2. 中山大学新华学院 信息科学学院, 广州 510520
为解决无线传感器网络(WSNs)的能量效率问题,构建了两跳(WSNs)系统模型.针对两跳模型中的中继选择策略进行了优化,分别提出了切换检测合并、带后验选择的切换检测合并中继选择策略,节省了中继节点的检测次数,从而节省了系统能耗.在中继处加入协作多输入多输出(MIMO)的思想,进一步提升了系统的能效性能.理论和仿真结果表明,提出的切换检测合并和切换检测合并中继选择策略在能效性能上均比传统的选择合并策略优越,特别是切换检测合并策略在牺牲中断概率性能的情况下能效性能最好.
2. School of Information Science, Xinhua College of Sun Yat-sen University, Guangzhou 510520, China
In order to solve the problem of energy efficiency in wireless sensor networks (WSNs), a two-hop WSNs system model was built. Aiming at optimizing the relay selection (RS) strategy in the two-hop WSNs system model, two RS strategies named switch-and-examine combining (SEC) and switch-and-examine combining with post-selection (SECps) were proposed. The two relay selection strategies will save the number of examining the relay nodes, and as well, save the energy consumption of system. After joining the idea of cooperative multi-input multi-output in the relay, the energy-efficient performance of system was further enhanced. Simulations show that, the two proposed RS strategies based on SEC and SECps, both outperform the traditional RS strategy based on selection combining (SC) with respect to energy efficiency. Especially, the SEC RS strategy obtains the best performance of energy efficiency, with reducing the performance of outage probability.
无线传感器网络(WSNs,wireless sensor networks)的能效问题是5G的关键指标,多输入多输出(MIMO,multi-input multi-output)技术则是5G的关键技术.相比于单输入单输出(SISO,single-input single-output),MIMO技术可以有效地提高信噪比,减少能耗.受限于传感器节点本身,目前常用的节点都是单天线的,因此协作通信的思想被引进WSNs中,形成了虚拟协作MIMO技术[1].
Cui等[1]认为,MIMO技术或协作通信若使用过多的天线,能耗也会增加.特别是对于传感器节点,将会导致节点过早地“死亡”.因此,借鉴MIMO思想,在考虑能效的前提下,兼顾其他性能,对中继处的无线传感器节点选择策略做了改进.
1 两跳WSNs传输模型传输模型考察的是WSNs的下行链路,主要考察节点的能量效率.节点一般配备单天线,而基站一般配备多天线.
1.1 系统传输模型和假设条件图 1所示的无线传感器网络两跳传输模型中[2],发送端(S)是一个具有多天线的基站,中继端(R)是多个单天线的传感器节点,目的接收端(D)是一个单天线的传感器节点.
|
图 1 两跳系统传输模型 |
为了便于分析,笔者做了一些假设:
1) 系统服从独立同分布瑞利衰落;
2) 基站到目的节点的直传链路不可达;
3) 传感器节点运行在半双工模式.
1.2 信号传输过程信号在一个时隙中从基站传输到中继节点分为2个阶段,如图 2所示.基站的每根天线依次发送导频信号.中继节点接收到导频信号后对每个接收分支的信道状态进行估计,然后基于估计的信道状态信息(CSI,channel state information),根据一定的准则把相应的天线索引值反馈给基站[3].之后基站发送端根据反馈信息再根据一定的准则选择发送天线,在传输阶段内传输信号到指定的中继节点.
|
图 2 天线选择时隙图 |
选定的中继节点把信号广播给中继处其他节点,再通过协作MIMO方式转发给目的节点.
基站、中继节点、目的节点的通信过程如下[4]:
| $ y = \sqrt {{K_{ij}}P} {H_{ij}}x + N $ | (1) |
其中:Kij表示发送天线i到接收天线j的链路预算;P表示发送天线(节点)的输出功率;Hij表示发送天线i到接收天线j的信道增益;N表示均值为零、功率谱密度为N0的高斯白噪声.
