2. 中国科学技术大学 国家同步辐射实验室 安徽 合肥 230029;
3. 北京科技大学 金属冶炼重大事故防控技术支撑基地 北京 100083
2. National Synchrotron Radiation Laboratory, University of Science and Technology of China, Hefei 230029, China;
3. Technical Support Base for Prevention and Control of Major Accident in Metal Smelting, University of Science and Technology Beijing, Beijing 100083, China
多环芳烃(polycyclic aromatic hydrocarbons,PAHs)广泛存在于地球大气[1]和星际介质[2]中。地球上,PAHs主要来源于有机材料的燃烧,是碳烟和雾霾的前驱体,且其作为碳氢副产物会显著降低燃烧效率[3]。此外,燃烧过程中排放的PAHs和烟尘具有致癌性,对人体健康构成威胁[4]。在星际环境中,PAHs则是星际介质中重要的碳基分子,对有机分子的形成具有潜在的贡献[5]。因此,研究PAHs的生长机制对于优化燃烧过程和探索生命起源至关重要[6]。
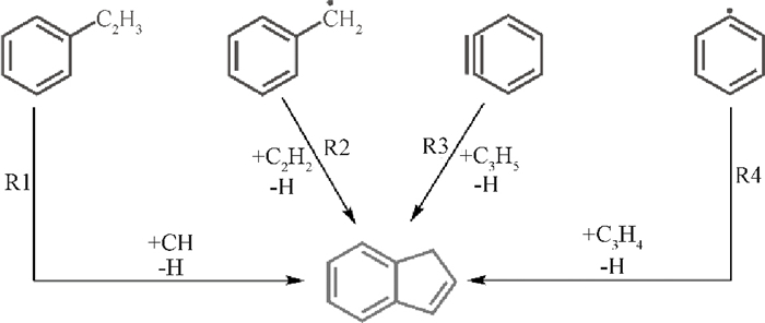
多年来,科学界提出了多种机制来解释PAHs的形成和生长,但其确切过程仍未明确。对于六元碳环PAHs的生成,人们提出了许多实验和理论假设,例如:氢提取-乙炔加成(HACA)[7]和氢提取-乙烯基乙炔加成(HAVA)[8]。然而,尽管HACA和HAVA机制在极端环境中具有合成PAHs的潜力,但是由于它们加成效率较低,难以重现火焰实验中观测的PAHs浓度而仍受质疑。相比之下,关于五元碳环芳烃的研究则相对较少。而茚作为最简单的C5和C6芳烃分子,在碳氢化合物燃烧和热解过程中,它可以通过氢提取或氢消除反应生成具有共振稳定结构的茚基自由基,从而促进PAHs的生长和烟灰的形成[9]。近年来,关于茚的形成机制,已经有多种反应路径被研究。如图 1所示,它的生成反应涉及了[C1+C8]、[C2+C7]和[C3+C6]体系,包括苯乙烯与次甲基[R1][10]、苄基与乙炔[R2][6]、邻苯炔与烯丙基[R3][11]和苯基与丙炔/丙二烯[R4][12]。此外,关于分子束实验的相关信息,可参考文献[6]。然而,尽管茚作为典型的六元环和五元环多环芳烃具有重要的科学意义,但其形成机制目前仍尚不明确,且对茚异构体的研究也很少受到科学界的关注。
|
图 1 分子束实验证实的茚生成来源 Fig. 1 Generation sources for indene verified by molecular beam experiment |
苯乙炔是PAHs和烟灰生成的潜在前驱体,文献指出其与苯基反应可生成菲[13]。而后续研究进一步揭示,在1-萘基/苯乙炔和4-菲基/苯乙炔的反应体系中,可以生成苊烯和芘等PAHs[14],这些表明苯乙炔在PAHs生长机制中的重要性以及进一步研究的必要性。此外,甲基自由基在芳环的形成过程中同样发挥着至关重要的作用。已有研究表明,多环芳烃的甲基自由基生长机制包括通过环戊二烯生成苯[15]、通过茚生成萘[16]以及通过菲生成芘[3]。而甲基加成/环化机理[17]的提出,进一步证明了甲基基团在PAHs自由基位点上的加成反应以及后续生长路径的重要性。因此,本文选择苯乙炔和甲基自由基作为研究对象,采用高水平的量子化学计算方法去探索多环芳烃茚以及它的同分异构体(3-苯基-1-丙炔、(1, 2-丙二烯基)苯和1-苯基-1-丙炔)的生成路径,构建反应势能面,并以能量125 kJ/mol为标准筛选重要的反应路径。最后通过反应动力学计算获得重要反应的温度和压力依赖的反应速率常数。
1 研究方法本文中所有物种的几何构型优化、振动频率分析和零点能计算,均在B3LYP/6-311+G(d, p)理论水平上计算得到。其中,振动频率分析证实优化得到的反应物、中间体和产物的振动频率全为正值,而过渡态有且仅有一个虚频。此外,针对过渡态结构开展内禀反应坐标(intrinsic reaction coordinate,IRC)计算,确保其能够正确连接反应物和产物。所有物种的单点能均是采用CCSD(T)/aug-cc-pVDZ方法计算得到的。而这种计算方法在保证较高精度的同时,也具有相当不错的计算效率,因此能够应用于相对复杂的分子体系量化计算中,并可为后续的结果分析和讨论提供高精度的基础数据。上述所有的量子化学计算均在Gaussian09软件中完成的。
