
2. 深圳市第三人民医院供应室,广东 深圳 518000
2. Supply Center, the Third People's Hospital of Shenzhen, Shenzhen Guangdong 518000, China
阿片类药物如吗啡依然是临床上治疗中重度神经病理性疼痛(neuropathic pain,NPP)的主要药物,但长期使用将产生药物耐受,导致疗效下降。前期研究显示,NPP过程中外周神经的μ阿片受体(mu-opioid receptor,MOR)表达下降,推测可能与吗啡耐受有关,但机制不明,表观遗传机制可能参与其中[1-2]。文献表明DNA甲基转移酶(DNA methyltransferase,DNMT)亚型DNMT3a介导的Oprm1基因(编码MOR)沉默会导致MOR表达减少,并促进神经损伤导致的NPP和吗啡耐受[3-4]。本文尝试用相反的手段,即DNA去甲基化酶TET1过表达的方式进行干预,观察其对NPP痛觉过敏和吗啡耐受的影响。
1 材料与方法 1.1 试剂与仪器兔抗TET1一抗(1 :1 000,Abcam,编号ab191698), 兔抗GAPH一抗(1 :1 000,Santa Cruz,编号sc-20357),兔抗MOR一抗(1 :500,Immunostar,编号RA10104),山羊抗兔二抗(1 :3 000,Jackson Immuno Research),DNA提取试剂盒(Qiagen),Ribo-Zero rRNA试剂盒(Illumina,CA),Tru Seq Stranded Total RNA样品制备试剂盒(Illumina,CA),5mC/5hmC一抗(BI-MECY, Eurogentec),热辐射测痛仪(美国IITC Life Science),Von Frey针(美国Stolting),电泳转膜系统(Bio-Rad),高通量测序平台Illumina Hi Seq 2500。
1.2 方法 1.2.1 实验动物分组成年SD大鼠,♂,体质量(250~300) g,购于广东实验动物中心,许可证号SCXK(粤)2017-0029,饲养于温度(20~25)℃、昼夜12 h交替环境中,自由取食饮水。随机数字表法分为4组:①假手术组(Sham组):将左侧的坐骨神经充分游离暴露但不结扎;②慢性压迫性损伤(chronic constriction injury, CCI)组:将左侧坐骨神经游离暴露结扎;③ CCI+TET1组:背根神经节(dorsal root ganglia, DRG)内微注射HSV-TET1,3 d后结扎左侧坐骨神经。④ CCI+GFP组:DRG内注射HSV-GFP,3 d后结扎左侧坐骨神经。
1.2.2 DRG内HSV-TET1病毒质粒微注射在异氟醚吸入麻醉后,显微镜下小心操作三维手动旋钮,使玻璃微注射管(直径20~40 μm)中心垂直于已暴露的DRG上方,然后缓慢向下调节旋钮,使其尖端垂直刺入背DRG表面,刺入时有轻微的突破感。微量注射泵的流速为12 μL·h-1,最后注入HSV-TET1(2 μL, 20 μmol·L-1)或HSV-GFP(2 μL)。HSV-TET1由美国罗格斯大学Tao教授馈赠。
1.2.3 坐骨神经结扎CCI模型制备病毒注射3 d后,参考Bennett等[5]的方法建立大鼠CCI模型:异氟烷吸入麻醉下将大鼠左侧卧位固定在操作台上,右侧后肢皮肤去毛,碘伏消毒,于坐骨结节处切开皮肤,钝性分离肌肉后暴露坐骨神经,用4-0的羊肠线打4个单线结,松紧度控制在勉强能够滑动为宜,间距约为1 mm,术毕逐层缝合伤口,单笼饲养。
1.2.4 疼痛行为学观察和测量在造模前3 d测定各组大鼠基础痛阈值,在造模前1 d,造模后d 3、d 5进行疼痛行为学测定。所有测定均在8 :00~12 :00 am安静环境下进行。
