扩展功能
文章信息
- 马立元, 尹航, 陈纯芳, 尹伟
- MA LiYuan, YIN Hang, CHEN ChunFang, YIN Wei
- 鄂尔多斯盆地红河油田原油地球化学特征及油源分析
- Research of Geochemistry Characteristics and Source of Crude Oils from the Honghe Oilfield in the Ordos Basin
- 沉积学报, 2015, 33(2): 416-425
- ACTA SEDIMENTOLOGICA SINCA, 2015, 33(2): 416-425
- 10.14027/j.cnki.cjxb.2015.02.021
-
文章历史
- 收稿日期:2014-04-11
- 收修改稿日期:2014-06-20
2. 中国石油大学(北京) 北京 102249
2. University of Petroleum, Beijing 102249
红河油田位于鄂尔多斯盆地西南部镇原—泾川地区,构造位置处于鄂尔多斯盆地西缘天环向斜的南段,镇泾区块的构造整体为一西倾单斜,东南高、西北低,发育NW—SE向鼻状构造。延长期分流河道砂体与广泛分布的暗色泥岩相互叠置,有利于岩性油藏的形成。该区具有多层系含油的特点,主要产油层为上三叠统延长组长6、长8油层组,其次为长7、长9油层组,在中侏罗统延安组和长10油层组也发现零星分布的产油井,预示着良好的石油勘探开发前景。
关于红河油田原油的地球化学特征,目前还很少见到相关的论著,因而对于石油的来源问题缺乏系统的研究,从而制约了该区油气勘探开发的进程。本文通过对该区中生界不同层系原油的族组成和生物标志化合物特征以及烃源岩地球化学特征的综合分析,研究了原油的母质性质、形成环境和成熟度,进而分析了油源,以期为该区下一步油气勘探提供地质依据。 1 样品与分析
本文系统采集了鄂尔多斯盆地镇原—泾川地区13口井的原油和9口井的黑色泥、页岩(图 1),其中原油产层主要为上三叠统延长组,也有个别采自侏罗系,泥、页岩样品采自该区延长组长7、长8段。由于该区大部分油井油水同出,因此采集原油样品时,对油水进行了初步分离,并将样品及时运回实验室后在低温环境下保存。采集的烃源岩样品有机质丰度较高,泥岩有机碳含量均大于0.6%,油页岩有机碳含量大于10%,属于陆相中等及以上级别的烃源岩,具有该区典型延长组烃源岩的特征,样品具有较好的代表性。
|
| 图 1 样品采集位置图 Fig. 1 Sampling locations in the study area |
对于原油样品,首先进行沥青质沉淀,然后用柱层析进行族组分分离。饱和烃、芳烃和非烃馏分分别用正己烷、苯和乙醇进行冲洗。对于泥页岩样品,首先将其粉碎,然后用索氏抽提法抽提出氯仿沥青“A”,用正己烷沉淀其中的沥青质,从而分离出饱和烃,并对饱和烃馏分采用色谱(GC)和色谱—质谱联用仪(GC-MS)进行分析。 2 原油族组成特征
红河油田中生界原油的族组成特征基本一致,表现为各油层组的原油样品在族组成特征三角图中集中分布在较小的范围内(图 2),反映出油源的单一性。原油族组成中饱和烃含量(39.09%~52.98%,平均48.81%),非烃和沥青质含量较低(33.43%~50.20%,平均39.79%),芳烃含量最低(10.40%~13.59%,平均11.41%),饱/芳比值高(3.65~4.68)。说明中生界原油已普遍达到成熟阶段。
|
| 图 2 红河油田原油族组成特征三角图 Fig. 2 Triangular diagram of composition characteristics of crude oils in Honghe Oilfield |
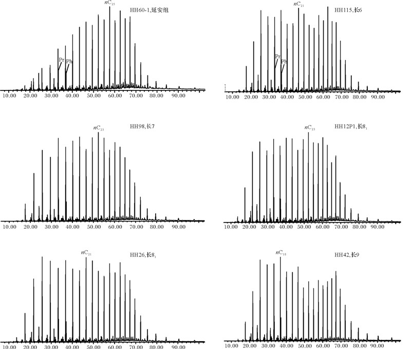
红河油田中生界各油层组原油中正构烷烃碳数分布范围为nC12~nC36,峰形多呈双峰型,主峰碳一般为nC15(或nC17)、nC25(或nC27)(图 3、表 1),表明原油的母 源先质为水生生物和陆源高等植物的混合体;∑C21-/∑C22+值分布范围为0.43~1.28,除少数几个样品外,大多小于1(表 1),反映出高碳数的正构烷烃略占优势,说明陆生高等植物在烃类生成中具有较大贡献。原油中正构烷烃奇偶优势基本消失或较微弱,CPI值分布在1.07~1.13,OEP值分布在1.02~1.12(表 1),反映出该区中生界原油均为成熟原油。
|
