扩展功能
文章信息
- 李成成, 周世新, 李靖, 杨亚南, 付德亮, 马瑜, 李源遽
- LI ChengCheng, ZHOU ShiXin, LI Jing, YANG YaNan, FU DeLiang, MA Yu, LI YuanJu
- 鄂尔多斯盆地南部延长组泥页岩孔隙特征及其控制因素
- Pore Characteristics and Controlling Factors of the Yanchang Formation Mudstone and Shale in the South of Ordos Basin
- 沉积学报, 2016, 35(2): 315-329
- ACTA SEDIMENTOLOGICA SINCA, 2016, 35(2): 315-329
- 10.14027/j.cnki.cjxb.2017.02.010
-
文章历史
- 收稿日期:2016-10-13
- 收修改稿日期: 2016-12-05
2. 中国科学院大学, 北京 100049
2. University of Chinese Academy of Sciences, Beijing 100049, China
随着非常规油气勘探和开发的深入进行,泥页岩的孔隙发育特征成为了非常规油气研究的重要内容。国内外学者采用氩离子抛光结合扫描电镜对样品的微观孔隙进行研究[1-6],发现了页岩中微纳米级无机孔、有机孔及微裂缝的存在,在微观尺度下直观地描述了泥页岩的储层孔隙形态及分布特征。同时,利用高压压汞法、低温氮气吸附、低温二氧化碳吸附、等温吸附实验等对泥页岩的孔隙结构及孔径分布特征进行研究[7-11]。
伴随着干酪根的成熟生烃,会生成大量的微纳米孔隙,而生成的油气就以吸附、游离等形式储存于这些微纳米孔隙中,因此孔隙的发育对于储层的潜在生排烃能力具有重要的影响。北美页岩和我国四川盆地志留系龙马溪组页岩的纳米孔隙发育状况与有机质成熟度、有机质丰度、有机质类型、页岩的矿物组成等有关[4, 12-14]。研究表明,泥页岩的孔隙度、孔隙体积、孔径分布、不同孔径大小的孔隙分布比例都随成熟度改变而演化,但有机孔随成熟度的演化并没有呈现单一增加或减少的趋势[11-12]。北美页岩主力产气区Ro值为1.1%~3.5%,处于有利成气热成熟阶段。页岩微孔体积在早成熟阶段达到最大值,而中孔体积由于压实作用而减少。随着页岩成熟度增加,由于油气和固体沥青的充填,孔隙度和孔隙体积降低。成熟度继续增加,由于油气二次裂解,孔隙度和孔隙体积都有所增加,中孔和大孔体积比例增加[12, 15]。龙马溪组页岩是四川盆地发育较好的海相页岩,成熟度Ro值为1.5%~3%,孔隙类型以有机质孔和黏土矿物粒间孔为主,微孔发育,孔隙形态主要为开放型圆筒状孔或狭缝状孔[4, 13-15]。中国发育大量的陆相富有机质泥页岩,以鄂尔多斯盆地三叠系延长组泥页岩为代表。前人对鄂尔多斯盆地甘泉地区柳坪171井延长组页岩样品研究表明:Ro值在1.20%~1.42%,有机碳含量是控制纳米级孔隙体积及其比表面积的主要内因[6]。在有机质演化成熟度Ro值小于1.2%时,页岩有机质中的纳米孔隙基本不发育,并且形成的可溶有机质会堵塞孔隙,从而降低孔隙度[16]。与四川盆地龙马溪组页岩纳米孔隙特征对比,鄂尔多斯盆地延长组页岩有机质Ro值一般介于0.5%~1.2%,微孔相对不发育,中孔和大孔相对较发育,主要孔隙类型为原生黏土矿物粒间孔和次生溶蚀孔,孔隙形态主要为锥状孔或楔状V型孔[17-18]。此外,页岩中残留烃也会影响孔隙的发育状况[16, 19-21]。对鄂尔多斯盆地延长组的研究表明,当Ro<1.2%时,有机质孔隙不能大量形成,液态烃却大量产生,占据了页岩中的微纳米孔隙。
目前,对陆相富有机质泥页岩的研究越来越多,特别是对鄂尔多斯盆地陆相页岩油气的研究也逐渐增多[3, 6, 10-11, 17-18, 22-24]。不过前人对延长组的研究只局限于长7或长9段,研究认为,长7、长9段页岩孔隙以中孔为主,占总孔隙比例达50%以上,较少发育有机孔,这与页岩热演化程度较低有关。长6、长8段也有好的泥页岩分布,其TOC>2%,但前人对延长组整个层段却没有对比研究,而这对于研究鄂尔多斯盆地延长组的孔隙演化特征具有重要意义。本文以鄂尔多斯盆地南部延长组为研究对象,采用扫描电镜、低温氮气吸附等方法对延长组各段页岩储层孔隙特征进行研究对比,并分析影响孔隙发育的因素,研究目标是:1) 探讨延长组长6—长9各段孔隙特征;2) 分析影响孔隙特征的主要控制因素;3) 研究抽提前后储层孔隙特征的变化,探讨可溶有机质对孔隙特征的影响。
1 研究区概况鄂尔多斯盆地位于华北地台西部(图1),是一个经历多期构造运动叠合形成的大型内陆坳陷沉积盆地[25],构造呈西倾单斜,盆地在晚古生代—中三叠世时期处于海陆过渡相沉积环境到陆相沉积环境的转变过程,发育了石炭系—二叠系本溪组、山西组滨海沼泽相页岩沉积以及三叠系延长组长7、长9段深湖—半深湖相页岩沉积。研究区位于鄂尔多斯盆地南部渭北隆起的铜川地区,从二叠纪开始就坳陷成为一个内陆浅湖,并接受沉积。至三叠纪坳陷继续加剧,并在长7期湖盆发育至顶峰[26],盆地构造沉降速率大于沉积物供应速率,湖泊面积扩大,水深增大,为缺乏沉积物供应的饥饿型盆地。油页岩形成时期,气候温暖潮湿,降雨量丰富,主要在坳陷较深的内陆浅湖相沉积环境中形成。主要生油层为长4+5段—长9段,暗色泥岩总厚300~500 m[27],发育深湖—半深湖亚相沉积,暗色泥页岩发育,在盆地范围内分布稳定,是陆相页岩油气重点研究的区带。
|
| 图 1 研究区位置 Figure 1 Location of the study area |
瑶科1井是鄂尔多斯盆地南部陕西省铜川市境内的科研钻探井,钻井深度为500 m,本井自上而下钻遇地层属于上三叠统(T3)延长组长4+5、长6、长7、长8、长9和长10,其中长6—长9段地层完全揭示。长6、长8前人很少研究,本次钻探发现厚层泥页岩分布,且有机碳含量>2%,为好的烃源岩。长6钻厚125.38 m,其中长61钻厚35.34 m,底部为细砂岩,向上逐渐过渡为泥岩;长62钻厚59.81 m,为细砂岩和泥岩互层;长63钻厚30.23 m,底部细砂岩向上逐渐过渡为泥岩。长7钻厚108.58 m,早期的鄂尔多斯盆地研究中长7被认为是重要的烃源岩层,但没有进行详细的划分对比,本次研究中我们将长7进行了新的三分划分:长71钻厚45.36 m,以灰白色、灰褐色细砂岩、黑色泥岩、灰白色凝灰岩为主,细砂岩被原油侵入;长72钻厚21.8 m,以黑色泥岩和细砂岩为主;长73钻厚41.42 m,以灰褐色凝灰岩和黑色油页岩为主。长8钻厚47.33 m,以灰白色中、细砂岩、灰白色泥质砂岩、灰黑色泥岩、深灰色砂质泥岩为主。长9泥页岩在该区前人认为没有烃源岩(油页岩)分布,但经过本次钻探研究,我们发现该区存在好的长9泥页岩。长9钻厚126.48 m,以黑色泥岩、油页岩、灰白色中、细砂岩为主,其中长91钻厚79.39 m,顶部发育厚度为16 m的李家畔页岩,底部发育13 m黑色油页岩;长92钻厚47.09 m,为两套砂泥岩旋回。
2 样品与测试本文研究所采用的泥页岩样品均来自于瑶科1井,图2为瑶科1井综合柱状图,从岩芯中选取32块样品,其中长61段2块、长62段5块、长63段2块、长71段4块、长72段3块、长73段8块、长8段2块、长91段4块、长92段2块,并对样品进行有机碳含量测试(全井141块样品)、全岩矿物XRD分析、岩石热解分析、低温氮气吸附测试、扫描电镜观察等。
|
| 图 2 YK1井综合柱状图 Figure 2 Comprehensive column for Well YK-1 |
扫描电镜选用德国ZEISS公司生产的超高分辨率场发射扫描电镜MERLIN Compact,是基于纳米结构分析的电子束成像仪器。仪器最高分辨率0.8 nm,有助于对孔隙分布及孔径的观察。扫描电镜观察之前先采用氩离子抛光2 h,使样品表面新鲜光滑,以提高成像质量。
