文章信息
- 王璐, 曹华斌, 郭晨
- WANG Lu, CAO Huabin, GUO Chen
- 血清GDF9和CXCL14水平联合检测对不孕症患者体外受精-胚胎移植妊娠失败的预测价值
- Predictive value of combined detection of serum GDF9 and CXCL14 levels for pregnancy loss after in vitro fertilization-embryo transfer
- 中国医科大学学报, 2026, 55(1): 85-89
- Journal of China Medical University, 2026, 55(1): 85-89
-
文章历史
- 收稿日期:2025-01-20
- 网络出版时间:2026-01-06 08:44:59
2. 江西省妇幼保健院生殖健康科,南昌 330006
不孕症在育龄期妇女中发病率较高[1]。体外受精-胚胎移植(in vitro fertilization-embryo transfer,IVF-ET) 是治疗不孕症的有效办法,但许多女性需重复周期才能成功,且IVF-ET周期耗时、费用高[2]。因此,提高IVF-ET的成功率十分重要。生长分化因子9 (growth differentiation factor 9,GDF9) 促进颗粒细胞增殖和DNA合成,在卵母细胞与卵泡细胞的相互作用中发挥关键作用[3]。研究[4]显示,卵泡液和颗粒细胞中GDF9水平降低与年轻患者IVF-ET不良预后有关。CXC基序趋化因子配体14 (CXC motif chemokine ligand 14,CXCL14) 是一种由活性棕色/米色脂肪组织产生的趋化因子,能够通过影响胰岛素抵抗,改善葡萄糖代谢[5]。既往研究[6]显示,多囊卵巢综合征患者卵泡液和黄素化颗粒细胞中CXCL14水平显著降低,导致孕酮水平降低和颗粒细胞类固醇生成功能障碍。本研究分析了不孕症患者IVF-ET前血清GDF9和CXCL14水平,探讨其对妊娠失败的早期预测价值。
1 材料与方法 1.1 研究对象和分组纳入2024年1月至2024年11月间我院诊治的160例不孕症患者,其中输卵管性不孕48例、子宫内膜异位症41例、顽固性多囊卵巢综合征39例、免疫性不孕20例、不明原因不孕12例。患者年龄24~38岁,平均(31.81±4.97) 岁。根据妊娠结局,分为妊娠成功组(n = 111) 和妊娠失败组(n = 49)。纳入标准:(1) 临床诊断为不孕症[7];(2) 符合伦理审核标准,夫妻双方均同意IVF-ET方案,有IVF-ET适应证,自愿参与研究;(3) 非男方因素导致的不孕。排除标准:(1) 有生殖器官畸形或卵巢、子宫手术史者;(2) 有宫腔和盆腔粘连、输卵管积水者;(3) 非初次接受IVF-ET者;(4) 有感染性或传染性疾病者;(5) 有恶性肿瘤者。本研究经我院医学伦理委员会审核批准(科伦预审第2023-01-124号)。
1.2 临床资料收集收集患者的临床资料,包括年龄、不孕年限、体重指数、收缩压、舒张压、血糖、不孕原因、雌二醇、黄体生成素(luteinizing hormone,LH)、卵泡刺激素(follicle-stimulating hormone,FSH)、睾酮、抗卵巢抗体阳性、抗精子抗体阳性、抗子宫内膜抗体阳性、催乳素、促性腺激素(gonadotropin,Gn) 使用时间、Gn用量、获卵数、可移植胚胎数。采用ELISA试剂盒检测抗卵巢抗体(上海羽哚生物科技有限公司) 和抗子宫内膜抗体(上海烜雅生物科技有限公司),光密度值大于规定的阴性对照光密度值的2.1倍即为阳性。所有批次的标准曲线相关系数均 > 0.98,批内和批间的变异系数均 < 15%。
1.3 血清GDF9和CXCL14水平检测IVF-ET前收集患者空腹清晨肘静脉血5 mL,4 ℃、3 500 r/min离心15 min,提取血清,将血清置于-80 ℃保存。分别采用GDF9酶联免疫吸附试验(enzyme-linked immunosorbent assay,ELISA) 试剂盒(江西江蓝纯生物试剂有限公司) 和CXCL14 ELISA试剂盒(上海碧云天生物技术股份有限公司) 检测血清GDF9和CXCL14水平。所有批次的标准曲线相关系数均 > 0.99,批内和批间的变异系数均 < 15%。
1.4 妊娠结局评估所有患者胚胎移植后28 d进行超声检查,宫内可见明显孕囊、胚胎、胎心且宫外无异常,妊娠前12周未出现阴道流血、腹痛等流产症状,以上均符合为妊娠成功,否则为妊娠失败。