| 图 3 原油饱和烃m/z 85质量色谱图 Fig. 3 Oil saturated hydrocarbon m/z 85 mass chromatogram |
| 井名 | 层位 | 深度/m | 碳数范围 | 主峰碳 | Pr/C17 | Ph/C18 | Pr/Ph | OEP | CPI | ∑C21-/∑C22+ |
| HH60-1 | 延安组 | 1 886~1 892 | C13~C36 | nC25 | 0.64 | 0.52 | 1.12 | 1.03 | 1.09 | 0.43 |
| SK1-6 | 长6 | 1 741~1 755 | C12~C36 | nC15、nC23 | 0.29 | 0.29 | 1.07 | 1.12 | 1.07 | 0.88 |
| HH115 | 长6 | 2 283~2 293 | C12~C36 | nC15、nC27 | 0.30 | 0.29 | 1.10 | 1.09 | 1.09 | 0.81 |
| HH98 | 长7 | 2 041~2 048 | C13~C36 | nC23 | 0.25 | 0.28 | 0.93 | 1.05 | 1.10 | 0.88 |
| HH12P1 | 长81 | 2 281~2 292 | C12~C36 | nC15、nC25 | 0.32 | 0.33 | 1.03 | 1.07 | 1.13 | 0.90 |
| HH26 | 长81 | 2 122~2 127 | C12~C36 | nC17、nC23 | 0.28 | 0.27 | 1.10 | 1.12 | 1.09 | 0.91 |
| HH37P60 | 长81 | 2 630~2 690 | C12~C36 | nC17 | 0.32 | 0.33 | 1.02 | 1.06 | 1.11 | 1.19 |
| HH73 | 长81 | 2 265~2 269 | C13~C36 | nC18、nC29 | 0.32 | 0.33 | 1.02 | 1.04 | 1.10 | 0.90 |
| HH74P1 | 长81 | 2 585~2 660 | C12~C36 | nC15、nC23 | 0.25 | 0.22 | 1.14 | 1.04 | 1.09 | 0.77 |
| HH1054-6 | 长81 | 2 254~2 270 | C12~C36 | nC17、nC27 | 0.24 | 0.21 | 1.16 | 1.02 | 1.09 | 1.00 |
| HH42 | 长9 | 1 779~1 791 | C12~C36 | nC15、nC29 | 0.30 | 0.33 | 0.94 | 1.13 | 1.10 | 0.91 |
| HH55 | 长9 | 2 104~2 107 | C12~C36 | nC17、nC27 | 0.30 | 0.29 | 1.09 | 1.04 | 1.11 | 1.28 |
| HH113 | 长9 | 2 284~2 288 | C12~C36 | nC19 | 0.28 | 0.24 | 1.17 | 1.03 | 1.09 | 1.11 |
由于姥植比(Pr/Ph)可以反映早期叶绿素分解时的氧化还原环境,因此是一项重要的环境指标。一般认为,强还原沉积环境形成的原油为植烷优势型,其Pr/Ph值小于0.5;还原沉积环境形成的原油为姥植均势型,其Pr/Ph值分布于0.5~1.0;弱还原—弱氧化沉积环境形成的原油为姥鲛烷优势型,其Pr/Ph值分布于1.0~2.0[1,2,3]。红河油田中生界原油的Pr/Ph值分布范围较小(0.93~1.17),大多接近于1.0(表 1),反映出中生界不同油层组原油具有相似的母质来源。其中延安组原油Pr/Ph值为1.12,长6油层组原油Pr/Ph值为1.07~1.10,长7油层组原油Pr/Ph值为0.93,长81油层组原油Pr/Ph值为1.02~1.16,长9油层组原油Pr/Ph值为0.94~1.17(表 1)。可见,红河油田原油属姥植均势型或姥鲛烷优势型,形成于还原—弱还原沉积环境。
原油中的Pr/nC17值和Ph/nC18值通常用来研究生烃母质类型、源岩沉积环境和原油成熟度[4,5,6,7]。红河油田原油的Pr/nC17和Ph/nC18这两个比值在二者关系图中分布集中,且都落在混合相区域(图 4,图版引自文献7),反映他们具有相似的母质来源[1,7],原油母质类型为混合型。图 4中这些原油样品点位于氧化和还原环境的交汇区域或还原区域,表明原油形成于弱氧化—弱还原环境。
|
