碳复合材料因其优良的抗热震性和抗侵蚀性而被广泛应用于冶金工业。然而,传统的碳复合材料具有较高的碳含量,需在1 500℃左右高温下埋碳烧成[1],且具有较高热导率的碳使炉衬产生较大的热量损耗。因此,传统的碳复合材料在生产和应用过程中均存在高能耗、高污染问题。并且碳易污染钢水,不利于洁净钢冶炼。为节能减排和冶炼优质钢,需要用高性能低碳、无碳耐火材料来替代。
在此背景下,“金属复合、原位形成非氧化物结合”的低碳耐火材料应运而生,即在碳复合材料中引入Al、Si来降低碳含量,采用不烧或低温热处理工艺来制备Al-Si复合低碳、无碳耐火材料。Al、Si在高温使用过程中与材料中的碳或与使用环境中的CO、N2等反应,原位生成晶须状Al4C3、AlN和SiC等非氧化物,可显著提高低碳耐火材料的高温使用性能[2-3]。此新型低碳耐火材料不仅比传统的碳复合材料强度高、抗氧化性优良,还具有优良的抗热震性和抗侵蚀性;且节能环保、生产周期短,已成功应用于连铸滑板和钢包渣线砖等[4-6]。然而,此低碳耐火材料的高温性能和使用寿命与材料中原位非氧化物晶须的生成和生长密切相关。
Al、Si在含碳材料中原位生成非氧化物晶须会受到诸多因素的影响,包括起始原料的种类、特性、加入量以及温度、时间、气氛和催化剂等[7-10]。研究表明,在高温还原性气氛下,催化剂、纳米添加剂和硼化物均可促进Al、Si反应以及促进非氧化物晶须的生长和发育,显著提高低碳耐火材料的高温性能[11-14]。
目前,Al、Si在含碳材料中原位生成非氧化物晶须的研究均在实验室设定条件下进行,晶须生长环境相对稳定。而Al-Si复合的低碳耐火材料作为滑板材料使用时,在高温服役过程中会经受到频繁的温度急变,产生强烈的热震,而热震易使材料产生微裂纹,致使晶须生长环境复杂多变。晶须生长过程中对环境比较敏感,环境的微小变化可能会影响其成核、生长、组成和显微结构等,进而对低碳耐火材料的性能产生较大影响。已有研究不能准确表征Al-Si复合的低碳耐火材料在高温使用过程中的真实化学反应情况,以及非氧化物晶须的生成、生长机理和显微结构演变,在实际应用过程中表现出性能不稳定,使用寿命难以预测,进而影响冶炼的进程和安全性。
研究热震条件下低碳耐火材料中Al、Si高温反应规律和原位非氧化物晶须生长机理更符合真实服役环境,对材料的实际应用更具指导意义。本文以Al-Si复合低碳铝碳滑板为研究对象,探究热震条件下Al、Si于不同温度下的变化及其对不烧滑板性能的影响,以期为不烧Al-Si复合低碳铝碳滑板的使用提供一定数据。
1 实验部分 1.1 实验配方试样配比如表 1所示。质量分数4%的液态热固性酚醛树脂为结合剂。
|
|
表 1 试样配比 Tab. 1 Formulation of specimen |
对板状刚玉骨料和所有细粉(板状刚玉粉、α-Al2O3微粉、石墨、Al粉、Si粉和B4C粉)分别进行预混,得到均匀混合的骨料和粉体。在高速混炼机中,将50%的树脂液添加到预混合的骨料中,混合10 min后加入预混细粉,继续混合10 min后,加入剩余的树脂液,然后继续混合30 min。将混合均匀的物料困料20 h(环境温度约为35 ℃),于150 MPa下压制成条形试样(150 mm×25 mm×25 mm)。将成型后的试样在干燥箱中处理36 h,干燥制度为60 ℃×12 h、120 ℃×12 h和180 ℃×12 h。
1.3 性能检测根据国家标准GB/T 2997—2015,用阿基米德排水法测试样品的体积密度和显气孔率;根据国家标准GB/T 5072—2008测量常温耐压强度,加载速率为1 MPa/s;根据国家标准GB/T 3001—2007在室温下用三点弯曲测试法测量常温抗折强度,加压速率为5mm/min,应力移动为0.15 MPa/s;根据冶金行业标准YB/T 2206.1—1998测试抗热震性,用压缩空气急热急冷法进行热震。在埋碳条件下,升温速率为5 ℃/min,风冷1~3次,分别测量试样在1100 ℃、1200 ℃和1300 ℃时热震前后的抗折强度。
将试样分为两组:一组试样在埋碳条件下于目标温度保温3 h并自然冷却,该组试样的抗折强度被指定为未热震(热震前)的抗折强度。另一组试样在埋碳条件下于目标温度保温3 h,然后迅速取出风冷至室温(风冷均为30 min),再放入炉内,自然冷却,此为热震1次;保温1.5 h后取出风冷至室温,然后埋碳放入炉内继续保温1.5 h,取出风冷,此为热震2次;保温1 h后取出风冷至室温,然后埋碳放入炉内继续保温1 h,风冷到室温后再放入炉内保温1 h,取出风冷,此为热震3次。用X射线衍射仪(XRD)、扫描电子显微镜(SEM)与能谱仪(EDS)表征试样的物相组成和显微结构。