链路预算Kij的表达式如下[4]:
| $ {K_{ij}} = \frac{G}{{{{(4{\rm{ \mathsf{ π} }}{f_{\rm{c}}})}^2}d_{_{ij}}^v{M_{\rm{l}}}{N_{\rm{f}}}}} $ | (2) |
其中:G为发送和接收天线的增益乘积,fc为载波频率,dij为发送天线i和接收天线j间的距离,v为路径损耗指数,Ml为补偿链路余量,Nf为噪声系数.
当基站的每根天线依次发送导频信号时,根据式(1)的通信过程,中继节点接收的信息表示为
| $ Y = ZH + N $ | (3) |
其中:
每个中继节点接收到导频信号后需要对CSI进行估计.用Ĥ表示对信道H的估计,最小二乘法需要使得下列函数最小:
| $ J\left( {\hat H} \right) = {\left\| {Y - Z\hat H} \right\|^2} $ | (4) |
由此最小二乘估计的解为
| $ \hat H = {({Z^{\rm{H}}}Z)^{ - 1}}{Z^{\rm{H}}}Y $ | (5) |
接收天线j和发送天线i间信号瞬时信噪比为
| $ {\mathit{Ƴ} _{ij}} = \left\| {{H_{ij}}} \right\|_{_{\rm{F}}}^{^2}{\mathit{\bar Ƴ} _{ij}} $ | (6) |
其中:‖·‖F表示Frobenius范数;
MIMO技术中,传统的选择合并(SC,selection combining)[5]策略是选择瞬时信噪比最大链路对应的天线作为接收天线,但检测次数过多,能耗过大.受MIMO思想的启发提出了切换检测合并(SEC,switch-and-examine combining)和带后验选择的切换检测合并(SECps,switch-and-examine combining with post-selection)中继选择策略,利用基站和中继节点间的CSI估计中继节点的瞬时信噪比,再根据一定的准则选择满足信噪比要求的中继节点,并把相应的节点索引值反馈回基站.
2.1 SEC和SECps中继选择策略的思想SEC和SECps中继选择策略的基本思想是降低中继节点的检测次数,减少检测所消耗的能量,从而减少系统能耗,提高系统的能量效率.
如图 3所示,当采用SEC策略时,基站发送导频信号,中继处的所有备选节点根据导频信号得到各自链路的CSI.第1个节点根据CSI估计该节点的瞬时信噪比Ƴ1,然后检测对比Ƴ1和信噪比检测阈值ƳT的大小,若Ƴ1大于或等于给定的ƳT,则把该节点的索引值反馈给基站并停止检测;若Ƴ1小于ƳT,则广播信息通知下一个节点继续检测.以此循环,直到第j个中继节点的瞬时信噪比Ƴj大于ƳT.如果检测到最后一个节点前还没检测出符合条件的中继节点,则广播通知最后一个节点直接当选为中继转发节点,并把相应的节点索引值反馈回基站.
|
图 3 SEC策略流程 |
流程图中,j表示中继节点的序号,j∈(1, J),Ƴj是中继节点j接收到的瞬时信噪比.
如图 4所示,SECps策略是在SEC策略基础上的改进.当中继处的第1个节点收到基站发来的导频信号后,估计此时的瞬时信噪比Ƴ1,并与信噪比检测阈值ƳT进行对比,若Ƴ1大于或等于给定ƳT,则把该节点的索引值反馈给基站并停止检测;若Ƴ1小于ƳT,则把Ƴ1和对应的节点索引值广播给下一个节点.第2个节点收到Ƴ1后,检测对比其所在链路的瞬时信噪比Ƴ2和ƳT的大小,若Ƴ2大于或等于ƳT,则把该节点的索引值反馈给基站并停止检测;若Ƴ2小于ƳT,则对比Ƴ2和Ƴ1的大小,并把最大值Ƴmax=max{Ƴ1,Ƴ2}和其对应的节点索引值广播给下一个节点.依次循环,直到第j个中继节点的瞬时信噪比Ƴj大于ƳT.当检测完所有节点没有找到符合条件的中继节点,最后被检测的节点将向基站反馈Ƴmax对应的节点索引值.
