, we present the nonlocal symmetry (33) of Eq. (2). Furthermore, the nonlocal symmetry (33) is localized by prolonging the original system (2) to the enlarged system (2), (30), and (34). The finite transformation (37) of the nonlocal system are also obtained by solving the standard Lie’s initial value problem (36).
It has been shown that Eq. (2) is CRE solvable and possesses nonlocal symmetry (33), therefore, some other interesting problems such as the nonlocal symmetry reduction, rational solutions, and so on[34–35] are worthy of further study, which will be discussed in our future work.