由于本文所筛选出来的重要反应均有明确过渡态分子结构,因此采用传统过渡态理论(transition state theory,TST)计算其高压极限速率常数,通过解析与时间相关的RRKM/ME主方程求得变压力(0.001~0.1 MPa)和温度(300~3 000 K)的压力依赖和温度依赖反应速率常数。在动力学数据计算过程中,通常采用刚性转子谐振子模型(rigid-rotor harmonic oscillator,RRHO)计算稳定物种和过渡态的态密度和配分函数。采用RRHO近似处理分子低频振动时,可能导致配分函数的计算出现较大的误差,因其振动模式更接近分子内转动模式,故本文采用了一维受阻内转子法处理低频扭转模式。文中所有物种的分子内转动势能均采用B3LYP/6-311+G(d, p)方法以间隔为10°进行360°柔性扫描相关二面角获取。本文采用Lennard-Jones(L-J)势能去模拟反应物与浴气分子之间的互相作用。其中,浴气N2的LJ参数为σ=4.46 Å,ε=390 cm-1;苯乙炔和甲基自由基的加成中间体的LJ参数为σ=4.46 Å,ε= 390 cm-1。对于分子间碰撞导致的能量传递采用单指数下降模型进行描述,其表达式为α(T)=α300(T/300 K)n,α300和n分别为424 cm-1和0.62[18]。此外,对于氢迁移反应路径,采用一维非对称Eckart隧穿效应来矫正其反应速率常数[19]。上述动力学数据均是采用MESS程序[20]计算完成的。
2 结果与讨论因苯乙炔分子中苯环具有强共轭结构,甲基自由基更倾向加成于其乙炔侧链的末端和中心碳原子上,生成两个不同构型的C9H9中间体(Int1和Int2)[21]。随后,这两个中间体通过一系列的分子内异构反应和解离反应,最终生成茚以及其余三种同分异构体在内的多种双分子解离产物。在本工作中,为了清楚表述茚在内的四种C9H8异构体,对其进行了命名,即茚为T4、3-苯基-1v丙炔为T1、(1, 2-丙二烯基)苯为T2、1-苯基-1-丙炔为T3。需要注意的是,Int1-P4、Int2-P3等命名与Int1、Int2一样,均表示中间体。Int是intermediate(中间体)的缩写,P是product(产物)的缩写,而数字的不同则是用于区分不同的中间体。
2.1 势能面图 2~4中的势能面清晰展示了苯乙炔与甲基自由基所有可行的反应路径。图 5展示了苯乙炔与甲基自由基反应生成茚及其同分异构体的重要反应路径。由图 2和图 3可知,甲基自由基可克服35.6 kJ/mol的能垒加成于苯乙炔侧链的末端碳原子上,生成中间体Int1。随后,中间体Int1会进行氢迁移和断键脱氢反应。其中,由于Int1中链接苯环的碳原子上有两个自由基位点极不饱和,会促使β位(即支链中心位点)碳原子脱去一个氢原子形成稳定的—C C—结构(T3),故β-C—H断键反应所需要的反应能垒最低,仅有161.9 kJ/mol。基于同样的原因,链接苯环的碳原子会促使两条1, 3-H迁移反应的发生,一条氢迁移路径将移动支链端位—CH3基团上的氢原子生成Int1-P4,另外一条路径则是迁移苯环上邻近支链的氢原子生成Int4-P4。由于Int1-P4具有Cs对称的稳定共轭结构,故其生成需克服的能垒较低(185.7 kJ/mol),另一条1, 3-H迁移路径的反应能垒则为233.4 kJ/mol。而端位—CH3基团上的氢原子通过1, 2-H反应迁移至邻位碳原子上的能垒更高(292.4 kJ/mol)。因Int1-ts1和Int1-ts2的能垒较高,不具备竞争优势,故这两条氢迁移路径的后续反应路径将不再进行讨论。
|
图 2 苯乙炔与甲基自由基反应生成中间体Int1及其后续解离反应的反应势能面 Fig. 2 Potential energy surface of the reaction of phenylacetylene with methyl radical to generate intermediate Int1 and its subsequent dissociation reaction |
|