低温氮气吸附采用的是美国Micromeritics公司生产的ASAP2020型全自动快速比表面积及孔径分析仪,样品粉碎至20目左右,在110℃条件下自动脱气8 h,然后在110℃条件下真空脱气2 h,以除去样品中残留的气体,然后通入高纯氮气,在-191.2℃条件下进行等温吸附—脱附实验,孔径测量范围主要为1.7~280 nm,比表面积最低可测至0.000 5 m2/g,孔体积最小检测至0.000 1 cm3/g,最后得到样品的吸附、脱附等温线。样品的比表面积选用多点BET模型线性回归得到,孔隙体积及孔径分布选用DFT模型计算得到。
3 结果与讨论 3.1 泥页岩储层与矿物学特征延长组泥页岩有机碳含量1.95%~16.13%,平均6.46%,其中长7泥页岩有机碳含量最高,长73因油页岩层较厚,有机碳含量达到16.13%。泥页岩矿物成分主要为黏土矿物、石英、长石,长6、长7黄铁矿含量较高(表1)。统计结果显示延长组石英含量19.03%~44.07%,平均33.15%,其中长63石英含量最高,达到44.07%;黏土矿物含量23.81%~42.29%,平均34.08%,其中长8黏土矿物含量最高,达到42.49%,黏土矿物中以伊利石为主,平均为14.17%;长石含量为5.62%~13.29%,平均9.57%;黄铁矿含量平均为4.19%,以长6和长7为主,长73达到14.74%。
| 层段 | TOC/% | 矿物组成/% | |||||||
| 石英 | 蒙脱石 | 伊利石 | 高岭石 | 绿泥石 | 黏土总量 | 长石总量 | 黄铁矿 | ||
| 长61 | 4.89 | 35.46 | 8.40 | 12.94 | 9.57 | 7.51 | 38.42 | 5.62 | 2.68 |
| 长62 | 7.80 | 30.96 | 4.76 | 16.25 | 11.23 | 5.86 | 38.10 | 7.62 | 5.20 |
| 长63 | 1.95 | 44.07 | 3.53 | 12.90 | 6.77 | 5.76 | 28.96 | 8.51 | 3.09 |
| 长71 | 9.08 | 30.73 | 4.36 | 13.00 | 5.43 | 5.58 | 28.37 | 11.49 | 7.28 |
| 长72 | 1.73 | 38.42 | 5.11 | 16.62 | 4.49 | 9.74 | 35.97 | 8.43 | 0.40 |
| 长73 | 16.13 | 19.03 | 3.90 | 12.11 | 2.77 | 5.02 | 23.81 | 11.15 | 14.74 |
| 长8 | 2.05 | 34.70 | 3.77 | 15.74 | 9.06 | 13.91 | 42.49 | 8.60 | 0.98 |
| 长91 | 2.34 | 39.01 | 4.07 | 12.68 | 7.98 | 12.69 | 37.41 | 13.29 | 1.48 |
| 长92 | 12.13 | 25.95 | 3.86 | 15.25 | 9.95 | 4.16 | 33.23 | 11.44 | 1.88 |
按照国际纯粹与应用化学联合会(IUPAC)的孔隙分类方案[28],将孔隙按尺寸大小分为微孔(<2 nm)、中孔(2~50 nm)、宏孔(>50 nm)。低温氮气吸附法主要测量的是泥页岩中孔和部分微孔、宏孔的孔径分布。
瑶科1井长9段泥页岩总孔体积5.55×10-3~1.46×10-2 cm3/g,平均1.02×10-2 cm3/g,其中微孔占8%,中孔占65%,宏孔占27%。长8段泥页岩总孔体积9.75×10-3~1.62×10-2 cm3/g,平均1.30×10-2 cm3/g,其中微孔占6%,中孔占68%,宏孔占26%。长7段泥页岩总孔体积2.94×10-3~1.54×10-2 cm3/g,平均7.44×10-3 cm3/g,其中微孔占4%,中孔占57%,宏孔占39%。长6段泥页岩总孔体积5.22×10-3~1.52×10-2 cm3/g,平均9.17×10-3 cm3/g,其中微孔占5%,中孔占62%,宏孔占33%(图3a)。具体上,长6—长9中各小段泥页岩孔隙体积特征具有一定差别(表2)。可见延长组泥页岩孔隙主要以中孔为主,宏孔次之,微孔比例较小,前人的一些研究也得出了相似的结论[6, 11]。长9段泥页岩相对于其他各段微孔比例最高,达到8%,最高可达23%,其中长92段微孔比例达到14%;长8段泥页岩相对于其他各段中孔占的体积较大,达到68%,最高可达79%;长7段泥页岩相对于其他各段宏孔比例最高,达到39%,最高可达51%,长71、长73微孔比例更低,低至2%左右,而宏孔比例可高至44%。
|
| 图 3 抽提前后泥页岩微孔、中孔、宏孔比例 Figure 3 The proportion of micropores,mesopores and macropores of shales before and after extraction |
| 层段 | 微孔比例/% | 中孔比例/% | 宏孔比例/% | DFT孔体积(10-3cm3.g-1) | BET比表面积/(m2.g-1) | S1/(mg/g) | S2/(mg/g) |
| 长61 | 5.70 | 61.79 | 32.51 | 10.94 | 6.89 | 1.35 | 26.37 |
| 长62 | 1.21 | 59.56 | 39.23 | 6.93 | 2.46 | 2.13 | 43.83 |
| 长63 | 15.02 | 66.61 | 18.37 | 12.97 | 13.49 | 0.43 | 7.36 |
| 长71 | 1.86 | 57.97 | 40.17 | 9.83 | 2.83 | 3.84 | 56.14 |
| 长72 | 9.62 | 64.76 | 25.63 | 13.26 | 10.27 | 0.36 | 5.15 |
| 长73 | 2.72 | 52.94 | 44.34 | 4.06 | 1.01 | 5.70 | 87.19 |
| 长8 | 6.31 | 67.46 | 26.23 | 12.99 | 7.17 | 0.22 | 7.71 |
| 长91 | 4.31 | 69.02 | 26.67 | 10.84 | 5.12 | 0.51 | 7.37 |
| 长92 | 13.84 | 57.08 | 29.08 | 8.95 | 7.91 | 1.72 | 22.04 |
同时,对延长组各段样品的孔径分布进行分析,样品基本数据见表3。结果表明长9、长8段泥页岩微孔主要分布于1~1.5 nm,中孔分布较为分散,长9微孔相对较发育。长7段泥页岩整体处于宏孔范围内的孔径更多,微孔也有少许分布,主要分布于1.2~1.8 nm。长6段泥页岩孔径分布较为分散,微孔主要分布于1~1.4 nm,中孔、宏孔分布范围较宽,3~170 nm均有分布(图4)。
| 样品 | TOC/% | Tmax/℃ | 黏土矿物含量/% | 石英含量/% | 长石含量/% | 黄铁矿含量/% | DFT总孔隙体积/(10-3cm3/g) | BET比表面积/(m2/g) |
| YK-4 | 1.79 | 438 | 48.76 | 36.84 | 5.98 | 0 | 14.36 | 12.15 |
| YK-6 | 7.99 | 443 | 28.08 | 34.08 | 5.27 | 5.37 | 7.53 | 1.63 |
| YK-14 | 10.60 | 433 | 31.01 | 32.21 | 6.59 | 6.85 | 6.27 | 1.95 |
| YK-16 | 5.61 | 433 | 46.50 | 31.60 | 4.87 | 2.52 | 7.31 | 2.31 |
| YK-18 | 4.59 | 441 | 54.04 | 25.74 | 5.04 | 3.84 | 10.36 | 4.88 |
