文章信息
- 陈法,何保昌,黄江峰,刘芳萍,林李嵩,郑晓燕,蔡琳.
- CHEN Fa, HE Baochang, HUANG Jiangfeng, LIU Fangping, LIN Lisong, ZHENG Xiaoyan, CAI Lin.
- HPV感染对口咽癌无病生存期影响的Meta分析
- Meta-analysis of Association Between HPV Infection and Disease-free Survival of Oropharyngeal Cancer Patients
- 肿瘤防治研究, 2016, 43(01): 30-34
- Cancer Research on Prevention and Treatment, 2016, 43(01): 30-34
- http://www.zlfzyj.com/CN/10.3971/j.issn.1000-8578.2016.01.007
-
文章历史
- 收稿日期: 2015-01-29
- 修回日期: 2015-03-19
2. 350004 福州, 福建医科大学附属第一医院口腔颌面外科
2. Department of Stomatology, The First Affiliated Hospital of Fujian Medical University, Fuzhou 350004, China
口咽癌是发生在腭扁桃体、软腭、舌根及咽侧后壁等口咽部位的恶性肿瘤[1]。研究报道人乳头状瘤病毒(human papillomavirus,HPV)感染在口咽癌发病中有重要的作用[2, 3],文献也报道HPV感染的口咽癌病例肿瘤复发率较低,无病生存期(disease-free survival,DFS)较长[4, 5, 6]。但由于样本含量、检测方法、组织标本来源不同及应用的统计方法不一致等因素影响,研究结论存有争议。本研究应用Meta分析方法,对HPV感染与口咽癌无病生存期的关系进行定量综合评价,为进一步研究提供参考。
1 资料与方法 1.1 资料来源 1.1.1 检索数据库中文文献检索的数据库:中国生物医学文献数据库(CBM)、中国知网数据库(CNKI)、维普数据库(VIP)、万方数据库;外文文献的检索数据库:PubMed、Ovid、SCIRUS搜索引擎(http://www.scirus.com,同时搜索ScienceDirect、Pubmed Central、BioMed central)、外文生物医学期刊知识情报服务系统(FMJS)。检索时间为2000年1月1日—2014年12月1日。
1.1.2 检索策略中文文献的检索式为[(“HPV”或者“人乳头瘤状病毒”)并且(“口咽癌”)并且(“预后”或者“无病生存期”)];英文文献的检索式为[("human papillomavirus" OR "HPV")And ( "oropharyngeal cancer" OR "OPC")And("outcome" OR "prognosis" OR "DFS")]。
1.2 文献纳入和排除标准(1)已公开发表的英文及中文文献,排除动物实验研究、摘要或综述;(2)研究对象为经病理证实的口咽癌,排除非原发性口咽部肿瘤的研究如转移癌或复发癌;(3)研究HPV与口咽癌预后DFS的关系,有完整的预后指标如生存率、生存曲线、相对风险比(HR)等资料,排除信息不全的文献;(4)多个研究若选用同一人群,只采用最新发表的结果。
1.3 质量评价由2名评价员按照文献质量评价表独立完成评价工作,意见不一致时通过讨论或第三方协助解决。采用美国国家癌症研究所—欧洲癌症研究与治疗组织(NCI-EORTC)癌症诊断统计小组工作委员会及Hayden等[7, 8]关于肿瘤标志物用于预后评价的研究文献的评价方法。该评价量表共21个条目,包括研究对象、研究样本、研究设计、结果分析及结果报告5个方面,总分27分,分数越高表示文献质量越高。
1.4 数据提取主要包括:(1)发表信息:作者信息、发表年份、发表期刊、发表类型等;(2)结局指标:HR及其95%CI。对于没有提供HR的文献,根据公式HR=[P0/(1- P0)]/[P1/(1- P1)]计算,其中P0为HPV阴性组的5年生存率,P1为HPV阳性组的5年生存率。对于仅提供生存曲线及P值的研究,通过生存曲线读取5年生存率,计算HR及95%CI。
1.5 统计学方法对多个独立研究的HR值进行异质性检验,异质性检验采用Cochran’s Q检验,用统计量I2值表示异质性的大小。若各研究结果具有较好的同质性,采用固定效应模型对统计量进行加权合并,计算合并HR值及其95%CI;反之应用随机效应模型加权合并。采用漏斗图和Egger’s线性回归模型评价文献的发表偏倚。所有数据均采用STATA 12.1软件进行处理,双侧检验,P<0.05为差异有统计学意义。
2 结果 2.1 纳入文献资料的基本情况共检索到文献654篇,排除综述类文献78篇、非人群研究132篇、非预后研究258篇、未检测HPV的136篇、非原发性口咽癌19篇、同一人群研究4篇、不以DFS为观察终点的11篇,最终纳入16篇合格文献。文献评价平均得分(19.69±2.24),最高23分。口咽癌病例共2 512例,其中HPV阳性1 210例,HPV阳性率48.17%,见表 1。
