全磷和Olsen-P是土壤磷素养分的重要指标,全磷反映了土壤磷库的大小,Olsen-P代表可供作物当季吸收利用的磷素水平,其为确定磷肥用量和农田磷环境风险评价的重要指标[1]。农业生产中磷肥的当季利用率较低 (10%~25%),大量的磷肥以磷酸盐残留在土壤中[2]。当磷素投入不足时,土壤磷素缺乏会导致农作物减产;但磷素投入远远高于作物需要时,又会引起磷素大量盈余[3]。如果土壤长期处于磷素盈余状态,会增加磷素流失而加剧水体环境污染的风险[4]。不同土壤、轮作制度、施肥模式下土壤磷含量对磷盈亏的响应关系存在差异[5–12]。张丽等[5]指出我国东北黑土区磷盈亏不同导致其有效磷的变化不同,土壤磷每盈余100 kg/hm2,有效磷含量可增加5.28 mg/kg。杨振兴等[6]发现褐土区土壤每累积磷100 kg/hm2时,不施肥导致土壤Olsen-P降低0.5 mg/kg,而无机肥提高土壤Olsen-P 4.3 mg/kg,有机无机配施提高土壤Olsen-P 9.1 mg/kg,可见磷肥种类对土壤磷素提升水平影响较大。裴瑞娜等[7]分析了黑垆土区28年不同施肥处理下土壤磷素盈亏与土壤Olsen-P的变化特征,指出土壤Olsen-P随磷素盈余而变化与加入磷素形态密切相关,长期单施化学磷肥提升土壤Olsen-P的速率显著大于单施有机肥。Cao等[8]认为土壤Olsen-P的变化量与磷素平衡存在极显著正相关,当新疆灰漠土磷盈余量达到100 kg/hm2时,Olsen-P增加约1.44 mg/kg。袁天佑等[9]在潮土区研究发现土壤磷每盈亏100 kg/hm2时,不施肥土壤Olsen-P下降2.7 mg/kg,施肥Olsen-P增加1.2 mg/kg。我国西南地区紫色水稻土不施磷肥土壤磷素年亏缺量约为15.35 kg/hm2,施磷肥土壤磷素年盈余量为18.32~86.92 kg/hm2,年未知去向磷量为4.99~59.39 kg/hm2;随磷肥施用年限持续,磷素迁移深度和迁移量增大,有机肥的施用促使磷素向土壤深层迁移[10]。黄壤性水稻土土壤Olsen-P含量变化与磷肥施用量有关,当年施磷肥 (P) 17.4 kg/hm2可维持土壤磷素持平;黄壤性水稻土长期单施化学磷肥提升土壤Olsen-P的速率大于施用有机肥[11]。我国南方红壤性水稻土30年不施肥土壤Olsen-P年下降速率为0.35 mg/kg,单施化学磷肥、化学磷肥和有机肥配施处理Olsen-P年增长速率为0.18~1.62 mg/kg,全磷含量年变化速率为4.3~22.9 mg/kg;化肥配施有机肥不仅提高土壤Olsen-P及全磷的含量,还增加磷素活化效率[12]。综上所述,气候条件、土壤类型、肥料种类等对土壤中磷素含量与磷平衡的响应关系影响较大,而我国西南地区紫色水稻土施磷后土壤磷含量对磷盈余的响应关系尚不清楚,尤其是对不同形态磷素投入条件下土壤磷水平与磷盈亏关系研究较少。本研究以34年 (1982~2015年) 的紫色水稻土肥料定位试验为依托,分析了作物磷吸收、土壤磷盈亏状况,以及土壤磷含量与磷平衡的关系,探讨磷素盈亏对土壤全磷、Olsen-P增量的影响,为紫色土稻区合理施用磷肥提供理论依据。
1 材料与方法 1.1 供试材料于1982年开始进行紫色水稻土长期定位试验,地点设在四川省遂宁市船山区永兴镇四川省农业科学院土壤肥料研究所紫色土野外观测试验点 (E 105°03′26″、N 30°10′50″,海拔288.1 m)。该区属亚热带湿润季风气候,年均气温17.4℃,年均降水量930 mm,无霜期337 d,年日照时数1227 h。供试土壤为钙质紫色水稻土,为侏罗系遂宁组砂页岩母质发育的红棕紫泥田,试验开始前 0—20 cm耕层土壤pH 8.6、有机质15.9 g/kg、全氮1.09 g/kg、碱解氮 66.3 mg/kg、全磷 (P2O5) 1.35 g/kg、有效磷 (P2O5) 8.9 mg/kg、全钾 (K2O) 26.89 g/kg、速效钾 (K2O) 130 mg/kg,该土壤钾素丰富、磷素不足。
