文章信息
- 于波波, 庄传记, 张卫享, 徐亚运, 吴永忠
- YU Bobo, ZHUANG Chuanji, ZHANG Weixiang, XU Yayun, WU Yongzhong
- 基因标志物评分预测关节镜下部分半月板切除术后骨关节炎风险
- Gene marker score predicts the risk of osteoarthritis after arthroscopic partial meniscectomy
- 中国医科大学学报, 2026, 55(2): 146-152
- Journal of China Medical University, 2026, 55(2): 146-152
-
文章历史
- 收稿日期:2025-02-14
- 网络出版时间:2026-01-08 17:31:57
半月板撕裂是膝关节常见损伤,常见于青年和老年人群,可导致膝关节疼痛和功能障碍[1-2],常用治疗方法为关节镜下部分半月板切除术(arthroscopic partial meniscectomy,APM)[3]。但APM可改变半月板功能和生物力学,导致骨关节炎(osteoarthritis,OA)[4-5]。OA具有高致残性,严重降低患者的生活质量[6]。诱发OA的原因除机械负荷外,还与关节组织中促炎性和抗炎细胞因子、趋化因子、生长因子和脂肪因子的复杂相互作用密切相关。多种mRNA和信号通路参与OA的发病机制,包括Wnt通路、核因子κB(nuclear factor-κB,NF-κB)及转化生长因子β(transforming growth factor-β,TGF-β)和骨形态发生蛋白(bone morphogenetic protein,BMP)信号通路等[7-10]。本研究拟探讨APM术后OA患者血浆mRNA表达特征,以识别参与OA发病机制的潜在基因标志物,并构建基因标志物评分模型用于评估APM术后患者OA发生风险。
1 材料与方法 1.1 一般资料选取2019年1月至2021年12月间我院收治的半月板撕裂患者作为研究对象。纳入标准:年龄≥18岁,骨骼发育完全;首次APM治疗;膝关节无明确外伤史。排除标准:合并急性韧带断裂、骨折、风湿性及类风湿关节炎;伴有骨结核、骨肿瘤等骨病;既往膝关节手术史。最终共纳入268例。本研究获得我院医学伦理委员会批准(2020-LLLW-05)。所有患者或其家属知情同意。
1.2 方法 1.2.1 随访及OA评估通过微信、电话、门诊检查等方式对APM术后患者随访3年。患者每年复查膝关节正侧位X线片,并依据Kellgren-Lawrence评分系统评估X线片表现。1级,可能有骨赘;2级,明确的骨赘和可能有关节间隙狭窄;3级,中度骨赘和明显关节间隙狭窄;4级,大骨赘,严重关节间隙狭窄或骨硬化。Kellgren-Lawrence评估分级≥2级定义为OA[11]。
1.2.2 临床资料收集包括一般资料,如年龄、性别、体重指数(body mass index,BMI)、高血压病史、糖尿病史、高脂血症病史、吸烟史、饮酒史、既往关节损伤、OA家族史、工作类型、居住环境、教育水平、婚姻状况、日常锻炼、收缩压(systolic blood pressure,SBP)、舒张压(diastolic blood pressure,DBP),以及血液检查指标,如白细胞(white blood cell,WBC)、血小板(platelet,PLT)、葡萄糖(glucose,GLU)、载体蛋白A1和肌酸激酶(creatine kinase,CK)。
1.2.3 血浆mRNA提取及微阵列分析收集患者术前1 d空腹外周静脉血10 mL,2 000 g离心2 min,分离血浆并置于液氮罐内冷冻备用。用TRIzol试剂提取血浆RNA,并通过SuperScriptⅢ RT试剂盒(美国ThermoFisher Scientific公司)逆转录为标记的cDNA。与微阵列芯片探针杂交后,洗去未结合cDNA,使用安捷伦扫描仪检测芯片荧光信号。使用Feature Extraction软件将扫描数据转换为数字信号,并进行标准化和归一化处理。
1.2.4 差异表达基因和生物学功能富集分析使用R语言limma包分析mRNA微阵列差异表达基因,阈值设为|logFC| > 1和校正P < 0.05。将差异表达基因导入Enricher数据库(https://maayanlab.cloud/Enrichr/)中进行基因本体论(gene ontology,GO)、京都基因和基因组数据库(Kyoto Encyclopedia of Genes and Genomes,KEGG)及WikiPathway信号通路分析,并使用R语言dplyr包可视化。GO分析包括生物过程(bio-logical process,BP)、细胞成分(cellular component,CC)和分子功能(molecular function,MF)。
