2.天津中医药大学 天津市现代中药省部共建国家重点实验室, 天津 300193
2.Tianjin Chinese Medical University, Tianjin National Key Laboratory of Modern Chinese Medicine, Tianjin 300193, China
通脉养心丸是由益气养阴的两个经典名方炙甘草汤和生脉饮加减而成的一种现代中成药,由地黄、鸡血藤、甘草、五味子、制何首乌、麦冬、党参等11味中药材组成,具有养心补血、通脉止痛的功效,用于胸痹心痛、心悸怔忡、心绞痛、心律不齐等的治疗。近年来对通脉养心丸的药理作用及临床应用已经有了一定的研究[1, 2, 3],然而对其活性物质尚不明确。据此,本文对通脉养心丸的心肌保护活性物质进行筛选研究。
采用过氧化氢损伤体外培养的心肌细胞,能够较好地模拟缺血过程中心肌细胞的氧化损伤过程[4, 5, 6]。本研究采用过氧化氢损伤H9c2心肌细胞模型,结合高效液相色谱串联质谱法(HPLC-MS)技术对通脉养心丸中具有抗心肌细胞损伤活性物质进行筛选和鉴定。
1 材料与方法 1.1 实验试剂和仪器通脉养心丸来源于天津乐仁堂制药厂(批号20120201);高糖DMEM基础培养基、胎牛血清、胰酶-EDTA、抗生素(青霉素/链霉素)均购自美国Gibco 公司;二甲基亚砜(DMSO)、溴化-3-(4,5-二甲基-2-噻唑基)-2,5-二苯基四氮唑(MTT)均购自美国Sigma-Aldrich公司;槲皮素购自上海融禾医药科技有限公司;双氧水购自阿法埃莎(天津)化学有限公司;甲酸(色谱纯)购自美国Roe Scientific公司;乙腈(色谱纯)购自德国Merck公司。
二氧化碳细胞培养箱(美国 Thermo公司);超净工作台(美国 Thermo公司);Anke LXJ-IIB低速大容量多管离心机(上海安亭科学仪器厂);CKX41倒置相差荧光显微镜(日本奥林巴斯公司);细胞自动计数仪(美国 Invitrogen公司);Infinite 200 多功能酶标仪(瑞士Tecan公司);96孔细胞培养板(美国 Corning公司);Agilent 1100型制备液相色谱仪(美国Agilent公司);Finnigan LCQ Deca XPplus 离子肼质谱仪(美国Thermo Finnigan公司);Triple TOFTM 5600+高分辨质谱仪(美国AB SCIEX公司);Milli-Q 超纯水系统(美国Millipore公司)。
1.2 细胞来源和培养H9c2大鼠心肌细胞购自武汉博士德生物工程有限公司。H9c2细胞培养于含10% 胎牛血清、100U/mL青霉素和100μg/mL链霉素的高糖DMEM中。细胞置于37℃、100%湿度、5%二氧化碳的细胞培养箱中培养,待生长到80%汇合时,用含0.25%胰酶和0.02% EDTA的溶液消化传代。
1.3 过氧化氢损伤H9c2大鼠心肌细胞模型的建立及分组建立过氧化氢损伤H9c2大鼠心肌细胞模型,并根据干扰因素定义各组:正常H9c2大鼠心肌细胞为正常对照组,模型细胞没有干预因素为空白对照组,加药者分别用药名命名如槲皮素组或通脉养心丸组。
1.4 高效液相制备技术制备通脉养心丸组分称取通脉养心丸50g,置于研钵研碎后,精密称量分成5份,加入10倍量甲醇超声提取两次,每次50min。将提取液过滤,滤液浓缩至20mL左右后倾出,16110×g离心5min,取上清液过ODS中压柱。为了排除多糖类的干扰,先用纯水进行洗脱以除去大极性多糖类,再用甲醇进行洗脱。对甲醇洗脱液进行制备分离,制备条件如下:Zorbax SB-C18(21.2mm×250mm,7μm,Agilent); 流动相为0.1%甲酸—水(A)、乙腈(B),流速为10mL/min,柱温为室温。洗脱梯度如下:0min,A∶B=95∶5;60min,A∶B=10∶90;72min,A∶B=5∶95;82min,A∶B=5∶95,检测波长为210nm、230nm、254nm、280nm。进样体积1mL,0min开始收集,3min收集成一管,一共24个组分。除去几个量太少的组分之外,共获得18个组分,依次编号为TM-1~18。样品浓缩后,转移到4mL Agilent样品瓶中,水浴加热24h除去有机溶剂,放入-80℃冰箱中冷冻后,进行冷冻干燥24h,取出样品称重后封存。
1.5 MTT法检测通脉养心丸的细胞毒性于96孔板中接种H9c2细胞,接种密度5×104个/mL,100μL/孔,在培养箱中培养24h后,加入含有50μg/mL组分的培养液,培养24h。弃去培养液,加入含0.5mg/mL MTT的培养液,孵育4h后,吸弃MTT溶液,加入DMSO,于恒温混匀器中振荡10min后置于酶标仪中,在550nm波长下检测其吸光度值[7]。每板设定正常对照组、加药组以及调零孔,另外测定阳性药槲皮素在40μmol/L浓度下的细胞毒性。每个样品设3复孔。细胞存活率(%)=加药组吸光度值/正常对照组吸光度值×100%。