1.2 试验设计长期肥料定位试验设8个处理 (表1),小区面积13.4 m2 (4 m × 3.34 m),重复4次,小区随机区组排列,各小区间用离地面高20 cm的水泥板分隔。种植制度为水稻–小麦一年两熟轮作模式。水稻移栽前人工整地,灌水后栽秧再施基肥;小麦采用免耕种植,直接在稻茬上打窝,施基肥后播种。水稻与小麦肥料用量相同,N、P、K分别为尿素、过磷酸钙、氯化钾,有机肥为猪粪水,含水量约70%,干物质含氮 20~22 g/kg,P2O5 18~25 g/kg,K2O 13~16 g/kg。有机肥与磷肥作基肥;水稻季60%氮肥和50%钾肥作基肥,剩余40%氮肥和50%钾肥作分蘖肥;小麦季30%氮肥和50%钾肥作基肥,剩余70%氮肥和50%钾肥作拔节肥。
| 表1 长期定位试验每季作物 (水稻或小麦) 施肥量[kg/(hm2·a)] Table 1 Fertilizer rates of the long-term trial in every season crop (rice or wheat) |
![]() |
采样年份水稻收获后 (9—10月份),按“S”型采集小区0—20 cm混合土样,样品风干后研磨过筛备用。1982、1986、1994、1998、2005、2011、2012、2014和2015年测定土壤全磷;1982、1986、1987、1988、1989、1990、1994、1998、2005、2011、2012、2014和2015年测定土壤有效磷。土壤全磷用氢氧化钠熔融—钼锑抗比色法测定,有效磷用Olsen法测定[12]。本文数据处理土壤全磷和Olsen-P均以P表示。
1.4 计算方法与统计分析作物吸磷量、磷素盈余和磷增量计算公式如下[11]:
作物吸磷量 = 籽粒产量 × 籽粒含磷量 + 秸秆产量 × 秸秆含磷量
磷素盈亏 = 施磷量 – 作物吸磷量
土壤磷增量 = 测定年份土壤含磷量 – 土壤含磷量初始值
试验数据采用Excel2007进行分析作图,DPS软件进行统计分析,差异显著性检验采用LSD法 (P < 0.05)。
2 结果与分析 2.1 长期施肥土壤磷盈亏图1为不同施肥处理34年作物地上部分携出磷量。作物携出磷量与其生物量密切相关,生物量越大,携出磷越多。CK和N处理携出磷量较低,每年从土壤中带走的磷约为12.34和14.10 kg/hm2,M与MN处理磷素携出量相差不大,比不施磷肥的CK和N处理提高了约1.73倍,分别为21.65和24.09 kg/hm2,而化肥配施有机肥处理 (MNP和MNPK) 作物携出磷量略高于单施化学磷肥处理 (NP和NPK),4个处理年平均磷素携出量在41.71~45.62 kg/hm2之间。不施磷肥的CK和N处理作物地上部携出磷量随种植年限的延续基本稳定地维持在较低的水平,单施有机肥的M和MN处理磷素携出量呈增加趋势,而施用磷肥的NP、NPK、MNP和MNPK处理作物吸磷量随时间稍有下降,这主要与年季降雨影响作物产量有关。由于有机肥的施用增加了作物生物量,化肥配施有机肥处理磷素携出量高于单施化肥相应各处理,有机无机配施处理平均每年从土壤中带走磷量比单施化学磷肥与单施有机肥处理增加了7.91%和99.34%。上述结果说明有机肥配施化肥比单施化肥和单施有机肥更能有效促进作物对磷素的吸收。
![]() |
| 图1 单施化肥 (左) 和化肥配施有机肥 (右) 处理作物携出磷量 (1982—2015) Fig. 1 P removed by crop in treatments of chemical fertilizer (Left) and chemical fertilizer plus manure (Right) in different experimental years (1982–2015) |
