扩展功能
文章信息
- 张文彪, 刘志强, 陈志海, 许华明, 林煜, 王静伟
- ZHANG WenBiao, LIU ZhiQiang, CHEN ZhiHai, XU HuaMing, LIN Yu, WANG JingWei
- 安哥拉深水水道地质知识库建立及应用
- Establishment and Application of Geological Data Base on Deep-water Channels in Angola Block
- 沉积学报, 2015, 33(1): 142-152
- ACTA SEDIMENTOLOGICA SINCA, 2015, 33(1): 142-152
- 10.14027/j.cnki.cjxb.2015.01.015
-
文章历史
- 收稿日期:2014-03-07
- 收修改稿日期:2014-05-12
2. 中国石油东方地球物理公司油藏地球物理研究中心 河北涿州 072750
2. Research Centre of Reservoir Geophysics, BGP Inc. of CNPC, Zhuozhou, Hebei 072750
当前深水沉积依然是世界油气勘探开发的热点,也是石油地质工作者一直热衷研究的前沿领域,深水水道[1]作为当前一种重要沉积类型,备受国内外学者关注。早期学者多关注于深水沉积要素的分类和描述[2, 3, 4, 5],近些年,随着墨西哥湾、西非等陆坡区相继获得油气重大发现,为进一步降低勘探风险,关注焦点放在了水道沉积机理研究、控制要素分析以及构型表征等方面[6, 7, 8, 9, 10, 11, 12, 13, 14]。对于西非陆坡区而言,国内外学者针对深水水道的分类和构型模式做了比较深入的研究,有效指导了勘探工作[15, 16, 17, 18]。但在近些年的油田开发中也暴露出一些问题,突出表现为储层非均质性强,单一水道砂体之间叠置关系复杂,难以建立定量化的地质模型来指导油田高效开发。为满足该区开发初期的生产要求,需要搞清水道砂体的分布样式和定量关系,即建立针对复合水道以及内部单一水道级别的定量化地质知识库,以提高研究区建模精度。分析前人建库方法主要以密井网区、野外露头以及现代沉积为主,各种方法均存在优缺点[19, 20, 21, 22, 23, 24, 25, 26],鉴于深水油田密井网不够现实,相应露头及现代沉积又比较缺乏的现状,笔者利用研究区浅层高频三维地震信息,按照“将今论古”思想,基于地震地层学和地震沉积学建立了定量化地质知识库,丰富了研究区深水水道储层认识。最后基于这些定量参数采用基于目标模拟的方法指导了该区三维储层模型的建立。 1 研究区概况
下刚果盆地是西非主要的含油气盆地之一,其演化与非洲西海岸其它盆地类似,主要经历了裂谷期、过渡期和被动陆缘三个阶段,其中在被动陆缘阶段的后期开始了刚果扇的发育。该盆地内发现了多个巨型油气田,具有良好的勘探潜力[27, 28, 29, 30]。研究区位于该盆地的中南部,包括A区块和B区块,均位于深海陆坡位置,构造位置典型,水深500~1 900 m(图 1),面积合计近8 000 km2;目的层为中新统马兰博组,沉积类型为整体海退环境下形成的深水水道沉积,从工程意义上讲也属于典型的深水区。
|
| 图 1 安哥拉A&B区块位置图 Fig. 1 Location of Block A&B in Angola |
研究区属于深水区,井少且井距大,仅仅依靠井眼信息来表征储层的规模和特征不现实。但是研究区有高密度面元(12.5 m×12.5 m)的叠后深度偏移(PSDM)地震资料,目的层受白垩系盐岩的活动及断层的影响,地震分辨率尤其是地震成像受到一定影响,信噪比不高,主频近30 Hz,难以精细预测储层分布特征;而研究区浅层(上新统)的地震资料品质较好,信噪比高,优势频宽6~95 Hz,主频近60 Hz,纵向可以分辨6 m左右的砂体厚度,尽管缺乏井资料标定,但由于其较高的分辨率,可以有效弥补深层地震信息分辨率低的缺陷,而且在浅层同样发育丰富的浊积水道沉积,受后期构造活动影响小,非常适合作为原型模型来研究深水水道的几何形态、叠置样式、分布规律和定量规模等,建立相应地质知识库。 2 单一水道特征及定量关系
