文章信息
- 陈腾, 刘舜禹, 赵洁
- CHEN Teng, LIU Shunyu, ZHAO Jie
- 心电图QRS时限、QTc间期与扩张型心肌病合并完全性左束支传导阻滞患者左室射血分数的关系
- Correlation of QRS duration and QTc interval with left ventricular ejection fraction in patients with dilated cardiomyopathy and complete left bundle branch block
- 中国医科大学学报, 2025, 54(12): 1137-1141
- Journal of China Medical University, 2025, 54(12): 1137-1141
-
文章历史
- 收稿日期:2025-06-06
- 网络出版时间:2025-12-15 12:05:26
2. 河南省中医院(河南中医药大学第二附属医院)心内科,郑州 450000
扩张型心肌病(dilated cardiomyopathy,DCM)是一种以左心室或双心室扩张伴收缩功能障碍为特征的心肌疾病,其病理生理机制复杂,临床预后较差[1]。完全性左束支传导阻滞(complete left bundle branch block,CLBBB)是DCM患者的常见心电图表现,其发生率随着心功能恶化而显著增加[2]。CLBBB不仅是一种传导系统异常,更可能通过引起心室电-机械不同步而加速心功能恶化,成为影响患者预后的独立危险因素[3]。近年来,随着对心脏电生理与机械功能关系的认识不断深入,心电图参数作为评估心功能状态的无创指标越来越受到重视。QRS时限为反映心室除极时间的经典指标,在DCM合并CLBBB患者中常显著延长。多项研究[4]提示,QRS时限延长与心室收缩不同步程度及心功能恶化密切相关。QTc间期作为评估心室复极的指标,其变化可能反映心肌电重构状态,然而,CLBBB伴随的继发性复极改变会干扰对原发性心肌复极异常的判断[5]。目前,关于QRS时限和QTc间期对DCM合并CLBBB患者左心室功能影响的系统性研究较少,特别是二者在预测严重左心室功能不全[左室射血分数(left ventricular ejection fraction,LVEF)≤35%]中的价值尚不明确。本研究通过回顾性队列分析,探讨心电图QRS时限和QTc间期与DCM合并CLBBB患者LVEF的关系,评估其对严重左心室功能不全的预测价值,期望建立更精准的预测模型,为早期识别高危患者和选择干预时机提供客观参考。
1 材料与方法 1.1 研究对象本研究为回顾性队列分析,纳入2020年1月至2023年12月间于我院心内科确诊的DCM合并CLBBB患者。纳入标准:(1)符合2021年欧洲心脏病学会心衰指南的DCM诊断标准[6],左心室舒张末内径 > 55 mm(男性)或50 mm(女性)且LVEF < 45%,并排除冠状动脉粥样硬化性心脏病(冠状动脉造影显示主要血管狭窄 < 50%)、瓣膜病和高血压心脏病等继发因素;(2)满足2013年美国心脏协会/美国心脏病学会/美国心衰学会心力衰竭管理指南的CLBBB心电图标准[7],QRS时限≥120 ms,V1、V2导联呈宽大QS或rS波(R波振幅 < 0.1 mV且时限 < 30 ms),V5、V6导联R波宽钝伴切迹,Ⅰ、aVL、V6导联无Q波,且伴有继发性ST-T改变;(3)临床资料完整,包括基线心电图、超声心动图、脑钠肽(brain natriuretic peptide,BNP)/N末端脑钠肽前体(N-terminal pro-brain natriuretic peptide,NT-proBNP)检查结果及至少3个月随访记录。排除标准:(1)合并右束支传导阻滞患者;(2)预激综合征患者;(3)起搏器植入术后患者;(4)近3个月内发生过心肌梗死患者;(5)严重肾功能不全患者,估算肾小球滤过率 < 30 mL·min-1·1.73 m-2);(6)活动性心肌炎患者;(7)甲状腺功能亢进患者;(8)有酗酒史或当前未控制饮酒行为者。最终纳入112例患者,根据美国心脏协会/美国心脏病学会/美国心衰学会心力衰竭管理指南,将患者分为LVEF≤35%组(n = 44)和LVEF > 35%组(n = 68)。本研究经河南省中医院伦理委员会审核批准(HNSZYYWZ-20191210024),所有患者知情同意。
1.2 临床资料收集收集患者的人口学资料(年龄、性别)、临床特征[纽约心脏病协会(New York Heart Association,NYHA)心功能分级、BNP水平]、用药史[β受体阻滞剂、血管紧张素转化酶抑制剂(angiotensin-converting enzyme inhibitor,ACEI)/血管紧张素Ⅱ受体拮抗剂(angiotensin Ⅱ receptor blocker,ARB)/血管紧张素受体-脑钠肽酶抑制剂(angiotensin receptor-neprilysin inhibitor,ARNI)、醛固酮拮抗剂]以及实验室检查数据。所有患者均行标准12导联静息心电图检查,纸速25 mm/s,增益10 mm/mV。由2名经验丰富的医师盲法测量QRS时限和QTc间期。QRS时限,选择最宽导联测量起点至终点。QTc间期,T波终点定义为T波降支与等电位线交点。若存在U波,则取T-U波谷,采用Bazett公式校正QTc,QTc=QT/