① 机械刺激缩爪反应阈值(paw withdrawal threshold, PWT)测量:参考Chaplan和何林峰等[6-7]的方法,以up and down法测定PWT。将一透明有机玻璃箱放置于金属筛网上,让大鼠适应环境10 min后,用Von Frey针刺激大鼠术侧后足掌部持续时间≤4 s,阳性反应依据为大鼠出现抬足或舔足行为。初始刺激强度为2 g,当该力度刺激为阴性反应,则增大一级力度刺激;如反应为阳性则减少一级力度,如此交替直至出现第1次阳性。取4次测定平均值为阈值。最大力度为15 g,大于此值时记为15 g。注意每次刺激间隔(30 s)和刺激力度相当。②热辐射刺激缩爪反应潜伏期(paw withdrawal latency, PWL)测量:参考Hargreaves等[8]的方法,将大鼠放置专用透明有机玻璃板上,调整热痛刺激仪光源焦距照射动物后肢掌心,记录动物从照射开始到引起缩肢反应的时间。每只大鼠测量5次,间隔时间5 min,上限20 s,以避免造成组织损伤。
1.2.5 Western blot于术后d 7行为学检测完毕后,采用颈椎脱臼法处死大鼠,沿棘突切开皮肤,除棘突和椎板,快速取出各组大鼠左侧L5 DRG,加入组织裂解液,提取总蛋白,定量后行SDS-PAGE电泳,转膜,室温下5%脱脂奶粉封闭2 h,加入一抗4 ℃下孵育过夜。次日PBST洗膜后重复清洗3次后,加入相应二抗室温下孵育2 h,ECL显影,记录分析实验结果。
1.2.6 吗啡耐受模型的建立及测定[9]CCI造模术后d 4开始,每天早晚皮下注射吗啡10 mg·kg-1(间隔12 h),连续7 d,建立吗啡耐受模型。于术后d 7、9、11早注射吗啡前,检测吗啡耐受情况。方法:给予吗啡诱导量3 mg·kg-1皮下注射,在注射前后0.5 h测量TWL,连续测定3次,间隔1 min, 上限值20 s。计算最大镇痛效应百分比(maximum potential analgesic effect,MPAE), 公式为MPAE/%=(给药后TWL-给药前TWL)/(20-给药前TWL)×100%。
1.2.7 甲基化水平检测上述吗啡耐受模型大鼠行为学检测完毕后处死,采集L5 DRG,参照试剂盒说明书提取DNA,采用DNA blot方法检测DRG全基因5mC和5hmC水平,采用亚硫酸氢盐测序和Tab-seq技术检测MOR启动子区域5mC和5hmC水平。
1.3 统计学分析用Sigma Plot 12.5软件进行统计学分析,数据以x±s表示,多组均数比较采用单因素方差分析,两两比较采用非配对t检验。
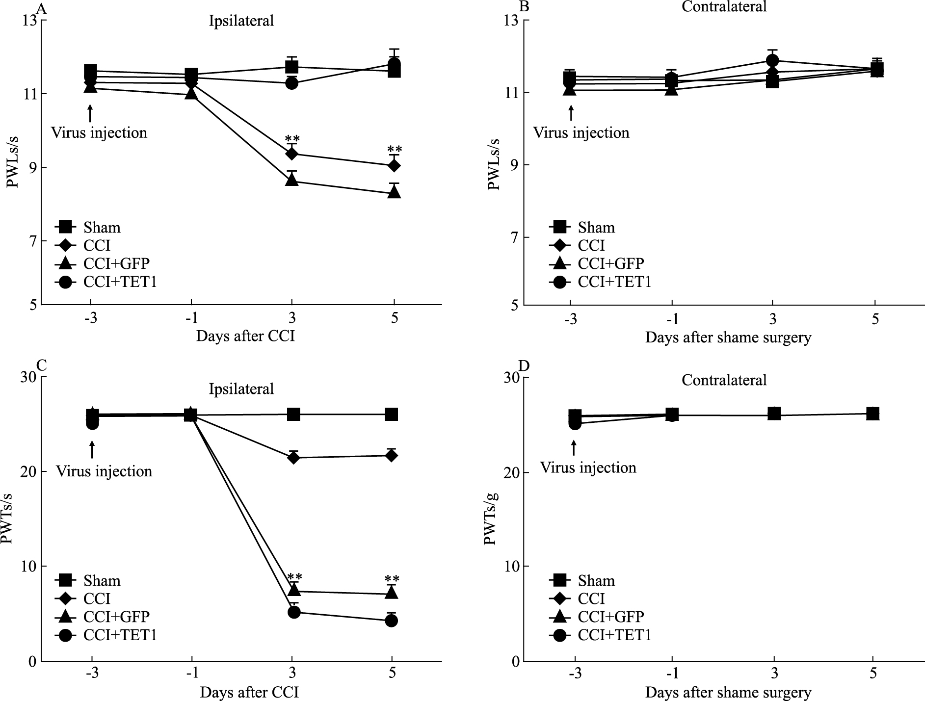
2 结果 2.1 注射HSV-TET1对CCI模型大鼠疼痛行为学影响如Fig 1所示,各组大鼠在手术前3 d和1 d热痛阈值(PWLs)及机械痛阈值(PWTs)无统计学差异,术后d 3、d 5 CCI大鼠术侧PWLs和PWTs明显降低,差异有统计学差异(P<0.01)。DRG内微注射HSV-TET1可以明显缓解疼痛,PWLs和PWTs恢复基础水平;HSV-GFP疼痛阈值无明显影响(Fig 1 A, C)。手术对侧疼痛阈值在各时点没有明显改变(Fig 1 B, D)。
|
| Fig 1 Effect of HSV-TET1 microinjection in DRG on nerve-injury induced nociceptive hypersensitivity(x±s, n=5) **P < 0.01 vs sham group |
如Fig 2所示,CCI术后TET1表达没有变化,HSV-TET1注射后TET1表达显著增加(P<0.01)。CCI术后MOR表达明显下降(P<0.01),HSV-GFP注射不能逆转MOR表达下降,HSV-TET1注射可以逆转这种效应,MOR表达明显增加(P<0.01)。
|
| Fig 2 Effect of HSV-TET1 microinjection on level of TET1 and MOR in L5 DRG after CCI(x±s=3) **P < 0.01 vs sham group; ##P < 0.01 vs CCI group |
如Fig 3所示,CCI术后d 3,吗啡3 mg·kg-1肌注对于sham组大鼠和CCI组大鼠的镇痛效应MPAE分别约为(90.6±9.3)和(39.8±11.2)(P<0.01),吗啡对CCI大鼠的镇痛效果明显减弱。CCI+GFP组大鼠MPAE为(37.1±7.6),和CCI组相似;注射HSV-TET1后,吗啡的镇痛效应恢复至约(76±8.6)(P<0.01)。
