| 肝纤维化血清学指标在慢性乙型肝炎磁共振弹性成像肝纤维化分期中的应用 |
肝纤维化是多种慢性肝病向肝硬化发展的共同病理基础,早期肝纤维化通过有效治疗可逆转[1]。慢性乙型肝炎(乙肝)是我国常见的肝脏慢性炎症性疾病,常导致肝实质持续损伤,进而引发肝纤维化[2]。肝纤维化传统的诊断主要依赖肝组织活检,但为有创操作,应用受到限制。近年来,无创性肝纤维化评估方法,如血清学指标和影像学技术,逐渐受到重视。其中,肝纤维化血清学指标,包括透明质酸(hyaluronic acid,HA)、层粘连蛋白(laminin,LN)、Ⅲ型前胶原肽(type Ⅲ procollagen,PCⅢ)和Ⅳ型胶原(type Ⅳ collagen,CⅣ),已被用于肝纤维化程度的初步评估[3-4]。但其在临床实践中的应用仍然有限,主要是因为单个指标的临床有效性和应用尚未达成共识。磁共振弹性成像(magnetic resonance elastography,MRE)通过检测组织在外加剪切波下的质点相位位移来评估组织硬度[5]。目前,肝组织活检仍是肝纤维化分期的金标准,MRE与之具有高度一致性,其诊断进展期肝纤维化的AUC达0.96[6]。本研究旨在探讨慢性乙肝患者肝纤维化血清学指标与MRE测得的肝脏硬度间的相关性,评估肝纤维化血清学指标在肝纤维化诊断和分期中的应用价值。
1 资料与方法 1.1 一般资料前瞻性收集2022年1月至2024年6月我院诊断为慢性乙肝的成年患者。符合《慢性乙型肝炎防治指南(2022年版)》[7]诊断标准:HBsAg阳性持续≥ 6个月。纳入标准:①年龄≥ 18岁;②无MRI检查禁忌证;③行MRI和肝纤维化血清学检测(包括HA、LN、PCⅢ和CⅣ),且两者间隔≤ 1周;④签署知情同意书。排除标准:①合并其他类型肝脏疾病,如丙型肝炎、自身免疫性肝病、非酒精性脂肪性肝病、酒精性肝病及肝脏占位性病变;②有明确药物性肝损伤病史或可疑药物性肝纤维化;③罹患严重心肺疾病;④妊娠期妇女。本研究经医院伦理委员会批准(批号:2020-822-29-01)。
1.2 仪器与方法采用联影uMR790 3.0 T MRI扫描仪、32通道体部相控阵表面线圈。患者取仰卧位,扫描前禁食8 h。扫描范围覆盖整个肝脏。扫描序列及参数:冠状位T2WI序列,TR 7 752 ms,TE 101.64 ms,层厚6 mm,矩阵256×192,视野380 mm×380 mm;轴位T2WI序列,TR 9 562 ms,TE 97.2 ms,层厚6 mm,层距20 mm,矩阵256×192,视野380 mm×280 mm;轴位T1WI序列,TR 3.94 ms,TE 1.41、2.34 ms,翻转角12°,矩阵304×289,视野400 mm×280 mm。2D MRE扫描采用Resoundant控制器和驱动器,频率60 Hz,将驱动器置于右上腹部并用腹带固定,选择肝脏最大层面进行扫描,层厚10 mm,获取4张轴位肝脏MRE图。
1.3 图像分析在MRE图像置信区间内勾画4个层面的ROI并计算平均弹性值,勾画时尽量避开肝缘、大血管和肝左叶受心脏搏动影响的位置。MRE弹性值由1位具有13年腹部MRI诊断经验的放射科医师完成初测,并由另1位具有15年腹部影像诊断经验的医师采用双盲法独立复核;两者弹性值差异>0.3 kPa时,由第3位医师根据标准化ROI定位规范进行终裁,并作为最终数据。采用MRE弹性值作为肝纤维化分期的无创诊断标准:F0期,弹性值<2.32 kPa,无肝纤维化;F1期,2.32 kPa ≤弹性值<2.61 kPa,轻度肝纤维化;F2期,2.61 kPa ≤弹性值<3.02 kPa,显著性肝纤维化;F3期,3.02 kPa ≤弹性值<4.23 kPa,进展期肝纤维化;F4期,弹性值≥ 4.23 kPa,肝硬化;F1~F4期为存在肝纤维化[8]。
1.4 统计学分析使用SPSS 26.0统计软件进行数据分析。采用Kolmogorov-Smirnov检验评估数据的正态性,符合正态分布的连续性变量以x±s表示;不符合正态分布的以M(QL,QU)表示。肝纤维化血清学指标符合正态分布且方差齐性时,不同肝纤维化分期的比较采用单因素方差分析,否则采用Kruskal-Wallis H检验。采用Pearson相关系数或Spearman相关系数对肝纤维化血清学指标与MRE弹性值行相关性分析。绘制ROC曲线评估肝纤维化血清学指标对不同肝纤维化分期的诊断效能。以P<0.05为差异有统计学意义。