| YK-19 | 8.67 | 435 | 31.90 | 35.80 | 5.70 | 6.12 | 5.49 | 1.65 |
| YK-22 | 9.55 | 435 | 27.05 | 29.46 | 15.88 | 6.67 | 5.22 | 1.53 |
| YK-25 | 0.95 | 439 | 34.59 | 46.26 | 6.38 | 3.58 | 15.24 | 22.26 |
| YK-29 | 2.94 | 442 | 23.33 | 41.87 | 10.65 | 2.61 | 10.71 | 4.71 |
| YK-35 | 14.60 | 435 | 26.07 | 27.35 | 6.94 | 7.35 | 10.13 | 3.07 |
| YK-42 | 8.45 | 433 | 24.49 | 34.00 | 11.40 | 6.57 | 8.24 | 2.01 |
| YK-49 | 7.46 | 434 | 32.87 | 33.01 | 11.13 | 5.21 | 11.98 | 4.59 |
| YK-71 | 3.13 | 440 | 28.09 | 38.92 | 7.57 | 1.21 | 11.38 | 4.71 |
| YK-78 | 13.40 | 435 | 27.27 | 19.82 | 15.48 | 8.66 | 5.59 | 1.34 |
| YK-81 | 14.40 | 436 | 24.14 | 25.46 | 15.37 | 7.08 | 3.40 | 1.01 |
| YK-83 | 16.60 | 436 | 24.78 | 14.93 | 17.91 | 9.09 | 2.94 | 0.95 |
| YK-88 | 18.00 | 437 | 12.78 | 15.90 | 11.11 | 28.88 | 3.79 | 0.70 |
| YK-93 | 23.90 | 442 | 16.43 | 12.61 | 8.41 | 26.37 | 4.25 | 1.04 |
| YK-101 | 16.90 | 441 | 29.91 | 17.48 | 2.99 | 16.25 | 3.89 | 1.20 |
| YK-107 | 12.80 | 442 | 33.12 | 24.00 | 5.92 | 12.02 | 4.29 | 0.93 |
| YK-108 | 13.00 | 440 | 22.06 | 22.06 | 11.99 | 9.57 | 4.36 | 0.92 |
| YK-117 | 3.14 | 444 | 36.24 | 33.39 | 7.98 | 1.96 | 9.75 | 1.71 |
| YK-120 | 0.95 | 447 | 48.74 | 36.00 | 9.22 | 0 | 16.23 | 12.64 |
| YK-125 | 0.63 | 446 | 39.95 | 42.47 | 11.37 | 3.08 | 14.56 | 10.67 |
| YK-135 | 2.35 | 444 | 42.91 | 37.59 | 8.06 | 0 | 10.34 | 2.72 |
| YK-137 | 3.01 | 445 | 35.02 | 38.22 | 12.18 | 2.84 | 9.30 | 3.45 |
| YK-151 | 3.35 | 440 | 31.77 | 37.76 | 21.56 | 0 | 9.14 | 3.63 |
| YK-155 | 16.20 | 411 | 25.90 | 24.22 | 9.89 | 1.67 | 5.55 | 1.92 |
| YK-160 | 8.06 | 430 | 40.56 | 27.69 | 13.00 | 2.09 | 12.34 | 13.91 |
|
| 图 4 泥页岩孔径分布 Figure 4 Pore size distribution of shales |
长9段泥页岩比表面积1.92~13.91 m2/g,平均6.05 m2/g;长8段泥页岩比表面积3.16~9.46 m2/g,平均6.31 m2/g;长7段泥页岩比表面积0.70~15.43 m2/g,平均3.35 m2/g;长6段泥页岩比表面积1.53~22.26 m2/g,平均5.90 m2/g。具体上,长6—长9中各个小段泥页岩比表面积还存在一定差别(表2)。长9、长8段泥页岩比表面积较大,这与其最大比例的微孔和最小比例的宏孔相对应;长7段泥页岩具有最小的比表面积,特别是长71、长73比表面积低至1 m2/g,这与其具有最小比例的微孔、最大比例的宏孔相对应。可见微孔对比表面积的贡献有着最为重要的作用。图5描述了泥页岩比表面积随孔径的变化,可以看出长9段、长8段泥页岩比表面积主要是由1~1.6 nm的微孔和2~25 nm的中孔提供,进一步说明长9段、长8段中孔比例比较高,微孔比例也相对更高。长7段泥页岩1.2~2 nm的微孔提供了部分比表面积,但比表面积主要是由大于5 nm的孔隙提供,证明其微孔含量较低,中孔比例较高。长6段泥页岩的比表面积主要由孔径小于5 nm的孔隙所提供。
|
| 图 5 泥页岩孔隙比表面积分布 Figure 5 The distribution of pore specific surface area of shales |
选取每段具有代表性的样品,对其孔隙结构特征进行对比研究,图6为长6至长9中6个样品的吸附和脱附等温线。同时,通过扫描电镜观察(图7),发现延长组各段主要发育粒间孔、粒内孔、晶间孔、溶蚀孔、微裂缝,有机孔基本不发育。
|
| 图 6 泥页岩吸附等温线 Figure 6 Adsorption isotherms of shales |
|
| 图 7 泥页岩扫描电镜图 a.长6,粒间孔、石英微裂缝;b.长7,黄铁矿粒间孔、溶蚀孔;c.长7,有机孔不发育;d.长8,黏土矿物粒间孔、石英粒内孔;e.长9,粒间孔、黏土矿物粒内孔、溶蚀孔;f.长9,粒间孔、黏土矿物粒内孔、微裂缝、有机孔 Figure 7 The SEM images of shales |
根据IUPAC的分类[29],虽然各样品吸附曲线形态略有差别,但整体都成反S型,呈Ⅱ型吸附等温线。当相对压力大于0.4时,吸附曲线与脱附曲线并不重合,形成吸附回线,也即滞后回线。吸附回线的产生是由于泥页岩中微孔具体形状不同,同一个孔发生凝聚与蒸发时的相对压力不同,吸附—脱附曲线分开成两支[30]。具体分析,在P/P0<0.01的部分有一定量的吸附,说明样品中存在一定量的微孔;当相对压力接近于饱和蒸气压时,吸附曲线上升速度很快,也并未出现饱和吸附,表明样品中含有一定量的大孔。前人根据吸附回线的形态及其对应的孔隙结构特征,提出了不同的分类方法[31-35]。不同的吸附回线可以反映不同的孔隙结构和类型,实际吸附回线往往是几种标准吸附回线的综合。
整体而言,样品吸脱附曲线分支基本平行,接近饱和蒸汽压时,吸附曲线变得很陡,与H3型吸附回线较为接近,也兼有H2、H4型吸附回线的特征。
具体来说,长9、长8段泥页岩吸脱附曲线较为相似,吸附量较大,表明总孔隙体积较大;在相对压力较低时,也有较大量的吸附,表明微孔含量较高;且脱附曲线在P/P0为0.4~0.6之间时,有个急剧下降的拐点,说明页岩中不管较小的孔还是较大的孔都以两端开放的形式存在,孔隙类型主要以管状孔和平行壁的狭缝状孔为主,也可能有细颈瓶状或墨水瓶状孔。镜下观察表明,长9、长8泥页岩有机孔基本不发育(图7e)。黏土矿物含量分别为35%、42%,发育大量的黏土矿物粒间孔,呈拉长线型(图7d~f),且与有机质接触部位发育较多。黏土矿物层间粒内孔也较为发育(图7e,f),如书页状绿泥石层间粒内孔(图7e),也有少量的石英粒内孔发育(7d)。在有机质与其他矿物颗粒接触处,可见微裂缝发育(图7f)。