1.6 MTT法检测通脉养心丸心肌保护活性通脉养心丸抗过氧化氢损伤活性筛选方法参考文献[8, 9, 10],并在此基础上进行改善,于96孔板中接种H9c2细胞,接种密度为5×104个/mL,100μL/孔,每板设定正常对照组、空白对照组、槲皮素组及通脉养心丸组。细胞接种完成后在培养箱中培养24h,对加药组进行加药预处理24h。除正常对照组外,其他组分别加620μmol/L过氧化氢,每孔100μL,作用3h后每孔加0.5mg/mL的MTT 100μL。孵育4h后,弃去MTT溶液,加100μL DMSO,于混匀器内混匀10min,在550nm波长下测定吸光度值。每个样品设3个复孔,重复3次实验,趋势一致情况下计算抗过氧化氢损伤活性。心肌保护率(%)=(槲皮素组或通脉养心丸组吸光度值-空白对照组吸光度值)/(正常对照组吸光度值-空白对照组吸光度值)×100%。
1.7 MTT法分析通脉养心丸心肌保护活性组分量效关系对通脉养心丸中相对细胞保护率在50%以上的组分(TM-13、TM-14、TM-15、TM-16、TM-17)进行心肌保护活性量效关系研究,方法同1.6。其中TM-13、TM-14、TM-16、TM-17的浓度分别为50、25、12.5、6.25、3.125、1.5625μg/mL,TM-15的浓度为20、10、5、2.5、1.25、0.625μg/mL。每个样品设3个复孔,重复3次实验,趋势一致情况下考察其心肌保护活性量效关系。
1.8 HPLC-MS技术鉴定通脉养心丸心肌保护活性组分分别将活性较好的5个组分以甲醇—水配成浓度为1.5mg/mL的溶液,离心后取上清液进行HPLC-MS分析。
液质分析使用仪器为Finnigan LCQ Deca XPplus 离子肼质谱仪,液相条件:Agilent ZORBAX SB-C18柱(4.6mm×250mm,5μm),流动相A是0.05%甲酸-水,流动相B是乙腈,梯度:0 min,10%乙腈;20 min,30%乙腈;40 min,35%乙腈;60 min,50%乙腈;80 min,80%乙腈;90 min,80%乙腈;91 min,95%乙腈;95 min,95%乙腈,分析时间:95 min,流速:0.6mL/min,柱温:30℃,进样体积:5μL。
质谱条件:毛细管温度:350℃,鞘气流速:60 arb,辅助气流速:20 arb;负离子模式检测:离子源电压:3 kV,源电流:80 μA,毛细管电压:-15 V,透镜:-30 V;正离子模式检测:离子源电压:4 kV,源电流:80 μA,毛细管电压:19 V,透镜:25 V,扫描波长:190~400 nm,扫描带宽:1 nm,扫描频率:2.5 Hz,一级质谱扫描范围:±100~1500。
精确质量测定采用美国AB SCIEX公司的Triple TOFTM 5600+,其中ESI-TOF-MS工作条件:负离子电离模式,电离电压4500 V,辅助加热温度600℃,雾化气60 psi,辅助加热气60 psi,气帘气25 psi;正离子电离模式,电离电压5500V,辅助加热温度550℃,雾化气60 psi,辅助加热气60 psi,气帘气25 psi。液相色谱仪器采用Waters AcQuity UPLC;液相条件同上,检测波长为210 nm。
1.9 统计学分析所有数据均以均数±标准差(x±s)表示,采用GraphPad Prism 6.02 软件统计所得数据,组间比较采用方差分析(one-way ANOVA),P<0.05 认为差异有统计学意义。
2 结果 2.1 通脉养心丸组分的浓度选择当相对细胞存活率高于80%,认为无细胞毒性。如图1所示,除了TM-15之外,加药组其余组分在50μg/mL浓度下皆无细胞毒性,槲皮素在40μmol/L下也无细胞毒性。因此在后续实验中采用50μg/mL(仅TM-15为20μg/mL)的给药浓度测定各组分的心肌细胞保护活性,槲皮素采用40μmol/L的浓度。
2.2 通脉养心丸心肌保护活性组分的筛选如图2所示,50μg/mL TM-4、TM-7、TM-8、TM-10、TM-12、TM-13、TM-14、TM-16、TM-17心肌细胞保护率分别为24.32%、37.92%、30.27%、34.81%、36.47%、65.04%、54.48%、74.99%、107.07%,20μg/mL TM-15心肌细胞保护率为68.78%,与模型组相比均有统计学意义(均P<0.05),提示上述组分均有一定的心肌细胞保护活性。其中TM-13、TM-14、TM-15、TM-16、TM-17的心肌细胞保护率均达50%以上,有较强的心肌细胞保护活性。
|