图 3 苯乙炔与甲基自由基反应生成中间体Int1及其后续剩余解离反应的反应势能面 Fig. 3 Potential energy surface of the reaction of phenylacetylene with methyl radical to generate intermediate Int1 and its subsequent residual dissociation reaction |
|
图 4 苯乙炔与甲基自由基反应生成中间体Int2及其后续解离反应的反应势能面 Fig. 4 Potential energy surface of the reaction of phenylacetylene with methyl radical to generate intermediate Int2 and its subsequent dissociation reaction |
|
图 5 苯乙炔与甲基自由基反应生成茚及其同分异构体的重要反应路径 Fig. 5 Important reaction pathways for the reaction of phenylacetylene with methyl radical to generate indene and its isomers |
由于中间体Int1-P4能量比Int1低88.7 kJ/mol,故反应Int1→Int1-P4是放热反应,其释放的热量有利于促进后续反应的进行。中间体Int1-P4也可进行分子内氢迁移反应、β-C—H断键反应和成环反应,总计7条后续反应途径。其中,成环反应(Int1-P4→Int4-P7)和1, 5-H迁移反应(Int1-P4→Int4-P4)可分别通过具有较低能垒的过渡态Int4-ts7 (138.9 kJ/mol)和Int4-ts4(141.4 kJ/mol)进行。但是,由于中间体Int4-P4的后续异构和断键反应需要克服高反应能垒(343.1 kJ/mol和311.7 kJ/mol),且远远大于Int4-P7→T4+H的反应能垒(112.5 kJ/mol)。因此,成环反应Int1-P4→Int4-P7是中间体Int1-P4的主要消耗途径。而且,图 2中虚线标记的反应路径C8H6+CH3→Int1→Int1-P4→Int4-P7→T4+H是生成茚的主要通道。在该通道里,由于反应Int1→Int1-P4所需要克服的反应能垒最高,因此是生成茚的决速步反应。此外,在图 2中还可以发现,苯乙炔与甲基自由基通过一系列复杂的反应不仅可以生成茚(T4)和1-苯基-1-丙炔(T3)外,还可生成T1+H、T2+H、C6H5+C3H4和Int41-P4+C2H2。其中,T2由中间体Int1-P4直接脱去侧链中心碳原子上的氢原子生成的,该反应能垒为256.9 kJ/mol;T1则是由Int1-P4经氢迁移反应生成的同分异构体Int4-P3和Int4-P1分别克服172.8 kJ/mol和166.1 kJ/mol生成的;双分子解离产物C6H5+C3H4和Int41-P4+C2H2分别是通过Int4-P3→C6H5+C3H4和Int4-P1→Int41-P4+C2H2两条碳碳断键反应生成。需要注意的是它们的生成不仅进一步印证了前人所提出的关于茚的形成机制,而且同样也表明苯乙炔与甲基自由基的反应是可以生成茚的。
图 4所示为甲基自由基可加成在苯乙炔分子苯环临位碳原子上生成另一中间体Int2,其反应能垒为48.5 kJ/mol。中间体Int2后续可进行4条反应路径,其中1, 4-H迁移反应Int2→Int2-P3和成环反应Int2→Int2-P4的反应能垒较低,分别是94.9 kJ/mol和104.6 kJ/mol。而其余两条路径的反应能垒(159 kJ/mol和177 kJ/mol)较高,对整个反应体系的贡献可忽视,故本文将不对其后续的反应进行讨论。Int2-P3由Int2进行1, 4-H迁移反应生成,其后续可经过一系列反应Int2-P3→Int2-P2→Int22-P2→Int4-P3生成中间体Int4-P3。而中间体Int4-P3则可通过反应路径Int4-P3→Int41-P2→Int412-P1→T4+H最终生成茚(T4)。通过成环反应生成的中间体Int2-P4,则可通过低能垒开环生成中间体Int7-P1,再通过1, 2-H迁移反应异构生成中间体Int1-P4。随后,中间体Int1-P4也可经历一系列复杂的反应生成茚。此外,中间体Int2-P2可碳碳断键生成C6H5+C3H4,而中间体Int7-P1断键生成C6H5+C3H4-2和T2+H。由于甲基自由基与苯乙炔的反应路径较为复杂,本文仅考虑过渡态能量在125 kJ/mol以下的重要路径用于动力学数据计算。另外,由于过渡态Int4-ts4的能量(-71.1 kJ/mol) 很低,故将过渡态Int44-ts2(238.9 kJ/mol)的路径及所连接的反应考虑进去。而中间体Int4-P6生成能垒较高故贡献较小,与其相关的反应也都忽略。