图2显示了不同施肥处理34年土壤磷素盈亏状况,当磷素投入高于作物吸收时,土壤表现出磷素盈余,反之为亏缺。由于没有肥料磷素直接投入,加之降雨、灌溉等其他磷素间接来源极少,CK和N处理作物吸收的磷主要来源于土壤自身,因此磷素一直处于亏缺状态,平均每年亏缺磷量分别为12.34和14.10 kg/hm2,磷素亏缺量随施肥时间持续而增加。其他处理由于磷素投入量高于作物携出量,土壤磷素处于盈余状态。不同处理间土壤磷素盈余量存在显著差异,年均盈余量为8.76~88.79 kg/hm2,且随施肥年限的延续土壤磷素盈余量呈上升趋势。NP和NPK处理磷素投入量相同,并且作物携出磷量差异不大,两个处理磷盈余量基本一致,年均磷素盈余量分别为8.76和9.84 kg/hm2;同样的原因,M和MN处理磷盈余量也十分接近,年均盈余量分别为61.15和58.70 kg/hm2;而MNP和MNPK处理磷素投入量远大于作物携出量,年均磷素盈余量在88.00 kg/hm2以上,显著高于其他处理。化肥配施有机肥处理比单施化肥和有机肥处理磷素年盈余量提高了854.4%和48.1%。
![]() |
| 图2 单施化肥 (左) 和化肥配施有机肥 (右) 处理土壤磷盈亏量 (1982—2015) Fig. 2 Soil P balances in treatments of chemical fertilizer (Left) and chemical fertilizer plus manure (Right) (1982–2015) |
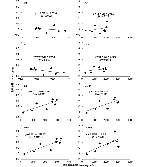
长期不同施肥处理下,土壤中累积磷盈余 (磷平衡) 对土壤全磷的消长存在不同影响。各处理土壤全磷增量与土壤累积磷盈余之间的线性回归方程见图3,各方程中x为土壤累积磷盈亏量 (kg/hm2),y为土壤全磷增量 (g/kg),回归方程中的斜率代表土壤磷每增减1个单位 (kg/hm2) 相应的土壤全磷消长量 (g/kg)[7, 11]。由图3可知,CK、N、M和MN处理土壤全磷增量对磷盈亏响应关系不显著;土壤累积磷每100 kg/hm2,无磷投入的CK和N处理土壤中全磷含量仅降低0.02和0.03 g/kg,有机磷投入的M和MN处理土壤全磷含量分别增加0.007和0.006 g/kg;可见CK、N、M和MN处理磷盈亏对土壤全磷含量影响很小,可近似认为没有影响。NP和NPK处理,土壤全磷增量与累积磷盈亏呈显著或极显著正相关。由于单施无机磷肥的2个处理 (NP和NPK) 施磷水平一致,磷盈亏每增减一个单位,土壤全磷增量非常接近,即土壤磷每累积100 kg/hm2,土壤中全磷含量分别提高0.14和0.16 g/kg。有机无机磷肥配施的MNP和MNPK处理土壤全磷增量与累积磷盈亏也呈显著正相关,但全磷增量对磷盈亏的响应程度小于单施无机磷肥处理,即土壤磷每累积100 kg/hm2,土壤中全磷含量分别增加0.015和0.018 g/kg。表现出有机肥与化肥配施提升紫色水稻土全磷的速率小于单施化肥磷肥。
![]() |
| 图3 不同施肥处理土壤全磷增量与累积磷盈余的关系 (1982—2015) Fig. 3 Correlations between soil total P change and P balance of different treatments (1982–2015) [注(Note):*—P<0.05; **—P<0.01.] |
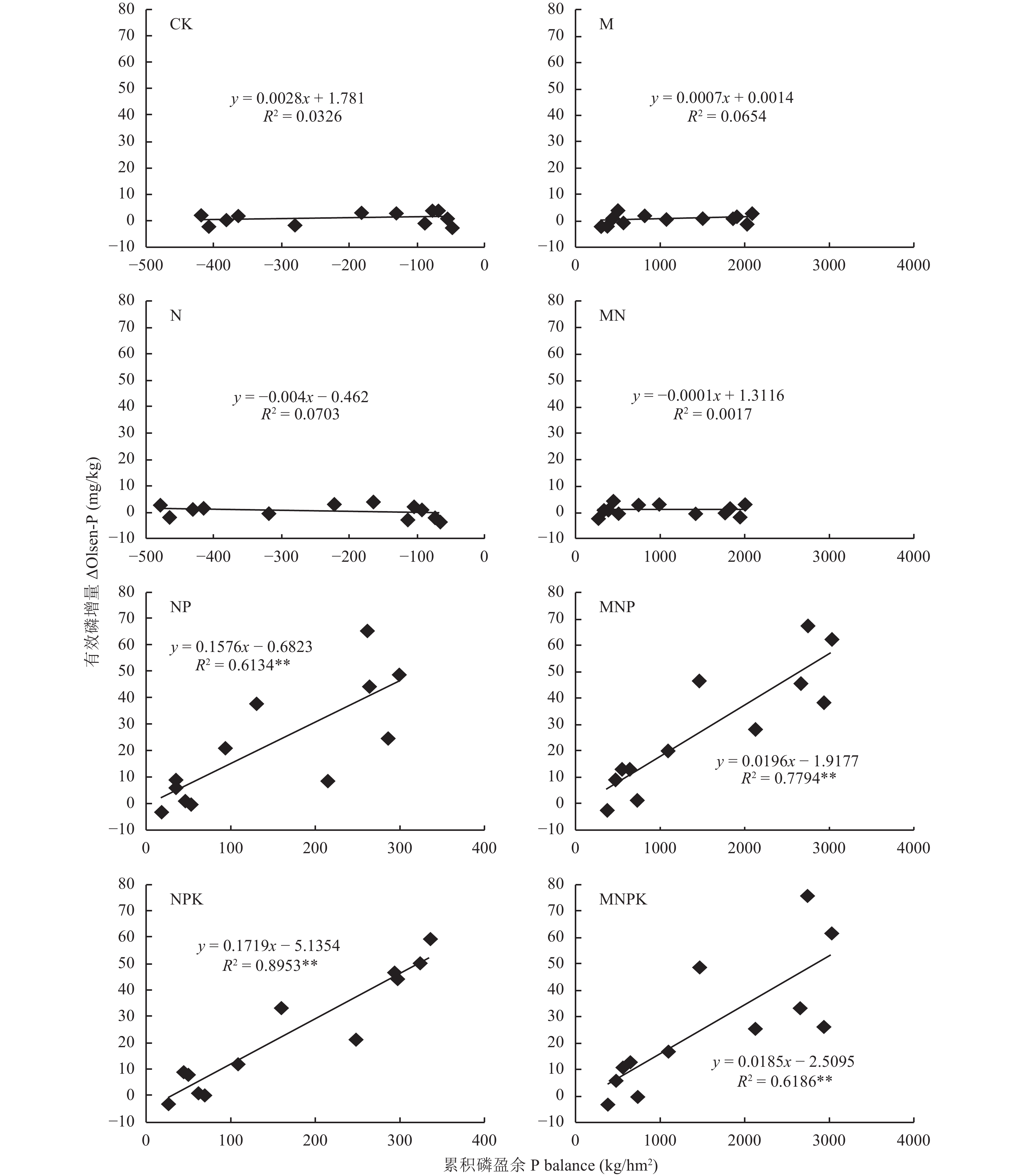