2 结果 2.1 一般资料共纳入242例,其中男151例,女91例;年龄22~91岁,平均(49.18±13.13)岁;HA 29.70~844.40 μg/L,LN 5.00~279.40 μg/L,PCⅢ 1.50~76.20 μg/L,CⅣ 10.00~478.71 μg/L;MRE弹性值为1.79~13.20 kPa。242例中,F0期17例,F1期30例,F2期63例,F3期71例,F4期61例。
2.2 肝纤维化血清学指标与MRE弹性值的相关性HA、LN、PCⅢ、CⅣ与MRE弹性值均呈正相关(ρ=0.513,0.382,0.336,0.563;均P<0.001)(图 1)。随肝纤维化分期的增加,肝纤维化血清学指标水平逐渐升高(表 1,图 2~6)。
![]() |
| 注:图 1a~1d分别为透明质酸、层粘连蛋白、Ⅲ型前胶原肽、Ⅳ型胶原分布的散点图 图 1 不同磁共振弹性成像(MRE)弹性值时肝纤维化血清学指标分布的散点图 |
| 表 1 不同肝纤维化分期肝纤维化血清学指标比较[μg/L,M(QL,QU)] |
![]() |
![]() |
| 注:图2患者,男,36岁。图2a,2b分别为脂肪抑制T2WI和肝脏磁共振弹性成像(MRE),弹性值为2.24 kPa(F0期),透明质酸(HA)为42.13 μg/L,层粘连蛋白(LN)为39.86 μg/L,Ⅲ型前胶原肽(PCⅢ)为4.2 μg/L,Ⅳ型胶原(CⅣ)为18.10 μg/L。图3患者,男,54岁。图3a,3b分别为脂肪抑制T2WI和肝脏MRE,弹性值为2.50 kPa(F1期),HA为84.70 μg/L,LN为67.10 μg/L,PCⅢ为14.10 μg/L,CⅣ为34.70 μg/L。图4患者,男,41岁。图4a,4b分别为脂肪抑制T2WI和肝脏MRE,弹性值为2.72 kPa(F2期),HA为97.50 μg/L,LN为84.87 μg/L,PCⅢ为10.65 μg/L,CⅣ为41.36 μg/L。图5患者,男,46岁。图5a,5b分别为脂肪抑制T2WI和肝脏MRE,弹性值为3.26 kPa(F3期),HA为114.90 μg/L,LN为76.70 μg/L,PCⅢ为28.70 μg/L,CⅣ为51.00 μg/L。图6患者,男,68岁。图6a,6b分别为脂肪抑制T2WI和肝脏MRE,弹性值为5.25 kPa(F4期),HA为531.90 μg/L,LN为115.30 μg/L,PCⅢ为20.70 μg/L,CⅣ为226.80 μg/L 图 2-6 慢性乙型肝炎患者的MRI图像 |
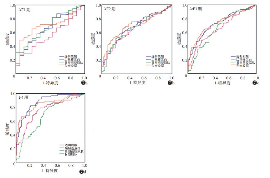
2.3 肝纤维化血清学指标对肝纤维化分级的诊断效能
诊断≥ F1期时,肝纤维化血清学指标的诊断效能均较有限,其中CⅣ的诊断效能相对较高(AUC=0.700)。诊断≥ F2期时,CⅣ显示出中等程度的诊断效能(AUC=0.705)。诊断≥ F3期时,CⅣ和HA的诊断效能相当(AUC分别为0.739和0.730),LN和PCⅢ的诊断效能有限(AUC均为0.660)。诊断F4期时,各指标诊断效能均较高,其中HA的诊断效能最高(AUC=0.873)(表 2,图 7)。
| 表 2 肝纤维化血清学指标在不同纤维化分期诊断中的ROC曲线分析结果 |
![]() |
![]() |
| 注:图7a为诊断≥F1期;图7b为诊断≥ F2期;图7c为诊断≥ F3期;图7d为诊断F4期 图 7 肝纤维化血清学指标诊断不同肝纤维化分期的ROC曲线 |
3 讨论
MRE是目前公认的最准确的无创性肝纤维化检查方法。与传统肝穿刺活检相比,MRE无创、安全、可重复操作,可全肝实质评估,弥补了活检的局限性[9-10]。既往研究认为,MRE能准确区分不同程度的肝纤维化,且在诊断肝硬化方面的效能优于超声弹性成像[11-12]。MRE还可检出早期肝纤维化,对指导肝病患者的治疗及预后判断至关重要[13-14]。本研究采用的MRE诊断标准被认为具有较高的准确性和可重复性[15]。与其他MRE诊断标准相比,该标准更适合亚洲人群,且在区分早期纤维化方面表现更佳,有助于提高研究结果的可靠性和临床应用价值。
HA是由肝星状细胞合成的主要细胞外基质成分,其水平可反映肝纤维化的程度;LN作为基底膜的主要成分,其浓度增高提示肝纤维化进展;PCⅢ和CⅣ则分别反映Ⅲ型及Ⅳ型胶原的代谢,也可作为评估肝纤维化的指标[16-17]。本研究显示,HA、LN、PCⅢ和CⅣ 4项血清学指标均与MRE所测肝脏弹性值呈正相关,提示这些指标能反映肝脏纤维化程度的变化,可作为无创评估肝纤维化程度的潜在生物标志物,与Ma等[18-19]报道一致。本研究中,HA、CⅣ与MRI弹性值的相关性最显著,与丁贤君等[20]报道一致。LN和PCⅢ的相关性相对较弱,这可能与其在肝纤维化不同阶段的表现差异有关。随着肝纤维化分期的增加,肝纤维化血清学指标呈升高趋势,这与肝纤维化进程中细胞外基质合成及沉积增加的病理生理机制相符合。
