2.新 乡医学院癌症研究中心;
3.三全医学院
2.Cancer Research Center,Xinxiang Medical University;
3.San Quan Medical College
性别差异是食管癌流行病学的显著特征之 一,男性患者明显高于女性 (1.3~17:1)[1, 2, 3]。性 激素,特别是雌激素和孕激素可能是导致这种差 异的原因之一。但是性别因素对食管癌生存期的 影响尚不清楚。西方研究提示性别是影响食管癌 预后的独立因素[4],这些研究对象主要为白种人, 其食管癌组织学类型以食管腺癌为主,与中国食 管癌95%以上为鳞癌明显不同。本研究旨在通过分 析食管癌高、低发区不同性别食管癌患者的生存 随访及其与年龄、肿瘤临床病理分期和淋巴结转 移等的关系,探讨性别对高、低发区食管癌患者 生存期的影响,加深对食管癌关键预后影响因素 的了解。 1 资料与方法 1.1 人群随访
选取河南省食管癌重点开放实验室2009— 2011年间在河南省食管癌高低发区流行病学调查 的有明确联系方式且病理诊断明确的2万例食管 癌患者,采用入户或电话问卷调查,进行生存随 访,末次随访时间为2013年3月。成功随访15 962 例,成功率为79.8%。成功随访的患者中非食管癌 死亡的患者共45人,其中4人死于肠梗阻、8人死 于意外事故、22人死于心脑血管疾病、10人死于 自杀、1人死于哮喘。 1.2 研究人群
15 917例食管癌患者确诊时间在1973—2011年 间,其中高发区患者10 666例,低发区5 251例, 高低发区患者比例为2.0:1;男性9 918例,女性 5 999例,男女比例为1.7:1,平均诊断年龄为(59.7 ±8.6)岁,其中男性为(59.4±8.6)岁,女性为(60.0± 8.6)岁。 1.3 高低发区定义
依据中国食管癌流行病学调查结果,调整年 龄与死亡率,死亡率在50/10万以上的地区为高发 区。区域划分参照《食管癌》[4]一书。 1.4 统计学方法
采用SPSS18.0对数据进行处理,高、低发区 食管癌患者性别、年龄和病理特征分布采用卡方 检验;生存时间按年计算,单因素生存状况分析采 用Kaplan-Meier法,Log rank进行差异性检验,Cox 风险比例模型消除多个变量间的相互作用,筛选 影响预后的独立影响因素,检验水准为α<0.05。 2 结果 2.1 高、低发区不同性别、年龄食管癌患者淋巴 结转移率、分期等病理特征分布
高、低发区男、女性食管癌患者的比例分 别为1.5:1和2.1:1,性别比例存在明显的差异 (χ2 =96.6,P=8.6E-23),见表1,低发区男性 食管癌所占的比例高于高发区;高发区患者淋 巴结转移阳性率明显高于低发区患者(42.6% vs. 39.5%;χ2 =12.0,P=0.001);高发区早期癌患者 明显高于低发区患者而中晚期癌患者明显低于低 发区患者(早期患者:13.1% vs.9.6%;中晚期患 者:86.9% vs.90.4%;χ2 =40.2,P=2.3E-10)。
青年(<50岁)和老年食管癌(≥50岁) 组男、女性食管癌患者的比例分别为1.9:1和 1.6:1,性别比例差异也有统计学意义(χ2 =12.8, P=3.4E-4),见表1,青年食管癌组男性患者的 比例高于老年食管癌组;青、老年患者淋巴结转 移阳性率差异无统计学意义(43.6% vs.41.2%; χ2 =3.4,P=0.07);青、老年患者早期和中晚期癌 患者比例差异无统计学意义(早期患者:11.9% vs. 12.0%,中晚期患者:88.1% vs. 88.0%;χ2 =0.01, P=0.92)。
男性患者淋巴结转移阳性率明显高于女性患 者(χ2 =48.9,P=2.7E-12)。男性Tis、T1和T2所 占比例明显低于女性,而T3和T4所占比例则高于 女性(χ2 =71.3,P=1.2E-14)。男性早期癌患者所 占比例低于女性而中晚期患者比例高于女性(早 期患者:10.8% vs.13.9%;中晚期患者:89.2% vs. 86.1%;χ2 =34.7,P=3.8E-9);男、女性患者在肿 瘤高、中、低分化程度上比例差异无统计学意义 (χ2 =0.8,P=0.7),见表1。
|
|
表1 不同性别间食管癌患者临床特征分布 Table 1 Clinical characteristic of esophageal cancer patients by sex |
Log rank检验显示:高低发区、性别、年龄、 淋巴结转移、浸润和分化程度及早、中、晚分期 等单因素均明显影响食管癌患者生存期。
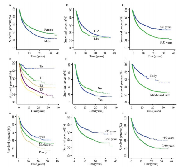
女性食管癌患者生存期明显优于男性患者 (χ2 =106.5,P=5.8E-25),见图1A。高发区 患者生存期明显优于低发区患者 (χ2 =179.0, P=7.8E-41),见图1B。青年食管癌患者生存期 (<50岁)明显优于老年食管癌患者(≥50岁) (χ2 =136.3,P=1.7E-31),见图1C。淋巴结转移 阴性的患者生存期明显优于阳性患者(χ2 =737.8, P=1.8E-162),见图1E。随着浸润程度的加深, 患者生存期依次降低(χ2 =721.5,P=7.7E-155), 见图1D。随分化程度降低,患者生存期亦明显 降低(χ2 =198.7,P=7.2 E-44),见图1G。早期 食管癌患者生存期明显优于中晚期(χ2 =353.2, P=8.5E-79),见图1F。