长7的3个样品相对于其他各段,吸附回线较小,尤其是长71、长73段泥页岩样品吸脱附曲线接近重合,长72段样品吸附回线稍微宽大些,当P/P0<0.4时,吸脱附分支基本完全重合,脱附曲线较为平缓,接近于H4型吸附回线,表明微孔的存在。而孔体积是由P/P0≈1时的吸附量统计的[36],接近饱和蒸气压时,长7段的三个样品的吸附量最小,而吸附分支则急剧增加,可知其总孔体积最小,而中孔、宏孔比例较大,其中长72泥页岩吸附量相对较大,长73样品相对较小,对应于长72泥页岩相对较大的孔隙体积和长73泥页岩相对较小的孔隙体积,这与前述的孔隙体积特征相一致。封闭性孔(包括一端封闭的圆筒形孔、平行板孔和圆锥形孔)不能产生吸附回线(墨水瓶孔虽一端封闭,却能产生吸附回线),表明长7段泥页岩孔隙含有相对较多的封闭型孔,且主要为微孔,还有一端或两端开口的楔V型孔。长7段泥页岩有机质含量较高,但有机孔基本不发育(图7c)。黄铁矿含量高达26%,发育大量的莓状黄铁矿粒间孔(图7b),粒间孔里充填有大量的有机质,颗粒上可见溶蚀孔发育(图7b)。
长6段样品孔隙结构特征介于长7与长8、长9之间,泥页岩孔隙结构无规则,整体接近H3型吸附回线,以平行板状的狭缝型孔隙为主。长6段泥页岩石英含量很高,特别是长63段石英含量可达44%,除了黏土矿物粒间孔,石英粒间孔也发育较多(图7a)。此外,莓状黄铁矿粒间孔、石英微裂缝(图7a)也有发育,有机孔基本不发育。
综合来看,黏土矿物粒间孔是两端开口的管状孔和平行板状的狭缝型孔隙的主要来源;莓状黄铁矿粒间孔可贡献一端或两端开口的楔V型孔;微裂缝主要为平行壁狭缝型孔、楔型孔。
通过对延长组各段的孔隙体积特征、结构特征进行研究对比,结果列于表4,表明延长组各段因TOC、矿物组成等储层特征的不同,造成其孔隙大小分布、孔隙体积、比表面积、孔隙类型、孔隙形态都不尽相同。长9、长8有较高的黏土矿物含量,较低的TOC值,中孔比例最高,微孔比例相对较高,孔隙类型以黏土矿物粒间孔为主,提供了较多的管状孔和平行壁狭缝型孔;长7段有最高的TOC值,黏土矿物和石英含量都较低,黄铁矿含量高,宏孔比例相对较高,微孔比例最低,发育较多的莓状黄铁矿粒间孔,提供了较多的楔V形孔;长6段石英和黏土矿物含量都很高,黏土矿物粒间孔与石英粒间孔都发育较好,提供了较多的平行板状狭缝型孔隙、管状孔。
| 层段 | TOC/% | 黏土矿物含量/% | 石英含量/% | 微孔比例/% | 中孔比例/% | 宏孔比例/% | DFT总孔体积/(10-3 cm3/g) | BET比表面积/(m2/g) | 孔隙类型 | 孔隙形态 |
| 长6 | 4.88 | 35.16 | 36.83 | 5.28 | 61.62 | 33.10 | 9.17 | 5.90 | 黏土矿物粒间孔、石英粒间孔较多、莓状黄铁矿粒间孔次之 | 平行板状狭缝型孔隙、管状孔 |
| 长7 | 8.98 | 29.38 | 29.40 | 3.87 | 56.65 | 39.49 | 7.44 | 3.35 | 莓状黄铁矿粒间孔、晶间孔较多、黏土矿物粒内孔次之 | 一端或两端开口楔V形孔 |
| 长8 | 2.05 | 42.49 | 34.70 | 6.31 | 67.46 | 26.23 | 12.99 | 7.17 | 黏土矿物粒间孔为主,石英粒内孔次之 | 管状孔、平行壁狭缝型孔 |
| 长9 | 7.24 | 35.32 | 32.48 | 7.48 | 65.04 | 27.48 | 10.21 | 6.05 | 黏土矿物粒间孔为主,黏土矿物粒内孔次之 | 管状孔、平行壁狭缝型孔 |
孔隙的发育是受多种因素共同控制的,包括TOC、黏土矿物含量、脆性矿物含量、有机质类型、有机质成熟度等[4, 9, 37],此外,可溶有机质会堵塞泥页岩储层中的部分孔隙,也会对储层孔隙特征产生影响[16, 19-21]。
4.1 有机碳含量泥页岩有机碳含量多少是有机质生烃能力大小的重要衡量参数,同时,有机质在生烃过程中会产生大量的微纳米孔。Jarvie et al.[38]研究认为TOC含量为6.41%的泥页岩,当达到生干气窗时,会产生4.3%左右的孔隙体积;同时,Jarvie et al.[39]还通过实验分析得出有机质含量为7.0%的泥页岩在生烃过程中,当有机碳消耗35%时,页岩孔隙可增加约4.9%。为此,统计了样品抽提前总孔体积、比表面积与TOC含量的关系,来分析该地区延长组泥页岩有机碳含量对孔隙的控制作用。由图8a,b可以发现样品抽提前总孔体积、比表面积与TOC含量基本呈负相关关系,表明研究区延长组泥页岩有机碳含量对储层孔隙的发育影响较小。
|
| 图 8 抽提前后泥页岩总孔体积、比表面积与TOC、黏土矿物含量、石英含量的关系 Figure 8 Relationships between pore volume, specific surface area and TOC, clay mineral and quartz content of shale before and after extraction |
对此结果目前主要有两种解释:1) 延长组泥页岩成熟度不高。通过对其Tmax分析可知,延长组各段平均Tmax为434℃~446℃,对应成熟度为0.5%~0.9%,导致有机质生烃作用较弱,有机孔发育较少,这从前述的延长组各段泥页岩微孔含量较低可以得到证明,刘国恒等[20]通过镜下观察发现,有机质成熟度相对较低的样品,Ro值为0.84%~1.1%,有机质表面几乎没有见有机质孔隙发育。此外,Curits et al.[40]对比了北美9大页岩特征,发现有机质孔发育程度与TOC值关系不明显,也有很多学者研究结果证实大多数成熟样品中比表面积随TOC值的升高而升高,而低成熟度样品中比表面积与TOC值关系不明显[40-41]。2) 残留烃的影响。有机质演化生烃会生成可溶有机质,这些烃如果没有排除出去,会以残留烃的形式堵塞泥页岩孔隙,造成孔隙体积降低。
4.2 矿物成分黏土矿物是泥页岩的主要组成矿物,它具有特殊的层状晶体结构,在晶层之间、矿物颗粒内部、矿物颗粒之间会形成不同类型的孔隙,Ross et al.[42]认为页岩气储层中黏土矿物具有较大的比表面积和较高的微孔隙体积,吸附性能较强。为此,对研究区延长组泥页岩的黏土矿物含量与孔隙总体积、比表面积的相关性进行了分析,发现都呈一定的正相关性(图2、图8c,d),表明黏土矿物对研究区泥页岩的孔隙发育具有积极影响,这与Mastalerz et al.[12]的研究一致。
脆性矿物如石英、长石等在有机质演化生烃过程中会遭受溶蚀作用,能在一定程度上改善泥页岩储层的孔隙特征。研究区储层石英含量很高,因此分析石英等脆性矿物对储层孔隙发育的影响具有一定意义。图2、图8e,f表明石英含量与孔隙总体积、比表面积也呈较好的正相关关系,表明石英等脆性矿物的含量一定程度上也影响了泥页岩的孔隙特征。
4.3 可溶有机质研究认为随着富有机质页岩热成熟并进入生油窗,产生的沥青和油将填充到孔隙空间,阻塞孔隙连通性,降低孔隙度[16, 21]。潘磊等[19]研究了四川盆地西北缘大隆组页岩,研究认为抽提后页岩的比表面积和孔容均变大,且页岩样品中残余可溶有机质主要分布于微孔及较小的介孔中,并与成熟度相关。刘国恒等[20]对延长组的研究表明,延长组页岩储层中含有大量的液态烃,这些液态烃占据了直径为4 nm左右的细缝状孔隙,降低了泥页岩储层的比表面积。
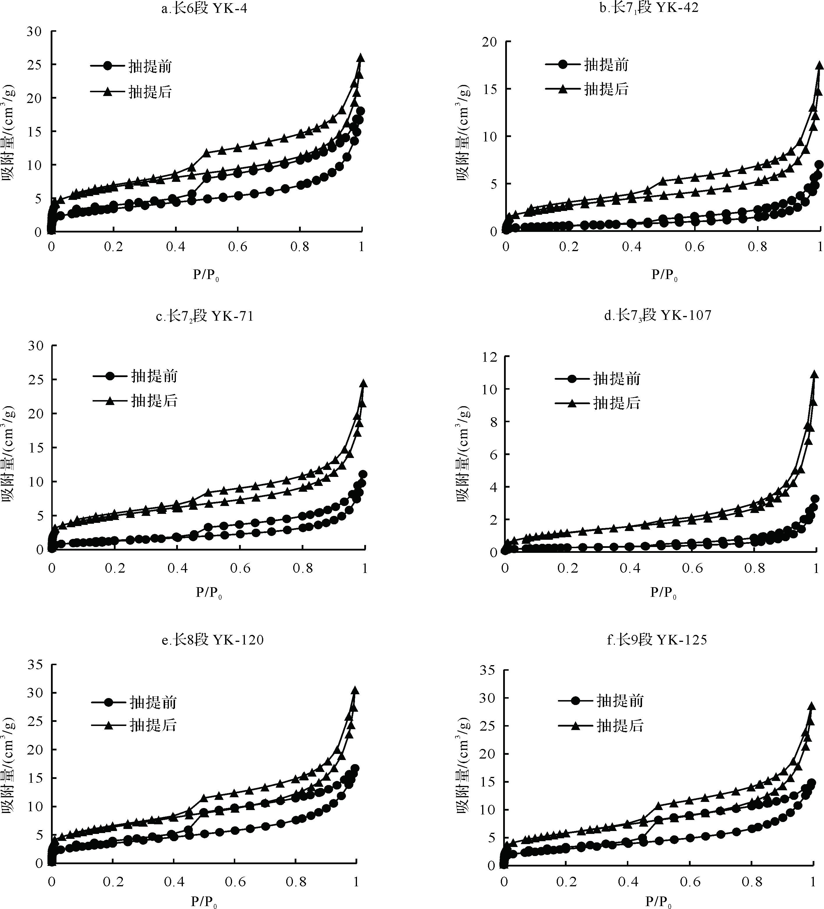
由此可见,可溶有机质确实对储层孔隙有一定影响。为此,对所有32块样品进行索氏抽提处理,以除去其中的残留烃,然后对比抽提前后延长组各段的孔隙总体积、比表面积、孔隙分布比例、吸附曲线,以及分析抽提前后TOC、黏土矿物含量、石英含量等分别与孔隙体积、比表面积的关系,来探讨可溶有机质对孔隙的控制作用。由图2、图9可以看出抽提过后,所有样品的孔隙总体积、比表面积、氮气吸附量都有所增加,表明确实有部分可溶有机质堵塞了泥页岩孔隙,导致所测得的孔隙总体积减少,进而导致比表面积降低、吸附量减少。同时,通过对比抽提前后微孔、中孔、宏孔的分配比例(图3),发现抽提后延长组各段泥页岩微孔比例都有所增加,中孔比例都有所降低,这可能是因为中孔中油/沥青的去除,使开放的孔隙进入大孔范围,导致抽提后中孔体积的减少,大孔体积增加[16]。