由图4可知,土壤Olsen-P增量对磷素盈余的响应关系与磷盈余和全磷增量消长关系相似,即CK、N、M和MN处理磷素盈余与土壤Olsen-P增量相关不显著,而NP、NPK、MNP和MNPK处理呈极显著线性正相关。由直线回归方程可知,土壤磷每累积100 kg/hm2,CK和M处理土壤中Olsen-P含量分别提高0.28和0.07 mg/kg;N和MN处理由于施用了氮肥,提高了作物生物量,增加了土壤磷素消耗,因此土壤磷每盈余100 kg/hm2,土壤中Olsen-P含量分别降低0.4和0.01 mg/kg;无机磷投入的NP和NPK处理,土壤磷每累积100 kg/hm2,土壤中Olsen-P含量分别增加15.76和17.19 mg/kg;但有机无机磷投入的MNP和MNPK处理土壤Olsen-P增量对磷盈亏的响应程度小于单施无机磷肥的NP和NPK处理,即土壤磷每累积100 kg/hm2,土壤中Olsen-P含量分别增加1.96和1.85 mg/kg。综上所述,土壤Olsen-P含量随土壤磷素盈余而变化与磷肥施用种类密切相关;土壤磷每累积100 kg/hm2,在不施磷肥条件下,土壤中Olsen-P含量降低0.06 mg/kg,单施无机磷肥、单施有机磷肥和有机无机磷肥配施情况下,土壤中Olsen-P含量分别增加16.48、0.03和1.91 mg/kg;说明紫色水稻土长期单施化学磷肥提升土壤Olsen-P的速率大于施用有机肥。
![]() |
| 图4 不同施肥处理土壤有效磷增量与累积磷盈余的关系 (1982—2015) Fig. 4 Correlations between soil Olsen-P change and P balance of different treatments (1982–2015) [注(Note):**—P<0.01.] |
土壤磷素盈亏状态与作物携出磷及磷肥施用量有很大关系。当土壤磷素较低时,通过施磷肥来提高土壤含磷水平对作物增产及土壤质量提升是必需的;磷肥投入过量,土壤中磷素呈现盈余状况,这不仅浪费磷资源,也增加了磷的环境风险[13–14]。紫色水稻土34年的监测表明,长期不施磷肥 (CK和N) 土壤磷素一直处于亏缺状态,年亏缺磷量约为13.22 kg/hm2,且随施肥时间持续磷素亏缺量越来越大;这主要是由于长期没有磷素投入,加之降雨、灌溉等其他磷素来源较少,作物不断消耗土壤磷素,从而导致不施磷肥土壤中磷素表现出亏缺状态。这与Cao等[8]对中国多个长期定位试验研究结果一致。无论施用有机肥或化肥,土壤磷素均有盈余,但不同处理间差异较大,年均磷盈余量在8.76~88.79 kg/hm2之间变化,且随施肥年限的延续土壤磷素盈余量呈上升趋势;单施化学磷肥的NP和NPK处理年均磷素盈余量为8.76和9.84 kg/hm2,单施有机肥的M和MN处理年盈余磷量为61.15和58.70 kg/hm2,而有机肥配施化肥的MNP和MNPK处理年磷素盈余量为88.79与88.72 kg/hm2。因为施用有机肥后磷素投入量高于作物吸磷量,引起有机肥处理土壤磷素大量盈余,单施有机肥土壤磷素盈余量是单施化肥的6.44倍。说明目前有机肥施用水平可以维持紫色水稻土磷素平衡,且磷素呈现出大量积累。刘彦伶等[11]发现贵州黄壤性水稻土19年连续单施有机肥土壤中磷素盈余量是NPK平衡施肥的5.1倍,杨军等[15]对天津潮土长期监测也发现单施有机肥土壤磷素呈盈余状态,这些研究与本试验结果一致。而石孝均[16]指出重庆紫色土10年单施猪粪时不能维持土壤磷素平衡,年磷素亏缺量为8.82 kg/hm2,与本试验结果相反,一方面是因为有机肥施用量有差异 (本试验有机肥年投入量30 t/hm2,重庆22.5 t/hm2) 引起磷素投入量不同;另一方面石孝均的试验所选土壤为中性紫色土 (pH 7.6),本试验为碱性紫色土 (pH 8.6),pH较低土壤可能更利于有机肥中磷素的活化,导致磷素淋溶损失增强[4, 17]。本研究还发现化肥配施有机肥处理比单施化学磷肥和单施有机肥土壤磷素年盈余量提高了854.4%和48.1%,由于不同施磷处理土壤磷素投入和作物吸磷量的不同,引起土壤磷盈余量存在较大差异。