| C: 正常对照组;1~18:TM-1~18(50μg/mL); Q:槲皮素组(40μmol/L). 图1 通脉养心丸各组分的细胞毒性筛选结果 Fig.1 Cytotoxicity results of Tongmai Yangxin pill fractions (TM1-18 is called 1-18 for short) |
|
| Q:槲皮素组(40μmol/L); 1~18:TM-1~18(除TM-15为20μg/mL,其余均为50μg/mL). 图2 通脉养心丸各组分对心肌细胞保护率的影响 Fig.2 Myocardial protective activity screening results of Tongmai Yangxin pill fractions |
|
| 图3 通脉养心丸心肌保护活性组分量效关系柱状图及其液质解析图 Fig.3 Dose-dependent effects and LC-MS analysis of Tongmai Yangxin pill active fractions |
对组分TM-13、TM-14、TM-15、TM-16、TM-17进行心肌保护活性量效关系考察,见图3,结果表明这五个组分的抗过氧化氢损伤活性量效关系良好,其半数有效浓度分别为11.66、17.44、13.10、7.33、15.15μg/mL。
2.4 通脉养心丸心肌保护活性组分的分析鉴定结果对组分TM-13、TM-14、TM-15、TM-16、TM-17经过液质联用和精确质量测定,通过查阅文献[11, 12, 13, 14, 15, 16]、与标准品比对,以及根据化合物裂解规律,同时还对部分化合物进行了多级质谱分析,共推断鉴定出11个化合物。鉴定结果如表1。
| 峰号 | 保留时间(min) | 化合物鉴定 | 分子式 | [M-H]-/ [M+H]+ | 来源 | |
| 检测结果 | 误差(ppm) | |||||
| 1 | 55.08 | 甘草酸 | C42H62O16 | 821.3993 | 3.4 | 甘草 |
| 2 | 67.76 | 甘草香豆素 | C21H20O6 | 367.1202 | 4.1 | 甘草 |
| 3 | 70.03 | 甘草异黄酮 | C20H18O6 | 353.1043 | 3.5 | 甘草 |
| 4 | 71.08 | 麦冬皂苷D′ | C44H70O16 | 899.4682 | 4.0 | 麦冬 |
| 5 | 71.91 | 甘草利酮 | C22H22O6 | 381.1356 | 3.2 | 甘草 |
| 6 | 73.13 | 甘草宁L | C20H18O6 | 353.1044 | 3.8 | 甘草 |
| 7 | 73.78 | 新甘草酚 | C21H18O6 | 365.1043 | 3.4 | 甘草 |
| 8 | 75.16 | 大黄素 | C15H10O5 | 269.0465 | 3.5 | 制何首乌 |
| 9 | 75.79 | 当归酰戈米辛H | C28H36O8 | 501.2470 | -2.6 | 五味子 |
| 10 | 77.68 | 当归酰戈米辛Q | C29H38O9 | 548.2838 | -2.9 | 五味子 |
| 11 | 82.47 | Glyasperin A | C25H26O6 | 421.1671 | 3.4 | 甘草 |
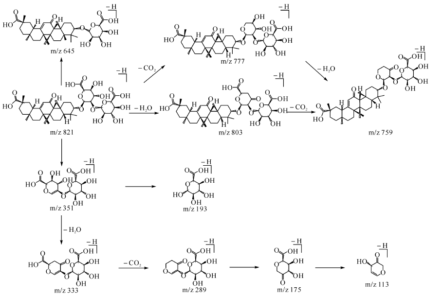
以峰1为例说明这些化合物的分析鉴定过程。峰1通过与标准品保留时间、紫外最大吸收以及二级质谱碎片等性质对比后,鉴定为甘草酸。下面分析其可能裂解途径。如图4所示,二级质谱碎片中易见到[M-18-H]-以及[M-44-H]-的碎片,应为丢失了一分子H2O和CO2的碎片离子。同时在二级质谱碎片中也观察到甘草酸逐步脱去葡萄糖醛酸的碎片离子,由此可以推断连接糖的数目。而m/z 351则是糖链部分形成的碎片离子,在二级质谱中是基峰,三级质谱中易见到其脱去H2O与CO2的碎片离子。
经推断,组分TM-13中可能含有甘草酸、甘草香豆素、甘草异黄酮、麦冬皂苷D’等;TM-14中可能含有甘草酸、甘草香豆素、甘草利酮、新甘草酚、当归酰戈米辛H等;TM-15中可能含有甘草酸、甘草香豆素、当归酰戈米辛Q等;TM-16中可能含有甘草酸、甘草香豆素、大黄素、Glyasperin A等;TM-17中可能含有甘草酸、甘草香豆素、甘草利酮、甘草宁L、Glyasperin A等。
3 讨 论近年来,随着自由基学说理论的发展,大量实验研究表明氧化应激与很多疾病有着紧密的联系,如动脉粥样硬化、糖尿病、卒中及癌症等[17]。过氧化氢作为一种强氧化剂,是引起心肌细胞损伤的重要成分,其可直接作用于膜脂质,促进羟自由基产生,从而损伤心肌细胞。