|
图 4 SECps策略流程 |
SEC和SECps都是在瞬时信噪比小于信噪比检测阈值时,才需要检测剩余的节点.如果当前中继节点处的瞬时信噪比大于或等于信噪比检测阈值,则不需要检测.因此,可求出SEC和SECps中继选择协议的平均节点检测次数,它们的计算表达式分别为[5-6]
| $ N_{_{{\rm{ave}}}}^{^{{\rm{SEC}}}} = \sum\limits_{j = 1}^{J - 1} {{\rm{Pr}}_{_j}^{^{{\rm{SEC}}}}} j $ | (7) |
| $ N_{_{{\rm{ave}}}}^{^{{\rm{SECps}}}} = \sum\limits_{j = 1}^J {{\rm{Pr}}_{_j}^{^{{\rm{SECps}}}}} j $ | (8) |
其中:PrjSEC、PrjSECps分别是SEC和SECps策略中j个中继节点被检测的概率,可以表示为[7-8]
| $ {\rm{Pr}}_{_j}^{^{{\rm{SEC}}}} = \left\{ \begin{array}{l} 1 - F{\rm{ }}({\mathit{Ƴ} _{\rm{T}}}),\;\;\;j = 1\\ {[F{\rm{ }}({\mathit{Ƴ} _{\rm{T}}})]^{j - 1}}[1 - F{\rm{ }}({\mathit{Ƴ} _{\rm{T}}})], \;\;\;2 \le j \le J - 1\\ 0, \;\;\;j = J \end{array} \right. $ | (9) |
| $ {\rm{Pr}}_{_j}^{^{{\rm{SECps}}}} = \left\{ \begin{array}{l} 1 - F{\rm{ }}({\mathit{Ƴ} _{\rm{T}}}), \;\;\;j = 1\\ {[F{\rm{ }}({\mathit{Ƴ} _{\rm{T}}})]^{j - 1}}[1 - F{\rm{ }}({\mathit{Ƴ} _{\rm{T}}})], \;\;\;\;2 \le j \le J - 1\\ {[F{\rm{ }}({\mathit{Ƴ} _{\rm{T}}})]^{J - 1}}, \;\;\;\;j = J \end{array} \right. $ | (10) |
上面两式中,F(ƳT)=1-e-ƳT/Ƴ是信噪比的累积分布函数(CDF,cumulative distribution function)[9].因此,把式(9)(10)分别代入式(7)(8),可推导出SEC和SECps中继选择协议下的平均节点检测次数:
| $ N_{_{{\rm{ave}}}}^{^{{\rm{SEC}}}} = \frac{{1 - {{[F{\rm{ }}({\mathit{Ƴ} _{\rm{T}}})]}^{J - 1}}}}{{1 - F{\rm{ }}({\mathit{Ƴ} _{\rm{T}}})}} - \left( {J - 1} \right){[F{\rm{ }}({\mathit{Ƴ} _{\rm{T}}})]^{J - 1}} $ | (11) |
| $ N_{_{{\rm{ave}}}}^{^{{\rm{SECps}}}} = \frac{{1 - {{[F({\mathit{Ƴ} _{\rm{T}}})]}^{J - 1}}}}{{1 - F({\mathit{Ƴ} _{\rm{T}}})}} + {[F{\rm{ }}({\mathit{Ƴ} _{\rm{T}}})]^{J - 1}} $ | (12) |
因为SC协议需要检测所有的J个中继节点,所以它的节点检测次数为NaveSC=J.因此,这3种协议对中继节点的检测次数的大小关系为NaveSEC≤NaveSECps≤NaveSC.