自上世纪40年代开始,众多学者开始对浊积水道进行研究,最初主要利用古代露头的资料,近20年来随着深海钻探及地震勘探技术大幅进步,现代沉积、井震联合信息尤其是浅层的高频地震信息被广泛应用到浊积水道研究中[31, 32, 33]。常用的地震属性有相干体、均方根振幅(RMS)(图 2)以及分频属性等,对于刻画水道外部形态结构和内部迁移特征具有很好的指示作用。关于水道的特征要素主要包括宽度、深度、弯曲度、弯曲弧长(Meander-arc height)、弯曲带长(meander length)等[34](图 3),而这些要素分布特征受到沉积和构造综合因素的影响。
|
| 图 2 研究区深水水道分布(浅层地震信息,相干体沿层切片) Fig. 2 Distribution of deep-water channels in part of the study area(coherence slice of shallow seismic data) |
单一水道是指具有伸长的负向地貌特征,由单一期次的重力流沉积物充填而成的成因单元[35, 36],是水道体系中最基本的沉积单元,规模较小,宽度多为数百米,厚度一般介于几米~几十米,属小尺度单元,对单一水道开展研究有助于更加深入了解复合水道砂的形成过程,可大大降低开发风险。
国内外学者通过对多个现代海底扇的研究发现浊积水道形态存在差异,这种差异主要体现在弯曲程度上,根据弯曲度大小可将其分为顺直型(低弯曲段)和弯曲型(高弯曲段),顺直型水道平均弯曲度为1.2,弯曲型水道平均弯曲度1.8,这种弯曲度的差异受多种因素影响,主要包括沉积地形和坡度、距物源远近、沉积物粒度以及海平面升降等[37]。
关于弯曲型单一水道的砂体分布特征即迁移方式目前学术界主要存在两种观点,一种观点认为,其活动方式类似于曲流河点坝模式,但两者又不完全相同[38, 39],即单一水道仅沿着侧向(垂直于古流向)整体迁移,不存在整体“下游扫动”分量(模式一),平面上呈环状结构;另一种观点认为,活动水道既沿侧向又沿着古流向整体迁移,即同时具有“侧向迁移” 和“下游(古流向)扫动” 两种迁移分量(模式二)。通过地层切片分析,笔者认为研究区浊积水道迁移模式符合第一种模式,地震剖面上呈叠瓦状反射结构(图 4),在RMS属性沿层切片平面图上(图 5),侧积复合体呈现出明显的“同心半环状”,红—黄色振幅属性高值区代表水道砂体分布,且明显位于单一水道轴部,而蓝—紫色的属性低值区则代表细粒的泥质沉积,明显位于水道的边部,符合单一水道从轴部到边部砂体变薄,泥质含量增大的认识。
|
| 图 4 单一水道摆动迁移模式图(Peakall,2000,略改) Fig. 4 Migration pattern of single channel (modified from Peakall,2000) |
|
| 图 5 复合水道内部单一水道摆动特征(研究区浅层地震资料,RMS沿层切片) Fig. 5 Migration characteristics of single channels within composite channel(RMS slice of shallow seismic data) |
单一水道的规模研究基于浅层高频地震的单一水道识别结果。笔者依托研究区浅层高频地震资料,通过地震相和地震属性切片综合分析,选取了研究区7条单一水道作为样本,从地震剖面和相干体属性地层切片上选取了54个样品点对其宽、深进行直接测量(图 6)并统计分析。相应结果可以指导安哥拉地区同类油气田对地下单一水道的定量认识。
|
| 图 6 单一水道平面剖面反射特征(浅层地震信息,相干&振幅) Fig. 6 Characteristics of single channels in plane and cross-section(coherence and amplitude of shallow seismic data) |
从测量结果的统计分析(图 7)表明:①单一水道深度一般介于10~35 m,平均为23 m,其中深度为15~30 m 的水道占了全部水道的85%;②单一水道宽度一般介于150~450 m,平均为300 m,其中95%的水道宽度小于400 m,宽度介于200~400 m的占了86%,11%的水道宽度小于200 m;③单一水道的宽深比介于10~18,平均为13。