2 结果与讨论 2.1 干燥后试样的常温物理性能干燥后试样的体积密度为2.99 g/cm3,显气孔率为10.2%,常温抗折强度为24.0 MPa,常温耐压强度为135 MPa,质量变化率为-0.09%,线变化率为-0.03%。经分析可知,干燥后试样的质量和体积略微减小,这主要是由于试样中水分的发挥和试样干燥收缩所致。干燥后试样的强度主要来自酚醛树脂,酚醛树脂对耐火材料骨料和石墨均有良好的润湿性能,经36 h固化后,可在材料中形成网格结构,使试样具有较高的强度。
2.2 热震对试样物相组成的影响在1 100~1 300 ℃热震不同次数后试样的物相组成如图 1所示。其中,图 1的(b)、(d)和(f)是将(a)、(c)和(e)中部分物相的峰进行了放大处理。由图 1(a)和(b)可知,在1100 ℃热震不同次数后,所有试样的物相组成相同,主要包括刚玉(JCPDS No.81-2267)、石墨(JCPDS No.89-8487)、Si(JCPDS No.77-2111)和Al(JCPDS No.89-2837),还含有新生成相Al4C3(JCPDS No.79-1736)、β-SiC(JCPDS No.75-0254)和h-AlN(JCPDS No.70-0354)。但随着热震次数的增加,Al和Si的衍射峰强度明显降低,非氧化物Al4C3、β-SiC和h-AlN的衍射峰强度有所增加,说明热震有利于Al和Si反应生成非氧化物。由图 1(c)和(d)可知,在1200 ℃热震不同次数后,检测到的物相与1100 ℃时相同,但Al和Si的衍射峰强度进一步降低,非氧化物β-SiC和h-AlN的衍射峰强度增加,而非氧化物Al4C3的衍射峰强度降低。可见,随着温度由1100 ℃升至1200 ℃,更多的Al和Si参与反应,非氧化物Al4C3向h-AlN转化,生成较多非氧化物β-SiC和h-AlN。由图 1(e)和(f)可知,在1300 ℃热震不同次数后,试样的物相组成为刚玉、石墨、Al4C3、β-SiC和h-AlN,未检测到Al峰和Si峰,表明在1300 ℃时Al和Si已经完全反应。
|
图 1 在1 100~1 300 ℃热震不同次数后试样的物相组成 Fig. 1 Phase composition of specimens after different times of thermal shock at 1 100~1 300 ℃ |
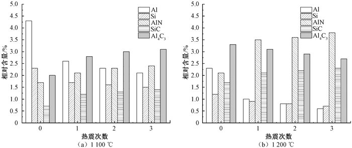
在1 100和1200 ℃热震不同次数后各物相的相对含量如图 2所示。可以看出,在1100 ℃保温3 h后,Al的相对含量为4.3%,Si的相对含量为2.3%。而Al、Si的初始加入量为8%和3%,表明1100 ℃时已有较多Al发生反应,Si在此温度下也已发生反应。AlN的相对含量为1.7%~2.4%,Al4C3的相对含量为2.0%~3.1%,SiC的相对含量为0.7%~1.4%,其含量随热震次数的增加而增大。当温度升高至1200 ℃时,随着热震次数的增加,试样内Al(2.3%→0.6%)、Si(1.2%→0.7%)、Al4C3(3.3%→2.7%)的相对含量降低,AlN(2.1%→3.8%)和SiC(1.7%→2.3%)的相对含量有所增加。此外,在1300 ℃时Al、Si已经完全反应,此时SiC的相对含量为2.8%,随着热震的进行,Al4C3(2.8%→1.8%)向AlN(4.8%→5.8%)转变。
|
图 2 在1 100和1 200 ℃热震不同次数后各物相的相对含量 Fig. 2 Relative content of phases after different times of thermal shock at 1 100 and 1 200 ℃ |
在埋碳条件下试样中的气氛以CO、N2为主,可能还存在微量的O2,Al、Si与C、CO、N2、O2反应生成Al4C3、AlN、Al2O3以及SiC和SiO2等。Al与N2在800 ℃即可发生氮化反应,950 ℃左右氮化反应加剧。研究表明,Si反应生成SiC的起始温度为1200 ℃,当Al、Si共同作为添加剂加入后,800 ℃时Al的反应加剧,且Si反应生成SiC的起始温度可降低至1000 ℃[15-16]。因此,在1 100~1 300 ℃热处理后的试样中均检测到了非氧化物Al4C3、AlN和SiC。