|
| 图 9 抽提前后泥页岩吸附等温线 Figure 9 Adsorption isotherms of shales before and after extraction |
另外,通过岩石热解分析得出了游离烃(S1)和热解烃(S2)的含量,进而统计了其与孔隙总体积的关系,发现基本呈负相关关系(图10),说明游离烃堵塞了部分孔隙。由表2可以看出长73、长71泥页岩之所以具有最小的孔隙体积,是因为它们的S1、S2含量最高,正因为如此,才堵塞了孔隙体积,造成了孔隙度的降低。
|
| 图 10 泥页岩孔隙总体积与S1、S2的关系 Figure 10 Relationships between pore volume and S1,S2of shale |
而通过分析抽提前后孔隙总体积、比表面积与TOC、黏土矿物含量、石英含量等的关系发现(图8),它们的总体关系还是基本不变的,表明黏土矿物与石英含量对研究区延长组泥页岩的孔隙起着主要的控制作用,而抽提后TOC之所以会与孔隙总体积、比表面积呈负相关关系,可能是因为作为不可溶的一部分有机质堵塞了孔隙,而用索氏抽提法却无法将其提取出来。为此,用H2O2溶液对样品进行处理,即除去样品中的有机质,来探讨不可溶有机质的控制作用,这部分实验成果见于课题组的另一篇文章[43]。研究表明减少的TOC含量(即H2O2处理掉的有机质含量)与孔隙总体积成正比,这就证明了不可溶有机质确实堵塞了孔隙。
此外,可溶有机质对于页岩油气的形成与赋存具有重要影响。可溶有机质的存在一方面降低了甲烷吸附于干酪根表面的吸附气含量,另一方面随着地层压力的增加,一部分甲烷分子可以以溶解态存在于可溶有机质中,这将影响泥页岩储层中吸附气含量的计算,进而影响页岩气开发政策的制定。对于页岩油来说,当Ro值介于0.6%~1.0%之间时,储层中滞留的可溶有机质与富集有机质聚集体呈游离—吸附共轭状态,流动性较差,开采前景也较差;当Ro值增大到1.3%过程中,这些残留烃更多转化为轻质油和天然气,流动性变好,更易于开采。
成熟度也是影响泥页岩孔隙发育的重要因素,伴随着干酪根的成熟演化,会生成大量的有机质孔隙,同时,生成的游离烃也会堵塞孔隙,对孔隙发育产生影响。四川盆地龙马溪组海相页岩以及美国海相页岩成熟度适中,有机质微孔发育较好;四川盆地筇竹寺组页岩成熟度过高,有机质孔隙发育程度降低;而研究区延长组泥页岩的成熟度较低(Ro:0.5%~0.9%),有机质孔隙也发育不好。鉴于样品成熟度范围较小,不再具体讨论成熟度对泥页岩孔隙发育的影响。
以上内容分析了延长组各段泥页岩的孔隙特征及影响孔隙发育的控制因素,在烃源岩方面我们还是可以得出一些新的认识。早期的鄂尔多斯盆地研究认为长7是重要的烃源岩层,经过本次钻探研究,发现该区也存在好的长6、长9泥页岩,这为该区页岩油气研究提供了新的思路。从前文可以发现长6、长7、长9都富含泥页岩,泥岩厚度都大于45 m,特别是长72、长91有厚层油页岩分布,TOC含量都大于4%,黏土矿物含量都小于40%,脆性矿物含量都大于40%,这些因素都显示长6、长7、长9有好的陆相页岩油气产出潜力。
5 结论(1) 鄂尔多斯盆地南部延长组泥页岩孔隙以中孔为主,宏孔次之,微孔比例最低。从纵向对比的角度来看,长9段泥页岩微孔比例相对较高,且微孔主要分布于1~1.5 nm;长8段泥页岩中孔比例最高;长7段泥页岩宏孔比例最高,微孔比例最低;长6段泥页岩孔隙中微孔、中孔、宏孔均占一定比例,中孔比例略高。
(2) 长9、长8泥页岩比表面积较大,主要是由1~1.6 nm的微孔和2~25 nm的中孔提供;长7段具有最小的比表面积,主要是由大于5 nm的孔隙提供;长6段泥页岩比表面积介于其他各段之间,主要由孔径小于5 nm的孔隙所提供。
(3) 扫描电镜下发现泥页岩有机孔基本不发育,主要以黏土矿物粒间孔为主,且有机质与无机矿物接触部位发育较多。长9、长8泥页岩孔隙形态以管状孔和平行壁的狭缝状孔为主;长7泥页岩孔隙含有相对较多的封闭型孔,以及一端或两端开口的楔V型孔;长6泥页岩孔隙以平行板状的狭缝型孔隙为主。
(4) 黏土矿物、石英含量对孔隙的发育有着重要的控制作用,而孔隙总体积、BET比表面积与TOC含量基本呈负相关关系,这主要是由于孔隙中的残留烃和不可溶有机质颗粒对孔隙的堵塞作用,抽提后可以发现样品孔隙总体积、比表面积都有所增加。而长73、长71相对于其他各段之所以孔隙体积最小,与其高的游离烃(S1)、热解烃(S2)含量有很大关系。
| [1] | Fishman N S, Hackley P C, Lowers H A, et al. The nature of porosity in organic-rich mudstones of the Upper Jurassic Kimmeridge Clay Formation, North Sea, offshore United Kingdom[J]. International Journal of Coal Geology, 2012, 103: 32–50. DOI: 10.1016/j.coal.2012.07.012 |
| [2] | Milliken K L, Rudnicki M, Awwiller D N, et al. Organic matter-hosted pore system, Marcellus Formation (Devonian), Pennsylvania[J]. AAPG Bulletin, 2013, 97(2): 177–200. DOI: 10.1306/07231212048 |
| [3] | 杨超, 张金川, 唐玄. 鄂尔多斯盆地陆相页岩微观孔隙类型及对页岩气储渗的影响[J]. 地学前缘, 2013, 20 (4): 240–250. [ Yang Chao, Zhang Jinchuan, Tang Xuan. Microscopic pore types and its impact on the storage and permeability of continental shale gas, Ordos Basin[J]. Earth Science Frontiers, 2013, 20(4): 240–250. ] |
| [4] | 郭旭升, 李宇平, 刘若冰, 等. 四川盆地焦石坝地区龙马溪组页岩微观孔隙结构特征及其控制因素[J]. 天然气工业, 2014, 34 (6): 9–16. [ Guo Xusheng, Li Yuping, Liu Ruobing, et al. Characteristics and controlling factors of micro-pore structures of Longmaxi Shale Play in the Jiaoshiba area, Sichuan Basin[J]. Natural Gas Industry, 2014, 34(6): 9–16. ] |
| [5] | 王羽, 金婵, 汪丽华, 等. 应用氩离子抛光-扫描电镜方法研究四川九老洞组页岩微观孔隙特征[J]. 岩矿测试, 2015, 34 (3): 278–285. [ Wang Yu, Jin Chan, Wang Lihua, et al. Characterization of pore structures of Jiulaodong Formation shale in the Sichuan Basin by SEM with Ar-ion milling[J]. Rock and Mineral Analysis, 2015, 34(3): 278–285. ] |