| 图 4 原油中Pr/nC17与Ph/nC18值相关图 Fig. 4 Cross plots of Pr/nC17 vs. Ph/nC18 ratios of the crude oil samples |
红河油田中生界各层组原油萜类化合物分布特征相似(图 5),总体表现为三环萜烷含量较低,而各 类五环三萜烷含量较高。五环三萜烷中以C30-藿烷 和C29-降藿烷含量最高,其次是C27-三降藿烷(Ts、Tm)和降新藿烷C29Ts,而C30重排藿烷和伽马蜡烷含量很低(图 5)。
|
| 图 5 延安组长9原油甾、萜烷质量色谱图 Fig. 5 Crude oil sterols terpane mass chromatogram of Yanan Formation to Chang 9 in Yanchang Formation |
一般认为三环萜烷源于菌类有机质,其含量也受到成熟度的影响,在高—过成熟原油中三环萜烷有时占绝对优势,而C27三降藿烷Ts/Tm既与成熟度有关,又与沉积环境相联系,成熟度越高,Ts/Tm值越大[8,9,10]。本区中生界原油中三环萜烷含量较低,受成熟度影响小,主要与生源的关系更为密切。原油中三环萜烷/五环三萜烷值较小且分布较为集中,变化范围在0.10~0.25之间,Ts/Tm值均大于1(1.02~1.12),且各油层组之间没有太大的变化(表 2),说明原油应具有相同的母质来源,且成熟度接近一致。原油中C31升藿烷22S/(22S+22R) 值为0.51~0.57(表 2),已接近平衡值,说明原油为成熟原油[8,11,12,13]。
原油中伽马蜡烷的相对含量与其源岩的沉积水体咸度密切相关,是表征水体盐度和水体分层程度的重要指标[14,15,16]。伽马蜡烷指数(伽马蜡烷/C30藿烷)在淡水湖泊沉积通常小于0.1,在微咸水沉积通常小于0.3,半咸水沉积该指数为0.3~0.7,而在咸水沉积通常大于0.7[14,15]。红河油田原油中伽马蜡烷指数较小,分布于0.09~0.26(表 2),说明原油形成于相似的淡水—微咸水湖泊沉积环境。
原油中C30重排藿烷含量低,C30重排藿烷/C30藿烷值介于0.07~0.22之间(表 2)。Peters等[8]研究认为,C30重排藿烷来源于含有黏土并沉积在弱氧化到氧化环境沉积物中的菌类有机质。红河油田中生 界原油中C30重排藿烷含量较低,与其沉积母源有机质处于弱还原—还原的沉积环境有关。
| 井名 | 层位 | ∑三环萜 /∑五环三萜 | Ts/Tm | C30重排藿烷/C30藿烷 | C30+藿烷相对含量(%) | 伽马蜡烷指数 | C3122S/(22S+22R) |
| HH60-1 | 延安组 | 0.13 | 1.03 | 0.09 | 36.19 | 0.26 | 0.51 |
| SK1-6 | 长6 | 0.12 | 1.06 | 0.08 | 32.43 | 0.14 | 0.55 |
| HH115 | 长6 | 0.13 | 1.09 | 0.07 | 35.17 | 0.21 | 0.56 |
| HH98 | 长7 | 0.12 | 1.12 | 0.12 | 31.87 | 0.16 | 0.55 |
| HH12P1 | 长81 | 0.10 | 1.07 | 0.14 | 31.56 | 0.18 | 0.54 |
| HH26 | 长81 | 0.12 | 1.06 | 0.11 | 35.88 | 0.22 | 0.54 |
| HH37P60 | 长81 | 0.15 | 1.09 | 0.17 | 32.90 | 0.23 | 0.54 |
| HH73 | 长81 | 0.25 | 1.06 | 0.21 | 39.69 | 0.21 | 0.54 |
| HH74P1 | 长81 | 0.23 | 1.02 | 0.15 | 37.60 | 0.24 | 0.55 |
| HH1054-6 | 长81 | 0.18 | 1.07 | 0.19 | 35.93 | 0.22 | 0.51 |
| HH42 | 长9 | 0.16 | 1.11 | 0.19 | 29.29 | 0.15 | 0.57 |
| HH55 | 长9 | 0.16 | 1.07 | 0.22 | 27.02 | 0.09 | 0.56 |
| HH113 | 长9 | 0.18 | 1.03 | 0.16 | 34.34 | 0.20 | 0.57 |