|
| 图 7 单一水道规模参数统计分析结果 Fig. 7 Statistical analysis results of scale parameters about single channel |
由于单一水道属于单期成因的沉积单元,类似于陆上曲流河的单期活动河道[40],其深度与宽度之间可能存在一定的关系。对单一水道的宽度、深度数据进行相关性分析,经过交会图分析发现,单一水道的宽度(w)与深度(h)之间存在较好的指数正相关关系(图 7右下),关系式为:w=8.102e0.003 3 h,复相关系数为83.8%。在一定范围内,水道的深度随着宽度的增大而加深,且增长速率呈上升趋势。 2.2.2 弯曲度、弯曲弧长(Meander-arc height)与弯曲带长(Meander-belt length)
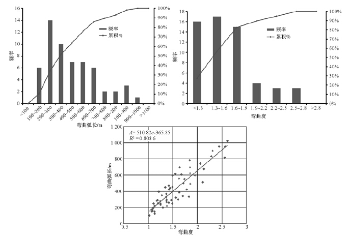
弯曲带长反映了一个完整蛇曲段内水道前进的距离,可能与底型坡度有较大关系,鉴于样本获取关系本次仅统计了弯曲带长分布范围,未对其与底型坡度关系进行深入研究;弯曲弧长大小反映了单一水道在平面摆动能力的强弱,关于单一水道弯曲弧长与弯曲度关系的研究,相关报道较少,选取了研究区典型单一水道的59个样品点对水道的弯曲弧长和相应弯曲度进行了精细测量,针对其分布特征和相关性开展了统计研究工作。
研究结果(图 8)表明:①单一水道弯曲弧长介于100~1 020 m,平均440 m,其中小于800 m的占86%;②单一水道弯曲度介于1~2.8,平均1.58,就统计比例来看其低弯曲度(≤1.3)段占27.5%,高弯曲度段(>1.3)占到72.5%,当弯曲度达到一定程度(弯曲度>5)会出现截弯取直(图 6),在这里需要注意的是受区域位置所限,统计范围内样本数量未能全面反映单一水道弯曲度大小的分布特征,但在该研究区仍具有一定代表性;③统计单一水道弯曲弧长(A)与弯曲度(c)的关系,发现两者之间呈良好的线性正相关关系,关系式为:A = 510.82c-365.85,复相关系数为80.9%。弧长越大说明单一水道的侧向迁移能力越强,弯曲度也随之增大,但是弯曲弧长也不会无限制增大,当弯曲度达到一定程度(>5)的时候会出现截弯取直;④还对研究区单一水道的弯曲带长分布进行了统计,统计分布范围为700~1 250 m,平均为950 m。
|
| 图 8 单一水道形态学参数统计分析结果 Fig. 8 Statistical analysis results of morphometric parameters about single channel |
复合水道是指由一系列物源相同,水动力条件和充填特征相似的单一水道,在准层序内部按一定的空间叠置样式组合而成的水道集合[18],复合水道是由多条单一水道在侧向或垂向叠置组成,属中等尺度规模单元,通过浅层高频地震信息研究发现其内部叠置模式主要受单一水道迁移特征影响。
对复合水道的弯曲段进行研究,受地形坡度、物源供给以及搬运距离等综合因素影响,水道迁移特征存在差异,从地震剖面反射特征来看主要呈叠瓦状构造(图 9),总结研究区水道迁移模式(图 9),主要包括侧向迁移(Ⅰ)、斜列迁移(Ⅱ)和摆动迁移(Ⅲ)三类模式,其中Ⅰ类模式侧向迁移比较明显,垂向迁移特征不明显,主要发育在高弯曲(弯曲度>1.3)复合水道段,主要受沉积自旋回作用影响,其侧向迁移拼接造成砂体平面上连片分布,不同水道间在高程上有差异,但不明显;Ⅱ类和Ⅲ类模式侧向和垂向迁移均明显,主要发育在低弯曲(1<弯曲度≤1.3)复合水道段,主要受沉积异旋回作用影响,Ⅱ类水道迁移沿着同一方向呈雁列式,Ⅲ类水道摆动方向不固定,这两类水道在垂向和侧向均存在叠置,不同水道间高程差明显,造成其砂体空间上非均质性更强,平面来看受水道切叠程度影响砂体呈宽条带状分布,但宽度范围较Ⅰ类略小。
|
| 图 9 复合水道地震响应特征及剖面迁移模式(研究区浅层地震信息) Fig. 9 Reflection characteristics and migration patterns both in plane and cross-section about composite channel |