本试验中化学磷肥所有处理的磷素投入水平一致,每年投入磷约52 kg/hm2,有机肥投入的磷素是额外增加的,每年约84 kg/hm2,导致化学磷肥与有机肥配施时磷素投入量远远高于单施化学磷肥和有机肥处理;同时,由于本试验基础肥力磷素极度缺乏,M和MN处理下作物产量受缺磷胁迫一直处于较低水平,作物每年携出磷量较低,而施用化学磷肥的 (NP、NPK、MNP和MNPK) 处理作物产量差异不大,作物吸收磷量也相差不多,导致有机肥与化学磷肥配施处理土壤磷素盈余量远远高于单施有机肥和化肥处理。这与国内外多数研究结果一致[12, 18–20]。总体上看,本试验中单施有机肥及有机无机配施处理土壤中磷素盈余过量,说明土壤中磷素有一定量盈余时应减少有机肥的施用量,以免造成因过量施肥增加环境风险。
土壤的磷素含量与磷盈亏状态关系密切。大量研究表明土壤磷素平衡与土壤磷含量之间呈显著的正相关,可以用来预测不同施肥处理下土壤全磷和Olsen-P的变化趋势[5–9, 18–19, 21]。本试验也得到相似的结果,即施用化学磷肥和有机无机磷肥配施处理,土壤中累积的磷素与土壤全磷和Olsen-P的变化均呈显著线性相关关系。根据是否施磷与施磷形态可分三种情况进行分析。第一种是不施磷,当土壤每亏缺磷100 kg/hm2时,不施磷 (CK和N) 处理土壤全磷和Olsen-P含量分别增加0.03 g/kg和0.06 mg/kg,但未达显著差异,表明不施磷肥对土壤的磷素含量影响不大。作物生长不断消耗土壤自身的磷素,造成土壤磷含量下降,当磷素下降到一定水平时保持基本稳定;因为土壤中不同形态磷素之间存在一种动态平衡关系,在磷素投入极少的情况下,土壤各缓效态磷转化释放有效磷以补充土壤磷素亏缺[22–24]。第二种是单施有机肥,当土壤磷每盈余100 kg/hm2时,单施有机肥 (M和MN) 处理土壤全磷和Olsen-P含量分别增加0.007 g/kg和0.03 mg/kg,且均无显著差异,说明单施有机肥对土壤磷素含量影响不大。樊红柱等[10]在本试验中进行磷素平衡研究,结果表明施用有机肥时土壤中年未知去向磷为29.60~61.89 kg/hm2,平均年未知去向磷量为47.17 kg/hm2,虽然单施有机肥土壤中年表观盈余磷量达59.93 kg/hm2,但磷素净盈余量仅为12.76 kg/hm2,所以有机肥的投入并没有显著提升土壤中磷素含量;可能是由于水旱轮作体系稻田在干湿交替过程中提高了微生物活性,加速了有机肥的分解,也增加磷素的淋溶损失[10, 25]。第三种是单施化学磷肥和化肥配施有机肥,NP、NPK、MNP和MNPK处理土壤全磷和Olsen-P含量均与土壤磷素盈余量呈极显著正相关,表明不论是长期施用化学磷肥或有机无机肥料配施均能显著增加土壤磷素含量。这与多数研究结果一致[7, 12, 20]。土壤磷每累积100 kg/hm2时,单施化学磷肥 (NP和NPK) 和化肥配施有机肥 (MNP和MNPK) 处理土壤中全磷含量提高0.15和0.017 g/kg,土壤Olsen-P含量分别增加16.48和1.91 mg/kg,说明紫色水稻土长期单施化学磷肥提升土壤全磷和Olsen-P的速率大于施用有机肥。土壤Olsen-P增量对磷盈亏的响应关系受土壤类型、作物种类、轮作制度、施肥等农田管理措施,影响较大。刘彦伶等[11]在贵州黄壤性水稻土,裴瑞娜等[7]在甘肃的黑垆土,沈浦[26]在中国水旱轮作区研究了长期定位试验下土壤磷累积盈余量与Olsen-P增量的关系,结果均显示单施化学磷肥比有机肥配施化肥能提高更多的Olsen-P,这与本研究结果一致。杨军等[15]在潮土,李渝等[27]在西南黄壤旱地上进行长期监测,指出化肥配施有机肥比单施化学磷肥能提高土壤更多的Olsen-P,这与本研究结果相反。沈浦[26]对中国双季旱作区的报道与杨军等[15]和李渝等[27]的结果一致;而水旱轮作区结果却相反,表现为单施化学磷肥比有机肥配施化肥能提高更多的Olsen-P,这与本研究结果相似。可能是淹水条件下,增施有机肥后加剧了土壤还原过程,增加了土壤中铁氧化物等对磷的固定[11, 28];同时,有机肥的加入促进了土壤磷的有效化,一方面加入的有机肥对土壤无机磷的固定速度远大于土壤磷的有效化速度,另一方面在水旱交替环境下活化的磷素更容易向土壤深层淋溶迁移[7, 17];此外,化学磷肥主要投入无机形态磷,有机肥则以有机磷形态投入为主,特别是高稳态有机磷,有机肥的加入促进无机磷向有机磷的转化,导致土壤无机磷下降[7, 11, 29]。因此,化学磷肥对土壤磷素含量的影响较大,施用化学磷肥后土壤磷含量增量大于施用有机肥。