地质体中的甾烷类主要是在成岩过程中,由藻类、浮游动植物和高等植物等真核生物的甾醇衍生而来[14]。一般认为,C27胆甾烷通常来源于低等水生生物和藻类;C29胆甾烷主体生源为高等植物,部分硅藻及褐藻也可成为C29胆甾烷的母源前身物[14,15]。
红河油田原油C27、C28和C29甾烷的相对含量分别为25.0%~35.2%、26.7%~ 33.8%和32.2%~46.0%(表 3),这些值在图 6中分布在一个较小的范围内,在含量折线图中多呈不对称的“V” 型,反“L”型(图 7)。除个别样品(HH73)以C27甾烷含量较高外,其他样品均以C29甾烷含量占优势,反映出中生界原油来自相同的油源,且陆生高等植物是本区烃源岩中有机质的主要贡献者,但在局部层段也有丰富的低等水生生物的母质供给。
|
| 图 6 中生界各油层组原油规则甾烷相对组成 Fig. 6 Relative compositions of regular sterans of crude oils from the Mesozoic formation |
|
| 图 7 原油中不同碳数规则甾烷分布样式 Fig. 7 Distribution of different carbon number regular sterane of crude oils |
| 井名 | 层位 | 规则甾烷相对含量/% | 重排甾烷/规则甾烷 | 规则甾烷/藿烷 |
C2920S/ (20S+20R) | C29ββ/ (ββ+αα) | Dia-C2920S/ (20S+20R) | ||
| C27 | C28 | C29 | |||||||
| HH60-1 | 延安组 | 32.65 | 29.69 | 37.66 | 0.15 | 0.23 | 0.51 | 0.60 | 0.48 |
| SK1-6 | 长6 | 29.73 | 31.57 | 38.70 | 0.15 | 0.20 | 0.48 | 0.57 | 0.46 |
| HH115 | 长6 | 34.16 | 26.70 | 39.14 | 0.17 | 0.24 | 0.50 | 0.56 | 0.61 |
| HH98 | 长7 | 29.37 | 32.36 | 38.27 | 0.10 | 0.22 | 0.47 | 0.53 | 0.64 |
| HH12P1 | 长81 | 29.67 | 30.83 | 39.50 | 0.13 | 0.18 | 0.48 | 0.55 | 0.45 |
| HH26 | 长81 | 32.16 | 32.11 | 35.73 | 0.14 | 0.21 | 0.46 | 0.52 | 0.38 |
| HH37P60 | 长81 | 29.72 | 31.07 | 39.21 | 0.12 | 0.18 | 0.51 | 0.59 | 0.70 |
| HH73 | 长81 | 35.24 | 32.58 | 32.18 | 0.22 | 0.23 | 0.49 | 0.52 | 0.52 |
| HH74P1 | 长81 | 32.46 | 30.23 | 37.31 | 0.20 | 0.22 | 0.47 | 0.54 | 0.71 |
| HH1054-6 | 长81 | 31.63 | 26.97 | 41.39 | 0.13 | 0.20 | 0.51 | 0.58 | 0.56 |
| HH42 | 长9 | 29.94 | 33.82 | 36.24 | 0.09 | 0.20 | 0.47 | 0.53 | 0.69 |
| HH55 | 长9 | 25.01 | 28.95 | 46.05 | 0.08 | 0.21 | 0.48 | 0.55 | 0.62 |
| HH113 | 长9 | 30.65 | 29.09 | 40.25 | 0.14 | 0.24 | 0.51 | 0.58 | 0.50 |
原油中规则甾烷与藿烷的比值通常用来表征生烃母质中真核生物(主要是藻类和高等植物)与原核生物(细菌)的输入量。源于藻类生物的海相有机质具有高的规则甾烷/藿烷值(≥1)[17],而低的规则甾烷/藿烷值是陆源或者被微生物改造过的有机质特征[18]。红河油田原油样品的规则甾烷/藿烷值均较低,分布在0.18~0.24(表 3),反映出原油母质为陆源有机质,同时也可能存在一部分的微生物改造作用。