1.2.5 蛋白质-蛋白质相互作用(protein-protein interaction,PPI)网络分析使用STRING数据库(https://string-db.org/cgi/input.pl)构建差异表达基因PPI网络,置信度得分 > 0.4。将输出数据导入Cytoscape 3.8.0软件中,使用“cytoNCA”插件进行拓扑特征分析,并根据每个节点的度中心性(degree centrality,DC)和中介中心性(between centrality,BC)识别核心基因。网络评分和聚类查找的参数设置如下:度截止=2,节点分数截止=0.2,k-core=2,最大深度=100。
1.2.6 实时定量PCR用TRIzol试剂提取血浆总RNA。使用gDNA Eraser PrimeScript RT试剂盒(日本TaKaRa公司)逆转录生成cDNA。用ABI7500定量PCR仪(美国Applied Biosystems公司)进行实时定量PCR,反应条件:95 ℃预变性30 s,95 ℃变性10 s,6℃退火30 s,40个循环。用GAPDH作内参,并使用2-ΔΔCt法分析mRNA相对表达水平。PCR引物序列如下:COL1A1,正向5’-GCCTCCCAGAACATCACCTA-3’,反向5’-TGGGATGGAGGGAGTTTACA-3’;COL3A1,正向5’-TTCTCGCTCTGCTTCATCCC-3’,反向5’-TCCGCATAGGACTGACCAAG-3’;HLA-DRA,正向5’-GGACAAAGCCAACCTGGAAA-3’,反向5’-AGGACGTTGGGCTCTCTCAG-3’;PXDN,正向5’-TATGCGGGACGAGAACGAGA-3’,反向5’-ACTTAAACAACTCCGTAACAATACGAT-3’;GAPDH,正向5’-GACAGTCAGCCGCATCTTCT-3’,反向5’-GCGCCCAATACGACCAAATC-3’。
1.2.7 酶联免疫吸附试验(enzyme-linked immunosorbnent assay,ELISA)按照ELISA试剂盒(EK297-01,杭州联科生物技术有限公司)说明书操作分析蛋白表达水平。使用酶标仪在450 nm波长处检测光密度(optical density,OD)值,通过绘制标准曲线计算蛋白表达水平。
1.3 统计学分析采用SPSS 22.0、GraphPad Prism 9.5、Medcalc 22.0和Cytoscape 3.8.0软件进行统计学分析。计数资料用率(%)表示,组间比较采用χ2检验。计量资料用x±s表示,组间比较采用独立样本t检验。采用受试者操作特征(receiver operating characteristic,ROC)曲线分析并计算相关变量曲线下面积(area under the curve,AUC)。P < 0.05为差异有统计学意义。
2 结果 2.1 2组患者临床资料比较268例APM术后患者中,OA发生率为29.1%(78/268)。使用Matchit包,以年龄和性别进行倾向性评分匹配,最终匹配OA组和对照组患者各78例。OA组高血压比例、吸烟比例、BMI、SBP、PLT、GLU值均高于对照组(P < 0.05),OA组CK值低于对照组(P < 0.05)。见表 1。
| Variable | OA group(n = 78) | Control group(n = 78) | t/χ2 | P |
| Age(year) | 62.47±7.69 | 60.45±6.96 | 1.724 | 0.087 |
| Sex [n(%)] | 1.658 | 0.198 | ||
| Female | 31(39.7) | 39(50.0) | ||
| Male | 47(60.3) | 39(50.0) | ||
| BMI(kg/m2) | 23.08±2.73 | 20.94±2.78 | 4.847 | < 0.001 |
| Hypertension [n(%)] | 24(30.8) | 13(16.7) | 4.287 | 0.038 |
| Diabetes mellitus [n(%)] | 15(19.2) | 14(17.9) | 0.042 | 0.837 |
| Hyperlipoidemia [n(%)] | 23(29.5) | 19(24.4) | 0.521 | 0.470 |
| Smoking [n(%)] | 29(37.2) | 16(20.5) | 5.278 | 0.022 |
| Drinking [n(%)] | 22(28.2) | 20(25.6) | 0.130 | 0.718 |
| Previous joint injury [n(%)] | 19(24.4) | 14(17.9) | 0.961 | 0.327 |
| Family history of osteoarthritis [n(%)] | 11(14.1) | 7(9.0) | 1.005 | 0.316 |
| Type of work [n(%)] | 1.355 | 0.244 | ||
| Intellectual work | 25(32.1) | 32(41.0) | ||
| Manual work | 53(67.9) | 46(59.0) | ||