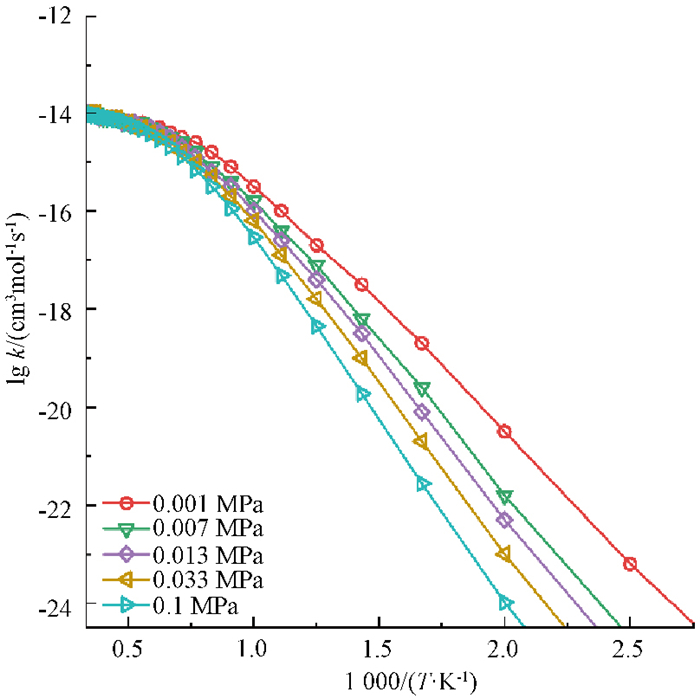
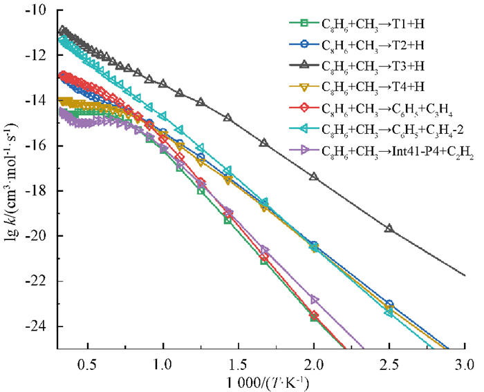
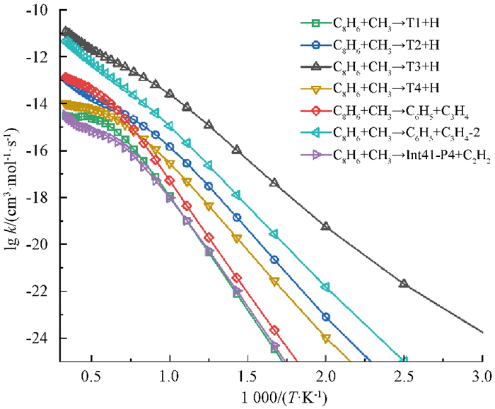
2.2 速率常数图 6~9分别展示了在0.001和0.1 MPa压力条件下,苯乙炔+甲基自由基→产物重要反应路径的温度依赖速率常数和反应分支比。从图 6和图 7中可以看出,在温度范围300~3 000 K内,T3+H的生成占据绝对主导地位,且随着温度的升高,其速率常数均可增加至10-11 cm3/(mol ·s)。此外,生成T3+H的速率常数比生成T4+H的速率常数大了几个数量级,而且这一差异在低温区间尤为显著。生成T3+H所需要克服的反应能垒较低且仅需两步反应:C8H6+CH3→Int1→T3+H;而T4+H的生成尽管后续路径能垒较低,但Int1-ts4的能垒却比Int1-ts3高了23.8 kJ/mol,并且所经多步反应从热力学角度上并不占据优势。除此之外,图 6所示,当压力为0.001 MPa时,C8H6+CH3→T2+H和C8H6+CH3→T4+H的速率常数在温度低于1 200 K条件下的差异很小。但随着温度升高,该差异逐渐变大。需要注意的是,在300~3 000 K温度区间内,C8H6+CH3→T2+H的反应速率始终是比C8H6+CH3→T4+H快,而C8H6+CH3→T1+H的反应速率最慢。因此,在苯乙炔与甲基自由基反应生成茚及其余三种同分异构体的过程中,反应速率的大小依次为:1-苯基-1-丙炔(T3)、(1, 2-丙二烯基)苯(T2)、茚(T4)和3-苯基-1-丙炔(T1)。
|
图 6 压力0.001 MPa下苯乙炔+甲基自由基→产物的温度依赖反应速率常数 Fig. 6 Temperature-dependent rate constants of phenylacetylene + methyl radical→products reactions with pressure 0.001 MPa |
|
图 7 压力0.1 MPa下苯乙炔+甲基自由基→产物的温度依赖反应速率常数 Fig. 7 Temperature-dependent rate constants of phenylacetylene + methyl radical→products reactions with pressure 0.1 MPa |
|
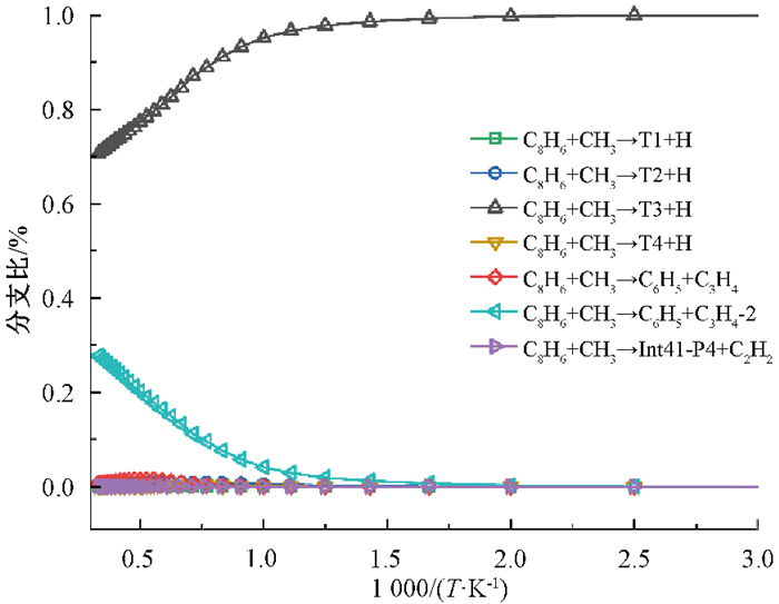
图 8 压力0.001 MPa下苯乙炔+甲基自由基→产物的反应路径分支比 Fig. 8 Branch ratios of phenylacetylene + methyl radical→products reactions with pressure 0.001 MPa |
|
图 9 压力0.1 MPa下苯乙炔+甲基自由基→产物的反应路径分支比 Fig. 9 Branch ratios of phenylacetylene + methyl radical→products reactions with pressure 0.1 MPa |
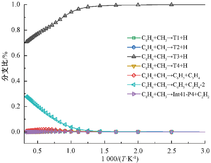
如图 8和图 9所示,当温度范围处于300~600 K时,反应生成T3+H的分支比接近1且保持不变;当温度高于600 K时,其分支比开始逐渐下降,在3 000 K时降到0.7。这意味着在整个温度区间300~3 000 K内,苯乙炔与甲基自由基主要反应生成T3+H。而相反的是,在温度高于600 K时,C8H6+CH3→C6H5+C3H4-2反应的贡献逐渐增大,其分支比在3 000 K时为0.3。而其余五个产物T1+H、T2+H、T4+H、C6H5+C3H4和Int41-P4+C2H2的反应分支比在低温区贡献可忽略不计,在高温区略有贡献,这也意味着苯乙炔与甲基自由基反应生成这些产物的产率很低。需要注意的是,压力对主要生成路径分支比的影响较小,表现为主要反应速率随压力增大而逐渐减小。此外,图 10展示了C8H6+CH3→T4+H在不同压力下的温度依赖速率常数。由图 10可知,压力的增大会导致T4+H的生成速率降低,这是因为低压更利于跃阱反应的进行,高压会导致活性反应物失活至反应势阱中。但是随着温度的升高,其生成速率减小的趋势会逐渐减缓。而在2 000~3 000 K温度区间内,C8H6+CH3→T4+H的反应速率将不受压力的影响。