| [6] | 曾维特, 张金川, 丁文龙, 等. 延长组页岩储层纳米级孔隙特征及影响因素——以鄂尔多斯盆地柳坪171井为例[J]. 煤炭学报, 2014, 39 (6): 1118–1126. [ Zeng Weite, Zhang Jinchuan, Ding Wenlong, et al. Characteristics and influence factors of nanopores in Yanchang Shale reservoir:A case study of Well Liuping-171 in Ordos Basin[J]. Journal of China Coal Society, 2014, 39(6): 1118–1126. ] |
| [7] | Chen Ji, Xiao Xianming. Evolution of nanoporosity in organic-rich shales during thermal maturation[J]. Fuel, 2014, 129: 173–181. DOI: 10.1016/j.fuel.2014.03.058 |
| [8] | Hu Haiyan, Zhang Tongwei, Wiggins-Camacho J D, et al. Experimental investigation of changes in methane adsorption of bitumen-free Woodford Shale with thermal maturation induced by hydrous pyrolysis[J]. Marine and Petroleum Geology, 2015, 59: 114–128. DOI: 10.1016/j.marpetgeo.2014.07.029 |
| [9] | 薛冰, 张金川, 唐玄, 等. 黔西北龙马溪组页岩微观孔隙结构及储气特征[J]. 石油学报, 2015, 36 (2): 138–149. [ Xue Bing, Zhang Jinchuan, Tang Xuan, et al. Characteristics of microscopic pore and gas accumulation on shale in Longmaxi Formation, northwest Guizhou[J]. Acta Petrolei Sinica, 2015, 36(2): 138–149. ] |
| [10] | 杨巍, 陈国俊, 吕成福, 等. 鄂尔多斯盆地东南部延长组长7段富有机质页岩孔隙特征[J]. 天然气地球科学, 2015, 26 (3): 418–426. [ Yang Wei, Chen Guojun, Lü Chengfu, et al. Micropore characteristics of the organic-rich shale in the 7th member of the Yanchang Formation in the southeast of Ordos Basin[J]. Natural Gas Geoscience, 2015, 26(3): 418–426. ] |
| [11] | Sun Lina, Tuo Jincai, Zhang Mingfeng, et al. Formation and development of the pore structure in Chang 7 member oil-shale from Ordos Basin during organic matter evolution induced by hydrous pyrolysis[J]. Fuel, 2015, 158: 549–557. DOI: 10.1016/j.fuel.2015.05.061 |
| [12] | Mastalerz M, Schimmelmann A, Drobniak A, et al. Porosity of Devonian and Mississippian New Albany Shale across a maturation gradient:insights from organic petrology, gas adsorption, and mercury intrusion[J]. AAPG Bulletin, 2013, 97(10): 1621–1643. DOI: 10.1306/04011312194 |
| [13] | 张廷山, 杨洋, 龚其森, 等. 四川盆地南部早古生代海相页岩微观孔隙特征及发育控制因素[J]. 地质学报, 2014, 88 (9): 1728–1740. [ Zhang Tingshan, Yang Yang, Gong Qisen, et al. Characteristics and mechanisms of the micro-pores in the Early Palaeozoic marine shale, southern Sichuan Basin[J]. Acta Geologica Sinica, 2014, 88(9): 1728–1740. ] |
| [14] | 纪文明, 宋岩, 姜振学, 等. 四川盆地东南部龙马溪组页岩微-纳米孔隙结构特征及控制因素[J]. 石油学报, 2016, 37 (2): 182–195. [ Ji Wenming, Song Yan, Jiang Zhenxue, et al. Micro-nano pore structure characteristics and its control factors of shale in Longmaxi Formation, southeastern Sichuan Basin[J]. Acta Petrolei Sinica, 2016, 37(2): 182–195. ] |
| [15] | 王淑芳, 董大忠, 王玉满, 等. 中美海相页岩气地质特征对比研究[J]. 天然气地球科学, 2015, 26 (9): 1666–1678. [ Wang Shufang, Huang Dazhong, Wang Yuman, et al. A comparative study of the geological feature of marine shale gas between China and the United States[J]. Natural Gas Geoscience, 2015, 26(9): 1666–1678. ] |
| [16] | Wei Lin, Mastalerz M, Schimmelmann A, et al. Influence of Soxhlet-extractable bitumen and oil on porosity in thermally maturing organic-rich shales[J]. International Journal of Coal Geology, 2014, 132: 38–50. DOI: 10.1016/j.coal.2014.08.003 |
| [17] | 王香增, 高胜利, 高潮. 鄂尔多斯盆地南部中生界陆相页岩气地质特征[J]. 石油勘探与开发, 2014, 41 (3): 294–304. [ Wang Xiangzeng, Gao Shengli, Gao Chao. Geological features of Mesozoic continental shale gas in the south of Ordos Basin, NW China[J]. Petroleum Exploration and Development, 2014, 41(3): 294–304. DOI: 10.1016/S1876-3804(14)60035-5 ] |