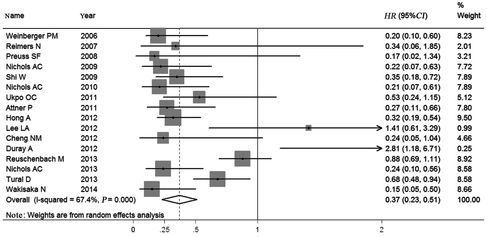
异质性检验提示资料间存在异质性(χ2=45.98,P<0.001,I2=67.4%),采用随机效应模型进行分析并绘制森林图。结果显示合并HR及95%CI为0.371 及0.231~0.511,见图 1 。
|
| DFS: disease-free survival 图 1 HPV感染与口咽癌患者DFS的Meta分析森林图 Figure 1 Forest plot of DFS of oropharyngeal cancer patients associated with HPV infection |
采用聚合酶链反应法(PCR)检测的研究[6, 9, 10, 13, 14, 15, 16, 17, 18, 19, 20, 21]累计病例2 078例,HPV阳性904例,异质性检验结果提示资料间存在异质性(χ2=42.47,P<0.001,I2=74.1%);采用随机效应模型分析,合并HR值及95%CI为0.398及0.212~0.584;采用原位杂交法(ISH)检测HPV的文献[4, 5, 11, 12]累计病例434例,HPV阳性306例,异质性检验结果提示资料间无异质性(χ2=1.84,P=0.607,I2=0),采用固定效应模型分析,合并HR值及95%CI为0.290及0.141~0.439。
2.4 按研究地区进行分层分析对源自北美洲的研究[4, 5, 6, 11, 12, 19]的异质性检验结果提示资料间无异质性(χ2=2.24,P=0.815,I2=0),采用固定效应模型分析,合并HR值及95%CI为0.260及0.148~0.372;对来自欧洲的研究[9, 10, 13, 17, 18, 20]的异质性检验结果提示资料间存在异质性(χ2=16.83,P=0.005,I2=70.3%),采用随机效应模型分析,合并HR值及95%CI为0.565及0.264~0.867;对来源于亚洲的研究[15, 16, 21]的异质性检验结果提示资料间存在异质性(χ2=10.05,P=0.007,I2=80.1%),采用随机效应模型分析,合并HR值及95%CI为0.402及0.083~1.954。
2.5 HPV-16亚型与口咽癌DFS的关系纳入文献中有6篇[4, 5, 6, 11, 16, 19]提供了HPV-16亚型感染与口咽癌DFS关系的数据,累计病例485例,其中HPV-16亚型阳性者292例,合并HR为0.248,95%CI: 0.132~0.365。
2.6 HPV感染及P16蛋白表达与口咽癌DFS的关系文献[6, 14]提供了HPV感染合并P16蛋白表达与口咽癌DFS关系的数据,进一步分析结果显示:合并HR为0.281,95%CI: 0.137~0.424。
2.7 敏感度及偏倚分析 2.7.1 敏感度分析由于纳入的2篇文献[4, 11]可能存在研究对象重复的问题,在敏感度分析中,排除了较早发表的文献[4]后,HR值均未发生显著性变化,见表 2。
![]() |
漏斗图分析结果显示图形基本对称,线性回归分析和假设检验结果:Egger’s检验P=0.627,Begger’s检验P=0.125,两者均提示差异无统计学意义,说明尚不存在发表偏倚,本研究结果较为可靠。
3 讨 论口咽癌是一种浸润性较强的恶性肿瘤,转移复发是患者死亡的主要原因[22]。无病生存期是衡量肿瘤患者复发转移的重要指标,它是指从确诊到肿瘤复发或转移的时间,常以转移或复发为终点,是根治性手术或放疗后辅助治疗的主要疗效指标,与总生存时间(OS)相比,DFS所需的研究时间短且样本量相对较少。本文对2 512例口咽部肿瘤病例的DFS与HPV感染的关系进行Meta分析,结果显示HPV阳性比HPV阴性患者的肿瘤复发或转移风险低,与Ragin等[23]HPV阳性者口咽部肿瘤复发转移风险降低的研究结果一致。进一步分析发现HPV-16亚型感染对口咽癌患者的DFS起到保护作用。其生物学机制可能是患者在放化疗前做的HPV检测,而HPV阳性的口咽癌患者比HPV阴性患者对放化疗更敏感,在放化疗后,HPV阳性者的肿瘤细胞免疫源性增加,引起局部免疫反应,在清除病毒的同时杀死肿瘤细胞[24]。本研究显示HPV阳性且p16蛋白表达的口咽癌患者复发转移风险较低,与Weinberger、Hong等[6, 14]研究结果一致。p16蛋白是一种抑癌蛋白,在正常口咽鳞状上皮几乎不表达,HPV感染口咽正常上皮黏膜后,通过其表达的E7蛋白使pRb失活,使后者对p16的负反馈调节作用丧失,诱导p16蛋白过表达[25]。因此,pl6蛋白表达与HPV-DNA阳性状态一致。
采用不同的方法检测HPV感染可能对结果有一定影响。因此,我们按HPV检测方法进行分层分析,结果表明采用PCR或ISH检测方法均提示HPV阳性者口咽部肿瘤复发转移风险降低。有研究发现PCR扩增的DNA可能来源于肿瘤细胞、也可能来源于肿瘤周边正常细胞,特异性较低,易出现假阳性[26]。Senzaki等[27]研究发现ISH检测病毒DNA漏检率较高。李西启等[28]综合了PCR敏感度和ISH特异性,认为PCR和ISH两者相结合可提高HPV检测的准确性和价值,但因其步骤复杂,目前临床尚未应用。