本研究中ROC曲线分析显示,在诊断≥ F1期时,肝纤维化血清学指标的诊断效能均较有限,其中CⅣ的AUC相对较高。在诊断≥ F2期时,CⅣ显示出中等诊断效能,HA、PCⅢ和LN的诊断效能相近。在诊断≥ F3期时,CⅣ和HA表现出相对较好的诊断效能,达到中等偏上水平,而LN和PCⅢ的诊断效能仍有限。值得注意的是,在诊断肝硬化(F4期)时,各指标均表现出良好的诊断效能,其中HA的AUC最高,CⅣ也显示出良好的诊断能力。这可能与HA反映肝星状细胞活化及基质沉积的过程密切相关[21]。可见,PCⅢ和CⅣ在早期肝纤维化评估中的效能有限,CⅣ在中重度肝纤维化的鉴别诊断中仍具有一定的临床参考价值,而HA在诊断肝硬化方面效能最佳[22-24]。
在临床实践中,可首先采用肝纤维化血清学指标作为筛查手段,对患者进行初步评估;对需进一步明确肝纤维化程度的患者,则可行MRE检查,获得更精确的诊断结果,这种分层诊断策略已在多项研究中被证实可提高诊断效率并降低医疗成本[25-28]。近年来,有学者致力于联合诊断模型的开发,综合利用生化指标和影像学特征,以提高肝纤维化诊断的准确性和敏感度。如叶乃源等[29]提出结合血清标志物和MRE的模型显著提高了肝纤维化分期的准确性。
本研究存在的不足:缺乏肝组织活检作为金标准对照;缺乏纵向随访数据;未考虑其他临床因素的影响。后续应纳入肝活检结果行前瞻性队列研究,并分析年龄、性别、病程等对结果的潜在影响。
综上所述,慢性乙肝患者肝纤维化血清学指标与MRE弹性值呈正相关。HA、LN、PCⅢ和CⅣ对肝硬化分期有一定的诊断效能。MRE作为目前公认的最准确的无创性肝纤维化检查方法,可为慢性乙肝患者的诊断及治疗决策提供重要依据。
| [1] |
ROEHLEN N, CROUCHET E, BAUMERT T F. Liver fibrosis: mechanistic concepts and therapeutic perspectives[J]. Cells, 2020, 9(4): 875. DOI:10.3390/cells9040875 |
| [2] |
SU S, WONG W C, ZOU Z, et al. Cost-effectiveness of universal screening for chronic hepatitis B virus infection in China: an economic evaluation[J]. Lancet Glob Health, 2022, 10(2): e278-e287. DOI:10.1016/S2214-109X(21)00517-9 |
| [3] |
ALEKNAVIČIŪTĖ-VALIENĖ G, BANYS V. Clinical importance of laboratory biomarkers in liver fibrosis[J]. Biochem Med (Zagreb), 2022, 32(3): 030501. |
| [4] |
LI F, ZHU C L, ZHANG H, et al. Role of hyaluronic acid and laminin as serum markers for predicting significant fibrosis in patients with chronic hepatitis B[J]. Braz J Infect Dis, 2012, 16(1): 9-14. |
| [5] |
LOOMBA R, ADAMS L A. Advances in non-invasive assessment of hepatic fibrosis[J]. Gut, 2020, 69(7): 1343-1352. DOI:10.1136/gutjnl-2018-317593 |
| [6] |