甾烷异构化参数αααC2920S/(20S+20R)和C29ββ/(ββ+αα)是很好的成熟度指标,二者均随着成熟度的增加而增大,反应平衡值分别为0.52~0.55和0.67~0.71[19],红河油田原油中C29甾烷20S/(20S+20R)值分布范围为0.46~0.51,C29ββ/(ββ+αα)值 分布范围为0.52~0.60(表 3),在图 8(图版引自文献20)中数据点均落在成熟区域,且分布较为集中,说明红河油田不同油层组原油成熟度相近,均属于成熟原油。另外,原油中重排甾烷/规则甾烷值也可以用来评价原油的成熟度[20,21,22],红河油田原油中重排甾烷/规则甾烷值为0.08~0.22,C29重排甾烷20S/(20S+20R)值为0.38~0.71(表 3),这些指标均反映了原油为成熟原油。
|
| 图 8 原油中C29甾烷20S/(20S+20R) 与C29甾烷ββ/(ββ+αα)值相关关系 Fig. 8 Correlativity between 20S/(20S+20R) and ββ/ (ββ+αα) in sterane C29 of the crude oils |
从前述原油的地球化学特征来看,红河油田不同油层组原油中反映沉积环境和成熟度的参数值大小差别不大,说明对红河油田中生界原油有油源贡献的烃源岩的形成环境和成熟度接近,中生界原油的来源基本一致。
据研究,鄂尔多斯盆地中上三叠统延长组泥页岩是中生界原油的主要烃源岩,优质烃源岩为延长组长7高有机质丰度的页岩,局部地区原油来源于长9上部黑色泥页岩,次要烃源岩为长7黑色泥岩,长8碳质泥岩可作为辅助烃源岩[23]。在镇原—泾川地区,长7泥页岩发育,连续性较好,总体呈条带状由东北向西南方向展布,其中页岩厚度10~16 m,泥岩厚度20~90 m,整体由东北向西南方向逐渐减薄,而长9上部的黑色泥页岩在该区不发育(厚度小于5 m)。
采集了红河油田9口井延长组不同层位的泥页岩样品并进行了系统的地球化学分析,用于该区的油源研究(表 4)。从原油与烃源岩中部分反映生源母质、沉积环境的生物标志化合物参数对比图(图 9)中可以看出,红河油田原油与镇泾地区长7油页岩具有很好的相关性,而与该区长8泥岩和长7泥岩的相关性较差。在原油与不同层位烃源岩生物标志化合物对比谱(图 10)中也可看出,红河油田原油和长7油页岩C30重排藿烷含量均很低,C29降藿烷含量较高,C29Ts含量介于C30重排藿烷和C29降藿烷之间,Ts和Tm含量较低且相对丰度接近。
而长7和长8泥岩的C30重排藿烷含量更低,几乎不含C29Ts,且Ts含量明显低于Tm。同时,原油和长7油页岩与长7和长8泥岩的C27、C28、C29甾烷分布特征明显不同,表现为原油和油页岩的C27甾烷丰度高,而长7和长8泥岩的C29甾烷丰度明显偏高(图 10)。可见,红河油田中生界原油与长7底部的张家滩油页岩具有亲缘关系,推测原油主要来源于长7油页岩。这与邓南涛等[24]认为鄂南地区长7油页岩为该区油源最大贡献者的认识相一致。
|
| 图 9 原油与不同层位烃源岩生物标志化合物参数相关图 Fig. 9 Correlation diagram of biomarkers parameter between crude oil and source rocks in different layers |
| 井号 | 层位 | 深度/m | Pr/Ph | Ts/Tm | C30重排藿烷/C30藿烷 | C30重排藿烷/C29Ts | 8β(H)-补身烷/8α(H)-补身烷 | C2920S/(20S+20R) | 岩性 |
| HH70 | 长7 | 2 276.3~2 277.5 | 1.38 | 0.65 | 0.32 | 1.11 | 0.53 | 0.47 | 深灰色泥岩 |
| HH67 | 长7 | 1 683.1~1 686.5 | 1.21 | 0.42 | 0.38 | 1.83 | 0.64 | 0.43 | 深灰色泥岩 |
| HH60 | 长7 | 2 215.9~2 217 | 1.26 | 0.48 | 0.52 | 1.23 | 0.89 | 0.46 | 深灰色泥岩 |
| HH12 | 长7 | 2 042.8~2 043.6 | 1.45 | 0.55 | 0.48 | 1.16 | 0.76 | 0.45 | 深灰色泥岩 |
| HH25 | 长7 | 2 076.2~2 078.6 | 1.12 | 1.05 | 0.28 | 0.31 | 1.13 | 0.51 | 油页岩 |
| HH105 | 长7 | 2 224.5~2 226.3 | 0.95 | 1.16 | 0.21 | 0.36 | 1.86 | 0.52 | 油页岩 |