人群异质性可能对研究结果产生一定影响。按研究地区分层分析后发现,来自北美洲、欧洲的研究结果均提示HPV感染的口咽癌患者无病生存较好。其中,来自北美洲研究的合并结果显示HPV感染对北美洲患者预后无病生存的保护作用更为明显。不同地区的人由于生活方式、环境因素、宿主免疫以及遗传背景等不同,可能造成不同地区居民的HPV感染率及对疾病的易感性和预后恢复状况不同[29],从而引起不同地区研究结果的差异。
采用漏斗图、Egger线性回归检验发表偏倚,结果显示纳入文献无明显发表偏倚,敏感度分析表明本次研究结果可靠稳定。但本研究仍存在以下不足:第一,由于原始数据的缺乏,尚不能按潜在混杂因素分层分析。有研究结果值得借鉴:在非吸烟非饮酒患者及年轻患者中HPV感染率较高,年轻的口咽癌患者的病理分级更倾向于高分化,感染后若能及时清除,则预后良好,但如果病毒长期处于潜伏感染状态,则导致病情持续进展,预后不佳[30, 31];第二,国内大陆地区目前尚无有关HPV感染与口咽癌DFS关系的文献报道,国外研究结果是否适用于我国人群还需要更多的研究验证。
综上所述,HPV感染(尤其是HPV-16亚型)对口咽癌患者DFS有保护作用,研究结果对HPV疫苗用于口咽癌患者的治疗和预防有参考价值。今后的研究尚需扩大样本量,严密设计,控制混杂因素,以获得更为准确的关联性结论,为预防和控制口咽癌提供更加科学的依据。
| [1] | Warnakulasuriya S. Global epidemiology of oral and oropharyngeal cancer[J]. Oral Oncol, 2009, 45(4-5): 309-16. |
| [2] | Cleveland JL, Junger ML, Saraiya M, et al. The connection between human papillomavirus and oropharyngeal squamous cell carcinomas in the United States: implications for dentistry[J]. J Am Dent Assoc, 2011, 142(8): 915-24. |
| [3] | Dalianis T. Human papillomavirus and oropharyngeal cancer, the epidemics, and significance of additional clinical biomarkers for prediction of response to therapy[J]. Int J Oncol, 2014, 44(6): 1799-805. |
| [4] | Nichols AC, Faquin WC, Westra WH, et al. HPV-16 infection predicts treatment outcome in oropharyngeal squamous cell carcinoma[J]. Otolaryngol Head Neck Surg, 2009, 140(2): 228-34. |
| [5] | Shi W, Kato H, Perez-Ordonez B, et al. Comparative prognostic value of HPV16 E6 mRNA compared with in situ hybridization for human oropharyngeal squamous carcinoma[J]. J Clin Oncol, 2009, 27(36): 6213-21. |
| [6] | Weinberger PM, Yu Z, Haffty BG, et al. Molecular classification identifies a subset of human papillomavirus-associated oropharyngeal cancers with favorable prognosis[J]. J Clin Oncol, 2006, 24(5): 736-47. |
| [7] | Hayden J A, Coté P, Bombardier C. Evaluation of the quality of prognosis studies in systematic reviews[J]. Ann Intern Med, 2006, 144(6): 427-37. |
| [8] | McShane LM, Altman DG, Sauerbrei W, et al. Reporting recommendations for tumor marker prognostic studies (REMARK)[J]. J Natl Cancer Inst, 2005, 97(16): 1180-4. |
| [9] | Reimers N, Kasper HU, Weissenborn SJ, et al. Combined analysis of HPV-DNA, p16 and EGFR expression to predict prognosis in oropharyngeal cancer[J]. Int J Cancer, 2007, 120(8):1731-8. |