| Living condition [n(%)] | 0.262 | 0.609 | ||
| Bright and dry | 51(65.4) | 54(69.2) | ||
| Dark and damp | 27(34.6) | 24(30.8) | ||
| Educational level [n(%)] | 0.028 | 0.868 | ||
| Junior high school and below | 49(62.8) | 50(64.1) | ||
| Above junior high school | 29(37.2) | 28(35.9) | ||
| Marital status [n(%)] | 0.702 | 0.402 | ||
| Married | 53(67.9) | 48(61.5) | ||
| Unmarried/divorced/widowed | 25(32.1) | 30(38.5) | ||
| Daily exercise [n(%)] | 34(43.6) | 37(47.4) | 0.233 | 0.630 |
| SBP(mmHg) | 129.54±6.73 | 125.18±5.79 | 4.335 | < 0.001 |
| DBP(mmHg) | 77.21±5.14 | 76.09±4.00 | 1.511 | 0.133 |
| WBC(×109/L) | 6.08±2.32 | 5.82±1.86 | 0.754 | 0.452 |
| PLT(×109/L) | 253.26±13.08 | 248.87±10.98 | 2.274 | 0.024 |
| GLU(mg/dL) | 101.67±1.97 | 100.93±1.47 | 2.653 | 0.009 |
| Carrier protein A1(g/L) | 1.26±0.10 | 1.27±0.13 | 0.917 | 0.361 |
| CK(U/L) | 79.28±12.15 | 86.83±17.26 | 3.159 | 0.002 |
| BMI,body mass index;SBP,systolic blood pressure;DBP,diastolic blood pressure;WBC,white blood cell;PLT,platelet;GLU,glucose;CK,creatine kinase. | ||||
2.2 2组患者微阵列、生物学功能富集及PPI网络分析
在OA组和对照组患者中随机选择6例进行血浆mRNA微阵列分析,结果显示,相较于对照组患者,OA组患者中104个基因表达下调,67个基因表达上调(图 1)。将171个差异表达基因导入Enricher数据库中,mRNA生物学功能富集分析结果显示,BP包括胶原纤维组织、破骨细胞分化的负调控、炎症反应的调节等;CC包括含胶原蛋白的细胞外基质、分泌颗粒腔、MHC蛋白复合物等;MF包括金属离子结合、RAGE受体结合、NF-κB结合等。KEGG主要富集在类风湿关节炎、库欣综合征和FoxO等信号通路中;Wikipathway主要富集在补体和凝血级联、TGF-β信号及OA软骨细胞肥大等信号中。PPI网络分析鉴定出7个OA相关枢纽基因:COL1A1、CD34、PXDN、PECAM1、HLA-DRA、COL3A1和APOE(图 1)。其在微阵列数据中表达热图见图 1B。
|
| A, matrix analysis; B, heat map; C, PPI network analysis. 图 1 微阵列数据及PPI网络分析 Fig.1 Microarray data and PPI network analysis |
2.3 OA相关枢纽基因实时定量PCR验证
实时定量PCR结果(图 2)显示,与对照组相比,OA组患者中COL1A1、COL3A1、HLA-DRA和PXDN表达增高,APOE、PECAM1和CD34表达无统计学差异。
|
| *P < 0.05;**P < 0.001;NS, P > 0.05. 图 2 OA相关枢纽基因实时定量PCR验证 Fig.2 Real-time quantitative PCR verification of OA-related hub genes |
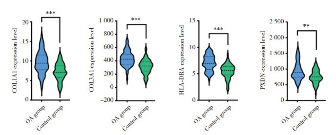
2.4 血浆中COL1A1、COL3A1、HLA-DRA和PXDN蛋白的表达特征
ELISA结果显示,与对照组患者相比,OA组患者血浆中COL1A1、COL3A1、HLA-DRA和PXDN蛋白表达增加(P < 0.05),见图 3。
|
| **P < 0.01, ***P < 0.001. 图 3 COL1A1、COL3A1、HLA-DRA和PXDN表达特征箱式图 Fig.3 COL1A1, COL3A1, HLA-DRA and PXDN expression feature box diagram |
2.5 APM术后OA风险的多因素logistic回归分析
