


2. 开滦总医院肾内科,河北 唐山 063000;
3. 河北省肾脏病重点实验室,河北 石家庄 050017
2. Dept of Nephrology, Kailuan General Hospital, Tangshan Hebei 063000, China;
3. Hebei Key Lab of Kidney Diseases, Shijiazhuang 050017, China
随着人均寿命的延长和生活习惯的改变,糖尿病(diabetes mellitus, DM)发病率逐年增加。糖尿病肾病(diabetic nephropathy, DN)是糖尿病最常见的微血管并发症。肾小球系膜细胞的凋亡在DN发病过程中发挥重要作用,其造成的系膜细胞缺失是导致糖尿病肾损伤的重要机制之一[1-2]。高糖(high glucose, HG)可通过诱导活性氧簇(reactive oxygen species, ROS)的产生,促进肾小球系膜细胞凋亡[1]。我们的前期研究表明,抗氧化肽SS-31能够明显抑制高糖诱导的肾小球系膜细胞ROS产生以及细胞凋亡[3]。研究表明,肾脏特异性过表达沉默信息调节因子2相关酶1 (silent mating type information regulation 2 homolog 1,Sirt1) 能够抑制顺铂引起的肾脏ROS产生[4]。Sirt1激活剂白藜芦醇能够抑制糖尿病肾脏细胞氧化应激以及细胞凋亡[5]。SRT1720是一种Sirt1的激活剂,其在体内的代谢时间比白藜芦醇更长, 它与Sirt1之间的结合能力是白藜芦醇的1 000倍左右[6]。研究表明,SRT1720对缺血/再灌注引起的肾脏细胞凋亡具有明显保护作用[7]。然而,SRT1720对HG诱导的肾小球系膜细胞凋亡的作用,还未见报道。本实验旨在探讨SRT1720对HG诱导的小鼠肾小球系膜细胞凋亡的作用以及相关作用机制。
1 材料与方法 1.1 材料小鼠系膜细胞(CRL-1927) 来自美国菌种保藏中心(Manassas, VA)。D-glucose和Mannitol为Sigma公司产品;兔抗caspase-3、cleaved caspase-3、p38 MAPK和p-p38 MAPK为美国Cell Signaling公司产品;兔抗Sirt1、Bax、Bcl-2、p53、acetylated p53和细胞色素C抗体购自英国Abcam公司;TUNEL试剂盒为美国Promega公司产品;SRT1720购自美国Selleckchem公司;辣根酶标记羊抗兔IgG购自北京中杉金桥公司;聚偏二氟乙烯膜(PVDF)为美国Millipore公司产品。
1.2 方法 1.2.1 细胞培养和分组刺激实验以含5%胎牛血清、2 mmol·L-1 L-谷氨酰胺、100 kU·L-1青霉素和100 mg·L-1链霉素的DMEM-F12(3 :1) 培养基,5% CO2、37℃培养箱中常规培养细胞。待MMCs达75%~85%融合后,用无血清培养基同步24 h。将细胞分成4组:正常糖组(5.6 mmol·L-1葡萄糖,NG)、正常糖+甘露醇组(5.6 mmol·L-1葡萄糖+24.4 mmol·L-1甘露醇, M)、高糖组(30 mmol·L-1葡萄糖,HG)、高糖+SRT1720组(30 mmol·L-1葡萄糖+10 μmol·L-1 SRT1720, HG+SRT)。于刺激的不同时间收集细胞,进行以下观察。
1.2.2 流式细胞术(FCM)检测细胞凋亡收集上清及贴壁细胞,用PBS洗2次,用体积分数0.70的乙醇4℃固定24 h,PBS洗2次,碘化丙啶避光染色30 min,流式细胞仪观察。
1.2.3 末端脱氧核苷酸转移酶介导dUTP缺口标记法(TUNEL)检测细胞凋亡MMCs接种于8孔Lab-Tek®腔室玻片(美国Nalge Nunc公司)上,分组刺激48 h。根据说明书使用DeadEndTM荧光TUNEL系统检测细胞凋亡。荧光显微镜下计数每个高倍视野中阳性染色细胞数和总细胞数,计算阳性细胞百分比。