2.3 热震对试样显微结构的影响在1 200℃热震不同次数后试样的SEM图如图 3所示。可以看出,试样中均生成了晶须状或针状物质。图 3(a)显示,无热震时试样中的晶须状物质在气孔中生成,在电镜下观察发现,其数量相对较少,分布不太广泛。而图 3(b)和(c)表明,热震后试样内部的晶须状物质数量增加,分布广泛,且形成交叉连锁的网络结构,表明热震有利于晶须的生成。图 3(d)显示,当试样热震3次后,气孔中生成了针状物质,且晶体相对粗大、发育较好。由能谱分析可知,无热震时生成的晶须主要为Al4C3和SiC;热震后能谱中还检测到N元素,表明晶须除Al4C3和SiC外,还有AlN。图 3(d)中针状物质为AlN,说明热震对Al-Si复合Al2O3-C材料中晶须的种类和形貌有所影响。
|
图 3 在1 200 ℃热震不同次数后试样的SEM图 Fig. 3 SEM images of specimens after different times of thermal shock at 1 200 ℃ |
在1200 ℃热震不同次数后Al-Si复合Al2O3-C材料的截面图如图 4所示。可以看出,在1200 ℃热震条件下,试样中产生微裂纹,埋碳环境存在微量空气,空气通过微裂纹和气孔进入试样,与未热震试样相比,空气进入试样内部的通道增加,其压力增大。因此,热震产生的微裂纹改变了试样内部微区域的气相压力。
|
图 4 在1 200 ℃热震不同次数后Al-Si复合Al2O3-C材料的截面图 Fig. 4 Cross section of Al-Si incorporated Al2O3-C material after different times of thermal shock at 1 200 ℃ |
空气中的O2与C反应,见反应式(1);O2含量降低,N2含量升高,有利于AlN的生成,见反应式(2)。因此,热震条件下AlN晶须较多。
| $ \mathrm{O}_2(\mathrm{~g})+\mathrm{C}(\mathrm{s})=\mathrm{CO}_2(\mathrm{~g}) \text {; } $ | (1) |
| $ \mathrm{N}_2(\mathrm{~g})+2 \mathrm{Al}(\mathrm{s})=2 \mathrm{AlN}(\mathrm{s})。$ | (2) |
在1100 ℃和1200 ℃热震前后试样的显气孔率和体积密度如图 5所示。从图 5(a)可以看出,与未热震试样相比,在1100 ℃热震后试样的显气孔率均略有降低,但变化不大,其中热震1次后试样的显气孔率最低(12.03%)。这可能是由于热震导致试样产生微裂纹,改变了局部气氛,从而促进了非氧化物晶须的生成和发育,晶须会堵塞部分气孔,使显气孔率降低。在1200 ℃热震后试样的显气孔率也有所降低,其中热震2次后试样的显气孔率最低(11.16%)。从图 5(b)可以看出,与未热震试样相比,在1100 ℃热震后试样的体积密度略有增加,其中热震1次后试样的体积密度最大(3.15 g/cm3)。当热震次数增至2或3时,试样的体积密度有所降低。这是由于热震次数增加使试样产生了更多的微裂纹,或者生成了更多的非氧化物晶须,致使试样产生了微膨胀。在1200 ℃热震前后,试样体积密度的变化规律与1100 ℃类似,其中热震2次后试样的体积密度最大(3.20 g/cm3)。此外,1200 ℃热震前后试样的显气孔率低于1100 ℃热震前后的试样,但体积密度高于1100 ℃热震前后的试样。这是由于温度的升高有利于非氧化物晶须的生成和发育,晶须填充试样的孔洞并提高其致密度。
|
图 5 热震前后试样的显气孔率和体积密度 Fig. 5 Apparent porosity and bulk density of specimens before and after thermal shock |
在1100 ℃和1200 ℃热震前后试样的常温抗折强度如图 6所示。
|
图 6 热震前后试样的常温抗折强度 Fig. 6 Cold modulus of rupture of specimens before and after thermal shock |
由图 6可以看出,在1100 ℃时,试样经不同次数的热震后强度变化不大。这是由于热震产生的微裂纹有助于晶须的生成,晶须的增强作用弥补了微裂纹带来的强度损失。在1200 ℃热震前后,试样的强度略高于1100 ℃时强度,且随着热震次数的增加,常温抗折强度略有增加,其中热震2次后试样的强度达到最大值(37.85MPa)。这是由于温度的升高以及微裂纹的产生有利于非氧化物晶须的生成,晶须对材料具有增强作用。