4 结论不施磷紫色水稻土作物从土壤中年均带走磷约13.22 kg/hm2,单施有机肥磷素携出量比不施磷肥提高了1.73倍,施磷情况下携出磷量在41.71~45.62 kg/hm2之间,有机无机配施促进作物对磷素的吸收。长期不施磷肥导致土壤磷素常年处于亏缺状态,施磷土壤中磷素均有盈余,年均盈余量为8.76~88.79 kg/hm2,且有机无机肥料配施条件下土壤磷素盈余量最大,而单施无机磷肥土壤磷素盈余量最小,施磷情况下土壤磷素盈余量随施肥年限的延续呈上升趋势。不施磷或单施有机肥条件下,磷素盈亏量对土壤全磷和Olsen-P增量无显著影响;单施无机磷肥或有机无机肥料配施时土壤磷平衡与土壤全磷和Olsen-P增量呈显著正相关。土壤磷每盈余100 kg/hm2,NP、NPK、MNP和MNPK处理土壤中全磷分别增加0.14、0.16、0.015和0.018 g/kg,土壤中Olsen-P分别提高15.76、17.19、1.96和1.85 mg/kg。西南紫色水稻土单施化学磷肥提升土壤磷含量的速率大于施用有机肥。
| [1] |
曲均峰, 李菊梅, 徐明岗, 等. 中国典型农田土壤磷素演化对长期单施氮肥的响应[J].
中国农业科学, 2009, 42(11): 3933–3939.
Qu J F, Li J M, Xu M G, et al. Response of typical soil phosphorus evolution to long-term single nitrogen fertilization[J]. Scientia Agricultura Sinica, 2009, 42(11): 3933–3939. DOI:10.3864/j.issn.0578-1752.2009.11.021 |
| [2] |
张福锁, 王激清, 张卫峰, 等. 中国主要粮食作物肥料利用率现状与提高途径[J].
土壤学报, 2008, 45(5): 915–924.
Zhang F S, Wang J Q, Zhang W F, et al. Nutrient use efficiencies of major cereal crops in China and measures for improvement[J]. Acta Pedologica Sinica, 2008, 45(5): 915–924. |
| [3] |
宋春, 韩晓增. 长期施肥条件下土壤磷素的研究进展[J].
土壤, 2009, 41(1): 21–26.
Song C, Han X Z. Advances in phosphorus in long-term fertilized soil[J]. Soils, 2009, 41(1): 21–26. |
| [4] | Zhao H B, Li H G, Yang X Y, et al. The critical soil P levels for crop yield, soil fertility and environmental safety in different soil types[J]. Plant and Soil, 2013, 372: 27–37. DOI:10.1007/s11104-013-1696-y |
| [5] |
张丽, 任意, 展晓莹, 张淑香. 常规施肥条件下黑土磷盈亏及其有效磷的变化[J].
核农学报, 2014, 28(9): 1685–1692.