根据ELISA结果,对COL1A1、COL3A1、HLA-DRA和PXDN表达进行多因素logistic回归分析,并根据β值构建基因标志物评分。评分=0.491×COL1A1表达量+0.011×COL3A1表达量+0.909×HLA-DRA表达量+0.004×PXDN表达量。将基因标志物评分、高血压、吸烟、BMI、SBP、PLT、GLU、CK进行多因素logistic回归分析,结果(表 2)显示,基因标志物评分、高血压、吸烟和BMI是APM术后OA风险的独立危险因素(P < 0.05)。
| Variable | β | SE | Wald χ2 | OR(95%CI) | P |
| Genetic marker score | 1.313 | 0.281 | 21.836 | 3.719(2.144-6.452) | < 0.001 |
| Hypertension(yes vs. no) | 2.169 | 0.907 | 5.717 | 8.751(1.479-51.795) | 0.017 |
| Smoking(yes vs. no) | 2.622 | 0.973 | 7.257 | 13.764(2.043-92.737) | 0.007 |
| BMI | 0.607 | 0.178 | 11.562 | 1.835(1.293-2.603) | 0.001 |
| SBP | 0.079 | 0.066 | 1.416 | 1.082(0.950-1.232) | 0.234 |
| PLT | 0.010 | 0.029 | 0.115 | 1.010(0.953-1.070) | 0.734 |
| GLU | 0.294 | 0.191 | 2.364 | 1.342(0.922-1.952) | 0.124 |
| CK | -0.025 | 0.025 | 0.987 | 0.976(0.930-1.024) | 0.321 |
2.6 相关变量ROC曲线分析
ROC曲线分析结果显示,高血压、吸烟、BMI及基因标志物评分预测APM术后OA风险的AUC分别为0.572(0.490~0.650)、0.585(0.503~0.663)、0.703(0.625~0.773)和0.931(0.879~0.965)。见图 4。
|
| 图 4 相关变量ROC曲线分析 Fig.4 ROC curve analysis of related variables |
3 讨论
OA是最常见的退行性关节疾病,多数半月板撕裂患者会发生OA或其他关节软骨退行性疾病,而APM术后患者OA发病率更高[8, 12]。本研究针对APM术后OA的表观遗传机制研究空白,通过微阵列、实时定量PCR及WB发现COL1A1、COL3A1、HLA-DRA和PXDN在OA患者血浆中呈高表达。基于此构建的基因标志物评分模型可用于评估APM术后OA发生风险,有助于早期识别高危人群并实施干预。
本研究通过血浆mRNA微阵列数据发现了171个差异表达基因与OA相关,功能富集分析显示这些基因主要富集在炎症反应调节、含胶原蛋白的细胞外基质、NF-κB结合、TGF-β信号、类风湿关节炎、库欣综合征、FoxO信号通路、补体和凝血级联及OA软骨细胞肥大等信号通路。这些信号通路大多参与OA发病机制,并发挥重要作用[13-15]。炎症反应通过活性氧介导的氧化应激直接损伤软骨组织;细胞外基质降解伴随蛋白聚糖与胶原流失,削弱其机械支撑功能;NF-κB通路作为OA进程的核心调控因素,其激活可促进炎症、凋亡及细胞衰老等反应,是导致软骨破坏的关键驱动机制[8, 16-17]。PPI网络分析从171个基因中获得7个OA相关基因,实时定量PCR验证发现,COL1A1、COL3A1、HLA-DRA和PXDN是OA相关枢纽基因。ELISA分析证实COL1A1、COL3A1、HLA-DRA和PXDN在OA患者血浆中表达增加。提示COL1A1、COL3A1、HLA-DRA和PXDN可能是APM术后OA的潜在发病机制。
COL1A1和COL3A1均为胶原蛋白家族成员,是骨骼的主要成分。关节软骨中胶原-蛋白多糖网络降解破坏结构完整性,引发软骨细胞凋亡,导致关节间隙狭窄、骨面摩擦加剧,从而产生疼痛和活动受限,推动OA发展[18-19]。COL1A1编码的Ⅰ型胶原增多可致软骨下骨间隙狭窄,加剧骨骼摩擦;COL3A1则通过与基质金属蛋白酶作用,调控PI3K/AKT、ECM受体及炎症信号通路,共同促进OA发展[20-21]。HLA-DRA主要通过炎症反应和类风湿关节炎参与OA进展[22]。PXDN是一种过氧化物酶,消耗过氧化氢催化多种底物氧化,增强氧化应激,加速软骨细胞端粒缩短和衰老,促进OA发生[23-24]。
本研究基于COL1A1、COL3A1、HLA-DRA和PXDN这4个OA相关基因构建基因标志物评分模型,多因素logistic回归显示该评分是APM术后OA发生的独立危险因素。ROC分析表明其预测性能显著优于常规临床变量,AUC达0.931(0.879~0.965),提示其具有更高的灵敏度和特异度,可用于早期识别高危患者并指导针对性干预。本研究存在以下局限:微阵列样本量有限;4个基因在OA中的具体机制尚需体内外实验进一步验证;较长随访期间可能存在混杂因素未完全控制,或导致结果偏倚。