![]() | A:male and female;B:high and low-incidence area;C:age diagnosis;D:T stage;E:lymph node metastasis; F:early , middle and later clinical stage;G: differentiation;H:younger and elderly female patients; I: younger and elderly male patients 图1 食管癌患者各种临床特征上的生存曲线 Fig.1 Overall survival curves based on various clinical characteristic for esophageal cancer patients |
高、低发区女性患者生存期均明显优于男 性患者 (高发区:χ2 =71.5,P=2.8E-17;低发 区:χ2 =18.5,P=1.7E-5),见表2。青、老年食 管癌患者女性生存期均明显优于男性(青年患 者:χ2 =26.3,P=2.9E-7;老年患者:χ2 =87.7, P=7.7E-21)。青年女性患者生存期明显优于老 年女性患者(χ2 =61.5,P=4.3E-15),见图1H, 青年男性患者生存期亦明显优于老年男性患者 (χ2 =80.4,P=3.0E-19),见图1I。淋巴结转移 阳性的患者女性生存期明显优于男性(χ2 =28.4,P=10.0E-8),转移阴性的患者女性生存期亦明 显优于男性(χ2 =40.7,P=1.6E-10)。Tis、T1和 T4期别男、女性患者生存期差异无统计学意义 (P>0.05),但是,T2和T3期别女性患者生存 期明显优于同期别男性患者(P<0.05)。中、低 分化的肿瘤患者女性生存期明显优于男性(中 分化:χ2 =35.9,P=2.1E-9;低分化:χ2 =34.9, P=3.4E-9),但高分化的肿瘤患者男、女性生存期 相似(χ2 =3.7,P=0.05)。早期食管癌患者男、女 性生存期差异无统计学意义(χ2 =0.6,P=0.40), 中晚期食管癌患者女性生存期明显优于男性 (χ2 =92.5,P=6.9E-22),见表2。
|
|
表2 临床特征对不同性别食管癌患者生存期影响的单因素分析 Table 2 Univariate analysis of clinical variables for esophageal cancer survival by sex |
多因素Cox风险比例模型分析P进入=0.05,P删আ =0.10,各项资料均齐全的10 587例病例,最终进 入分析模型,结果显示:性别、高、低发区、诊 断年龄、分化程度、淋巴结转移和肿瘤浸润程度 均是影响食管癌预后的独立因素,其中女性、高 发区、诊断年龄小于50岁和无淋巴结转移是食管 癌预后生存期长的保护因素,而分化程度降低、 淋巴结转移和浸润程度的加深是食管癌预后的危 险因素,见表3。
|
|
表3 影响食管癌患者生存期的多因素Cox风险比例回归模型检验结果 Table 3 Multivariate Analysis of clinical variables for esophageal cancer survival |
本研究发现,女性食管癌患者生存期显著优 于男性。考虑到高低发区、不同年龄段、不同 TNM分期、淋巴结转移、分化等因素对生存期的 影响,特别是多因素回归分析后,女性患者优于 男性患者的情况依然存在。最近西方一组研究报 道原发性食管腺癌女性患者5年生存率也明显优于 男性[5]。考虑到食管癌显著的男女发病差异,笔者 认为女性患者自身可能存某种食管癌抵抗因素。
本研究组和其他实验室前期研究提示,雌激 素可能是食管癌发生的重要保护因素之一[6, 7]。研 究发现:食管癌细胞中有雌激素受体的表达[6, 8, 9], 而雌激素可以抑制肿瘤细胞的生长[10]。雌激素受 体存在两种亚型ERα和ERβ,它们在食管癌发生中 的作用是不同的,ERβ阳性的食管癌细胞在雌激素 的作用下发生明显的增殖,而ERα阳性的食管癌细 胞则没有[11]。ERβ在分化较差的食管癌组织中过度 表达,可能是一种不良的生物行为指标[12]。另一 研究发现,ERα阳性表达或ERβ阴性表达是食管鳞 癌预后差的独立因素[13]。本研究发现女性患者绝 经期前后生存期存在明显差异,进一步说明雌、 孕激素水平可能会影响食管癌患者的预后。临床 上有关妊娠合并肿瘤,包括食管癌、宫颈癌和肺 癌等报道并非罕见[14]。这些特殊的患者妊娠结束 后仍存活很长时间。这些个案现象进一步提示, 女性自身存在重要的肿瘤抵抗因素。孕激素和孕 激素受体治疗妇科肿瘤[15, 16]进一步提示女性雌、孕 激素水平和作用可能是导致食管癌女性发病率明 显低于男性,生存率明显优于男性的重要作用机 制之一。
本研究发现:50岁前、后食管癌患者的性别 比例也存在明显差异,随着年龄的增加,男性患 者相对减少,而女性患者相对增加,男女比例降 低。体内性激素水平随年龄增长而变化,女性的 平均绝经年龄是49岁,女性绝经前后体内性激素 水平差别很大,雌激素降低最为明显[17]。女性绝 经前后性激素水平的变化提示,男女性激素水平 的差异可能是造成男女性在食管癌发病率差异的 原因之一。进一步探讨这些女性为主的激素对食 管癌发生和生存期影响的调控机制,对建立食管 癌新的防治策略和方法具有重要意义。
值得指出的是,男性患者淋巴结转移率和 T3、T4检出率明显高于女性患者, 其机制尚不清 楚,可能是女性食管癌患者生存期优于男性的又 一原因。