常用的心肌细胞保护活性物质筛选模型包括缺氧—复氧损伤和氧化应激损伤心肌细胞模型等。正常生理状态下,心肌内存在少量的自由基,但是当心肌组织细胞缺血、缺氧时,氧自由基清除系统功能降低,生成系统活性增强,一旦恢复组织血液和氧的供应,氧自由基便大量产生与急剧“堆积”,以不同方式造成细胞急性或慢性损伤。自由基攻击膜组分磷脂中的不饱和脂肪酸,引起一系列自由基链式反应,生成多种脂质过氧化物。生物膜脂质过氧化物攻击细胞膜和亚细胞器膜,使其结构和功能改变,如磷脂组成发生变化,流动性降低,膜通透性增加,最终导致整个细胞结构与功能的损伤[18, 19]。
本实验在体外培养H9c2细胞,研究了通脉养心丸组分对过氧化氢所致H9c2氧化损伤的保护作用。结果发现,一定浓度的过氧化氢对H9c2细胞有损伤作用,因而活细胞数量减少。而预先加入通脉养心丸组分能够提高H9c2细胞存活率,具有抵抗过氧化氢诱导的H9c2细胞氧化损伤的作用。本实验共筛选得到10个具有心肌保护活性的通脉养心丸组分,其中TM-13、TM-14、TM-15、TM-16、TM-17的相对细胞保护率都在50%以上,具有较强的心肌保护活性。
|
| 图4 甘草酸的[M-H]-离子的可能裂解途径 Fig.4 Possible lytic pathway of glycyrrhizic acid [M-H]- ion |
利用HPLC-MS及高分辨质谱对活性组分进行分析鉴定,通过文献比对和根据化合物裂解规律,推断鉴定出11个可能的活性化合物。其中含量较高的有甘草酸、甘草香豆素、甘草利酮、Glyasperin A等,推测这些化合物可能是通脉养心丸中抗氧化应激损伤的主要物质基础。目前已有文献对本研究发现的部分化合物进行了研究,如甘草酸心肌保护活性的报道[20],但仍有部分化合物的心肌保护活性未报道,值得进一步深入研究。
通脉养心丸临床主要用于治疗胸痹心痛、心悸怔仲等症,治疗气阴两虚型冠心病疗效显著。王怡等[1]研究发现通脉养心丸具有显著抗心肌细胞缺氧损伤作用,其作用机制可能是抗炎及抗氧化作用。蔡小军等[2]研究发现通脉养心丸具有抗肾上腺素所致大鼠急性心律失常的作用。肖扬等[3]等研究表明抑制心肌细胞钙超载是通脉养心丸抗心肌细胞凋亡保护心肌的作用机制之一。李珂等[21]研究表明通脉养心丸治疗冠心病患者室性早搏疗效明确。综上所述,近年来对通脉养心丸的药理作用以及临床研究已经取得了一定的成果,然而对于其活性成分尚不明确,直接影响到产品质量控制水平的提升。本研究通过建立过氧化氢氧化损伤H9c2大鼠心肌细胞模型,筛选出通脉养心丸中心肌保护活性物质,鉴定出来的化合物主要来源于甘草、五味子、麦冬等。已有研究表明甘草具有良好的心肌保护作用[19, 22],且其作用是由其中所含的黄酮类化合物和甘草酸类化合物引起的。也有关于五味子和麦冬在心肌保护作用方面的报道[23, 24, 25]。总之,本研究在中药药效物质的筛选方面进行了探讨,可为进一步的通脉养心丸作用机制研究奠定基础,同时也可为心血管疾病的防治提供依据。
| [1] | 王怡, 张玲, 肖扬, 等.通脉养心丸对缺氧诱导心肌细胞损伤炎症因子及氧化应激的影响[J].中医杂志, 2011, 52(4):326-328. WANG Yi, ZHANG Ling, XIAO Yang, et al. Effect of Tongmai Yangxin Pills on inflammatory factors and oxidative stress of cardiomyocyte injury induced by hypoxia[J].Journal of Traditional Chinese Medicine, 2011, 52(4):326-328.(in Chinese) |
| [2] | 蔡小军, 王怡, 胡利民, 等.通脉养心丸抗肾上腺素急性心律失常作用[J].天津中医药大学学报, 2009, 28(3): 133-135. CAI Xiao-jun, WANG Yi, HU Li-min, et al. Effect of Tongmai Yangxin pill in treating adrenaline-induced acute arrhythmia[J].Journal of Tianjin University of Traditional Chinese Medicine, 2009, 28(3): 133-135.(in Chinese) |
| [3] | 肖扬, 张家福, 张玲, 等.从钙超载角度探讨通脉养心丸心肌保护作用的机制[J].中西医结合心脑血管病杂志, 2011, 9(5): 562-563. XIAO Yang, ZHANG Jia-fu, ZHANG Ling, et al. Investigation of protection mechanism of Tongmai Yangxin Pill on myocardium from the perspective of calcium overload [J]. Chinese Journal of Integrative Medicine on Cardio-/Cerebro Vascular Disease, 2011, 9(5): 562-563. (in Chinese) |