|
| Fig 3 Effect of TET1 overexpression on morphineanalgesia in CCI rats(x±s=5) **P < 0.01 vs sham group; ##P < 0.01 vs CCI group |
如Fig 4所示,吗啡3 mg·kg-1对于CCI大鼠术后d 7、9、11的MPAE值分别约为50、30、19,发生了明显的吗啡耐受。CCI+GFP组大鼠的MPAE值分别为48、29、19,和CCI组结果相似。TET1组相应时点的MPAE分别为80、58、30,sham组分别为90、63、30,TET1组和sham组各时点比较差异无统计学意义,TET1组和CCI组各时点比较差异有统计学意义(P<0.01)。
|
| Fig 4 Effect of TET1 overexpression on morphinetolerance in CCI rats(x±s=5) *P < 0.05, **P < 0.01 vs CCI group |
如Fig 5所示,DNA blot实验结果表明,4组实验大鼠L5 DRG内的5mC和5hmC的总含量半定量值差异无统计学意义(P>0.05)。
|
| Fig 5 Effect of TET1 overexpression on level ofgenomic 5mC/5hmC in L5 DRG after CCI(x±s=5) |
如Fig 6所示,CCI模型大鼠MOR基因OPRM启动子区域Oprm1(-450/-288)和Oprm2(-238/+439)5mC相对水平上升,5hmC水平下降(P<0.01);HSV-GFP注射对此效应没有影响,HSV-TET1注射可以逆转此效应。
|
| Fig 6 Effect of TET1 overexpression on level of 5mC/5hmCin two regions of oprm1 gene after CCI(x±s=3) **P < 0.01 vs sham group; ##P < 0.01 vs CCI group |
虽然阿片类药物是目前NPP中重度患者最常使用的药物,但其在临床上的治疗效果并不理想,并且反复使用会产生药物耐受。既往研究发现,NPP形成后, 脊髓背角和DRG内MOR表达明显下降, 这被认为是NPP病理过程维持及阿片类药物疗效不佳和耐受的主因之一[10-12]。但导致MOR表达减少的原因,目前仍然不十分明确。
DNA甲基化机制是最早发现又最具特征的基因表观修饰方式, 是基因表达状态稳定的主要机制之一。越来越多的研究者发现,表观遗传相关的表型变化与疼痛的关系[13]。机体中甲基化和非甲基化的动态平衡是由两类酶进行调控:一种是促进甲基化过程的酶,即DNA甲基转移酶家族DNMTs,使胞嘧啶(C)转变为5-甲基胞嘧啶(5mC);另一种是促进去甲基化的酶TET(Ten-eleven translocation methylcytosine dioxygenase)蛋白,催化5mC的氧化成为衍生物5-羟甲基胞嘧啶(5hmC),从而使已经甲基化的胞嘧啶去甲基化。最近的研究表明,DNMTs和TET蛋白共同维持着甲基化和去甲基的平衡[3]。DNA的甲基化可以抑制相关基因的活性, 而去甲基化则能促进相关基因的活化甚至重新表达。因此体内无论甲基化酶DNMTs还是去甲基化酶TET发生变化,都会影响目的基因转录活性,从而导致蛋白表达和相应的生理功能发生改变。TET蛋白家族有3个成员,分别为TET1、TET2和TET3。TET1是目前公认的最具有催化5mC羟基化的活性酶。前期的结果显示,受损的DRG神经元中DNMT亚型DNMT3a的表达上调,但TET1的表达无明显变化,从而导致甲基化-去甲基化动态失衡[3]。本实验从调节TET1表达着手,尝试恢复机体甲基化-去甲基化的平衡状态,从而改善NPP的状态和吗啡耐受。