| [18] | 俞雨溪, 罗晓容, 雷裕红, 等. 陆相页岩孔隙结构特征研究——以鄂尔多斯盆地延长组页岩为例[J]. 天然气地球科学, 2016, 27 (4): 716–726. [ Yu Yuxi, Luo Xiaorong, Lei Yuhong, et al. Characterization of lacustrine shale pore structure:An example from the Upper-Triassic Yanchang Formation, Ordos Basin[J]. Natural Gas Geoscience, 2016, 27(4): 716–726. ] |
| [19] | 潘磊, 肖贤明, 周秦. 可溶有机质对表征页岩储层特性的影响[J]. 天然气地球科学, 2015, 26 (9): 1729–1736. [ Pan Lei, Xiao Xianming, Zhou Qin. Influence of soluble organic matter on characterization of shale reservoir[J]. Natural Gas Geoscience, 2015, 26(9): 1729–1736. ] |
| [20] | 刘国恒, 黄志龙, 姜振学, 等. 湖相页岩液态烃对页岩吸附气实验的影响——以鄂尔多斯盆地延长组页岩为例[J]. 石油实验地质, 2015, 37 (5): 648–653. [ Liu Guoheng, Huang Zhilong, Jiang Zhenxue, et al. Effect of liquid hydrocarbons on gas adsorption in lacustrine shale:A case study of the Yanchang Formation, Ordos Basin[J]. Petroleum Geology & Experiment, 2015, 37(5): 648–653. ] |
| [21] | 郭慧娟, 王香增, 张丽霞, 等. 抽提前/后成熟页岩对氮气、二氧化碳的吸附特征及其对孔隙研究的意义[J]. 地球化学, 2014, 43 (4): 408–414. [ Guo Huijuan, Wang Xiangzeng, Zhang Lixia, et al. Adsorption of N2 and CO2 on mature shales before and after extraction and its implication for investigations of pore structures[J]. Geochimica, 2014, 43(4): 408–414. ] |
| [22] | 王香增, 张丽霞, 高潮. 鄂尔多斯盆地下寺湾地区延长组页岩气储层非均质性特征[J]. 地学前缘, 2016, 23 (1): 134–145. [ Wang Xiangzeng, Zhang Lixia, Gao Chao. The heterogeneity of shale gas reservoir in the Yanchang Formation, Xiasiwan area, Ordos Basin[J]. Earth Science Frontiers, 2016, 23(1): 134–145. ] |
| [23] | 吴松涛, 朱如凯, 崔京钢, 等. 鄂尔多斯盆地长7湖相泥页岩孔隙演化特征[J]. 石油勘探与开发, 2015, 42 (2): 167–176. [ Wu Songtao, Zhu Rukai, Cui Jinggang, et al. Characteristics of lacustrine shale porosity evolution, Triassic Chang 7 Member, Ordos Basin, NW China[J]. Petroleum Exploration and Development, 2015, 42(2): 167–176. DOI: 10.1016/S1876-3804(15)30003-3 ] |
| [24] | 刘群, 袁选俊, 林森虎, 等. 鄂尔多斯盆地延长组湖相黏土岩分类和沉积环境探讨[J]. 沉积学报, 2014, 32 (6): 1016–1025. [ Liu Qun, Yuan Xuanjun, Lin Senhu, et al. The classification of lacustrine mudrock and research on its depositional environment[J]. Acta Sedimentologica Sinica, 2014, 32(6): 1016–1025. ] |
| [25] | 徐黎明, 周立发, 张义楷, 等. 鄂尔多斯盆地构造应力场特征及其构造背景[J]. 大地构造与成矿学, 2006, 30 (4): 455–462. [ Xu Liming, Zhou Lifa, Zhang Yikai, et al. Characteristics and tectonic setting of tectono-stress field of Ordos Basin[J]. Geotectonica et Metallogenia, 2006, 30(4): 455–462. ] |
| [26] | 卢进才, 李宇宏, 魏仙样, 等. 鄂尔多斯盆地三叠系延长组长7油层组油页岩沉积环境与资源潜力研究[J]. 吉林大学学报:地球科学版, 2006, 36 (6): 928–932. [ Lu Jincai, Li Yuhong, Wei Xianyang, et al. Research on the depositional environment and resources potential of the oil shale in the Chang 7 member, Triassic Yanchang Formation in the Ordos Basin[J]. Journal of Jilin University:Earth Science Edition, 2006, 36(6): 928–932. ] |
| [27] | 徐士林, 包书景. 鄂尔多斯盆地三叠系延长组页岩气形成条件及有利发育区预测[J]. 天然气地球科学, 2009, 20 (3): 460–465. [ Xu Shilin, Bao Shujing. Preliminary analysis of shale gas resource potential and favorable areas in Ordos Basin[J]. Natural Gas Geoscience, 2009, 20(3): 460–465. ] |
| [28] | Haber J. Manual on catalyst characterization[J]. Pure & Applied Chemistry, 1991, 63(9): 1227–1246. |
| [29] | Brunauer S, Deming L S, Deming W E, et al. On a theory of the van der Waals adsorption of gases[J]. Journal of the American Chemical Society, 1940, 62(7): 1723–1732. DOI: 10.1021/ja01864a025 |
| [30] | 刘辉, 吴少华, 姜秀民, 等. 快速热解褐煤焦的低温氮吸附等温线形态分析[J]. 煤炭学报, 2005, 30 (4): 507–510. [ Liu Hui, Wu Shaohua, Jiang Xiumin, et al. The configuration analysis of the adsorption isotherm of nitrogen in low temperature with the lignite char produced under fast pyrolysis[J]. Journal of China Coal Society, 2005, 30(4): 507–510. ] |