| HH16 | 长7 | 2 082.5~2 083.3 | 1.03 | 1.13 | 0.18 | 0.72 | 1.23 | 0.47 | 油页岩 |
| ZJ19 | 长7 | 2 255.6~2 256.8 | 0.96 | 1.12 | 0.09 | 0.42 | 1.65 | 0.46 | 油页岩 |
| HH42 | 长8 | 1 713.9~1 716 | 1.12 | 0.46 | 0.36 | 0.83 | 0.53 | 0.51 | 深灰色泥岩 |
| HH25 | 长8 | 2 110.6~2 112.8 | 1.18 | 0.83 | 0.39 | 0.95 | 0.51 | 0.49 | 灰黑色泥岩 |
|
| 图 10 原油与不同层位烃源岩生物标志化合物对比谱 Fig. 10 Biomarker spectrum comparison between crude oil and source rocks in different layers |
红河油田中生界各油层组原油的地球化学特征相似,反映了它们来自相同的油源。原油中的正构烷烃以高碳数略占优势,五环三萜烷含量较高,规则甾烷/藿烷值较低,这些说明原油的母质除了菌藻类外,陆生高等植物也具有较大贡献。原油中Pr/Ph值分布范围小,大多接近于1,属姥植均势型或姥鲛烷优势型,伽玛蜡烷和C30+藿烷含量很低,反映了原油形成于还原—弱还原的淡水或微咸水环境。原油中正构烷烃奇偶优势不明显,OEP值和CPI值均接近于1.0,C31升藿烷和C29甾烷异构化参数接近或达到平衡值,这些均说明原油为成熟原油。红河油田原油主要来自延长组长7底部的油页岩。
| [1] | Li Maowen, Lin Renzi, Liao Yongsheng, et al. Organic geochemistry of oils and condensates in the Kekeya field,southwest depression of the Tarim Basin, China[J]. Organic Geochemistry, 1999, 30(1): 15-37. |
| [2] | Ten Haven H L, De Leeum J W, Rullkötter J, et al. Restricted utility of the pristane/ phytane ratio as a palaeo environmental indicator[J]. Nature, 1987, 330(6149): 641-643. |
| [3] | 梅博文,刘希江. 我国原油中异戊间二烯烷烃的分布及其与地质环境的关系[J]. 石油与天然气地质,1980,1(2):99-115.[Mei Bowen, Liu Xijiang. The distribution of isoprenoid alkanes in China's crude oil and its relation to the geologic environment[J].Oil & Gas Geology, 1980, 1(2): 99-115.] |
| [4] | Connan J, Cassou A M. Properties of gases and petroleum liquids derived from terrestrial kerogen at various maturation levels[J] .Geochimica et Cosmochimica Acta, 1980, 44(1): 1-23. |
| [5] | 陈建平,黄第藩,陈建军等. 酒东盆地油气生成和运移[M]. 北京:石油工业出版社,1996:14-238. [Chen Jianping, Huang Difan, Chen Jianjun, et al. Oil and Gas Generation and Migration in Jiudong Basin[M]. Beijing: Petroleum Industry Press, 1996: 14-238.] |
| [6] | 约翰斯. 沉积记录中的生物标志物[M]. 王铁冠,等译. 北京:科学出版社,1991:16-18.[Johns R B. Biomarkers in the Sedimentary Record[M]. Translated by Wang Tieguan, et al. Beijing: Science Press, 1991: 16-18.] |