复合水道规模研究主要是基于定性的模式认识以及精细解剖结果。笔者依托研究区浅层高频地震资料,通过地震相和地震属性沿层切片综合分析,选取了研究区9条复合水道作为样本,从相应的相干体属性平面图以及地震剖面上选取了78个样品点对其弯曲度、宽度、深度和宽深比等参数进行了测量和计算,由于复合水道内部单一水道数量及摆动方式存在差异,统计过程中需要区别处理。对于宽度和深度,均按照(图 10)在剖面上测量复合水道的外部包络线;而对于弯曲度测量,如果该复合水道由一条单一水道通过多期垂向叠置构成则直接按照单一水道的计算方式,如果该复合水道由多条单一水道侧向拼接构成,测量过程中采取一种平均化的方式,取复合水道带的中线(图 10)作为测量线,然后按照单一水道计算方法。最后将该统计结果进行汇总,相应结果可以指导同类油气田对地下复合水道的定量认识。
|
| 图 10 复合水道参数分布及测量方法(研究区浅层地震信息) Fig. 10 Distribution and measurement methods of composite channel parameters (shallow seismic data) |
对研究区复合水道的测量数据进行统计分析(图 11)表明: ①复合水道宽度介于240~2 400 m,平均为970 m,宽度介于300~1 500 m的占了全部的近85%;②复合水道深度介于22~185 m,平均为82 m,其中深度为30~120 m 的水道占了全部水道的75%;③复合水道的宽深比介于5~23,平均为12,宽深比介于8~16的占到了92%;④关于复合水道宽度与深度的关系,由于其内部单一水道的数目存在差异,摆动方式也处于变化的过程,影响因素过多,所以整体统计其相关性较差;但如果将统计条件进行限制(相同的单一水道数目,相同的摆动方式),如(图 11右下)为筛选的其中3条相同条件的复合水道得到的统计结果,发现其宽度(w)与深度(h)之间也存在一定的正相关关系,关系式为:w=15.9 h+294.8,复相关系数72%,但受研究区样品点限制该统计结果代表性不强,而且要求的条件较苛刻,该关系是否成立以及能否推广需要进一步研究。
|
| 图 11 复合水道定量规模参数统计分析结果 Fig. 11 Statistical analysis results of scale parameters about composite channel |
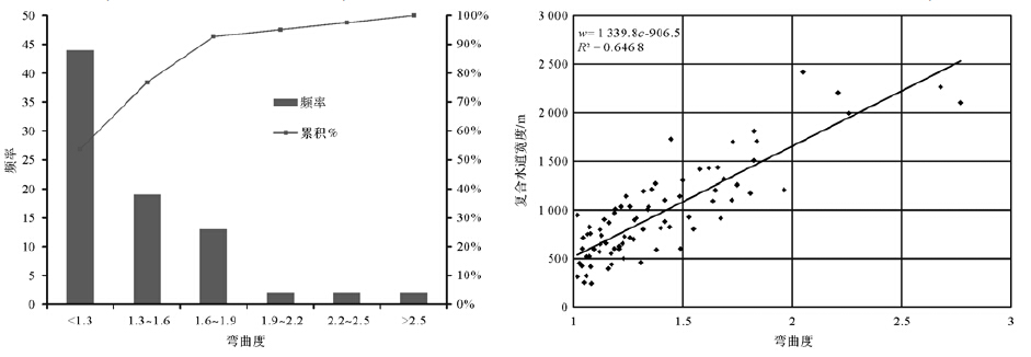
通过对复合水道的弯曲度、宽度进行统计分析(图 12)发现:①复合水道的弯曲度介于 1~2.7之间,平均为1.38,根据弯曲度的大小,研究区低弯曲段(1<弯曲度≤1.3)占56%,高弯曲段(弯曲度>1.3)占到44%,与单一水道弯曲度分布特征(低弯曲段27.5%,高弯曲段72.5%)相比呈相反的比例特征,而且研究区复合水道未见到截弯取直(弯曲度>5)现象,主要因为水道复合体形成经历了内部单一水道多次整体迁移和多次局部截弯取直,所以其整体的弯曲程度要较单一水道弱。②整体统计复合水道宽度与弯曲度之间的关系,基本上没有太大相关性,但如果用同样的限制条件(相同的单一水道数目,相同的摆动方式)筛选相同类型的复合水道,对采样点数据分析发现宽度(w)与弯曲度(c)之间也存在一定正相关性,关系式为:w= 1 339.8c-906.5,复相关系数为64.7%。分析原因认为是弯曲度越大,说明单一水道的迁移能力越强,所以复合水道的宽度也会随之增大。但这种统计关系同样存在条件苛刻、样品点受限问题,关系是否成立需要更多资料的支撑,有待于进一步研究。
|
| 图 12 复合水道形态学参数统计分析结果 Fig. 12 Statistical analysis results of morphometric parameters about composite channel |
综上分析,由于复合水道属于多期成因的沉积单元,影响其规模分布的因素较多,包括单一水道的数目、摆动方式以及沉积的地形坡度等等。所以要想寻找复合水道规模参数之间的关系比较困难,而且在指导实际生产中没有单一水道的意义重大。笔者在此借助研究区有限的数据对其关系进行了探讨,存在诸多不足,进一步的研究结论还需继续探索。 4 应用