| [4] | SUN B, SUN G B, XIAO J, et al. Isorhamnetin inhibits H2O2-induced activation of the intrinsic apoptotic pathway in H9c2 cardiomyocytes through scavenging reactive oxygen species and ERK inactivation[J]. J Cell Biochem, 2012, 113(2): 473-485. |
| [5] | 祝波, 李宏霞, 张凌云, 等. 槲皮素对H2O2所致乳鼠培养心肌细胞损伤的保护作用[J].哈尔滨医科大学学报, 2006, 40(6): 457. ZHU Bo, LI Hong-xia, ZHANG Ling-yun, et al. Protective effect of quercetin on hydroperoxide-induced neonate rat myocardial injury[J].Journal of Harbin Medical University, 2006, 40(6): 457.(in Chinese) |
| [6] | 高丽, 张哲, 许树钦, 等. 赤芍总苷对过氧化氢所致H9C2心肌细胞损伤的保护作用[J].时珍国医国药, 2011, 22(5): 1194-1195. GAO Li, ZHANG Zhe, XU Shu-qin, et al. The protective effect of total paeony glycoside on H9C2 myocardial cells injury induced by hydrogen peroxide[J]. Lishizhen Medicine and Materia Medica Research, 2011, 22(5): 1194-1195. (in Chinese) |
| [7] | 谈志龙, 邢国胜, 王淑云, 等. MTT法观察补肾健骨汤对大鼠成骨细胞增殖的影响[J]. 中国骨质疏松杂志, 2004, 10(1): 94-95. TAN Zhi-long, XING Guo-sheng, WANG Shu-yun, et al. Effects of Bushen Jiangu decoction on proliferation of rat osteoblast assessed by MTT method[J]. Chinese Journal of Osteoporosis, 2004, 10(1):94-95. (in Chinese) |
| [8] | 陈旭光, 唐俊明, 张蕾, 等. 过氧化氢预处理对H9C2心肌细胞氧化应激损伤的保护作用[J].现代生物医学进展, 2013, 13(34): 6615-6618. CHEN Xu-guang, TANG Jun-ming, ZHANG Lei, et al. Protective effects of H2O2 preconditioning against oxidative stress injury in H9C2 cells[J].Progress in Modern Biomedicine, 2013, 13(34): 6615-6618.(in Chinese) |
| [9] | 李月婷, 刘影, 王静娴, 等. 过氧化氢对原代心肌细胞及H9C2细胞的损伤作用[J].贵阳医学院学报, 2012, 37(3): 225-227. LI Yue-ting, LIU Ying, WANG Jing-xian, et al. Damage effect of hydrogen peroxide on primary cardiac myocytes and H9C2 cells [J]. Journal of Guiyang Medical College, 2012, 37(3): 225-227.(in Chinese) |
| [10] | 葛苗苗. 蜂胶活性成分抗心肌细胞氧化性损伤的作用及机制研究[D]. 福州:福建农林大学, 2014. GE Miao-miao. Protective effects and mechanisms of bioactive compounds in propolis on the oxidative injury of cardiomyocytes [D]. Fuzhou: Fujian Agriculture and Forestry University, 2014. (in Chinese) |