综上所述,基于COL1A1、COL3A1、HLA-DRA和PXDN构建的基因标志物评分可有效预测OA风险,有利于协助临床医生识别ADM术后OA高风险患者。
| [1] |
田杨, 赵紫薇. 慢性半月板损伤关节镜手术后阶段性动力链训练的疗效分析[J]. 中国医科大学学报, 2025, 54(4): 364-368. DOI:10.12007/j.issn.0258-4646.2025.04.014 |
| [2] |
王志利, 徐丹凤, 李楠, 等. 基于超声评分、MRI评分以及血清TGF-β1、Cat D水平构建膝关节骨关节炎进展预测模型[J]. 中国医科大学学报, 2025, 54(9): 802-807. DOI:10.12007/j.issn.0258-4646.2025.09.007 |
| [3] |
BHAN K. Meniscal tears: current understanding, diagnosis, and management[J]. Cureus, 2020, 12(6): e8590. DOI:10.7759/cureus.8590 |
| [4] |
SIHVONEN R, PAAVOLA M, MALMIVAARA A, et al. Arthroscopic partial meniscectomy for a degenerative Meniscus tear: a 5 year follow-up of the placebo-surgery controlled FIDELITY (Finnish Degenerative Meniscus Lesion Study) trial[J]. Br J Sports Med, 2020, 54(22): 1332-1339. DOI:10.1136/bjsports-2020-102813 |
| [5] |
OZEKI N, SEIL R, KRYCH AJ, et al. Surgical treatment of complex Meniscus tear and disease: state of the art[J]. J ISAKOS, 2021, 6(1): 35-45. DOI:10.1136/jisakos-2019-000380 |
| [6] |
李振鑫, 白小龙, 郭欢萱, 等. 人工智能用于影像学研究膝骨关节炎进展[J]. 中国介入影像与治疗学, 2024, 21(10): 632-635. DOI:10.13929/j.issn.1672-8475.2024.10.014 |
| [7] |
PRIMORAC D, MOLNAR V, ROD E, et al. Knee osteoarthritis: a review of pathogenesis and state-of-the-art non-operative therapeutic considerations[J]. Genes, 2020, 11(8): 854. DOI:10.3390/genes11080854 |
| [8] |
YAO Q, WU XH, TAO C, et al. Osteoarthritis: pathogenic signaling pathways and therapeutic targets[J]. Signal Transduct Target Ther, 2023, 8: 56. DOI:10.1038/s41392-023-01330-w |
| [9] |
SHAO Y, ZHANG HB, GUAN H, et al. PDZK1 protects against mechanical overload-induced chondrocyte senescence and osteoarthritis by targeting mitochondrial function[J]. Bone Res, 2024, 12(1): 41. DOI:10.1038/s41413-024-00344-6 |
| [10] |
褚云峰, 于红燕, 杨琪, 等. Wnt5a基因在骨关节炎中作用机制的研究进展[J]. 中国骨质疏松杂志, 2022, 28(10): 1518-1521, 1555. DOI:10.3969/j.issn.1006-7108.2022.10.021 |
| [11] |
LAMPLOT JD, RAI MF, TOMPKINS WP, et al. Gene expression in meniscal tears at the time of arthroscopic partial meniscectomy predicts the progression of osteoarthritis within 6 years of surgery[J]. Orthop J Sports Med, 2020, 8(8): 2325967120936275. DOI:10.1177/2325967120936275 |
| [12] |