1.5 统计学分析使用MedCalc软件进行统计分析。计量资料用x±s表示,采用独立样本t检验进行比较;计数资料用率(%) 表示,采用χ2检验进行比较。采用Spearman或Pearson相关分析对临床特征与血清GDF9和CXCL14水平间的相关性进行分析;采用logistic回归分析筛选不孕症患者IVF-ET妊娠失败的影响因素;采用受试者操作特征(receiver operating characteristic,ROC) 曲线分析指标对不孕症患者IVF-ET妊娠失败的预测价值,计算曲线下面积(area under the curve,AUC)。P < 0.05为差异有统计学意义。
2 结果 2.1 一般临床资料的比较2组患者比较,年龄、不孕年限、体重指数、收缩压、舒张压、血糖、不孕原因、雌二醇、LH、睾酮、抗卵巢抗体阳性、抗精子抗体阳性、抗子宫内膜抗体阳性、催乳素、Gn使用时间、Gn用量的差异无统计学意义(P > 0.05)。与妊娠成功组相比,妊娠失败组FSH显著升高,获卵数、可移植胚胎数显著降低(P < 0.05)。见表 1。
| 指标 | 妊娠成功组(n = 111) | 妊娠失败组(n = 49) | t/χ2 | P |
| 年龄(岁) | 31.62±5.10 | 32.24±4.85 | 0.719 | 0.473 |
| 不孕年限(年) | 4.05±2.10 | 4.14±2.25 | 0.244 | 0.807 |
| 体重指数(kg/m2) | 22.78±2.94 | 22.97±3.02 | 0.374 | 0.709 |
| 收缩压(mmHg) | 119.54±15.25 | 120.88±16.42 | 0.500 | 0.618 |
| 舒张压(mmHg) | 90.05±8.97 | 90.38±7.64 | 0.224 | 0.823 |
| 血糖(mmol/L) | 3.15±0.75 | 3.19±0.66 | 0.322 | 0.748 |
| 不孕原因[n (%)] | 0.812 | 0.937 | ||
| ??输卵管性不孕 | 32 (28.83) | 16 (32.65) | ||
| ??子宫内膜异位症 | 29 (26.13) | 12 (24.49) | ||
| ??顽固性多囊卵巢综合征 | 26 (23.42) | 13 (26.53) | ||
| ??免疫性不孕 | 15 (13.51) | 5 (10.21) | ||
| ??不明原因不孕 | 9 (8.11) | 3 (6.12) | ||
| 雌二醇(pg/mL) | 53.62±12.81 | 55.74±16.55 | 0.880 | 0.380 |
| LH (mIU/mL) | 4.78±1.26 | 4.95±1.34 | 0.771 | 0.442 |
| FSH (mIU/mL) | 6.95±2.28 | 8.91±2.76 | 4.691 | < 0.001 |
| 睾酮(ng/mL) | 0.28±0.06 | 0.29±0.05 | 1.020 | 0.309 |
| 抗卵巢抗体阳性[n (%)] | 88 (79.28) | 41 (83.67) | 0.420 | 0.517 |
| 抗精子抗体阳性[n (%)] | 79 (71.17) | 32 (65.31) | 0.550 | 0.458 |
| 抗子宫内膜抗体阳性[n (%)] | 96 (86.49) | 37 (75.51) | 2.920 | 0.088 |
| 催乳素(ng/mL) | 16.64±4.52 | 16.40±5.18 | 0.296 | 0.768 |
| Gn使用时间(d) | 9.57±2.85 | 9.76±2.93 | 0.385 | 0.700 |
| Gn用量(IU) | 2 448.93±651.28 | 2 497.70±663.07 | 0.434 | 0.665 |
| 获卵数(个) | 10.25±3.58 | 7.12±2.64 | 5.492 | < 0.001 |
| 可移植胚胎数(个) | 5.45±1.58 | 3.41±1.08 | 8.263 | < 0.001 |
2.2 血清GDF9和CXCL14水平的比较
妊娠成功组和妊娠失败组患者血清GDF9水平分别为(346.87±69.48) 和(245.04±55.73) pg/mL,CXCL14水平分别为(192.81±45.71) 和(128.92±32.57)pg/mL。与妊娠成功组相比,妊娠失败组患者血清GDF9和CXCL14水平显著降低(P < 0.05)。