该地质知识库中的诸多参数均可在生产中得到应用,比如通过了解单一水道的宽度规模在300 m左右,在开发此类油藏时井距不宜过大,切物源方向井距可控制在200~400 m;同样对于复合水道砂体油藏在设计井距时也可以参考统计的规模范围;借助单一水道的宽、深关系式,可以从井上单一砂体(单一水道)的厚度反推单一砂体(单一水道)的宽度,提高对砂体分布的认识;通过了解砂体的叠置关系,还可以指导寻找剩余油分布区以及设计水平井等。此外,地质知识库也是目前制约地质建模精度的一个重要因素,只有不断完善地质模式,建立更多的定量化认识,才能真正提高建模的质量。笔者在此以地质建模为例来说明该地质知识库的应用效果。 4.1 地质建模方法介绍
基于以上建立的地质知识库,采用基于目标方法[41, 42]针对研究区深层储层开展了三维地质建模工作。研究区M油田目的层为上渐新统,距海底深度1 200~1 800 m,目前有钻井三口,1口探井Well 1以及2口评价井Well 2和Well 3,钻井揭示该目的层储层为典型深水水道沉积,受盐棚遮挡影响,M油田目的层地震资料品质较差,成像模糊,纵向分辨率不高,通过分频及均方根振幅(RMS)属性提取,仅能识别出复合水道级别的砂体边界,复合水道内单一水道分布形态很难确定,针对这种不确定性,拟结合已建立的地质知识库采用基于目标模拟的方法建立复合水道内部单一水道分布模型。
利用该方法的关键技术就在于对目标体参数的设置,针对本研究区则主要体现在水道规模、形态(弯曲度等)、数量等参数的设置。水道规模包括水道的宽度和厚度,单一水道厚度可以在单井上解释统计,然后利用知识库中统计的经验公式反算水道宽度,同时参考已有的水道规模参数分布特征进行校正;形态特征则包括水道的弯曲度、弯曲弧长和弯曲带长等,这些参数的分布范围和统计规律都已包含在上述地质知识库中,可直接引用;关于单一水道数量的确定,由于研究区钻井少,更无水平井标定,目前采用的方法是用复合水道宽度除以单一水道宽度进行估算,由于单一水道在复合水道内部迁移方式是整体迁移,所以通过这种宽度范围来进行限制相对比较科学,可以在很大程度上减小不确定性。 4.2 地质建模结果
以上述水道参数为控制,井数据为约束,应用基于目标模拟的方法,对M油田目的层复合水道内部单一水道分布进行了50次随机模拟,对结果进行比对,优选了一个模型如(图 13)所示,从模拟结果来看,平面上水道迁移方式与已有认识基本吻合,剖面上内部单一水道形态呈“顶平底凸”透镜状,且水道间迁移叠置关系明显,符合已有地质模式。
|
| 图 13 安哥拉M油田上渐新统某小层单一水道建模结果 Fig. 13 Modeling results of single channels within a layer of Upper Oligocene in M oilfield |
该地质知识库的建立是基于安哥拉典型区块的大量数据,结合以上应用效果,说明在本区域以及其它区域相似油藏均具有推广意义。在几近相同的沉积背景下,以浅层水道沉积作为深层水道沉积的原型模型,通过对原型模型的深层次剖析和定量研究,指导深层油气藏的开发生产,是降低深水油藏开发风险的有效方法。 5 结论与讨论
(1) 研究区单一水道活动方式类似于曲流河点坝模式,即单一水道仅沿侧向(垂直于古流向)整体迁移,不存在整体“下游扫动”分量,平面上侧积复合体呈“同心半环状”。单一水道砂体以垂向加积方式充填在轴部,厚度向边部减薄。单一水道宽度一般介于150~450 m,深度一般介于10~35 m,宽深比介于10~18,宽度与深度之间呈较好的指数正相关关系;弯曲弧长介于100~1 020 m,弯曲度介于1~2.8,弯曲带长分布范围为700~1 250 m,弯曲弧长与弯曲度呈良好的线性正相关关系。
(2) 根据复合水道内部单一水道迁移特征,研究区复合水道样式包括(Ⅰ)侧向迁移、(Ⅱ)斜列迁移和(Ⅲ)摆动迁移三类模式,(Ⅰ)类主要发育在高弯曲段(弯曲度>1.3),Ⅱ类和Ⅲ类主要发育在低弯曲段(1<弯曲度≤1.3)。水道复合体宽度一般介于240~2 400 m,深度介于22~185 m,宽深比介于5~23,弯曲度介于 1~2.7。