| [11] | TAN G, ZHU Z, JING J, et al. Characterization of constituents in Sini decoction and rat plasma byhigh-performance liquid chromatography with diode array detection coupled to time-of-flight mass spectrometry[J]. Biomed Chromatogr, 2011, 25(8): 913-924. |
| [12] | TAN G, ZHU Z, ZHANG H, et al. Analysis of phenolic and triterpenoid compounds in licorice and rat plasma by high-performance liquid chromatography diode-array detection, time-of-flight mass spectrometry and quadrupole ion trap mass spectrometry[J]. Rapid Commun Mass Spectrom, 2010, 24(2): 209-218. |
| [13] | FARAG M A, PORZEL A, WESSJOHANN L A. Comparative metabolite profiling and fingerprinting of medicinal licorice roots using a multiplex approach of GC-MS, LC-MS and 1D NMR techniques [J]. Phytochemistry, 2012, 76: 60-72. |
| [14] | WANG Y, HE S, CHENG X, et al. UPLC-Q-TOF-MS/MS fingerprinting of Traditional Chinese Formula SiJunZiTang [J].J Pharm Biomed Anal, 2013, 80: 24-33. |
| [15] | YAN Y, CHAI C Z, WANG D W, et al. HPLC-DAD-Q-TOF-MS/MS analysis and HPLC quantitation of chemical constituents in traditional Chinese medicinal formula Ge-Gen Decoction [J]. J Pharm Biomed Anal, 2013, 80: 192-202. |
| [16] | MONTORO P, MALDINI M, RUSSO M, et al. Metabolic profiling of roots of liquorice (Glycyrrhiza glabra) from different geographical areas by ESI/MS/MS and determination of major metabolites by LC-ESI/MS and LC-ESI/MS/MS[J].J Pharm Biomed Anal, 2011, 54(3): 535-544. |
| [17] | 陈海明, 叶攀. 丹参酮ⅡA对血管内皮细胞氧化应激损伤的保护作用[J].中药材, 2008, 31(4): 569-572. CHEN Hai-ming, YE Pan. Protective effects of Tanshinone II A on oxidative stress injury in vascular endothelial cells[J]. Journal of Chinese Medicinal Materials, 2008, 31(4): 569-572.(in Chinese) |
| [18] | TANG X Q, FENG J Q, CHEN J, et al. Protection of oxidative preconditioning against apoptosis induced by H2O2 in PC12 cells: mechanisms via MMP, ROS, and Bcl-2 [J]. Brain Res, 2005, 1057(1-2): 57-64. |
