† Corresponding author. E-mail:
A self-similar flow behind a cylindrical shock wave is studied under the action of monochromatic radiation in a rotational axisymmetric dusty gas. The dusty gas is taken to be a mixture of small solid particles and perfect gas, and solid particles are continuously distributed in the mixture. The similarity solutions are obtained and the effects of the variation of the radiation parameter, the ratio of the density of solid particles to the initial density of the gas, the mass concentration of solid particles in the mixture and the index for the time dependent energy law are investigated. It is observed that an increase in the radiation parameter has decaying effect on the shock waves; whereas the shock strength increases with an increase in the ratio of the density of solid particles to the initial density of the gas or the index for the time dependent energy law. Also, it is found that an increase in the radiation parameter has effect to decrease the flow variables except the density and the azimuthal component of fluid velocity. A comparison is also made between rotating and non-rotating cases.
The study of shock waves in the mixture of a gas and small solid particles is of great importance due to its applications to nozzle flows, lunar ash flows, bomb blasts, coal-mine blasts, underground, volcanic and cosmic explosions, metallized propellant rockets, supersonic flight in polluted air, collision of coma with a planet, description of star formation, particle acceleration in shocks, shocks in supernova explosions, the formation of dusty crystals and many other engineering problems (see Refs. [1]–[12]). An analytical solution of a planar dusty gas flow with constant velocities of the shock and the piston moving behind it was obtained by Miura and Glass.[9] Since the volume occupied by the solid particles mixed into the perfect gas is neglected by them, the dust virtually has a mass fraction but no volume fraction. Their results reflect the influence of the additional inertia of the dust upon the shock propagation. Pai et al.[1] generalized the well known solution of a strong explosion because of an instantaneous release of energy in gas (Sedov,[13] Korobeinikov[14]) to the case of two-phase flow of a mixture of small solid particles and perfect gas, and brought out the key effects due to presence of dusty particles on such a strong shock wave. Pai et al.[1] have taken non-zero volume fraction of solid particles in the mixture, their results reflect the influence of both the decrease of mixture compressibility and the increase of mixture’s inertia on the shock propagation (see, Pai,[15] Steiner and Hirschler,[16] Vishwakarma and Nath[17]).
In recent years considerable attention has been given to study the interaction between gas dynamics and radiation. When the effects of radiation are taken under consideration in gas dynamics the fundamental non-linear equations are very complicated type and thus it is essential to determine approximations which are physically accurate and afford considerable simplifications. The problems of the interaction of radiation with gas dynamics have been studied by many authors by using the self-similar method developed by Sedov,[13] (see Marshak,[18] Elliott,[19] Wang,[20] Helliwell,[21] Nicastro,[22] Ray and Bhowmick[23] and many others). Many researchers have investigated the motion of a gas under the action of monochromatic radiation (see, Khudyakov,[24] Zheltukhin,[25] Nath and Takhar,[26] Nath,[27] Vishwakarma and Pandey,[28] Nath and Sahu[29]).
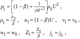
The experimental studies and astrophysical observations show that the outer atmosphere of the planets rotates due to rotation of the planets. Macroscopic motion with supersonic speed occurs in an interplanetary atmosphere and shock waves are generated. Thus the rotation of planets or stars significantly affects the process taking place in their outer layers, therefore question connected with the explosions in rotating gas atmospheres are of definite astrophysical interest. In all of the works, mentioned above, the gas is either perfect or non-ideal under the action of monochromatic radiation. The effects of the presence of small solid particles in rotating medium are not taken into consideration by any of the authors under the action of monochromatic radiation. In the present work, we generalize the solution of Nath[27] in perfect gas to the case of dusty gas (a mixture of perfect gas and small solid particles) by taking into account the axial component of fluid velocity and the component of the vorticity vector. Singh[30] has considered same problem with the assumption that medium to be non-rotating, whereas we have considered the medium to be rotating.
The purpose of this study is to obtain similarity solutions for the cylindrical shock wave propagating in rotational axisymmetric dusty gas with monochromatic radiation (Nath,[31–33] Levin and Skopina[34]). The components of fluid velocity in the ambient medium are assumed to vary and obey the power laws. Also, the angular velocity of rotation of the ambient medium is assumed to be obeying a power law and to be decreasing as the distance from the axis increases. It is expected that such an angular velocity may occur in the atmospheres of rotating planets and stars. In order to get some essential features of the shock propagation, small solid particles are considered as a pseudo-fluid and the mixture at a velocity and temperature equilibrium with a constant ratio of specific heats (Pai[15]). Also, the heat conduction and viscous stress of the mixture are assumed to be negligible (Refs. [1–2, 16–17]).
Effects of change in the index for the time dependent energy law, the ratio of the density of solid particles to the initial density of the gas, the mass concentration of solid particles in the mixture and the radiation parameter are worked out in detail. It is observed that shock strength decreases in rotating medium.
In Eulerian coordinates, the system of equations of gas dynamics describing the unsteady, adiabatic and cylindrically symmetric one-dimensional rotational axisymmetric flow of mixture of a perfect gas and small solid particles under the action of monochromatic radiation, may be expressed in the form (c.f. Pai et al.,[1] Vishwakarma and Nath,[17] Khudyakov,[24] Nath,[27] Nath,[31–33] Levin and Skopina,[34] Zedan[35])