3 系统的功耗模型和能效分析所构建的两跳WSNs传输系统考察的是下行链路,因为基站发送端一般具备持续供电的能力,所以系统的功耗分析不考虑基站的发送功率,主要考察无线传感器节点的功率消耗.
3.1 无线传感器节点的功耗模型图 5所示为无线传感器节点通信结构[10],节点的发送功耗PT和接收功耗PR分别为
|
图 5 无线传感器节点通信结构 |
| $ {P_{\rm{T}}} = {P_{{\rm{PA}}}} + {P_{{\rm{Tx}}}} $ | (13) |
| $ {P_{\rm{R}}} = {P_{{\rm{LNA}}}} + {P_{{\rm{Rx}}}} $ | (14) |
其中:PPA=(1+δ)P,P为节点的输出功率;δ为与调制方案的峰均比和功放的漏极效率有关的系数.
3.2 系统的总功耗在无中继选择和协作转发的情况下,中继节点收到信号后转发到目的节点,这一轮的总功耗为
| $ {P_{{\rm{sum}}}} = {P_{\rm{R}}} + {P_{\rm{T}}} + {P_{\rm{R}}} $ | (15) |
等式右边分别为中继节点接收基站信号的接收功率、转发出去的发送功率以及目的节点的接收功率.
结合中继选择和协作转发过程,系统每一轮消耗的总功率为
| $ {P_{{\rm{sum}}}} = {P_{{\rm{RS}}}} + {P_{\rm{R}}} + {P_{{\rm{lb}}}}({n_j}) + {n_j}{P_{\rm{T}}} + {n_j}{P_{\rm{R}}} $ | (16) |
其中:PRS= nJPR+(Nave-1)PRT+PT为中继选择过程产生的功耗,nJ、Nave分别为中继节点的总数、导频阶段中继节点的平均检测次数,PRT=PR+P′T为一次导频检测和反馈的功率,P′T为中继节点本地传输的功耗. Plb(nj)=P′T+(nj-1)PR为选定的中继节点收到基站信号后广播给本地中继节点的功耗,nj为中继节点协作转发的数目. P′T的计算表达式为[11]
| $ P{' _{\rm{T}}} = \frac{1}{{{P_{\rm{b}}}}}K{R_{\rm{s}}}d_{_{{\rm{lb}}}}^{^v} + {P_{{\rm{Tx}}}} $ | (17) |
其中:Pb为平均误比特率(BER, bit error rate);dlb为中继节点本地传输半径;v为路径损耗指数;
将能量效率E定义为[4]
| $ E = \frac{R}{{{P_{{\rm{sum}}}}}} $ | (18) |
其中R为高斯白噪声信道下的可达速率.考虑系统的中断概率(Prout),假设Rs为系统的平均传输速率,则系统的可达速率R=Rs(1-Prout)[4],E可进一步写为
| $ E = \frac{{{R_{\rm{s}}}(1 - {\rm{P}}{{\rm{r}}_{{\rm{out}}}})}}{{{P_{{\rm{sum}}}}}} = \frac{{{R_{\rm{s}}}(1 - {\rm{P}}{{\rm{r}}_{{\rm{out}}}})}}{{{P_{{\rm{RS}}}} + {P_{\rm{R}}} + {P_{{\rm{lb}}}}({n_j}) + {n_j}{P_{\rm{T}}} + {n_j}{P_{\rm{R}}}}} $ | (19) |
系统中断概率的表达式为[4]
| $ {\rm{P}}{{\rm{r}}_{{\rm{out}}}} = [C < {R_S}] $ | (20) |
系统的信道容量为[4]
| $ C = \frac{{B{\rm{lb}}(1 + {\mathit{Ƴ} _{{\rm{eq}}}})}}{2} $ | (21) |
其中Ƴeq为目的节点收到的等效信噪比,有[12]
| $ {\mathit{Ƴ} _{{\rm{eq}}}} = {\rm{min}}\{ {\mathit{Ƴ} _1}, {\mathit{Ƴ} _2}\} $ | (22) |
其中Ƴ1、Ƴ2分别为第1跳和第2跳的瞬时信噪比.