| [10] | Preuss SF, Weinell A, Molitor M, et al. Nuclear survivin expression is associated with HPV-independent carcinogenesis and is an indicator of poor prognosis in oropharyngeal cancer[J]. Br J Cancer, 2008, 98(3): 627-32. |
| [11] | Nichols AC, Finkelstein DM, Faquin WC, et al. Bcl2 and human papilloma virus 16 as predictors of outcome following concurrent chemoradiation for advanced oropharyngeal cancer[J]. Clin Cancer Res, 2010, 16(7): 2138-46. |
| [12] | Ukpo OC, Flanagan JJ, Ma XJ, et al. High-risk human papillomavirus E6/E7 mRNA detection by a novel in situ hybridization assay strongly correlates with p16 expression and patient outcomes in oropharyngeal squamous cell carcinoma[J]. Am J Surg Pathol, 2011, 35(9): 1343-50. |
| [13] | Attner P, Du J, Nasman A, et al. Human papillomavirus and survival in patients with base of tongue cancer[J]. Int J Cancer, 2011, 128(12): 2892-7. |
| [14] | Hong A, Jones D, Chatfield M, et al. HPV status of oropharyngeal cancer by combination HPV DNA/p16 testing: biological relevance of discordant results[J]. Ann Surg Oncol, 2013, 20 Supp l3: S450-8. |
| [15] | Lee LA, Huang CG, Liao CT, et al. Human papillomavirus-16 infection in advanced oral cavity cancer patients is related to an increased risk of distant metastases and poor survival [J]. PLoS One, 2012, 7(7): e40767. |
| [16] | Cheng NM, Chang JT, Huang CG, et al. Prognostic value of pretreatment 18F-FDG PET/CT and human papillomavirus type 16 testing in locally advanced oropharyngeal squamous cell carcinoma[J]. Eur J Nucl Med Mol Imaging, 2012, 39(11): 1673-84. |
| [17] | Duray A, Descamps G, Decaestecker C, et al. Human papillomavirus DNA strongly correlates with a poorer prognosis in oral cavity carcinoma[J]. Laryngoscope, 2012, 122(7): 1558-65. |
| [18] | Reuschenbach M, Kansy K, Garbe K, et al. Lack of evidence of human papillomavirus induced squamous cell carcinomas of the oral cavity in southern Germany[J]. Oral Oncol, 2013, 49(9): 937-42. |
| [19] | Nichols AC, Dhaliwal SS, Palma DA, et al. Does HPV type affect outcome in oropharyngeal cancer[J]. J Otolaryngol Head Neck Surg, 2013, 42: 9. |
| [20] | Tural D, Eliein O, Batur S, et al. Human papillomavirus is independent prognostic factor on outcome of oropharyngeal squamous cell carcinoma [J]. Tumor Biol, 2013, 34(6): 3363-9. |