| [19] | PENNA C, MANCARDI D, RASTALDO R, et al. Cardio protection: a radical view free radicals in pre and post conditioning [J]. Biochim Biophys Acta, 2009, 1787(7): 781-793. |
| [20] | 张明发, 沈雅琴. 甘草酸类和甘草黄酮类化合物对心脏保护作用的研究进展[J]. 现代药物与临床, 2012, 27(4): 429-434. ZHANG Ming-fa, SHEN Ya-qin. Advances in studies on cardio protection of glycyrrhizic acid compound and flavonoids [J]. Drugs & Clinic, 2012, 27(4): 429-434. (in Chinese) |
| [21] | 李珂, 孙兰军, 高克俭, 等. 通脉养心丸治疗冠心病室性早搏(气阴两虚证)多中心临床研究[J]. 中西医结合心脑血管病杂志, 2010, 8(4): 401-403. LI Ke, SUN Lan-jun, GAO Ke-jian, et al. TongmaiYangxin Pill for treatment of ventricular premature in coronary heart disease with deficiency syndrome of both Qi and Yin: a multi-center clinical trial [J]. Chinese Journal of Integrative Medicine on Cardio-/Cerebrovascular Disease, 2010, 8(4): 401-403. (in Chinese) |
| [22] | 李美平, 何承敏, 胡继鹰, 等. 甘草汤对大鼠心肌缺血再灌注损伤的影响[J]. 湖北中医药大学学报, 2011, 13(1): 9-11. LI Mei-ping, HE Cheng-min, HU Ji-ying, et al. The effects of Gancao decoction on myocardial ischemia reperfusion injury in rats[J].Journal of Hubei University of Chinese Medicine, 2011, 13(1): 9-11.(in Chinese) |
| [23] | 李作吉, 薛令辉, 杜晓红, 等. 五味子颗粒改善急性心肌梗死恢复期患者心功能的临床观察[J]. 中国医疗前沿, 2013, 8(4): 22-23. LI Zuo-ji, XUE Ling-hui, DU Xiao-hong, et al. Clinical observation of schisandra chinensis particle improve acute myocardial infarction reconvalescent cardiac function [J].National Medical Frontiers of China, 2013, 8(4): 22-23. (in Chinese) |
| [24] | 李映红, 李湘楚, 罗德生, 等. 五味子提取液对动物缺氧及心肌缺血的保护作用[J]. 咸宁医学院学报, 1998, 12(2): 79-82. LI Ying-hong, LI Xiang-chu, LUO De-sheng, et al. The protective effect of SCE on animal pneumatorexis and myocardial ischemia [J]. Journal of Xianning Medical College, 1998, 12(2): 79-82. (in Chinese) |
| [25] | 马艳春, 朱丹妮, 余伯阳. 麦冬水提物抗急性心肌缺血活性部位的初步筛选[J]. 时珍国医国药, 2013, 24(3): 561-563. MA Yan-chun, ZHU Dan-ni, YU Bo-yang. Preliminary screening of the active components of the aqueous extract of Ophiopogon japonicus on actute myocardial ischemia[J]. Lishizhen Medicine and Materia Medica Research, 2013, 24(3): 561-563. (in Chinese) |