2.3 妊娠失败组患者临床特征与血清GDF9和CXCL14水平的相关性分析妊娠失败组患者中,FSH与血清GDF9 (r = -0.495,P < 0.001)、CXCL14 (r = -0.506,P < 0.001) 水平呈负相关,获卵数、可移植胚胎数与血清GDF9 (获卵数,r = 0.528,P < 0.001;可移植胚胎数,r = 0.514,P < 0.001)、CXCL14 (获卵数,r = 0.537,P < 0.001;可移植胚胎数,r = 0.522,P < 0.001) 水平呈正相关。
2.4 多因素logistic回归分析将单因素分析中P < 0.05的变量GDF9、CXCL14、FSH、获卵数、可移植胚胎数作为自变量,妊娠是否失败作为因变量(失败=1,成功=0),多因素logistic回归分析结果显示,GDF9和CXCL14水平降低、获卵数少均是不孕症患者IVF-ET妊娠失败的独立危险因素(P < 0.05)。见表 2。
| 影响因素 | β | SE | Wald χ2 | OR | 95%CI | P |
| GDF9 | -0.280 | 0.081 | 11.925 | 0.756 | 0.645~0.886 | 0.001 |
| CXCL14 | -0.218 | 0.073 | 8.931 | 0.804 | 0.697~0.928 | 0.003 |
| FSH | 0.118 | 0.234 | 0.253 | 1.125 | 0.711~1.780 | 0.615 |
| 获卵数 | -0.094 | 0.029 | 10.576 | 0.910 | 0.860~0.963 | 0.001 |
| 可移植胚胎数 | -0.137 | 0.159 | 0.742 | 0.872 | 0.639~1.191 | 0.389 |
2.5 ROC曲线分析
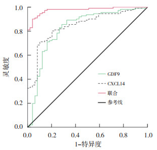
ROC曲线结果显示,血清GDF9和CXCL14水平单独预测不孕症患者IVF-ET妊娠失败的AUC分别为0.822和0.844,二者联合预测的AUC为0.977,二者联合的AUC显著升高(Z = 3.759、3.967,P < 0.05)。见表 3、图 1。
| 指标 | 灵敏度(%) | 特异度(%) | 临界值 | AUC | 95%CI | 约登指数 |
| GDF9 | 85.61 | 71.47 | 275.84 pg/mL | 0.822 | 0.745~0.900 | 0.57 |
| CXCL14 | 71.23 | 89.81 | 151.06 pg/mL | 0.844 | 0.781~0.908 | 0.61 |
| 联合 | 90.12 | 95.96 | - | 0.977 | 0.957~0.996 | 0.86 |
|
| 图 1 血清GDF9和CXCL14水平预测不孕症患者IVF-ET妊娠失败的ROC曲线 |
3 讨论
我国约15%的育龄期妇女在计划怀孕的1年内经历受孕失败,其中约一半的夫妇通过辅助生殖技术治疗不孕不育,IVF-ET是最常用的技术[8]。在过去几十年里,随着卵巢刺激方案的优化和胚胎培养技术的成熟,IVF-ET治疗周期的临床妊娠率逐渐提高。然而,其他重要因素(如胚胎移植时间、环境、生活方式、细胞因子水平等) 也可能导致IVF-ET失败,因此仅约30%的患者能够活产[9]。
控制性卵巢刺激在辅助生殖技术中十分关键。在控制性卵巢刺激期间,窦卵泡在Gn刺激下发育,卵泡增大,雌二醇水平升高。窦卵泡由卵母细胞-卵丘复合体组成,周围有体细胞(包括壁颗粒细胞和卵泡膜细胞)。理论上,介导体细胞对Gn反应以及卵母细胞-体细胞相互作用的基因可能是卵巢反应不良的原因[10]。研究[10]显示,GDF9等位基因变异可导致窦卵泡发育缺陷,且卵母细胞本身通过GDF9旁分泌作用参与卵泡发育的调节。GDF9是转化生长因子β超家族的成员之一,是一种卵母细胞源性因子,在卵泡发育的整个时期在卵母细胞中分泌[11]。GDF9参与从小窦卵泡阶段到大窦卵泡阶段的卵泡发育以及排卵。研究[12]显示,多囊卵巢综合征患者成熟卵泡中GDF9水平显著低于卵巢功能正常者。本研究发现,妊娠失败的不孕症患者IVF-ET前血清GDF9水平显著低于妊娠成功患者,且GDF9水平与获卵数和可移植胚胎数显著相关。研究[13]发现,生育能力不良的不孕症患者血清和卵泡液中GDF9水平显著降低,本研究结果与其一致。推测GDF9水平降低影响卵泡增大和发育,同时造成患者体内壁颗粒细胞、卵泡膜细胞等对Cn不敏感,使得较多卵泡均停滞在初级卵泡阶段,获卵数和可移植胚胎数相应减少,最终影响不孕症患者IVF-ET后的妊娠结局。多因素logistic回归分析结果显示,GDF9水平是妊娠失败的影响因素,提示GDF9水平降低可能增加妊娠失败风险。采用ROC曲线进一步验证GDF9对妊娠结局的预测价值,结果发现,AUC为0.822,灵敏度超过80%。IVF-ET前血清GDF9水平低于275.84 pg/mL可能是预测妊娠失败的重要标志。