Zhang L, Ren Y, Zhan X Y, Zhang S X. Soil phosphorus balance and changes of Olsen-P of black soil under long-term conventional fertilization[J]. Journal of Nuclear Agricultural Sciences, 2014, 28(9): 1685–1692. |
| [6] |
杨振兴, 周怀平, 解文艳, 等. 长期施肥褐土Olsen-P对磷盈亏的响应[J].
植物营养与肥料学报, 2015, 21(6): 1529–1535.
Yang Z X, Zhou H P, Xie W Y, et al. Response of Olsen-P to P balance in cinnamon soil under long-term fertilization[J]. Journal of Plant Nutrition and Fertilizer, 2015, 21(6): 1529–1535. DOI:10.11674/zwyf.2015.0619 |
| [7] |
裴瑞娜, 杨生茂, 徐明岗, 等. 长期施肥条件下黑垆土Olsen-P对磷盈亏的响应[J].
中国农业科学, 2010, 43(19): 4008–4015.
Pei R N, Yang S M, Xu M G, et al. Response of Olsen-P to P balance in black loessial soil under long-term fertilization[J]. Scientia Agricultura Sinica, 2010, 43(19): 4008–4015. DOI:10.3864/j.issn.0578-1752.2010.19.013 |
| [8] | Cao N, Chen X P, Cui Z L, Zhang F S. Change in soil available phosphorus in relation to the phosphorus budget in China[J]. Nutrient Cycling in Agroecosystems, 2012, 94: 161–170. DOI:10.1007/s10705-012-9530-0 |
| [9] |
袁天佑, 王俊忠, 冀建华, 等. 长期施肥条件下潮土Olsen-P的演变及其对磷盈亏的响应[J].
核农学报, 2017, 31(1): 125–134.
Yuan T Y, Wang J Z, Ji J H, et al. Changes in soil available phosphorus and its response to phosphorus balance under long-term fertilization in Fluvo-aquic soil[J]. Journal of Nuclear Agricultural Sciences, 2017, 31(1): 125–134. DOI:10.11869/j.issn.100-8551.2017.01.0125 |
| [10] |
樊红柱, 陈庆瑞, 秦鱼生, 等. 长期施肥紫色水稻土磷素累积与迁移特征[J].
中国农业科学, 2016, 49(8): 1520–1529.
Fan H Z, Chen Q R, Qin Y S, et al. Characteristics of phosphorus accumulation and movement in a calcareous purple paddy soil profile as affected by long-term fertilization[J]. Scientia Agricultura Sinica, 2016, 49(8): 1520–1529. DOI:10.3864/j.issn.0578-1752.2016.08.009 |
| [11] |
刘彦伶, 李渝, 张雅蓉, 等. 长期施肥对黄壤性水稻土磷平衡及农学阈值的影响[J].
中国农业科学, 2016, 49(10): 1903–1912.
Liu Y L, Li Y, Zhang Y R, et al. Effect of long-term fertilization on the P balance and critical value of soil Olsen-P in paddy soil from yellow earth[J]. Scientia Agricultura Sinica, 2016, 49(10): 1903–1912. DOI:10.3864/j.issn.0578-1752.2016.10.007 |
| [12] |
黄晶, 张杨珠, 徐明岗, 高菊生. 长期施肥下红壤性水稻土Olsen-P的演变特征及对磷平衡的响应[J].
中国农业科学, 2016, 49(6): 1132–1141.
Huang J, Zhang Y Z, Xu M G, Gao J S. Evolution characteristics of soil available phosphorus and its response to soil phosphorus balance in paddy soil derived from red earth under long-term fertilization[J]. Scientia Agricultura Sinica, 2016, 49(6): 1132–1141. DOI:10.3864/j.issn.0578-1752.2016.06.009 |
| [13] | Yang L J, Zhang Y L, Li F S, lemcoff J H. Soil phosphorus distribution as affected by irrigation methods in plastic film house[J]. Pedosphere, 2011, 21(6): 712–718. DOI:10.1016/S1002-0160(11)60174-4 |
| [14] | Bai Z H, Ma L, Ma W Q, et al. Changes in phosphorus use and losses in the food chain of China during 1950–2010 and forecasts for 2030[J]. Nutrient Cycling in Agroecosystems, 2016, 104: 361–372. DOI:10.1007/s10705-015-9737-y |
| [15] |
杨军, 高伟, 任顺荣. 长期施肥条件下潮土土壤磷素对磷盈亏的响应[J].
中国农业科学, 2015, 48(23): 4738–4747.
Yang J, Gao W, Ren S R. Response of soil phosphorus to P balance under long-term fertilization in fluvo-aquic soil[J]. Scientia Agricultura Sinica, 2015, 48(23): 4738–4747. DOI:10.3864/j.issn.0578-1752.2015.23.015 |
| [16] |
石孝均. 水旱轮作体系中的养分循环特征[D]. 北京: 中国农业大学博士学位论文, 2003.