BIAN YX, WANG H, ZHAO XL, et al. Meniscus repair: up-to-date advances in stem cell-based therapy[J]. Stem Cell Res Ther, 2022, 13(1): 207. DOI:10.1186/s13287-022-02863-7 |
| [13] |
NEDUNCHEZHIYAN U, VARUGHESE I, SUN AR, et al. Obesity, inflammation, and immune system in osteoarthritis[J]. Front Immunol, 2022, 13: 907750. DOI:10.3389/fimmu.2022.907750 |
| [14] |
OHZONO H, HU YW, NAGIRA K, et al. Targeting FoxO transcription factors with HDAC inhibitors for the treatment of osteoarthritis[J]. Ann Rheum Dis, 2023, 82(2): 262-271. DOI:10.1136/ard-2021-221269 |
| [15] |
JIANG X, ZHONG RZ, DAI WF, et al. Exploring diagnostic biomarkers and comorbid pathogenesis for osteoarthritis and metabolic syndrome via bioinformatics approach[J]. Int J Gen Med, 2021, 14: 6201-6213. DOI:10.2147/IJGM.S325561 |
| [16] |
兰伟斌, 阙武堂, 谢建鸿, 等. 大黄素通过抑制NF-κB信号通路改善骨关节炎的软骨降解分析[J]. 中国免疫学杂志, 2023, 39(2): 308-312. |
| [17] |
郭文帆, 杨学钰, 郑雪君, 等. 茶黄素调节AMPK/SIRT1/NF-κB信号通路对膝骨关节炎大鼠的治疗作用[J]. 河北医学, 2023, 29(1): 42-49. DOI:10.3969/j.issn.1006-6233.2023.01.008 |
| [18] |
夏珊, 杨艳, 曹旭, 等. 成骨不全COL1A1基因无义突变一例报告[J]. 中华骨质疏松和骨矿盐疾病杂志, 2022, 15(5): 523-528. DOI:10.3969/j.issn.1674-2591.2022.05.013 |
| [19] |
ZHU ZQ, ZHONG L, LI RH, et al. Study of osteoarthritis-related hub genes based on bioinformatics analysis[J]. BioMed Res Int, 2020, 2020: 2379280. DOI:10.1155/2020/2379280 |
| [20] |
LI SS, WANG HT, ZHANG Y, et al. COL3A1 and MMP9 serve as potential diagnostic biomarkers of osteoarthritis and are associated with immune cell infiltration[J]. Front Genet, 2021, 12: 721258. DOI:10.3389/fgene.2021.721258 |
| [21] |
赵连兴, 杜欣瑞, 刘凯, 等. WGCNA分析筛选膝骨关节炎自噬相关基因[J]. 中国骨质疏松杂志, 2024, 30(4): 517-524. DOI:10.3969/j.issn.1006-7108.2024.04.009 |
| [22] |
ZHENG ML, LI Z, FENG YF, et al. CD14 and CSF1R as developmental molecular targets for the induction of osteoarthritis[J]. Int J Clin Exp Pathol, 2023, 16(8): 184-198. |
| [23] |
LI C, LIU ZY, XU Q, et al. PXDN reduces autophagic flux in insulin-resistant cardiomyocytes via modulating FoxO1[J]. Cell Death Dis, 2021, 12(5): 418. DOI:10.1038/s41419-021-03699-4 |
| [24] |
吴傲, 于鹏, 滕加文, 等. 骨关节炎的氧化应激相关基因和免疫浸润分析[J]. 中国组织工程研究, 2025, 29(2): 302-311. DOI:10.12307/2025.245 |
2026, Vol. 55