本实验结果表明,CCI模型的大鼠,在外周神经损伤d 3即开始出现痛觉过敏,证明NPP模型建立成功。CCI大鼠DRG的MOR表达水平明显减少,这和之前的实验结果相一致。我们采用腺病毒载体技术,将HSV-TET1注射入DRG内,Western blot结果表明,DRG内TET1表达明显增加,并且可以显著逆转神经损伤导致的MOR表达减少,行为学检测表明,TET1过表达可以缓解疼觉过敏。在CCI d 3,我们检测同等剂量的吗啡对不同分组大鼠镇痛效果的影响。实验结果显示,剂量3 mg·kg-1的吗啡,sham组大鼠的MPAE约为90,而CCI大鼠的MPAE约为40,注射HSV-TET1的大鼠MPAE恢复至约70。以上结果证实,CCI大鼠发生了痛觉过敏,且对吗啡的反应下降;TET1过表达可以恢复MOR的表达,改善NPP的状态,并部分恢复吗啡对NPP的镇痛作用。
我们进一步对CCI大鼠连续7 d注射吗啡建立吗啡耐受模型,观察TET1过表达对大鼠吗啡耐受的作用。实验结果显示,随着时间推移,吗啡对CCI大鼠的镇痛效应明显减弱,患侧的MAPE在d 7、d 9、d 11的MPAE分别约为50、30、19,产生了明显的吗啡耐受。注射HSV-TET1的大鼠在相同的时间点的MPAE分别约为80、58、30,表明虽然也产生了吗啡耐受,但耐受的情况得到明显改善。利用DNA探针发现,TET1过表达并不会改变DRG整体的甲基化水平,但直接基因测序结果显示注射TET1可以使MOR启动子内的两个特定区域Oprm1(-450/-288)和Oprm2(-238/+439)5mC含量下调,5hmC含量上调,即去甲基化水平上升,从而影响MOR的表达,最终影响到吗啡的镇痛效能。以上结果表明,TET1可以通过调节MOR启动子区域的甲基化水平,恢复MOR的表达,改善NPP的吗啡耐受。
综上所述,NPP过程中痛觉过敏和吗啡耐受可能与外周神经甲基化水平失衡,MOR表达水平下降有关。DNA去甲基化酶TET1可以调节MOR的启动子区域5mC和5mhC的平衡,恢复MOR的表达,从而改善NPP的痛觉过敏和吗啡耐受。本研究结果可以帮助深入理解NPP的发病机制,并为其临床治疗提供新的思路和靶点。
| [1] |
Devor M. Ectopic discharge in Abeta afferents as a source of neuropathic pain[J]. Exp Brain Res, 2009, 196(1): 115-28. doi:10.1007/s00221-009-1724-6 |
| [2] |
Campbell J N, Meyer R A. Mechanisms of neuropathic pain[J]. Neuron, 2006, 52(1): 77-92. doi:10.1016/j.neuron.2006.09.021 |
| [3] |
Sun L, Zhao J Y, Gu X, et al. Nerve injury-induced epigenetic silencing of opioid receptors controlled by DNMT3a in primary afferent neurons[J]. Pain, 2017, 158(6): 1153-65. |
| [4] |
Liang L, Zhao J Y, Gu X, et al. G9a inhibits CREB-triggered expression of mu opioid receptor in primary sensory neurons following peripheral nerve injury[J]. Mol Pain, 2016, 12.pii:1744806916682242.
|
| [5] |
Bennett G J, Xie Y K. A peripheral mononeuropathy in rat that produces disorders of pain sensation like those seen in man[J]. Pain, 1988, 33(1): 87-107. |