1.2.4 Western blot检测细胞用冰冷PBS洗2遍,加入细胞裂解液(25 mmol·L-1 Tris-HCl, 10 mmol·L-1 EDTA,体积分数0.01 NP-40,150 mmol·L-1氯化钠,质量浓度1 g·L-1苯甲基磺酰氟), 冰浴1 h,4 ℃、14 000 r·min-1离心25 min,Lowry法测定上清液蛋白浓度。分离线粒体和不含线粒体的胞质蛋白。不含线粒体的胞质蛋白用于检测细胞色素C。细胞裂解蛋白50 μg,经十二烷基硫酸钠-聚丙烯酰胺(SDS-PAGE)凝胶电泳后,电转移至PVDF膜;5%脱脂奶粉封闭PVDF膜2 h,分别加入caspase-3、cleaved caspase-3、p38 MAPK、p-p38 MAPK、Bax、Bcl-2、p53、acetylated p53以及细胞色素C抗体,4℃过夜,洗膜后,加辣根过氧化物酶标记的羊抗兔抗体(1 :5 000稀释),37 ℃孵育1.5 h;洗膜后加ECL试剂。采用ODYSSEY双色红外激光成像系统(美国LICOR公司)扫描。用美国UVP公司LabWorks 4.5分析系统软件对Western blot条带进行定量分析。
1.2.5 实时定量PCR(real-time PCR)检测TRIzol法提取系膜细胞总RNA,采用逆转录酶将RNA逆转录为cDNA。所用引物均由上海生工生物技术公司合成。Bcl-2引物序列,正义5′-GGCGGAGAACAGGGTACGATAAC-3′, 反义5′-CGGGATGCGGCTGGATGGGG-3′;Bax引物序列,正义5′-GCTTGCTTCAGGGTTTCATCCA-3,反义5′-TGTCCACGGCGGCAATCATC-3′;18S rRNA引物序列,正义5′-ACACGGACAGGATTGACAGA-3′,反义5′-GGACATCTAAGGGCATCACAG-3′。扩增条件为:预变性95℃ 30 s,进入循环,95 ℃ 5 s,57~59 ℃ 30 s,72 ℃ 30 s扩增40个循环。以18S rRNA作为内参照校正,用2-△△Ct法分析基因的相对表达。
1.2.6 FCM检测细胞内ROS使用荧光探针5-(6)-羧基-2, 7 -二氯荧光素(CM-DCHF-DA, Invitrogen)检测细胞内ROS含量。MMCs接种于6孔板内,分组刺激48 h,洗涤细胞,胰酶消化,悬浮于PBS,最后加入含10 μmol·L-1 DCHF-DA的染液,37 ℃避光孵育30 min,流式细胞仪检测。
1.2.7 统计学处理实验数据以x±s表示,采用SPSS19.0统计软件进行分析,组间比较采用单因素方差分析。
2 结果 2.1 SRT1720对高糖诱导的系膜细胞凋亡的影响TUNEL和流式细胞术检测结果表明,与NG组相比,在高糖刺激48 h,小鼠系膜细胞凋亡细胞数明显增加(P < 0.01);与HG组相比,SRT1720干预能够明显减少高糖诱导的细胞凋亡数(P < 0.05,Fig 1)。此外,与正常对照组相比,渗透压(甘露醇)对细胞凋亡无明显影响。
|
| Fig 1 Effect of SRT1720 on HG-induced apoptosis in MMCs(n=6) Apoptosis was detected by TUNEL(A) and flow cytometry(B). NG: 5.6 mmol·L-1 glucose; M: 5.6 mmol·L-1 glucose+24.4 mmol·L-1 mannitol; HG: 30 mmol·L-1 glucose; HG+SRT: 30 mmol·L-1 glucose+10 μmol·L-1 SRT1720.**P < 0.01 vs NG; #P < 0.05 vs HG |
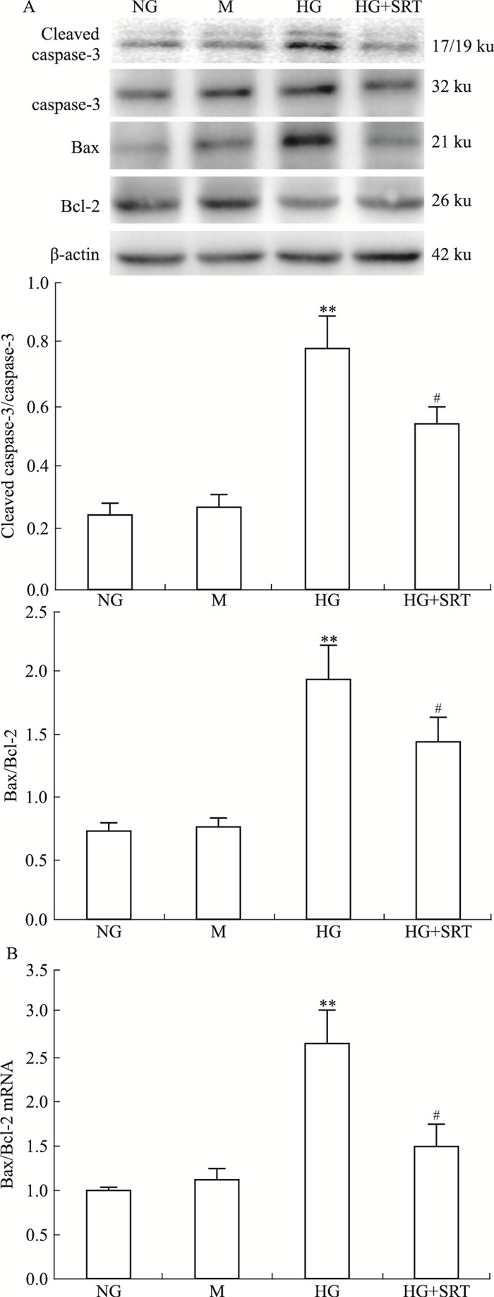
与NG组相比,HG糖组cleaved caspase-3表达和Bax/Bcl-2蛋白和mRNA比率明显增加(P < 0.01);SRT1720干预能够明显抑制HG诱导的cleaved caspase-3表达和Bax/Bcl-2蛋白和mRNA比率(P < 0.05,Fig 2)。此外,甘露醇对系膜细胞cleaved caspase-3表达和Bax/Bcl-2蛋白和mRNA比率无明显影响。