| [31] | 严继民, 张启元. 吸附与凝聚[M]. 北京: 科学出版社, 1979: 108-120. [ Yan Jimin, Zhang Qiyuan. Adsorption and Coagulation[M]. Beijing: Science Press, 1979: 108-120. ] |
| [32] | Sing K S W. Reporting physisorption data for gas/solid systems with special reference to determination of surface area and porosity[J]. Pure and Applied Chemistry, 1985, 57(4): 603–619. |
| [33] | 陈尚斌, 朱炎铭, 王红岩, 等. 川南龙马溪组页岩气储层纳米孔隙结构特征及其成藏意义[J]. 煤炭学报, 2012, 37 (3): 438–444. [ Chen Shangbin, Zhu Yanming, Wang Hongyan, et al. Structure characteristics and accumulation significance of nanopores in Longmaxi shale gas reservoir in the southern Sichuan Basin[J]. Journal of China Coal Society, 2012, 37(3): 438–444. ] |
| [34] | Broekhoff J C P, de Boer J H. Studies on pore systems in catalysts:XIII. Pore distributions from the desorption branch of a nitrogen sorption isotherm in the case of cylindrical pores B. applications[J]. Journal of Catalysis, 1968, 10(4): 377–390. DOI: 10.1016/0021-9517(68)90153-X |
| [35] | 陈萍, 唐修义. 低温氮吸附法与煤中微孔隙特征的研究[J]. 煤炭学报, 2001, 26 (5): 552–556. [ Chen Ping, Tang Xiuyi. The research on the adsorption of nitrogen in low temperature and micro-pore properties in coal[J]. Journal of China Coal Society, 2001, 26(5): 552–556. ] |
| [36] | 杨峰, 宁正福, 王庆, 等. 页岩纳米孔隙分形特征[J]. 天然气地球科学, 2014, 25 (4): 618–623. [ Yang Feng, Ning Zhengfu, Wang Qing, et al. Fractal characteristics of nanopore in shales[J]. Natural Gas Geoscience, 2014, 25(4): 618–623. ] |
| [37] | Ross D J K, Bustin R M. The importance of shale composition and pore structure upon gas storage potential of shale gas reservoirs[J]. Marine and Petroleum Geology, 2009, 26(6): 916–927. DOI: 10.1016/j.marpetgeo.2008.06.004 |
| [38] | Jarvie D M, Hill R J, Ruble T E, et al. Unconventional shale-gas systems:the Mississippian Barnett shale of north-central Texas as one model for thermogenic shale-gas assessment[J]. AAPG Bulletin, 2007, 91(4): 475–499. DOI: 10.1306/12190606068 |
| [39] | Jarvie D M, Hill R J, Pollastro M R. Assessment of the gas potential and yields from shales:The Barnett Shale model[C]//Unconventional Energy Resources in the Southern Midcontinent, 2004 Symposium. Oklahoma City:Oklahoma Geological Survey, 2005:37-50. |
| [40] | Curtis M E, Ambrose R J, Sondergeld C H, et al. Investigation of the relationship between organic porosity and thermal maturity in the Marcellus Shale[C]//North American Unconventional Gas Conference and Exhibition. Texas:Society of Petroleum Engineers, 2011. |
| [41] | Jarvie D M, Jarvie B M, Weldon D, et al. Components and processes impacting production success from unconventional shale resource systems[C]//10th Middle East Geosciences Conference and Exhibition. Manama, Bahrai:EAGE, 2012. |
| [42] | Ross D J K, Bustin R M. Characterizing the shale gas resource potential of Devonian-Mississippian strata in the Western Canada sedimentary Basin:application of an integrated formation evaluation[J]. AAPG Bulletin, 2008, 92(1): 87–125. DOI: 10.1306/09040707048 |
| [43] | Li Jing, Zhou Shixin, Li Yuanju, et al. Effect of organic matter on pore structure of mature lacustrine organic-rich shale:a case study of the Triassic Yanchang shale, Ordos Basin, China[J]. Fuel, 2016, 185: 421–431. DOI: 10.1016/j.fuel.2016.07.100 |
2016, Vol. 35