XIAO G, ZHU S, XIAO X, et al. Comparison of laboratory tests, ultrasound, or magnetic resonance elastography to detect fibrosis in patients with nonalcoholic fatty liver disease: a meta-analysis[J]. Hepatology, 2017, 66(5): 1486-1501. DOI:10.1002/hep.29302 |
| [7] |
中华医学会肝病学分会, 中华医学会感染病学分会. 慢性乙型肝炎防治指南(2022年版)[J]. 中华肝脏病杂志, 2022, 30(12): 1309-1331. |
| [8] |
MORISAKA H, MOTOSUGI U, ICHIKAWA S, et al. Magnetic resonance elastography is as accurate as liver biopsy for liver fibrosis staging[J]. J Magn Reson Imaging, 2018, 47(5): 1268-1275. DOI:10.1002/jmri.25868 |
| [9] |
王威, 温锋, 赵相轩, 等. 磁共振弹性成像评价肝纤维化分期的Meta分析[J]. 中国临床医学影像杂志, 2015, 26(5): 329-333. |
| [10] |
KAPLAN J M, ALEXIS J, GRIMALDI G, et al. A comparison of magnetic resonance elastography (MRE) to biomarker testing for staging fibrosis in non-alcoholic fatty liver disease (NAFLD)[J]. Transl Gastroenterol Hepatol, 2023, 8: 7. DOI:10.21037/tgh-22-27 |
| [11] |
IMAJO K, HONDA Y, KOBAYASHI T, et al. Direct comparison of US and MR elastography for staging liver fibrosis in patients with nonalcoholic fatty liver disease[J]. Clin Gastroenterol Hepatol, 2022, 20(4): 908-917. DOI:10.1016/j.cgh.2020.12.016 |
| [12] |
周家豪, 李若坤, 严福华. 磁共振弹性成像在慢性肝病中的应用[J]. 肝脏, 2021, 26(2): 112-114. |
| [13] |
刘莹, 石喻, 于兵, 等. 磁共振弹性成像与DWI诊断肝纤维化分期[J]. 中国医学影像技术, 2016, 32(9): 1386-1390. |
| [14] |
李夏铷, 詹松华, 袁杰, 等. MR弹性成像在肝、肾纤维化中的应用进展[J]. 中国中西医结合影像学杂志, 2021, 19(5): 499-502. |
| [15] |
LI S, SUN X, CHEN M, et al. Liver fibrosis conventional and molecular imaging diagnosis update[J]. J Liver, 2019, 8(1): 236. |
| [16] |
毛会娟, 王卫芳, 姚佳, 等. 肝纤维化指标在乙型肝炎肝硬化及进展程度中的意义[J]. 中华医院感染学杂志, 2021, 31(17): 2561-2565. |
| [17] |
徐晓莉, 冯峰, 张涛, 等. Gd-EOB-DTPA增强MRI对慢性乙型病毒性肝炎肝纤维化分期的评估价值[J]. 中国中西医结合影像学杂志, 2021, 19(6): 568-571. DOI:10.3969/j.issn.1672-0512.2021.06.016 |
| [18] |
MA H Y, DONG L, QUAN S Z, et al. Comparison of four markers of hepatic fibrosis and hepatic function indices in patients with liver cirrhosis and hepatoma[J]. Ann Palliat Med, 2021, 10(4): 4108-4121. DOI:10.21037/apm-20-1623 |
| [19] |