|
| Fig 2 Effect of SRT1720 on HG-induced activation of caspase-3 and expression of Bax and Bcl-2 in MMCs(n=6) A:The protein expression of cleaved caspase-3, Bax and Bcl-2 was detected by Western blot; B: The mRNA expression of Bax and Bcl-2 was detected by real-time PCR. NG: 5.6 mmol·L-1 glucose; M: 5.6 mmol·L-1 glucose+24.4 mmol·L-1 mannitol; HG: 30 mmol·L-1 glucose; HG+SRT: 30 mmol·L-1 glucose+10 μmol·L-1 SRT1720.**P < 0.01 vs NG; #P < 0.05 vs HG |
亚细胞提取物的Western blot结果显示,HG刺激系膜细胞48 h,与正常糖对照组相比,高糖组胞质中的细胞色素C水平明显增加(P < 0.01);与高糖组相比,SRT1720干预组细胞胞质中细胞色素C水平明显降低(P < 0.05,Fig 3)。甘露醇组与正常对照组相比,胞质中细胞色素C水平无明显差异。
|
| Fig 3 Effect of SRT1720 on HG-induced release of cytochrome C from mitochondria to cytoplasm in MMCs(n=6) NG:5.6 mmol·L-1 glucose; M:5.6 mmol·L-1 glucose+24.4 mmol·L-1 mannitol; HG: 30 mmol·L-1 glucose; HG+SRT: 30 mmol·L-1 glucose+10 μmol·L-1 SRT1720.**P < 0.01 vs NG; #P < 0.05 vs HG |
在高糖刺激的48 h,与NG组相比,HG组乙酰化p53水平明显升高(P < 0.01);与高糖组相比,SRT1720干预组乙酰化p53水平明显降低(P < 0.05,Fig 4)。甘露醇组与正常对照组相比,乙酰化p53水平无明显差异。
|
| Fig 4 Effect of SRT1720 on HG-induced acetylated p53(Ac-p53) in MMCs(n=6) NG: 5.6 mmol·L-1 glucose; M: 5.6 mmol·L-1 glucose+24.4 mmol·L-1 mannitol; HG: 30 mmol·L-1 glucose; HG+SRT: 30 mmol·L-1 glucose+10 μmol·L-1 SRT1720.**P < 0.01 vs NG; #P < 0.05 vs HG |
与NG组相比,HG组Sirt1蛋白水平表达明显降低(P < 0.01);SRT1720干预能够增加高糖诱导的系膜细胞Sirt1蛋白的表达(P < 0.05,Fig 5A)。与NG组相比,高糖组系膜细胞ROS产生明显升高(P < 0.01);SRT1720干预能够明显减少高糖诱导的ROS产生(P < 0.05,Fig 5B)。与正常对照组相比,甘露醇对系膜细胞Sirt1表达和ROS产生无明显影响。
|
| Fig 5 Effect of SRT1720 on HG-induced Sirt1 expression and ROS production in MMCs(n=6) A: The protein expression of Sirt1 was detected by Western blot; B: Intracellular ROS was detected by flow cytometry. NG: 5.6 mmol·L-1 glucose; M: 5.6 mmol·L-1 glucose+24.4 mmol·L-1 mannitol; HG: 30 mmol·L-1 glucose; HG+SRT: 30 mmol·L-1 glucose+10 μmol·L-1 SRT1720.**P < 0.01 vs NG; #P < 0.05 vs HG |
在高糖刺激的48 h,与NG组相比,HG组p38 MAPK的磷酸化水平明显升高(P < 0.01);与高糖组相比,SRT1720干预组p38 MAPK磷酸化水平明显降低(P < 0.05,Fig 6)。甘露醇组与正常对照组相比,p38 MAPK磷酸化水平无明显差异。
|
| Fig 6 Effect of SRT1720 on HG-induced activation of p38 MAPK in MMCs(n=6) NG: 5.6 mmol·L-1 glucose; M: 5.6 mmol·L-1 glucose+24.4 mmol·L-1 mannitol; HG: 30 mmol·L-1 glucose; HG+SRT: 30 mmol·L-1 glucose+10 μmol·L-1 SRT1720.**P < 0.01 vs NG; #P < 0.05 vs HG |
研究表明[8],在糖尿病时,肾脏蓄积的大量ROS参与了糖尿病肾病的发病过程。系膜细胞是肾小球中的固有细胞之一,系膜细胞的凋亡在糖尿病肾病的发生、发展中发挥着重要作用。研究表明,实验性糖尿病肾病肾小球固有细胞数量可通过细胞凋亡而减少,并且肾小球系膜细胞凋亡数与蛋白尿的程度密切相关[9]。高糖能够明显诱导体外培养系膜细胞的凋亡,而抗氧化剂N-乙酰半胱氨酸、二亚苯基碘及维生素C能够明显抑制高糖诱导的小鼠系膜细胞的凋亡[1]。我们的研究也证实,抗氧化肽SS-31以及抗氧化剂tempol均能够抑制高糖诱导的系膜细胞凋亡[3, 10]。以上提示,氧化应激参与了糖尿病状态下肾脏系膜细胞的凋亡。
Sirt1为哺乳动物Sirtuins家族成员之一,是一种依赖于烟酰胺腺嘌呤二核苷酸(NAD+)的去乙酰化酶,在人组织中广泛表达, 参与了细胞的生存、衰老、凋亡和代谢等生物学过程。研究表明,Sirt1的激活剂白藜芦醇具有明显的抗氧化功能[11]。以往的研究已证实,Sirt1与糖尿病肾病密切相关。肾小管细胞过表达Sirt1能够改善糖尿病动物的蛋白尿[12]。白藜芦醇通过激活Sirt1对2型糖尿病小鼠肾脏具有明显保护作用[5]。本研究结果显示,Sirt1的激活剂SRT1720能够明显提高HG诱导的系膜细胞Sirt1表达,抑制HG诱导的MMCs内ROS产生、细胞凋亡、cleaved caspase-3表达、Bax/Bcl-2比率和细胞色素C的易位。这些结果表明,SRT1720抑制HG诱导的系膜细胞凋亡可能是通过增加Sirt1表达、减少ROS和保护线粒体功能实现的。
p53是一个重要的抑癌基因,它可以通过乙酰化而激活,激活的p53能够诱导多种基因表达,导致细胞周期阻滞或凋亡。Sirt1过表达能够通过抑制p53的乙酰化,减少过氧化氢诱导的小鼠系膜细胞的凋亡[13]。体内外实验证实,Sirt1能够直接和p53蛋白结合,从而抑制p53的乙酰化以及细胞凋亡[14]。本研究结果显示,高糖刺激系膜细胞48 h,细胞内p53乙酰化水平明显升高,而SRT1720干预能够抑制高糖诱导的p53的乙酰化。以上结果提示,SRT1720抑制高糖诱导的细胞凋亡可能部分是通过调控p53的乙酰化实现的。
p38蛋白激酶(p38 MAPK)为丝氨酸/苏氨酸激酶家族成员,是一个重要的信号分子,参与调控包括细胞凋亡在内的许多细胞功能。Jung等[15]的研究显示,给予FR 167653(一种p38 MAPK抑制剂),能够改善糖尿病肾小球和HG诱导的系膜细胞凋亡。阻断p38 MAPK通路能够减少HG诱导的系膜细胞凋亡、cleaved、caspase-3表达、Bax/Bcl-2比率[10]。以上说明,p38 MAPK信号通路与系膜细胞凋亡密切相关。本研究显示,SRT1720能够明显抑制HG诱导的p38 MAPK的活化,提示SRT1720抑制HG诱导的MMCs凋亡可能部分是通过调节p38 MAPK通路活化实现的。
综上所述,SRT1720能够抑制高糖诱导的肾小球系膜细胞凋亡,这种作用可能是通过激活Sirt1, 减少ROS产生,保护线粒体功能,抑制p53乙酰化以及p38 MAPK信号通路激活而实现的。
| [1] | Kang B P, Frencher S, Reddy V, et al. High glucose promotes mesangial cell apoptosis by oxidant-dependent mechanism[J]. Am J Physiol Renal Physiol, 2003, 284(3): F455-66. doi:10.1152/ajprenal.00137.2002 |
| [2] | Mishra R, Emancipator S N, Kern T, et al. High glucose evokes an intrinsic proapoptotic signaling pathway in mesangial cells[J]. Kidney Int, 2005, 67(1): 82-93. doi:10.1111/j.1523-1755.2005.00058.x |
| [3] | 王月华, 侯延娟, 任韫卓, 等. 抗氧化肽SS-31对高糖诱导的小鼠肾小球系膜细胞凋亡的影响[J]. 中国药理学通报, 2013, 29(1): 102-7. Wang Y H, Hou Y J, Ren Y Z, et al. Influence of antioxidant peptide SS-31 on HG-induced mouse mesangial cells apoptosis[J]. Chin Pharmacol Bull, 2013, 29(1): 102-7. |
| [4] | Hasegawa K, Wakino S, Yoshioka K, et al. Kidney-specific overexpression of Sirt1 protects against acute kidney injury by retaining peroxisome function[J]. J Biol Chem, 2010, 285(17): 13045-56. doi:10.1074/jbc.M109.067728 |
| [5] | Kim M Y, Lim J H, Youn H H, et al. Resveratrol prevents renal lipotoxicity and inhibits mesangial cell glucotoxicity in a manner dependent on the AMPK-SIRT1-PGC1α axis in db/db mice[J]. Diabetologia, 2013, 56(1): 204-17. doi:10.1007/s00125-012-2747-2 |
| [6] | Milne J C, Lambert P D, Schenk S, et al. Small molecule activators of SIRT1 as therapeutics for the treatment of type 2 diabetes[J]. Nature, 2007, 450(7170): 712-6. doi:10.1038/nature06261 |
| [7] | Fan H, Yang H C, You L, et al. The histone deacetylase, SIRT1, contributes to the resistance of young mice to ischemia/reperfusion-induced acute kidney injury[J]. Kidney Int, 2013, 83(3): 404-13. doi:10.1038/ki.2012.394 |