3 结语本文研究了热震对Al-Si复合Al2O3-C材料组成、结构和性能的影响,结果表明,随着温度的升高和热震次数的增加,Al、Si反应生成非氧化物的程度增加。热震对非氧化物形貌和不同种类非氧化物的生成量产生一定的影响。热震有利于AlN的生成,这是由于热震产生的微裂纹为微量空气进入试样内部提供了通道,致使试样内部微区域N2压力增加。在本实验范围内,热震使试样的致密度和抗折强度略有增加,这是由于微裂纹的产生有助于非氧化物晶须的生成和生长,对材料具有填充和增强作用。
| [1] |
张文杰, 李楠. 碳复合耐火材料[M]. 北京: 科学出版社, 1990. ZHANG W J, LI N. Carbon composite refractories[M]. Beijing: Science Press, 1990. ( 0) |
| [2] |
DING J, YU C, LIU J P, et al. Effects of silicon powder content on the properties and interface bonding of nitrided Al2O3-C refractories[J]. Materials chemistry and physics, 2018, 206: 193-203. DOI:10.1016/j.matchemphys.2017.11.011 ( 0) |
| [3] |
李勇, 闫明伟, 秦海霞, 等. 非氧化物复合耐火材料的应用研究进展[J]. 硅酸盐学报, 2017, 45(9): 1231-1239. LI Y, YAN M W, QIN H X, et al. Application research development of non-oxide bonded refractories[J]. Journal of the Chinese ceramic society, 2017, 45(9): 1231-1239. ( 0) |
| [4] |
马腾, 刘新红, 朱晓燕, 等. Al-Si复合滑板材料的研究进展[J]. 耐火材料, 2014, 48(3): 231-235. MA T, LIU X H, ZHU X Y, et al. Progress in research and application of Al-Si composite slide plates[J]. Refractories, 2014, 48(3): 231-235. ( 0) |
| [5] |
ZHAO C R, YAN M W, LI H Y, et al. Recent progress on Al2O3-C refractories with low/ultra-low carbon content: a review[J]. China's refractories, 2022, 31(1): 35-44. ( 0) |
| [6] |
李姝欣, 段锋, 任学华, 等. 连铸用Al2O3-C滑板研究现状与展望[J]. 硅酸盐通报, 2019, 38(9): 2847-2854. LI S X, DUAN F, REN X H, et al. Research status and outlook of Al2O3-C slide gates for continuous casting[J]. Bulletin of the Chinese ceramic society, 2019, 38(9): 2847-2854. ( 0) |
| [7] |
LIU X H, YE F B, ZHONG X C. Evolution of phase composition and microstructure of Al2O3-Si-Al composite at high temperatures in reducing atmosphere[J]. China's refractories, 2014, 23(4): 32-35. ( 0) |
| [8] |
ATZENHOFER C, GSCHIEL S, HARMUTH H. Phase formation in Al2O3-C refractories with Al addition[J]. Journal of the European ceramic society, 2017, 37(4): 1805-1810. DOI:10.1016/j.jeurceramsoc.2016.11.027 ( 0) |