本研究发现:高发区患者生存期明显优于低 发区。这可能与高发区居民对疾病的认识,诊疗 水平和政府的重视程度等因素有关。当然,环境因 素本身也可能是导致这种差异的重要原因之一[18]。 此外,本研究还发现:青、老年患者淋巴结转 移率和早期癌患者所占比例相似,但是,青年患者 生存期(<50岁)明显优于老年患者(≥50岁)。 这可能与青年患者机体免疫力较老年患者强,对 综合治疗的耐受力和反应较老年患者好有关[19]。 男性食管癌发生率明显高于女性而预后明显 较女性差,这一重要现象提示:雄激素可能是 食管癌发生和预后的危险因素之一。近年研究提 示:雄激素可以促进食管癌细胞的生长[20];与雄 激素水平过高有关的秃头与前列腺癌调查显示, 前列腺癌发病风险可能与秃头有关[21],但也有相 反的结果[22]。探讨雌激素和雄激素代谢相关基因 变化与食管癌发生和预后关系可能是食管癌又一 重要研究领域。
综上所述,性别是影响食管癌生存预后的独 立因素。高、低发区、年龄、临床病理等因素排 除后,女性食管癌患者生存期均明显优于男性, 绝经期前的女性患者生存期优于绝经期后的患 者,提示雌、孕激素在食管癌的发生过程中可能 起保护作用,并可能是导致女性患者生存期优于 男性的重要机制之一。而睾酮等男性激素可能在食 管癌的发生过程中起促进作用,并可能是男性患者 预后较女性差的又一危险因素。进一步阐明这些性 激素对食管癌发生和生存影响的调控机制,对建立 食管癌新的防治策略和方法具有重要意义。
| [1] | Zou XN. Epidemiological characteristics of esophageal cancer [J]. Zhonghua Zhong Liu Fang Zhi Za Zhi, 2006, 13(18): 1-4. [邹小农. 食管癌流行病学[J].中华肿瘤防治杂志,2006,13(18):1-4.] |
| [2] | Cook MB, Chow WH, Devesa SS.Oesophageal cancer incidence in the United States by race, sex, and histologic type, 1977-2005 [J]. Br J Cancer, 2009, 101(5):855-9. |
| [3] | Melhado RE,Alderson D,Tucker O.The changing face of esophageal cancer[J]. Cancers, 2010, 2(3), 1379-404. |
| [4] | Henan Medical College. Esophageal cancer[M]. Beijing, People’s Health Publishing House, 1983,36. [河南医学院. 食管癌[M]. 北京:人民卫生出版社,1983,36.] |
| [5] | Bohanes P,Yang D,Chhibar RS,et al.Influence of sex on the survival of patients with esophageal cancer[J].J Clin Oncol,2012,30 (18):2265-72. |
| [6] | Wang QM,Qi YJ,Jiang Q,et al.Relevance of serum estradiol and estrogen receptor beta expression from a high-incidence area for esophageal squamous cell carcinoma in China[J].Med Oncol,2011,28(1):188-93. |
| [7] | Bodelon C,Anderson GL,Rossing MA,et al.Hormonal factors and risks of esophageal squamous cell carcinoma and adenocarcinoma in postmenopausal women[J]. Cancer Prev Res (Phila),2011,4 (6):840-50. |
| [8] | Matsuoka H, Sugimachi K, Ueo H,et al.Sex hormone response of a newly established squamous cell line derived from clinical esophageal carcinoma[J]. Cancer Res,1987,47 (15):4134-40. |
| [9] | Wang QM,Ma ZY,Zhu H,et al.Association of age distribution of esophageal squamous cell carcinoma with expressed alterations of sex hormone receptors[J]. Zhonghua Zhong Liu Fang Zhi Za Zhi, 2008, 15(17): 1308-11. [王启鸣,马智勇,朱辉,等. 食管鳞癌的年龄分布与性激素受体表达变化的相关研究[J].中华肿瘤防治杂志,2008,15(17):1308- 11.] |
| [10] | Ueo H,Matsuoka H,Sugimachi K,et al.Inhibitory effects of estrogen on the growth of a human esophageal carcinoma cell line[J]. Cancer Res, 1990, 50(22):7212-5. |