| $ {\rm{P}}{{\rm{r}}_{{\rm{out}}}} = P\left( {\frac{{B{\rm{lb}}(1 + {\mathit{Ƴ} _{{\rm{eq}}}})}}{2} < {R_{\rm{S}}}} \right) = \left( {{\mathit{Ƴ} _{{\rm{eq}}}} < {\mathit{Ƴ} _{{\rm{TH}}}}} \right) $ | (23) |
其中
由上面的分析可知,要优化系统,一方面是降低系统的中断概率;另一方面是降低系统的总功率.所提出的中继选择策略结合中继节点协作传输的方式,不仅对前后两跳的信道状态进行了优化,还在中继节点的选择过程中节省了能量,从而降低了总功率的消耗.
4 实验仿真与分析实验中,基站发送端采用传输天线选择(TAS,transmit antenna selection)[13],中继采用不同的中继选择策略,仿真系统在不同的信噪比检测阈值下的中断概率和能效性能.
4.1 仿真环境和参数实验使用Matlab R2014a软件,仿真实验参数如表 1所示[4, 11, 14].在所有仿真中,基站发射天线数为3,中继节点数为5,目的节点数为1.
|
|
表 1 仿真参数 |
考察不同的阈值(ƳT)下,中继采用SEC和SECps时,相对于SC节约的节点检测次数.
图 6所示为节点检测次数节约比例,可见,随着ƳT的增大,SEC和SECps对中继节点的检测次数都在增大,因此节约次数比例在下降.当ƳT值大于24 dB时,SECps节约次数为0;而SEC可以少检测一个节点.另外从图中可以看出,当ƳT值小于12 dB时,SEC和SECps策略对中继节点的检测次数相同.
|
图 6 节点检测次数节约比例 |
图 7所示为有协作和无协作时的中断概率对比.
|
图 7 有协作和无协作时的中断概率对比 |
仿真的是在TAS中,中继处2个节点协作传输和无协作单独转发时,中断概率性能的对比.
从图 7可知,SC的中断概率是平稳的,因为它和ƳT值无关,总是选择瞬时信噪比最大的节点作为中继转发节点. SEC的中断概率是反抛物线的趋势,因为随着ƳT值的增大,瞬时信噪比增大,所以中断概率降低.另外,中继加入协作传输后,系统的中断概率明显降低了.因为协作MIMO传输带来了空间分集增益,抵消了第2跳的信道衰落,从而提高了系统端对端的等效信噪比.
图 8所示为有协作和无协作时的能效对比,仿真的是系统的能效性能.由图可知,SC的能效是平稳的,SEC和SECps的能效则随着ƳT值的增大而降低.因为随着ƳT值增大,SEC和SECps的检测次数增大,所以系统的功耗增大能效就降低.从图 8可以看出,中继加入协作传输后,虽然中继节点本地广播的能耗也计入总功耗中,但系统的能效性能均比无协作传输时得到了提升.
|
图 8 有协作和无协作时的能效对比 |
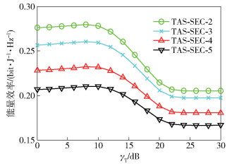
图 9所示为不同协作节点时的能效对比,可知,随着协作节点数目的增加,系统的能效性能都在降低.因此,从能效性能的角度看,协作节点数并不是越多越好.
|
图 9 不同协作节点时的能效对比 |
提出了SEC和SECps 2种中继选择策略,并在中继处加入协作MIMO,优化了能效问题.这2种策略可动态调整信噪比检测阈值,节省了检测次数,降低了系统的总功耗.与SC策略相比,SEC和SECps是以牺牲中断概率来提升能效性能的.