| [21] | Wakisaka N, Yoshida S, Kondo S, et al. HPV Status Determines the Efficacy of Adjuvant Chemotherapy With S-1, an Oral Fluorouracil Prodrug, in Oropharyngeal Cancer[J]. Ann Otol Rhinol Laryngol, 2015, 124(5): 400-6. |
| [22] | Li LC, Wang ST, Sun JH. Progress of study on metastasis and recurrence-related gene molecule of the tongue carcinoma[J]. Zhongguo Lin Chuang Xin Yi Xue, 2013, 6(5): 505-8. [李丽楚, 王舒婷, 孙晋虎. 舌癌转移复发相关基因分子的研究进展[J]. 中国临床新医学, 2013, 6(5): 505-8.] |
| [23] | Ragin CC, Taioli E. Survival of squamous cell carcinoma of the head and neck in relation to human papillomavirus infection: review and meta-analysis[J]. Int J Cancer, 2007, 121(8): 1813-20. |
| [24] | Vu HL, Sikora AG, Fu S, et al. HPV-induced oropharyngeal cancer, immune response and response to therapy[J]. Cancer Lett, 2010, 288(2): 149-55. |
| [25] | Ang KK, Harris J, Wheeler R, et al. Human papillomavirus and survival of patients with oropharyngeal cancer[J]. N Engl J Med, 2010, 363(1): 24-35. |
| [26] | Kansky AA, Poljak M, Seme K, et al. Human papillomavirus DNA in oral squamous cell carcinomas and normal oral mucosa[J]. Acta Virol, 2003, 47(1): 11-6. |
| [27] | Senzaki H, Osaki T, Uemura Y, et al. Adenoid basal carcinoma of the uterine cervix: immunohistochemical study and literature review[J]. Jpn J Clin Oncol, 1997, 27(6): 437-41. |
| [28] | Li XQ, Xu TX, Wang JB, et al. Utility of in situ PCR and in situ hybridization for detecting cervical cancer and precancerous lesions of HPV DNA[J]. Lin Chuang Yu Shi Yan Bing Li Xue Za Zhi, 2001, 17(1): 87-8. [李西启, 徐廷香, 王剑波, 等. 应用原位PCR和原位杂交技术检测宫颈癌及癌前病变组织中HPV DNA[J]. 临床与实验病理学杂志, 2001, 17(1): 87-8.] |
| [29] | Krupar R, Hartl M, Wirsching K, et al. Comparison of HPV prevalence in HNSCC patients with regard to regional and socioeconomic factors[J]. Eur Arch Otorhinolaryngol, 2014, 271(6): 1737-45. |
| [30] | Khode S R, Dwivedi RC, Rhys-Evans P, et al. Exploring the link between human papilloma virus and oral and oropharyngeal cancers[J]. J Cancer Res Ther, 2014, 10(3): 492-8. |
| [31] | Sasaki T, Moles DR, Imai Y, et al. Clinico-pathological features of squamous cell carcinoma of the oral cavity in patients <40 years of age[J]. J Oral Pathol Med, 2005, 34(3): 129-33. |
2016, Vol. 43