(3) 建立了安哥拉地区深水水道地质知识库,丰富了深水水道定量分布模式,并通过基于目标方法成功应用到实际地质建模中,建模结果更加符合地质模式,该地质知识库能够指导生产并具有推广意义。
(4) 当前,采用多点地质统计学通过建立训练图像库来进行浊积砂体建模是研究的热点和趋势,本文在建立地质知识库定量化方面做了有力补充,但受研究范围所限还需要继续建立健全深水水道沉积模式库,更好指导储层研究。
致谢 感谢审稿专家及编辑部老师提供的修改建议,感谢段太忠专家以及林煜师兄在论文修改过程中提供的建设性意见。
| [1] | Bouma A H. Introduction to submarine fans and related turbidite systems[C]//Bouma H, Normark W R, Barnes N E. Submarine Fans and Related Turbidite Systems. New York: Springer-Verlag, 1985: 3-5. |
| [2] | Walker R G. Deep-water sandstone facies and ancient submarine fans: Models for exploration for stratigraphic traps[J]. AAPG Bulletin, 1978, 62(6): 932-966. |
| [3] | Mutti E, Normark W R. Comparing examples of modern and ancient turbidite systems: Problems and concepts[M]//Leggett J K, Zuffa G G. Marine Clastic Sedimentology. London: Graham and Trotman, 1987: 1-38. |
| [4] | BrocherayS, Cremer M, Zaragosi S, et al. 2000 years of frequent turbidite activity in the Capbreton Canyon (Bay of Biscay)[J]. Marine Geology, 2014, 347: 136-152 |
| [5] | 吕明,王颖,陈莹. 尼日利亚深水区海底扇沉积模式成因探讨及勘探意义[J]. 中国海上油气,2008,20(4):275-282.[Lü Ming, Wang Ying, Chen Ying. A discussion on origins of submarine fan deposition model and its exploration significance in Nigeria deep-water area[J]. China Offshore Oil and Gas, 20(4): 275-282.] |
| [6] | 李磊,王英民,黄志超,等. 尼日尔三角洲深水区层序地层及地震相研究[J]. 沉积学报,2008, 26(3):407-416. [Li Lei, Wang Yingmin, Huang Zhichao, et al. Study on sequence stratigraphy and seismic facies in deep-water Niger Delta[J].Acta Sedimentologica Sinica, 2008, 26(3): 407-416.] |
| [7] | 李胜利,于兴河,谢玉洪,等. 滨浅海泥流沟谷识别标志、类型及沉积模式——以莺歌海盆地东方1-1气田为例[J]. 沉积学报,2010,28(6):1076-1080.[Li Shengli, Yu Xinghe, Xie Yuhong, et al. Mud flow gully identification mark, type and deposition model in the littoral and neritic marine: A case study of Dongfang1-1 gas field in Yinggehai Basin[J]. Acta Sedimentologica Sinica, 2010, 28(6): 1076-1080.] |