| [7] | Peters K E, Fraser T H, Amris W, et al.Geochemistry of crude oils from eastern Indonesia[J].AAPG Bulletin, 1999, 83(12): 1927-1942. |
| [8] | Peters K E, Moldowan J M. The Biomarker Guide: Interpreting Molecular Fossils in Petroleum and Ancient Sediments[M].Englewood Cliffs, New Jersey: Prentice Hall, 1993: 110-265. |
| [9] | 王启军,陈建渝. 油气地球化学[M]. 武汉:中国地质大学出版社,1988:108-113.[Wang Qijun, Chen Jianyu. Oil and Gas Geochemistry[M]. Wuhan: China University of Geosciences Press, 1988: 108-113.] |
| [10] | Kirk D N, Shaw P M. Backbone rearrangements of steroidal 5-enes[J]. Journal of Chemical Society, Perkin Transactions, 1975(22): 2248-2294. |
| [11] | 段毅,王智平,张辉,等. 柴达木盆地原油烃类地球化学特征[J]. 石油实验地质,2004,26(4):359-364.[Duan Yi, Wang Zhiping, Zhang Hui, et al. Geochemical characteristics of hydrocarbons in crude oils from the Qaidam Basin[J]. Petroleum Geology & Experiment, 2004, 26(4): 359-364.] |
| [12] | Li Maowen, Yao Huanxin, Fowler M G, et al. Geochemical constraints on models for secondary petroleum migration along the upper Devonian rimbey-meadow brook reef trend in central Alberta, Canada[J]. Organic Geochemistry, 1998, 29(1/2/3): 163-182. |
| [13] | Seifert W K, Moldowan J M. The effect of thermal stress on source rock quality as measured by hopane stereochemistry[J]. Physics and Chemistry of the Earth, 1980, 12: 229-237. |
| [14] | Moldowan J M, Seifert W K, Gallegos E J. Relationship between petroleum composition and depositional environment of petroleum source rocks[J]. American Association of Petroleum Geologists Bulletin, 1985, 69(8): 1255-1268. |
| [15] | Philp R P, Fan P, Lewis C A, et al. Geochemical characteristics of oils from the Chaidamu, Shanganning and Jianghan basins, China[J]. Journal of Southeast Asian Earth Science, 1991, 5(1/2/3/4): 351-358. |
| [16] | 傅家谟,徐芬芳,陈德玉,等. 茂名油页岩中生物输入的标志化合物[J]. 地球化学,1985(2):99-114.[Fu Jiamo, Xu Fenfang, Chen Deyu, et al. Biomarkers compounds of biological inputs in Maoming oil shale[J]. Geochimica, 1985(2): 99-114.] |