|
图 10 不同压力下苯乙炔+甲基自由基→T4+H的温度依赖反应速率常数 Fig. 10 Temperature-dependent rate constants of phenylacetylene + methyl radical→T4 + H reaction with different pressures |
本文采用了量子化学和反应动力学方法对苯乙炔和甲基自由基的反应机理进行了研究,得出以下结论。
1) 甲基自由基通过加成于苯乙炔的侧链碳原子上触发双环芳烃茚的生成,其主要生成路径为C8H6+CH3→Int1→Int1-P4→Int4-P7→T4+H。此外,苯乙炔与甲基自由基反应可生成茚的三种同分异构体,分别是3-苯基-1-丙炔、(1, 2-丙二烯基)苯和1-苯基-1-丙炔。
2) 在变压力(0.001~0.1 MPa)和温度(300~3 000 K)条件下,苯乙炔与甲基自由基反应主要生成1-苯基-1-丙炔。而对于茚的主要生成反应路径苯乙炔+甲基自由基→T4+H,研究发现随着压力的增加该反应的速率常数会逐渐减小,而温度的升高,其速率减小的趋势会逐渐减缓,在温度大于2 000 K区间内该反应将不受压力的影响。
3) 苯乙炔和甲基自由基反应体系在高温区更有利于双分子解离产物C6H5+C3H4、C6H5+C3H4-2和Int41-P4+C2H2的生成,其中C6H5+C3H4-2的生成占据了重要地位。
| [1] |
TSIODRA I, GRIVAS G, TAVERNARAKI K, et al. Annual exposure to polycyclic aromatic hydrocarbons in urban envir-onments linked to wintertime wood-burning episodes[J]. Atmospheric chemistry and physics, 2021, 21(23): 17865-17883. DOI:10.5194/acp-21-17865-2021 ( 0) |
| [2] |
TIELENS A G G M. Interstellar polycyclic aromatic hydrocarbon molecules[J]. Annual review of astronomy and astrophysics, 2008, 46(1): 289-337. DOI:10.1146/annurev.astro.46.060407.145211 ( 0) |
| [3] |
GEORGANTA E, RAHMAN R K, RAJ A, et al. Growth of polycyclic aromatic hydrocarbons (pahs) by methyl radicals: pyrene formation from phenanthrene[J]. Combustion and flame, 2017, 185: 129-141. DOI:10.1016/j.combustflame.2017.07.011 ( 0) |
| [4] |
ANYAHARA, JESSICA N. Effects of polycyclic aromatic hydrocarbons (pahs) on the environment: a systematic review[J]. International journal of advanced academic research, 2021, 7(3): 12-26. ( 0) |
| [5] |
EHRENFREUND P, SEPHTON M A. Carbon molecules in space: from astrochemistry to astrobiology[J]. Faraday discussions, 2006, 133: 277-288. DOI:10.1039/b517676j ( 0) |