| [6] |
Chaplan S R, Bach F W, Pogrel J W, et al. Quantitative assessment of tactile allodynia in the rat paw[J]. J Neurosci Methods, 1994, 53(1): 55-63. |
| [7] |
何林峰, 王可欣, 雷蕾, 等. 阿霉素减轻坐骨神经慢性缩窄性损伤大鼠的神经病理性疼痛及其机制[J]. 中国药理学通报, 2018, 34(1): 33-8. He L F, Wang K X, Lei L, et al. Effects of doxorubicin on neuropathic pain in chronic sciatic nerve constriction injury rats and its underlying mechanism[J]. Chin Pharmacol Bull, 2018, 34(1): 33-8. doi:10.3969/j.issn.1001-1978.2018.01.009 |
| [8] |
Hargreaves K, Dubner R, Brown F, et al. A new and sensitive method for measuring thermal nociception in cutaneous hyperalgesia[J]. Pain, 1988, 32(1): 77-88. |
| [9] |
Liaw W J, Zhu X G, Yaster M, et al. Distinct expression of synaptic NR2A and NR2B in the central nervous system and impaired morphine tolerance and physical dependence in mice deficient in postsynaptic density-93 protein[J]. Mol Pain, 2008, 4: 45. |
| [10] |
Rashid M H, Inoue M, Toda K, et al. Loss of peripheral morphine analgesia contributes to the reduced effectiveness of systemic morphine in neuropathic pain[J]. J Pharmacol Exp Ther, 2004, 309(1): 380-7. doi:10.1124/jpet.103.060582 |
| [11] |
Obara I, Parkitna J R, Korostynski M, et al. Local peripheral opioid effects and expression of opioid genes in the spinal cord and dorsal root ganglia in neuropathic and inflammatory pain[J]. Pain, 2009, 141(3): 283-91. |
| [12] |
Pitcher G M, Henry J L. Governing role of primary afferent drive in increased excitation of spinal nociceptive neurons in a model of sciatic neuropathy[J]. Exp Neurol, 2008, 214(2): 219-28. |
| [13] |
Wang L, Zhang J, Duan J, et al. Programming and inheritance of parental DNA methylomes in mammals[J]. Cell, 2014, 157(4): 979-91. doi:10.1016/j.cell.2014.04.017 |