The equation of state of the mixture of a perfect gas and small solid particles can be written as (Vishwakarma and Nath,[17] Nath,[36–37] Pai,[15] Singh[30])



The specific volume of solid particles is assumed to remain unchanged by variations in temperature and pressure. Therefore, the equation of state of solid particles in the mixture is, simply,

The internal energy per unit mass of the mixture can be written as (see Nath,[37] Pai,[15] Pai et al.[1])





Also,



The absorption coefficient K is considered to vary as (Nath,[27] Nath and Takhar,[26] Khudyakov[24])

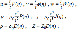
A diverging cylindrical shock wave is supposed to be propagating outwards from the axis of symmetry into the mixture of perfect gas and small solid particles with constant density, which has zero radial velocity, variable azimuthal, and axial velocities. The flow variables immediately ahead of the shock front are




The momentum equation (

Ahead of the shock, the components of the vorticity vector, therefore vary as



The initial angular velocity of the medium at radial distance R is given by, from Eq. (

From Eqs. (

The expression for the initial volume fraction of the solid particles Z0 is given by


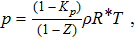
The Rankine–Hugonite conditions i.e. the jump conditions at the shock wave, which are transparent for the radiation flux, are given by the principle of conservation of mass, momentum and energy across the shock (c.f. Nath,[27] Vishwakarma and Pandey,[28] Nath,[31,33] Zel’dovich and Raizer,[38] Chaturani[39]) namely,







The total energy “E” of the flow field behind the shock is not constant, but assumed to be time dependent and varying as (Rogers,[41] Director and Dabora[40])

Following Levin and Skopina[34] and Nath,[31–32] we obtained the jump conditions for the components of vorticity vector across the shock front as

The dimension of the constant coefficient K0 in Eq. (

For the self-similar solution (Sedov[13]) the relation between ρ0, j0, p0 is given as

Also, for self-similarity the radiation absorption coefficient K0 must be dependent on the dimensions of j0, ρ0, which is equivalent to 
By the dimensional analysis of Sedov,[13] the non-dimensional variable η is defined by




From relation (32), it follows that the motion of the shock front is described by the equation

From relation (33) it can be seen that the value 
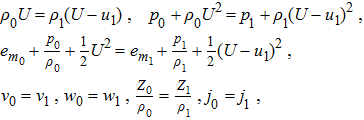
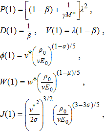
To obtain the similarity solutions, the field variables describing the flow pattern can be written in terms of the dimensionless functions of η such that (Nath,[27] Nath and Takhar,[26] Vishwakarma and Pandey,[28] Nath[31])

For the existence of similarity solutions “M*” should be constant, therefore

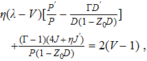
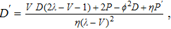
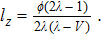
Using the similarity transformations (34), the system of governing Eqs. (







Also, 
Solving the above set of differential equations (







Applying the similarity transformations (34) on Eqs. (





Using the self-similarity transformations (34), the shock conditions (26) are transformed into


At the inner boundary surface (piston) of the flow-filed behind the shock, the condition is that the velocity of the surface is equal to the normal velocity of the fluid on the surface. This kinematic condition from Eq. (


The set of ordinary differential equations (



















Table 

















| Table 1
The density ratio β across the shock and the position of the inner boundary surface ηp for different values of Kp, G0 and m with |
| Table 2
The density ratio β across the shock and the position of the inner boundary surface ηp for different values of Kp and ξ with |
Figures
From Tables To decrease the value of β i.e. to increase the shock strength; whereas the value of β increases i.e. the shock strength decreases for To decrease ηp when To increase the flow variable u/u1 at any point in the flow-field behind the shock front (see Figs. To increase the flow variables v/v1, ρ/ρ1, and p/p1 when