趋化因子是体内所有类型细胞产生的小信号蛋白,通过诱导附近反应细胞的定向趋化性,调节局部环境中的稳态和炎症。CXCL14是一种相对新颖的趋化因子,主要负责免疫细胞的招募和成熟,并影响上皮细胞运动,有助于在正常上皮层内建立免疫监视[14]。研究[15]发现,IVF-ET前血清CXCL14水平降低与子宫内膜异位症不孕患者的不良妊娠结局相关,本研究中CXCL14表达趋势与其一致。提示CXCL14水平降低可能增加不孕症患者IVF-ET后妊娠失败的风险。结合相关性分析结果,推测CXCL14可能通过影响不孕症患者体内的免疫状态,减少营养转运蛋白的表达,进而减少不孕症患者IVF-ET后获卵数和可移植胚胎数,不利于良好的助孕结局。ROC曲线证实了CXCL14在不孕症患者IVF-ET妊娠结局中的预测价值,其AUC与GDF9的AUC基本一致。若IVF-ET前血清CXCL14水平低于151.06 pg/mL,可能有早期流产的风险,若高于151.06 pg/mL,则妊娠成功的概率较高。然而,CXCL14和GDF9单独应用时存在灵敏度或特异度不高的局限,二者联合后灵敏度和特异度分别为90.12%和95.96%,预测价值显著提高。
本研究结果存在一定局限性。首先,严格的纳入和排除标准使许多患者未被纳入研究,因此不孕症患者IVF-ET后妊娠失败的发生率被低估或高估。其次,IVF-ET妊娠失败的影响因素较为复杂,且不同研究中不孕症的病因各异,其结果可能还受到男性不育症等因素的影响,本研究未纳入相关患者。第三,不同研究中使用的卵巢刺激方案不同,也可能影响研究结果的质量。
综上所述,IVF-ET前血清GDF9和CXCL14水平降低可能会影响不孕症患者的临床妊娠率。血清GDF9和CXCL14水平联合检测有助于辅助临床评估不孕症患者IVF-ET妊娠结局,二者可能成为潜在生物学指标。针对妊娠失败的高风险患者,可提早采取相关预防措施和针对性治疗,进而改善临床结局,实现优生优育。
| [1] |
BRAVERMAN AM, DAVOUDIAN T, LEVIN IK, et al. Depression, anxiety, quality of life, and infertility: a global lens on the last decade of research[J]. Fertil Steril, 2024, 121(3): 379-383. DOI:10.1016/j.fertnstert.2024.01.013 |
| [2] |
马向薇, 肖育红, 曹诗悦. 颗粒细胞氧化应激及凋亡对胚胎发育及体外受精-胚胎移植结局的影响[J]. 中国医科大学学报, 2025, 54(7): 664-666. DOI:10.12007/j.issn.0258-4646.2025.07.017 |
| [3] |
GONG Y, LI-LING J, XIONG D, et al. Age-related decline in the expression of GDF9 and BMP15 genes in follicle fluid and granulosa cells derived from poor ovarian responders[J]. J Ovarian Res, 2021, 14(1): 1. DOI:10.1186/s13048-020-00757-x |
| [4] |
HUANG TH, CHEN FR, ZHANG YN, et al. Decreased GDF9 and BMP15 in follicle fluid and granulosa cells and outcomes of IVF-ET among young patients with low prognosis[J]. J Assist Reprod Genet, 2023, 40(3): 567-576. DOI:10.1007/s10815-023-02723-0 |
| [5] |
GARCíA-BELTRAN C, CEREIJO R, QUESADA-LóPEZ T, et al. Reduced circulating levels of chemokine CXCL14 in adolescent girls with polycystic ovary syndrome: normalization after insulin sensitization[J]. BMJ Open Diabetes Res Care, 2020, 8(1): e001035. DOI:10.1136/bmjdrc-2019-001035 |