| [8] | 赵晓明,吴胜和,刘丽. 西非陆坡区深水复合水道沉积构型模式[J]. 中国石油大学学报:自然科学版,2012,36(6):1-5.[Zhao Xiaoming, Wu Shenghe, Liu Li. Sedimentary architecture model of deep-water channel complexes in slope area of West Africa[J]. Journal of China University of Petroleum, 2012, 36(6): 1-5.] |
| [9] | 于水,程涛,陈莹. 尼日尔三角洲盆地深水沉积体系特征[J]. 地球科学,2012,37(4):763-770.[Yu Shui, Cheng Tao, Chen Ying. Depositional characteristics of deepwater systems in the Niger Delta Basin[J]. Earth Science, 2012, 37(4): 763-770.] |
| [10] | 李胜利,于兴河,刘玉梅,等. 水道加朵体型深水扇形成机制与模式——以白云凹陷荔湾3-1地区珠江组为例[J]. 地学前缘,2012,19(2):32-40.[Li Shengli, Yu Xinghe, Liu Yumei, et al. Formation mechanism and pattern of deep-water fan with channel and lobe: A case study of the Zhujiang Formation in Liwan3-1 area, Baiyun depression [J]. Earth Science Frontiers, 2012, 19(2): 32-40.] |
| [11] | Clarke J D,Pickering K T. Submarine Channels: Processes and Architecture[M]. London: Vallis Press, 1996. |
| [12] | Sawyer D E, Flemings P B, Shipp R C,et al. Seismic geomorphology, lithology, and evolution of the Late Pleistocene Mars-Ursa turbidite region, Mississippi Canyon area, northern Gulf of Mexico[J]. AAPG Bulletin, 2007, 91(2): 215-234. |
| [13] | McDonnell A, Loucks R G, Galloway W E. Paleocene to Eocene deep-water slope canyons, western Gulf of Mexico: Further insights for the provenance of deep-water offshore Wilcox Group plays[J]. AAPG Bulletin, 2008, 92(9):1169-1189. |
| [14] | Labourdette R, Bez M. Element migration in turbidite systems: Random or systematic depositional processes[J]. AAPG Bulletin, 2010, 94(3): 345-368. |
| [15] | Kolla V, Bourges P, Urruty J M, et al. Evolution of deep-water Tertiary sinuous channels offshore Angola (west Africa) and implications for reservoir architecture[J]. AAPG Bulletin, 2001, 85(8): 1373-1405. |