| [9] |
LIU X H, ZHONG X C. Thermo-mechanical properties of Al/Si incorporated low carbon Al2O3-C slide plate materials[J]. China's refractories, 2013, 22(1): 7-11. ( 0) |
| [10] |
LIAO N, LI Y W, JIN S L, et al. Combined effects of boron carbide, silicon, and MWCNTs in alumina-carbon refractories on their microstructural evolution[J]. Journal of the American ceramic society, 2017, 100(1): 443-450. DOI:10.1111/jace.14543 ( 0) |
| [11] |
ROUNGOS V, ANEZIRIS C G. Improved thermal shock performance of Al2O3-C refractories due to nanoscaled additives[J]. Ceramics international, 2012, 38(2): 919-927. DOI:10.1016/j.ceramint.2011.08.011 ( 0) |
| [12] |
LIU X H, JIANG W F, JIA Q L, et al. Evolution of properties and microstructure of Al and Si incorporated Al2O3-C material with nano-SiO2 powder addition[J]. International journal of nanomanufacturing, 2014, 10(1/2): 83-93. ( 0) |
| [13] |
SU K, ZHANG Q, HOU H T, et al. Properties and microstructure evolution of unfired Al-Si incorporated Al2O3-C slide plate materials with trace nano-Al2O3 particles[J]. Ceramics international, 2021, 47(23): 33641-33650. ( 0) |
| [14] |
刘耕夫, 李亚伟, 廖宁, 等. 添加碳化硼对低碳铝碳耐火材料显微结构和性能的影响[J]. 硅酸盐学报, 2017, 45(9): 1340-1346. LIU G F, LI Y W, LIAO N, et al. Effect of B4C additive on microstructure and mechanical properties of low carbon Al2O3-C refractories[J]. Journal of the Chinese ceramic society, 2017, 45(9): 1340-1346. ( 0) |
| [15] |
岳卫东, 聂洪波, 钟香崇, 等. 金属Al-Si复合不烧铝碳滑板材料的热机械性能及显微结构[J]. 耐火材料, 2006, 40(3): 177-180. YUE W D, NIE H B, ZHONG X C, et al. Thermomechanical properties and microstructure of Al-Si metal contained unfired Al2O3-C slide plate material[J]. Refractories, 2006, 40(3): 177-180. ( 0) |
| [16] |
石凯. Al/Si复合Al2O3-C材料的高温性能、显微结构及研制[D]. 郑州: 郑州大学, 2007. SHI K. High temperature performance, microstructure and development of Al/Si composited Al2O3-C material[D]. Zhengzhou: Zhengzhou University, 2007. ( 0) |
2023, Vol. 55



0)