| [11] | Zuguchi M,Miki Y,Onodera Y,et al.Estrogen receptor αand βin esophageal squamous cell carcinoma[J].Cancer Sci,2012,103 (7):1348-55. |
| [12] | Kalayarasan R,Ananthakrishnan N,Kate V,et al.Estrogen and progesterone receptors in esophageal carcinoma[J].Dis Esophagus,2008,21 (4):298-303. |
| [13] | Nozoe T,Oyama T,Takenoyama M,et al.Significance of immunohistochemical expression of estrogen receptors alpha and beta in squamous cell carcinoma of the esophagus[J].Clin Cancer Res,2007, 13 (14):4046-50. |
| [14] | Ishizuka S,Satou S.A case of delivery of healthy infant in breast cancer patient incidentally treated with goserelin acetate and tamoxifen during pregnancy[J]. Breast Cancer,2013,[Epub ahead of print]. |
| [15] | Yamazawa K,Hirai M,Fujito A,et al.Fertility-preserving treatment with progestin, and pathological criteria to predict responses, in young women with endometrial cancer[J].Hum Reprod,2007,22 (7):1953-8. |
| [16] | Cunha S,Gano L,Morais GR,et al.Progesterone receptor targeting with radiolabelled steroids: an approach in predicting breast cancer response to therapy[J].J Steroid Biochem Mol Biol, 2013,137:223-41. |
| [17] | Fei AX,Xiao XL,You AP,et al.Sex hormone level change of perimenopausal women[J]. Zhongguo Fu You Bao Jian, 2003, 18 (7): 406-7. [费安兴,肖新立,游爱平,等.围绝经期妇女性激素水平的变化[J]. 中国妇幼保健,2003,18(7):406-7.] |
| [18] | Wang LD,Song X.Interaction of environmental and hereditary factors on human esophageal carcinogenesis[J]. Zhengzhou Da Xue Xue Bao(Yi Xue Bao), 2011,46 (1):1-4.[王立东, 宋昕. 环境和遗传因素交互作用对食管癌发生的影响[J].郑州大学学报(医学版),2011,46(1):1-4.] |
| [19] | Croce J,de Carvalho Filho ET,Pasini U,et al.The evaluation of cellular immunity in the aged by skin tests[J].Allergol Immunopathol (Madr), 1984,12(2):105-9. |
| [20] | Yamashita Y,Hirai T,Mukaida H,et al.Detection of androgen receptors in human esophageal cancer[J].Jpn J Surg,1989,19 (2):195-202. |
| [21] | Hawk E,Breslow RA,Graubard BI.Male pattern baldness and clinical prostate cancer in the epidemiologic follow-up of the first National Health and Nutrition Examination Survey[J].Cancer Epidemiol Biomarkers Prev, 2000, 9 (5):523-7. |
| [22] | Wright JL,Page ST,Lin DW,et al.Male pattern baldness and prostate cancer risk in a population-based case-control study[J]. Cancer Epidemiol,2010, 34 (2):131-5 |
2014, Vol. 41