Shi X J. Characteristics of nutrient cycling in the rice-wheat rotation system[D]. Beijing: PhD Dissertation of China Agricultural University, 2003. |
| [17] |
李学平, 石孝均, 刘萍, 隋涛. 紫色土磷素流失的环境风险评估—土壤磷的" 临界值”[J].
土壤通报, 2011, 42(5): 1153–1158.
Li X P, Shi X J, Liu P, Sui T. Environmental risk assessment about purple soil phosphorus loss—Its phosphorus " change-point”[J]. Chinese Journal of Soil Science, 2011, 42(5): 1153–1158. |
| [18] | Shen P, Xu M G, Zhang H M, et al. Long-term response of soil Olsen P and organic C to the depletion or addition of chemical and organic fertilizers[J]. Catena, 2014, 118: 20–27. DOI:10.1016/j.catena.2014.01.020 |
| [19] | Zhan X Y, Zhang L, Zhou B K, et al. Changes in Olsen phosphorus concentration and its response to phosphorus balance in black soils under different long-term fertilization patterns[J]. PLoS One, 2015, 10(7): 1–15. |
| [20] |
叶会财, 李大明, 黄庆海, 等. 长期不同施肥模式红壤性水稻土磷素变化[J].
植物营养与肥料学报, 2015, 21(6): 1521–1528.
Ye H C, Li D M, Huang Q H, et al. Variation of soil phosphorus under long-term fertilization in red paddy soil[J]. Journal of Plant Nutrition and Fertilizer, 2015, 21(6): 1521–1528. DOI:10.11674/zwyf.2015.0618 |
| [21] | Tang X, Li J M, Ma Y B, et al. Phosphorus efficiency in long-term (15 years) wheat-maize cropping systems with various soil and climate conditions[J]. Field Crops Research, 2008, 108: 231–237. DOI:10.1016/j.fcr.2008.05.007 |
| [22] | Takahashi S, Anwar M R. Wheat grain yield, phosphorus uptake and soil phosphorus fraction after 23 years of annual fertilizer application to an Andosol[J]. Field Crops Research, 2007, 101: 160–171. DOI:10.1016/j.fcr.2006.11.003 |
| [23] | Hu B, Jia Y, Zhao Z H, et al. Soil P availability, inorganic P fractions and yield effect in a calcareous soil with plastic-film-mulched spring wheat[J]. Field Crops Research, 2012, 137: 221–229. DOI:10.1016/j.fcr.2012.08.014 |
| [24] |
黄绍敏, 宝德俊, 皇甫湘荣, 等. 长期施肥对潮土土壤磷素利用与积累的影响[J].
中国农业科学, 2006, 39(1): 102–108.
Huang S M, Bao D J, Huangfu X R, et al. Effect of long-term fertilization on utilization and accumulation of phosphate nutrient in fluvo-aquic soil[J]. Scientia Agricultura Sinica, 2006, 39(1): 102–108. |
| [25] | Sharpley A N, Mcdowell R, Kleinman P. Amounts, forms, and solubility of phosphorus in soils receiving manure[J]. Soil Science Society of America Journal, 2004, 68(6): 2048–2057. DOI:10.2136/sssaj2004.2048 |
| [26] |
沈浦. 长期施肥下典型农田土壤有效磷的演变特征及机制[D]. 北京: 中国农业科学院博士学位论文, 2014.
Shen P. Evolution characteristics and mechanisms of soil available phosphorus in typical croplands under long-term fertilization [D]. Beijing: PhD Dissertation of Chinese Academy of Agricultural Sciences, 2014. |
| [27] |
李渝, 刘彦伶, 张雅蓉, 等. 长期施肥条件下西南黄壤旱地有效磷对磷盈亏的响应[J].
应用生态学报, 2016, 27(7): 2321–2328.
Li Y, Liu Y L, Zhang Y R, et al. Response of Olsen-P to P balance in yellow soil upland of southwestern China under long-term fertilization[J]. Chinese Journal of Applied Ecology, 2016, 27(7): 2321–2328. |
| [28] |
李中阳. 我国典型土壤长期定位施肥下土壤无机磷的变化规律研究[D]. 陕西杨陵: 西北农林科技大学硕士学位论文, 2007.
Li Z Y. Studies on change law of inorganic phosphorus with the situation of long-term fertilization in typical soils in our country[D]. Yangling, Shaanxi: MS Thesis of Northwest A&F University, 2007. |
| [29] |
尹岩, 梁成华, 杜立宇, 吴岩. 施用有机肥对土壤有机磷转化的影响研究[J].
中国土壤与肥料, 2012, (4): 39–43.
Yin Y, Liang C H, Du L Y, Wu Y. Effect of manure on transformation of organic phosphorus in paddy soil[J]. Soil and Fertilizer Sciences in China, 2012, (4): 39–43. |
2018, Vol. 24
doi:





