


2.浙江中医药大学第一临床医学院,浙江 杭州 310053
高瑞兰(1952-),女,博士生导师,研究员,研究方向:中西医结合血液病防治,E-mail:gaoruilan@163.com
2.the First School of Clinical Medicine, Zhejiang Chinese Medical University, Hangzhou 310053,China
我们前期实验研究证明自行提取分离的人参总皂苷(TSPG)具有促造血的类生长因子样效应[1, 2],研制成升血灵胶囊,1999年被浙江省卫生厅批准为医院制剂。临床应用15年,对慢性再生障碍性贫血(再障)的有效率为69.7%[3],联合环孢菌素A治疗再障的有效率达83.3%[4]。前期实验研究和临床疗效表明,TSPG具有一定程度的促造血功效,但其作用机制尚未明确。骨髓间充质干细胞是骨髓造血微环境的重要组成细胞,具有支持造血的作用,然而再障患者MSCs数量及成骨分化能力下降[5],骨髓造血微环境受损甚至造血功能衰竭。近年研究表明促进MSCs增殖,提高成骨细胞分化能力,能够改善再障骨髓造血微环境 [6, 7]。本文采用成骨分化的间充质干细胞作为支持造血的细胞模型,观察TSPG诱导间充质干细胞向成骨细胞分化的能力及促造血作用,初步探讨其相关机制。
1 材料与方法 1.1 材料低糖DMEM培养基购自美国Gibco公司,小牛血清(NBS)购自杭州四季青公司,PE标记CD31、CD49d和CD106以及FITC标记的CD44均购自美国BD公司,RUNX2抗体购自美国Cell Signaling Technology 公司,GAPDH内参抗体购自联科生物技术有限公司。人参总皂苷(TSPG)干燥粉剂由浙江中医药大学附属第一医院中药制剂中心提供,批号:ZYB-0657-99,经高效液相色谱法分析其纯度大于86%,用DMEM培养液水配制成1.0 g·L-1的储存液,4℃保存备用。
1.2 实验方法 1.2.1 hMSCs的分离、培养及纯度鉴定经骨髓捐献者同意进行以下实验。肝素抗凝骨髓PBS倍比稀释后,淋巴细胞分离液分离单个细胞层,含体积分数为0.10 NBS的DMEM培养液重悬细胞,并以2×105/cm2的密度接种于培养瓶。24 h后去除悬浮细胞,细胞融合达到85%后,胰酶消化传代纯化。流式细胞术检测第三代细胞CD31、CD44、CD49d和CD106阳性的细胞率,矿化结节实验检测成骨细胞分化能力。
1.2.3 MTT法对成骨分化的hMSCs增殖活性的检测取第3代hMSC细胞接种于96孔板,1×104/孔,贴壁后,加入含不同浓度TSPG的成骨细胞诱导液。成骨细胞诱导液含L-DMEM、体积分数为0.10 NBS、10-8M·L-1地塞米松、10-2M·L-1β-甘油磷酸钠、50 mg·L-1抗坏血酸。72 h后,每孔加入2.0×10-5 L的MTT (5 g·L-1),继续培养4 h,吸弃培养上清,加入0.2×10-3L 的DMSO 溶解兰色颗粒,490 nm波长处检测吸光值(OD)。
1.2.4 pNPP法检测成骨分化的hMSCs碱性磷酸酶活性取第3代hMSC细胞接种于96孔板,1×104/孔,贴壁后加入含不同浓度TSPG的成骨细胞诱导液。培养3 d,吸弃培养上清,PBS洗涤两次,加入0.2×10-3L 的pNPP液,室温孵育30 min,以5.0×10-5 L 的3 mol·L-1 NaOH终止反应,405 nm波长处检测吸光值(OD)。
1.2.5 茜素红染色法检测钙结节取第3代hMSC,接种于六孔板,2×105细胞/孔,细胞生长达60%~70%融合时,吸去培养上清,加入含TSPG的成骨细胞诱导液,每3 d换1次液。培养7 d。去培养液,PBS洗两次,0.95的乙醇固定10 min,蒸馏水洗3次,加入质量浓度为1.0 g·L-1茜素红,37℃染色30 min,去除染液,蒸馏水冲洗后,显微镜下观察钙结节。
1.2.6 Western blot检测成骨细胞分化相关蛋白表达水平取第3代hMSC,接种于六孔板,2×105细胞/孔,细胞生长达60%~70%融合时,吸弃培养上清,加入含TSPG的成骨细胞诱导液,每3 d换一次液。培养7 d,去培养液,PBS洗两次。总蛋白提取参考文献[8],细胞裂解液(含50 mmol·L-1 Tris,150 mmol·L-1 NaCl,体积分数为0.1的 Triton X-100和蛋白酶抑制剂)提取总蛋白。将40 μg蛋白加入SDS凝胶加样缓冲液20 μL中,煮沸后,经SDS-PAGE胶电泳分离后,将蛋白条带用电转移到NC膜(Amersham)上,分别加特异性RUNX2和内参抗体(sant cruze公司),4℃孵育过夜,经洗涤加辣根过氧化物酶标记的二抗(Santa Cruz),室温结合反应1 h,经洗涤ECL发光剂(Amersham)作用1min,采用灰度扫描系统测定并分析目的蛋白条带。同样实验重复3次。
1.2.7 收集不含TSPG的条件培养液取第3代hMSC,接种于六孔板,2×105细胞/孔,细胞生长达融合时,吸弃培养上清,丝裂霉素37℃预处理1 h,加入含TSPG的成骨细胞诱导液,培养3 d。去培养液,PBS洗两次,加入不含血清的DMEM培养液,24 h后收集培养上清,该上清为成骨分化的hMSCs条件培养液,4℃保存备用。
1.2.8 造血祖细胞集落培养检测条件培养液造血支持能力取肝素抗凝骨髓,分离单个核细胞,加入含15%条件培养液的造血祖细胞集落培养体系。红系祖细胞培养体系含体积分数为0.3的胎牛血清,2 U/mL重组人EPO,体积分数为0.1的植物血凝素-白细胞条件培养液,3 g·L-1琼脂;CFU-E、BFU-E集落分别培养3、7 d。粒-单核系祖细胞培养体系含体积分数为0.3的胎牛血清,10 mg·L-1重组人GM-CSF,3 g·L-1琼脂,培养7 d。培养体系均加入青霉素和链霉素各100 U/mL,造血生长因子购自Peprotech公司。接种于24孔培养板,1×105细胞/0.5 mL/孔,各样品均为3复孔。置于37℃、5%CO2及饱和湿度的恒温箱中孵育。倒置显微镜下计数集落数的标准:CFU-E≥8个细胞,BFU-E≥40个细胞,CFU-GM≥40个细胞,该实验重复3次
1.2.9 Elisa法检测条件培养液造血相关因子SCF、IL-6和GM-CSF含量按照Elisa试剂盒操作说明加检测样品,酶标仪波长490nm处读OD值,通过标准曲线,计算条件培养液中SCF、IL-6和GM-CSF含量。
1.3 统计学处理采用 SPSS 17.0软件分析数据,以
± s表示,药物治疗组与模型对照组比较,采用单因素方差分析。
人源骨髓有核细胞接种于培养瓶,培养3 d后倒置显微镜可见集落样生长的贴壁细胞,7 d左右可融合为单层,形态不均一。经2~3次传代纯化细胞,形态均一(Fig1A)。纯化的细胞经成骨细胞条件培养液诱导,3~5 d 可见细胞梭形向多角形改变,并有聚集倾向,茜素红染色可见矿化结节,培养7 d可见大量矿化结节(Fig1B)。流式细胞仪测定第3代MSC细胞免疫表型,结果显示免疫抗原CD31阳性细胞率为(0.89±0.12)%(Fig1C),CD44阳性细胞率为(97.6±4.3)%(Fig1D),CD49d阳性细胞率为(3.8±0.54)%(Fig1E);CD106阳性细胞率为(8.5±0.76)%(Fig1F)。矿化结节形成和流式细胞术结果均提示通过贴壁和传代的方法获得纯化的hMSCs,第3代细胞进行后续实验。
|
| Fig 1 Purification and identification of mesenchymal stem cell from human bone marrow A: purified hMSCs (200×);B:calcium nodule differentiated from hMSCs(200×); C:CD31;D:CD44;E:CD49d;F:CD106. |
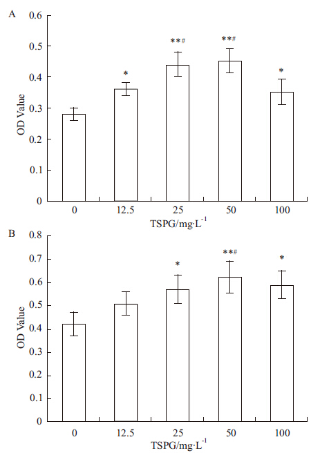
成骨细胞诱导培养液中加入不同浓度TSPG,MTT法观察细胞增殖活性; pNPP法观察碱性磷酸酶分泌水平。MTT和pNPP结果均显示随着TSPG浓度升高OD值增加,并呈一定的浓度依赖性(Fig2)。提示TSPG促进细胞增殖和碱性磷酸酶分泌。
|
| Fig 2 Effects of TSPG on cellular viability of proliferation and content of alkaline phosphatase in osteoblast differentiation from mesenchymal stem cell A:The cellular viability of proliferation was detected with MTT assay; B:The content of alkaline phosphatase in the cultural supernatant was tested with pNPP assay.*P<0.05,**P<0.01 vs control (0 mg·L-1); #P<0.05 vs 12.5 mg·L-1. |
茜素红染色法观察矿化结节数量,结果显示随着TSPG浓度升高,矿化结节数量增加,TSPG处理组矿化结节数明显高于未加药的对照组(Fig3)。
|
| Fig 3 Effects of TSPG on the number of calcium nodule differentiated from mesenchymal stem cell A:Control;B~E:TSPG 12.5,25,50,100 mg·L-1 |
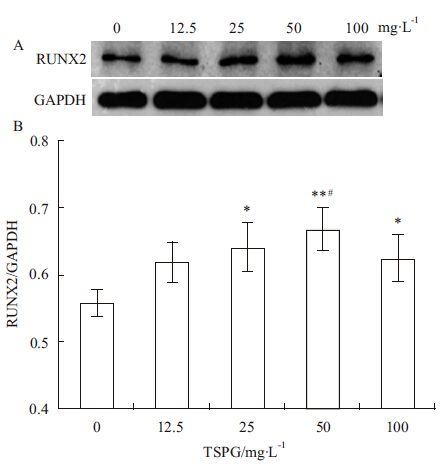
Western blot结果显示,在12.5~50 mg·L-1浓度范围,随着TSPG浓度增加RUNX2蛋白表达水平逐渐增加,呈剂量依赖性(Fig4)。
|
| Fig 4 Effects of TSPG on the expression of RUNX2 protein in differentiated mesenchymal stem cell *P<0.05, **P<0.01 vs control (0 mg·L-1); #P<0.05 vs 50 mg·L-1. |
造血祖细胞集落培养体系加入hMSCs/成骨细胞条件培养液,CFU-E,BFU-E和CFU-GM集落数(1×105有核细胞)分别为40.7±5.2,28.1±2.4和57.3±5.4,明显高于未加条件培养液的对照30.2±4.1,19.4±2.1和42.2±4.6(P<0.05,0.01)。造血祖细胞集落培养体系加入25、50和100 mg·L-1 TSPG 诱导的成骨细胞条件培养液,集落数均明显增加,其中50 mg·L-1 TSPG 诱导的条件培养液提高造血祖细胞集落生长的作用最明显,CFU-E,BFU-E和CFU-GM集落提高率分别为(28.1±3.1)%,(32.3±2.7)%和(26.0±1.9)%明显高于未经诱导的对照(P<0.05,0.01)(Fig5)。
|
| Fig 5 Effects of TSPG treated conditioned medium on the number of hematopoietic progenitor colony *P<0.05,**P<0.01 vs OCM+0 mg·L-1 TSPG;*P<0.05 vs OCM+12.5 mg·L-1 TSPG. |
Elisa结果显示,成骨分化的hMSCs经不同浓度TSPG诱导,造血生长因子GM-CSF、IL-3和SCF在条件培养液的含量均有不同程度的提高(Fig6)。
|
| Fig 6 Effects of TSPG on the content of GM-CSF,IL-3 and SCF in conditioned medium from hMSCs *P<0.05,**P<0.01 vs control (0 mg·L-1); #P<0.05 vs 12.5 mg·L-1. |
近年研究报道,间充质干细胞分化的成骨细胞能够调节造血干细胞增殖与分化,构成造血干细胞生长微环境[8 ,9],间充质干细胞数量减少或成骨细胞分化能力下降将导致骨髓造血功能衰竭,如再障等。研究报道,再生障碍性贫血患者MSCs数量和分化潜能异常,主要表现为成骨细胞分化潜能下降,成骨细胞分化转录因子RUNX2表达低下,但是改善再障患者间充质干细胞分化异常药物的报道尚少。本文TSPG干预成骨分化的hMSCs,观察MSCs向成骨分化的能力,结果显示成骨分化相关转录因子RUNX2[10]高表达,且成骨相关钙结节数量增加,提示TSPG体外能够诱导MSCs向成骨细胞分化。
MSCs是骨髓造血微环境重要组成细胞,具有多向分化能力,其分化细胞对造血具有双向调节作用。成骨分化的hMSCs分泌多种造血细胞生长所需细胞因子,如SCF、IL-3、GM-CSF等促进造血;脂肪分化的MSCs分泌多种造血负性调控因子抑制造血[11]。本文探讨TSPG促MSCs成骨分化作用,同时观察成骨分化的MSCs造血支持作用,结果显示TSPG刺激成骨分化的MSCs分泌造血生长因子,促进造血祖细胞增殖。此外,研究报道造血生长因子参与调控MSCs向成骨细胞分化[12,13]。因此,提示TSPG具有改善造血微环境的作用。
综上所述,TSPG能够诱导hMSCs向成骨细胞分化,增强成骨分化的hMSCs细胞促造血作用,提示其能够改善造血微环境,但尚需体内研究进一步证明。
| [1] | 金锦梅,tao Helen, 高瑞兰,等.人参皂苷对CD34+造血干/祖细胞的增殖和分会作用[J].中国中西医结合杂志,2000,20(9):673-6. Jin J M, Tao H, Gao R L,et al. Effect of ginsenosides on proliferation and differentiation of human CD34+ hematopoietic stem/progenitor cells [J]. Chin J Intergr Med,2000,20(9): 673-6. |
| [2] | 陈小红,高瑞兰,徐卫红,等.人参皂苷对红、粒、巨核系细胞株的增殖及转录因子的诱导作用[J].中国中西医结合杂志,2001,21(1):40-2. Chen X H, Gao R L, Xu W H, et al. Effect of ginsenosides in inducing proliferation and transcription factor of erythrocytic, granulo-monocytic and megakarocytic cell lines[J]. Chin J Intergr Med,2001,21(1): 40-2. |
| [3] | 钱煦岱,马逢顺,高瑞兰.升血灵(人参总皂苷胶囊)治疗慢性再生障碍性贫血疗效观察[J].浙江临床医学,2004,6(11):952-3. Qian X D, Ma F S, Gao R L. Clinical observation of treating chronic aplastic anemia with Sheng Xue Ling capsule [J]. Zhejiang Clin Med J, 2004,6(11):952-3. |
| [4] | 沈一平,周郁鸿,虞荣喜,等.人参总皂苷联合环孢素治疗慢性再生障碍性贫血临床观察[J].浙江医学,2001,23(3):178-9. Shen Y P, Zhou Y H, Yu R X, et al. Clinical observation of treating chronic aplastic anemia with Sheng Xue Ling capsule combined with CsA [J]. Zhejiang Med J, 2001,23(3):178-9. |
| [5] | Tripathy N K, Singh S P, Nityanand S. Enhanced adipogenicity of bone marrow mesenchymal stem cells in aplastic anemia[J]. Stem Cells Int, 2014:276862. doi: 10.1155/2014/276862. |
| [6] | Zhao J, Wang C, Song Y, et al. Arsenic trioxide and microRNA-204 display contrary effects on regulating adipogenic and osteogenic differentiation of mesenchymal stem cells in aplastic anemia[J]. Acta Biochim Biophys Sin, 2014,46(10):885-93 |
| [7] | Yin L M, Jiang H F, Wang X, et al. Effects of sodium copper chlorophyllin on mesenchymal stem cell function in aplastic anemia mice[J]. Chin J Integrat Med,2013,19(5):360-6. |
| [8] | Morrison S J, Scadden D T. The bone marrow niche for haematopoietic stem cells[J]. Nature,2014, 505(7483):327-34. |
| [9] | Shen Y 1, Nilsson S K. Bone, microenvironment and hematopoiesis[J]. Curr Opin Hematol,2012,19(4):250-5. |
| [10] | 黄 军,刘映孜,袁霜雪,等. 环氧酶-2在骨形态蛋白9诱导间充质干细胞骨向分化中的作用研究[J].中国药理学通报,2014,30(7):1006-11. Huang J, Liu Y Z, Yuan S X, et al.Study on the role of COX-2 in BMP9 induced osteogenic differentiation in mesenchymal stem cells [J]. Chin Pharmacol Bull,2014, 30(7):1006-11. |
| [11] | Bethel M, Chitteti B R, Srour E F, et al. The changing balance between osteoblastogenesis and adipogenesis in aging and its impact on hematopoiesis[J].Curr Osteoporos Rep,2013,11(2):99-106. |
| [12] | Barhanpurkar A P, Gupta N, Srivastava R K. IL-3 promotes osteoblast differentiation and bone formation in human mesenchymal stem cells[J]. Biochem Biophys Res Commun,2012,418(4):669-75. |
| [13] | Suphanantachat S1, Iwata T2, Ishihara J3,et al. A role for c-Kit in the maintenance of undifferentiated human mesenchymal stromal cells[J]. Biomaterials,2014,35(11):3618-26. |