| [6] |
QI J, LI J, WANG Y, et al. Novel role of CXCL14 in modulating STAR expression in luteinized granulosa cells: implication for progesterone synthesis in PCOS patients[J]. Transl Res, 2021, 230: 55-67. DOI:10.1016/j.trsl.2020.10.009 |
| [7] |
陈子江, 刘嘉茵, 黄荷凤, 等. 不孕症诊断指南[J]. 中华妇产科杂志, 2019, 54(8): 505-511. DOI:10.3760/cma.j.issn.0529-567x.2019.08.001 |
| [8] |
QIAO J, WANG Y, LI X, et al. A Lancet Commission on 70 years of women's reproductive, maternal, newborn, child, and adolescent health in China[J]. Lancet, 2021, 397(10293): 2497-2536. DOI:10.1016/S0140-6736(20)32708-2 |
| [9] |
JIA Y, AI Z, ZHU X, et al. Analysis of predictors of clinical pregnancy and live birth in patients with RIF treated with IVF-ET technology: a cohort study based on a propensity score approach[J]. Front Med (Lausanne), 2024, 11: 1348733. DOI:10.3389/fmed.2024.1348733 |
| [10] |
DUAN Y, CAI B, GUO J, et al. GDF9His209GlnfsTer6/S428T and GDF9Q321X/S428T bi-allelic variants caused female subfertility with defective follicle enlargement[J]. Cell Commun Signal, 2024, 22(1): 235. DOI:10.1186/s12964-024-01616-8 |
| [11] |
LIU MN, ZHANG K, XU TM. The role of BMP15 and GDF9 in the pathogenesis of primary ovarian insufficiency[J]. Hum Fertil (Camb), 2021, 24(5): 325-332. DOI:10.1080/14647273.2019.1672107 |
| [12] |
蔡晶晶, 吴金香, 罗湘闽. GDF9在PCOS患者成熟卵泡中的表达及其与内分泌激素的相关性[J]. 中国病理生理杂志, 2022, 38(12): 2236-2242. DOI:10.3969/j.issn.1000-4718.2022.12.016 |
| [13] |
薛建芳. 血清及卵泡中AMH、GDF9水平对不孕症患者生育能力的预测价值[J]. 中国现代医生, 2024, 62(15): 54-58. DOI:10.3969/j.issn.1673-9701.2024.15.012 |
| [14] |
WESTRICH JA, VERMEER DW, COLBERT PL, et al. The multifarious roles of the chemokine CXCL14 in cancer progression and immune responses[J]. Mol Carcinog, 2020, 59(7): 794-806. DOI:10.1002/mc.23188 |
| [15] |
向雪芹, 崔权哲, 童玉娜, 等. 子宫内膜异位症性不孕患者血清APRIL和CXCL14水平与体外受精-胚胎移植后不良妊娠的关系[J]. 广西医学, 2022, 44(21): 2475-2478, 2483. DOI:10.11675/j.issn.0253-4304.2022.21.04 |
2026, Vol. 55