From Table To decrease the value of β i.e. to increase the shock strength (see Table To decrease distance of the inner boundary surface from the shock front, i.e. the flow-field behind the shock becomes denser. This illustrates same result as given in (i) above, i.e. to increase the shock strength (see Table To decrease the flow variables u/u1,v/v1, p/p1, and ρ/ρ1; but to increase the flow variablesw/w1, lθ, lz, and j/j1 at any point in the flow-field behind the shock front (see Figs.
The effects of an increase in the value of index for the time dependent energy law parameter m are as follows: To increase ηp, i.e. distance between the inner boundary surface from and shock front decreases. This means that shock strength increases (see Table To increase the flow variables p/p1, u/u1, lθ, lz and j/j1; but to decrease the flow variable v/v1, at any point in the flow-field behind the shock front (see Figs. To increase the flow variable ρ/ρ1 near the shock but to decrease it near the inner boundary surface; whereas reverse behaviour is obtained for the flow variablew/w1 in the flow-field behind the shock front (see Figs.
From Table To decrease the value of ηp i.e. to decrease shock strength (see Table to decrease the flow variables u/u1, w/w1, p/p1,j/j1, lθ, lz; but to increase the flow variables v/v1, ρ/ρ1 at any point in the flow-field behind the shock front (see Figs.
The present work investigates the self-similar flow behind a cylindrical shock wave propagating in a rotational axisymmetric dusty gas (a mixture of perfect gas and small solid particles) under the action of monochromatic radiation. On the basis of this work, one may draw the following conclusions: The shock strength decreases as well as distance between shock front and inner boundary surface increases when radiation parameter ξ increases; however reverse behaviour is observed when m and G0 increase. Mass concentration of solid particles in the mixture Kp has same effect on shock strength as ξ when The distance of the inner boundary surface from the shock front is less in the case of non-rotating medium in comparison with that in the case of rotating medium. Physically, it means that the gas behind the shock is less compressed in rotating medium i.e. the shock strength is decrease in rotating medium. An increase in the radiation parameter ξ decreases the flow variables u/u1, w/w1, p/p1, j/j1, lθ, lz; whereas reverse behaviour is observed in the case of the flow variables v/v1, ρ/ρ1. An increase in the parameters ξ and m has opposite behaviour on the flow variables u/u1, v/v1, p/p1, j/j1, lθ and lz. An increase in the parameters ξ and Kp has same behaviour on the flow variables p/p1 when An increase in parameters ξ and G0 has opposite behaviour on the flow variables v/v1, w/w1, ρ/ρ1, j/j1, lθ, and lz; however same behaviour is obtained for the flow variables u/u1 and p/p1.



The article concerns with the explosion problem in rotating medium, however the methodology and analysis presented here may be used to describe many other physical systems involving non-linear hyperbolic partial differential equations. The examples we have given make clear the nature of shock waves in rotating dusty gas under the action of monochromatic radiation. However, they serve mainly as illustrations of how the shock waves in dusty medium can be described. In reality, many other processes can be important and a more comprehensive analysis of the shock can be important for applications in astrophysics. The shock waves in a rotational axisymmetric dusty gas with monochromatic radiation and increasing energy can be important for description of shocks in supernova explosions and in the study of star burst galaxies, nuclear explosion, rupture of a pressurized vessel and explosion in the ionosphere etc. Other potential applications of this study include analysis of data from exploding wire experiments in dusty medium, and cylindrically symmetric hypersonic flow problems associated with meteors or reentry vehicles (c.f. Hutchens,[44] Nath[37]). Also, the present study can be important for the description of the following:
The layer of dust behind the supernova shock is observed usually. The problem is to verify whether the layer of dust is related to the process of dust condensation behind the shock wave front.
The present self-similar model may be used to describe some of the overall features of a“driven” shock wave produced by a flare energy release E (c.f. Eq. (
| [1] | |
| [2] | |
| [3] | |
| [4] | |
| [5] | |
| [6] | |
| [7] | |
| [8] | |
| [9] | |
| [10] | |
| [11] | |
| [12] | |
| [13] | |
| [14] | |
| [15] | |
| [16] | |
| [17] | |
| [18] | |
| [19] | |
| [20] | |
| [21] | |
| [22] | |
| [23] | |
| [24] | |
| [25] | |
| [26] | |
| [27] | |
| [28] | |
| [29] | |
| [30] | |
| [31] | |
| [32] | |
| [33] | |
| [34] | |
| [35] | |
| [36] | |
| [37] | |
| [38] | |
| [39] | |
| [40] | |
| [41] | |
| [42] | |
| [43] | |
| [44] |



