YOUNESI S, PARSIAN H. Diagnostic accuracy of glycoproteins in the assessment of liver fibrosis: a comparison between laminin, fibronectin, and hyaluronic acid[J]. Turk J Gastroenterol, 2019, 30(6): 524-531. DOI:10.5152/tjg.2019.17339 |
| [20] |
丁贤君, 李世波, 李绍佐, 等. 慢性肝病患者肝纤维化血清学指标与肝组织纤维化分期的量化关系[J]. 中华肝脏病杂志, 2005, 13(12): 911-914. |
| [21] |
WARREN A, BERTOLINO P, BENSELER V, et al. Marked changes of the hepatic sinusoid in a transgenic mouse model of acute immune-mediated hepatitis[J]. J Hepatol, 2007, 46(2): 239-246. DOI:10.1016/j.jhep.2006.08.022 |
| [22] |
LI F, ZHU C L, ZHANG H, et al. Role of hyaluronic acid and laminin as serum markers for predicting significant fibrosis in patients with chronic hepatitis B[J]. Braz J Infect Dis, 2012, 16(1): 9-14. |
| [23] |
VOUMVOURAKI A, KOULENTAKI M, NOTAS G, et al. Serum surrogate markers of liver fibrosis in primary biliary cirrhosis[J]. Eur J Intern Med, 2011, 22(1): 77-83. DOI:10.1016/j.ejim.2010.10.002 |
| [24] |
李静, 李建州, 朱娅鸽, 等. 血清25(OH)D3、miR-25-3p、CHI3L1水平与慢性乙型肝炎肝纤维化程度及肝功能的关系[J]. 西部医学, 2025, 37(4): 522-526. |
| [25] |
NAKAZAWA Y, OKADA M, TAGO K, et al. MR elastography vs a combination of common non-invasive tests for estimation of severe liver fibrosis in patients with hepatobiliary tumors[J]. Eur Radiol, 2025, 35(3): 1464-1472. |
| [26] |
BUCKHOLZ A P, BROWN R S. Noninvasive fibrosis testing in chronic liver disease including caveats[J]. Clin Liver Dis, 2023, 27(1): 117-131. DOI:10.1016/j.cld.2022.08.008 |
| [27] |
葛岩松, 董春桐, 孙林娜, 等. 肝纤维化的fMRI应用进展[J]. 中国中西医结合影像学杂志, 2022, 20(6): 598-602. |
| [28] |
SATO N, KENJO A, NISHIMAGI A, et al. Accuracy comparison of MR elastography and biological markers in detecting liver fibrosis and predicting postoperative ascites[J]. HPB (Oxford), 2021, 23(9): 1383-1391. DOI:10.1016/j.hpb.2021.01.011 |
| [29] |
叶乃源, 蒋佩岑, 陈曦, 等. 弹性成像技术联合血清学模型评估乙型肝炎患者肝纤维化分期[J]. 中国医学影像技术, 2021, 37(5): 707-711. |
2025, Vol. 23