| [16] | Cross N E, Cunningham A, Cook R J,et al. Three-dimensional seismic geomorphology of a deep-water slope-channel system: The Sequoia field, offshore west Nile Delta, Egypt[J]. AAPG Bulletin, 2009, 93(8): 1063-1086. |
| [17] | 赵晓明,吴胜和,刘丽. 尼日尔三角洲盆地Akpo油田新近系深水浊积水道储层构型表征[J]. 石油学报,2012,33(6):1049-1058.[Zhao Xiaoming, Wu Shenghe, Liu Li. Characterization of reservoir architectures for Neogene deepwater turbidity channels of Akpo oilfield, Niger Delta Basin[J]. Acta Petrolei Sinica, 2012, 33(6): 1049-1058.] |
| [18] | Lin Yu, Wu Shenghe, Wang Xing, et al. Composite sandbodies architecture of deep-water turbidite channels in the Niger Delta Basin[J]. Acta Geologica Sinica, 2014, 88(5):1801-1803. |
| [19] | 李宇鹏,吴胜和,岳大力. 现代曲流河道宽度与点坝长度的定量关系[J]. 大庆石油地质与开发,2008,27(6):19-22. [Li Yupeng, Wu Shenghe, Yue Dali. Quantitative relation of the channel width and point-bar length of modern meandering river[J]. Petroleum Geology and Oil Development in Daqing, 2008, 27(6): 19-22.] |
| [20] | 薛培华. 河流点坝相储层模式概论[M]. 北京:石油工业出版社,1991:51-63. [Xue Peihua. An Introduction to Reservoir Models of Point Bar Facies[M]. Beijing: Petroleum Industry Press, 1991: 51-63.] |
| [21] | 张昌民,尹太举,朱永进,等. 浅水三角洲沉积模式[J]. 沉积学报,2010,28(5):933-944.[Zhang Changmin, Yin Taiju, Zhu Yongjin, et al. Shallow water deltas and models[J]. Acta Sedimentologica Sinica, 2010, 28(5): 933-944.] |
| [22] | 尹太举,张昌民,樊中海,等.双河油田井下地质知识库的建立[J]. 石油勘探与开发,1997,24(6):95-98.[Yin Taiju, Zhang Changmin, Fan Zhonghai, et al. Founding subsurface geological data bank for Shuanghe oil field[J]. Petroleum Exploration & Development,1997, 24(6): 95-98.] |
| [23] | 贾爱林,穆龙新,陈亮,等.扇三角洲储层露头精细研究方法[J]. 石油学报,2000,21(4):105-108.[Jia Ailin, Mu Longxin, Chen Liang, et al. Approach for detailed study of reservoir outcrop[J]. Acta Petrolei Sinica, 2000, 21(4): 105-108.] |
2015, Vol. 33