| [8] | Forbes J M, Coughlan M T, Cooper M E. Oxidative stress as a major culprit in kidney disease in diabetes[J]. Diabetes, 2008, 57(6): 1446-54. doi:10.2337/db08-0057 |
| [9] | Pesce C, Menini S, Pricci F, et al. Glomerular cell replication and cell loss through apoptosis in experimental diabetes mellitus[J]. Nephron, 2002, 90(4): 484-8. doi:10.1159/000054738 |
| [10] | Shi Y, Ren Y, Zhao L, et al. Knockdown of thioredoxin interacting protein attenuates high glucose-induced apoptosis and activation of ASK1 in mouse mesangial cells[J]. FEBS Lett, 2011, 585(12): 1789-95. doi:10.1016/j.febslet.2011.04.021 |
| [11] | 孙杰, 孙文佳, 陈北冬, 等. 白藜芦醇降低ox-LDL诱导血小板ROS产生和PECAM-1表达的分子机制研究[J]. 中国药理学通报, 2015, 31(11): 1608-14. Sun J, Sun W J, Chen B D, et al. Effect of resveratrol on ROS production and PECAM-1 expression in ox-LDL-stimulated platelets[J]. Chin Pharmacol Bull, 2015, 31(11): 1608-14. doi:10.3969/j.issn.1001-1978.2015.11.025 |
| [12] | Hasegawa K, Wakino S, Simic P, et al. Renal tubular Sirt1 attenuates diabetic albuminuria by epigenetically suppressing Claudin-1 overexpression in podocytes[J]. Nat Med, 2013, 19(11): 1496-504. doi:10.1038/nm.3363 |
| [13] | Kume S, Haneda M, Kanasaki K, et al. Silent information regulator 2(SIRT1) attenuates oxidative stress-induced mesangial cell apoptosis via p53 deacetylation[J]. Free Radic Biol Med, 2006, 40(12): 2175-82. doi:10.1016/j.freeradbiomed.2006.02.014 |
| [14] | Vaziri H, Dessain S K, Ng Eaton E, et al. hSIR2(SIRT1) functions as an NAD-dependent p53 deacetylase[J]. Cell, 2001, 107(2): 149-59. doi:10.1016/S0092-8674(01)00527-X |
| [15] | Jung D S, Li J J, Kwak S J, et al. FR167653 inhibits fibronectin expression and apoptosis in diabetic glomeruli and in high-glucose-stimulated mesangial cells[J]. Am J Physiol Renal Physiol, 2008, 295(2): F595-604. doi:10.1152/ajprenal.00624.2007 |