| [6] |
PARKER D S, KAISER R I, KOSTKO O, et al. Selective formation of indene through the reaction of benzyl radicals with acetylene[J]. Chemphyschem: a European journal of chemical physics and physical chemistry, 2015, 16(10): 2091-2093. DOI:10.1002/cphc.201500313 ( 0) |
| [7] |
FRENKLACH M. Reaction mechanism of soot formation in flames[J]. Physical chemistry chemical physics, 2002, 4(11): 2028-2037. DOI:10.1039/b110045a ( 0) |
| [8] |
PARKER D S N, ZHANG F, KIM Y S, et al. Low temperature formation of naphthalene and its role in the synthesis of pahs (polycyclic aromatic hydrocarbons) in the interstellar medium[J]. Proceedings of the national academy of sciences of the United States of America, 2012, 109(1): 53-58. ( 0) |
| [9] |
RUNDEL J A, THOMAS C M, SCHRADER P E, et al. Promotion of particle formation by resonance-stabilized radicals during hydr-ocarbon pyrolysis[J]. Combustion and flame, 2022, 243: 111942-111957. DOI:10.1016/j.combustflame.2021.111942 ( 0) |
| [10] |
DODDIPATLA S, GALIMOVA G R, WEI H, et al. Low-temperature gas-phase formation of indene in the interstellar medium[J]. Science advances, 2021, 7(1): eabd4044-4054. DOI:10.1126/sciadv.abd4044 ( 0) |
| [11] |
MCCABE M N, HEMBERGER P, REUSCH E, et al. Off the beaten path: almost clean formation of indene from the ortho-benzyne + allyl reaction[J]. The journal of physical chemistry letters, 2020, 11(8): 2859-2863. DOI:10.1021/acs.jpclett.0c00374 ( 0) |
| [12] |
KUKKADAPU G, WAGNON S W, PITZ W J, et al. Identification of the molecular-weight growth reaction network in counterflow flames of the C3H4 isomers allene and propyne[J]. Proceedings of the combustion institute, 2021, 38(1): 1477-1485. DOI:10.1016/j.proci.2020.07.130 ( 0) |
| [13] |