| [17] | Hanson A D, Zhang S C, Moldowan J M, et al. Molecular organic geochemistry of the Tarim Basin, Northwest China[J]. AAPG Bulletin, 2000, 84(8): 1109-1128. |
| [18] | Tissot B P, Welte D H. Petroleum Formation and Occurrence: A New Approach to Oil and Gas Exploration[M].New York: Springer-Verlag, 1984: 1-699. |
| [19] | Seifert W K, Moldowan J M. Use of biological markers in petroleum exploration[C]//Methods in Geochemistry and Geophysics. Amsterdam: Elsevier, 1986: 261-290. |
| [20] | 柳广弟,杨伟伟,冯渊,等. 鄂尔多斯盆地陇东地区延长组原油地球化学特征及成因类型划分[J]. 地学前缘,2013,20(2):108-115.[Liu Guangdi, Yang Weiwei, Feng Yuan, et al. Geochemical characteristics and genetic types of crude oil from Yanchang Formation in Longdong area, Ordos Basin[J]. Earth Science Frontiers, 2013, 20(2): 108-115.] |
| [21] | 朱扬明,张春明,张敏,等. 沉积环境的氧化还原性对重排甾烷形成的作用[J]. 沉积学报,1997,15(4):104-108.[Zhu Yangming, Zhang Chunming, Zhang Min, et al. The effect of oxidation reduction nature of depositional environments on the formation of diasteranes[J]. Acta Sedimentologica Sinica, 1997, 15(4): 104-108.] |
| [22] | 侯读杰,张林晔. 实用油气地球化学图鉴[M]. 北京:石油工业出版社,2003:129-130.[Hou Dujie, Zhang Linye. Illustrated Handbook of Oil and Gas Geochemistry[M]. Beijing: Petroleum Industry Press, 2003: 129-130.] |
| [23] | 张文正,杨华,杨奕华,等.鄂尔多斯盆地长7 优质烃源岩的岩石学、元素地球化学特征及发育环境[J].地球化学,2008,37(1):59-64.[Zhang Wenzheng, Yang Hua, Yang Yihua, et al. Petrology and element geochemistry and development environment of Yanchang Formation Chang-7 high quality source rocks in Ordos Basin[J]. Geochimica, 2008, 37(1): 59-64.] |
| [24] | 邓南涛,张枝焕,鲍志东,等. 鄂尔多斯盆地南部延长组有效烃源岩地球化学特征及其识别标志[J].中国石油大学学报:自然科学版,2013,37(2):135-145.[Deng Nantao, Zhang Zhihuan, Bao Zhidong, et al. Geochemical features and identification marks for efficient source rocks of Yanchang Formation in southern Ordos Basin[J]. Journal of China University of Petroleum, 2013, 37(2): 135-145.] |
2015, Vol. 33