| [1] | Cui S G, Goldsmith A J, Bahai A. Energy-efficiency of MIMO and cooperative MIMO techniques in sensor networks[J]. IEEE Journal on Selected Areas in Communications, 2004, 22(6): 1089–1098. doi: 10.1109/JSAC.2004.830916 |
| [2] | Liu Xingcheng, Li Wei, Han Feng, et al. An optimization scheme of enhanced adaptive dynamic energy consumption based on joint network-channel coding in WSNs[J]. IEEE Sensors Journal, 2017, 18(17): 6119–6128. |
| [3] | Love D J, Heath R W, Santipach W, et al. What is the value of limited feedback for MIMO channels?[J]. IEEE Communications Magazine, 2004, 42(10): 54–59. doi: 10.1109/MCOM.2004.1341261 |
| [4] | Brante G, Stupia I, Souza R D, et al. Outage probability and energy efficiency of cooperative MIMO with antenna selection[J]. IEEE Transactions on Wireless Communications, 2013, 12(11): 5896–5907. doi: 10.1109/TWC.2013.092413.130413 |
| [5] | Tan B S, Li K H, Teh K C. Performance study of transmit antenna selection with switch-and-examine combining over Rayleigh fading[J]. IEEE Transactions on Vehicular Technology, 2012, 61(9): 4205–4211. doi: 10.1109/TVT.2012.2212924 |
| [6] | Tan B S, LiK H, Teh K C. Analysis of transmit antenna selection with switch-and-examine combining with post-selection at the receiver over Rayleigh fading channels[J]. IEEE Transactions on Vehicular Technology, 2013, 62(6): 2859–2865. doi: 10.1109/TVT.2013.2243172 |
| [7] | Yang H C, Alouini M S. Performance analysis of multibranch switched diversity systems[J]. IEEE Transactions on Communications, 2003, 51(5): 782–794. doi: 10.1109/TCOMM.2003.811408 |
| [8] | Yang H C, Alouini M S. Improving the performance of switched diversity with post-examining selection[J]. IEEE Transactions on Wireless Communications, 2006, 5(1): 67–71. doi: 10.1109/TWC.2006.1576529 |
| [9] | Hasna M O, Alouini M S. Optimal power allocation for relayed transmissions over Rayleigh-fading channels[J]. IEEE Transactions on Wireless Communications, 2004, 3(6): 1999–2004. doi: 10.1109/TWC.2004.833447 |
| [10] | Wang Q, Hempstead M, Yang W. A realistic power consumption model for wireless sensor network devices[C]//2006 3rd Annual IEEE Communications Society on Sensor and Ad Hoc Communications and Networks, Reston: IEEE, 2006: 286-295. |
| [11] | Gong Xinren, Liu Xingcheng, Liang Pingyuan, et al. Dynamic selection on the number of antennas for cooperative MISO in WSNs[C]//IEEE International Conference on Wireless Communications and Signal Processing (WCSP). Huangshan: IEEE, 2012: 1-4. |
| [12] | Bjornson E, Matthaiou M, debbah M. A new look at dual-hop relaying:performance limits with hardware impairments[J]. IEEE Transactions on Communications, 2013, 61(11): 4512–4525. doi: 10.1109/TCOMM.2013.100913.130282 |
| [13] | Chen Z, Yuan J H, Vucetic B. Analysis of transmit antenna selection/maximal-ratio combining in Rayleigh fading channels[J]. IEEE Transactions on Vehicular Technology, 2005, 54(4): 1312–1321. doi: 10.1109/TVT.2005.851319 |
| [14] | Cui S G, Goldsmith A J, Bahai A. Energy-constrained modulation optimization[J]. IEEE Transactions on Wireless Communications, 2005, 4(5): 2349–2360. doi: 10.1109/TWC.2005.853882 |