APPEL J, BOCKHORN H, FRENKLACH M. Kinetic modeling of soot formation with detailed chemistry and physics: laminar premixed flames of C2 hydrocarbons[J]. Combustion and flame, 2000, 121(1/2): 122-136. ( 0) |
| [14] |
JIN H, YE L, YANG J, et al. Inception of carbonaceous nanostructures via hydrogen-abstraction phenylacetylene-addition me-chanism[J]. Journal of the American chemical society, 2021, 143(49): 20710-20716. DOI:10.1021/jacs.1c08230 ( 0) |
| [15] |
KAISER R I, ZHAO L, LU W, et al. Formation of benzene and naphthalene through cyclopentadienyl-mediated radical-radical reactions[J]. The journal of physical chemistry letters, 2022, 13(1): 208-213. DOI:10.1021/acs.jpclett.1c03733 ( 0) |
| [16] |
ZHAO L, KAISER R I, LU W, et al. Molecular mass growth through ring expansion in polycyclic aromatic hydro-carbons via radical-radical reactions[J]. Nature communications, 2019, 10(1): 3689-3695. DOI:10.1038/s41467-019-11652-5 ( 0) |
| [17] |
SHUKLA B, MIYOSHI A, KOSHI M. Role of methyl radicals in the growth of pahs[J]. Journal of the American society for mass spectrometry, 2010, 21(4): 534-544. DOI:10.1016/j.jasms.2009.12.019 ( 0) |
| [18] |
MEBEL A M, GEORGIEVSKII Y, JASPER A W, et al. Pressure-dependent rate constants for pah growth: formation of indene and its conversion to naphthalene[J]. Faraday discuss, 2016, 195: 637-670. DOI:10.1039/C6FD00111D ( 0) |
| [19] |
ECKART C. The penetration of a potential barrier by electrons[J]. Physical review, 1930, 35(11): 1303-1309. DOI:10.1103/PhysRev.35.1303 ( 0) |
| [20] |
GEORGIEVSKII Y, MILLER J A, BURKE M P, et al. Reformulation and solution of the master equation for multiple-well chemical reactions[J]. The journal of physical chemistry A, 2013, 117(46): 12146-12154. DOI:10.1021/jp4060704 ( 0) |
| [21] |
LIN S-K, MARCH J. March's advanced organic chemistry: reactions, mechanisms, and structure, 5th edition[J]. Organic process research & development, 2001, 6(12): 1064-1065. ( 0) |
2026, Vol. 58



0)