采用SPSS 26.0软件进行统计学分析。正态分布的计量资料以 x±s表示,组间比较采用独立样本t检验;非正态分布的计量资料以M(P25~P75)表示,采用Mann-Whitney U检验进行比较。计数资料以率(%)表示,采用χ2检验或Fisher确切概率法进行比较。采用Pearson相关分析对QRS时限、QTc间期与LVEF的相关性进行分析。采用logistic回归模型分析QRS时限和QTc间期对LVEF的独立影响。P < 0.05为差异有统计学意义。
2 结果 2.1 2组患者一般资料比较与LVEF > 35%组比较,LVEF≤35%组患者QRS时限和QTc间期显著延长,BNP水平显著升高(均P < 0.05)。2组比较,患者年龄、性别、NYHA心功能分级、合并症发生率和抗心衰药物使用等均无统计学差异(均P > 0.05)。见表 1。
| 项目 | LVEF≤35%组(n = 44) | LVEF > 35%组(n = 68) | t/Z/χ2 | P |
| 年龄(岁) | 58.24±10.37 | 59.87±11.52 | 0.782 | 0.432 |
| 男性[n(%)] | 28(63.64) | 34(50.00) | 2.010 | 0.156 |
| NYHA Ⅲ~Ⅳ级[n(%)] | 18(40.91) | 25(44.64) | 0.183 | 0.669 |
| BNP(pg/mL) | 1 024(588~1 672) | 632(356~1 124) | 3.820 | < 0.001 |
| LVEF(%) | 32.63±2.26 | 40.84±3.71 | 14.209 | < 0.001 |
| QRS时限(ms) | 163.83±9.45 | 134.25±8.72 | 17.293 | < 0.001 |
| QTc间期(ms) | 468.94±35.27 | 452.36±32.18 | 2.612 | 0.010 |
| β受体阻滞剂[n(%)] | 35(79.55) | 53(77.94) | 0.059 | 0.843 |
| ACEI/ARB/ARNI [n(%)] | 39(88.64) | 58(85.29) | 0.254 | 0.615 |
| 醛固酮拮抗剂[n(%)] | 25(56.82) | 43(63.24) | 0.453 | 0.502 |
| 估算肾小球滤过率(mL·min-1·1.73 m-2) | 78.32±18.45 | 72.89±20.17 | 1.487 | 0.140 |
| 血钾(mmol/L) | 4.12±0.43 | 4.05±0.51 | 0.812 | 0.419 |
| 糖尿病[n(%)] | 13(29.55) | 15(22.06) | 0.784 | 0.378 |
| 高脂血症[n(%)] | 16(36.36) | 19(27.94) | 0.837 | 0.365 |
2.2 QRS时限、QTc间期与LVEF的相关性分析
在全部患者和LVEF≤35%组患者中,QRS时限、QTc间期均与LVEF呈显著负相关(均P < 0.05),QRS时限与LVEF的相关性更强;在LVEF≤35%组患者中,这种趋势更明显。在LVEF > 35%组患者中,仅QRS时限与LVEF呈显著负相关(P < 0.05)。见表 2。
| 变量 | r | 95%CI | P |
| 全部患者(n = 112) | |||
| QRS时限 | -0.632 | -0.732~-0.508 | < 0.001 |
| QTc间期 | -0.421 | -0.562~-0.258 | 0.003 |
| LVEF≤35%组(n = 44) | |||
| QRS时限 | -0.701 | -0.812~-0.553 | < 0.001 |
| QTc间期 | -0.387 | -0.598~-0.132 | 0.012 |
| LVEF > 35%组(n = 68) | |||
| QRS时限 | -0.518 | -0.674~-0.326 | < 0.001 |
| QTc间期 | -0.241 | -0.452~-0.008 | 0.058 |
2.3 影响LVEF≤35%的多因素logistic回归分析
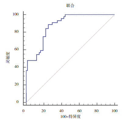
采用多因素logistic回归分析,探讨QRS时限、QTc间期和BNP水平对DCM合并CLBBB患者左心室功能(LVEF≤35%)的独立预测价值。以LVEF为因变量(≤35%=1,> 35%=0),纳入表 1中P < 0.05的连续变量QRS时限、QTc间期和BNP。多因素logistic回归分析结果显示,QRS时限、QTc间期、BNP水平为患者发生LVEF≤35%的独立危险因素(P < 0.05),见表 3。Hosmer-Lemeshow检验显示良好的拟合优度(P = 0.870),受试者操作特征曲线下面积达0.81(95%CI:0.743~0.889),表明QRS时限、QTc间期和BNP联合预测具有较好的判别能力。见图 1。
| 变量 | β | SE | Wald χ2 | OR | 95%CI | P |
| QRS时限 | 0.712 | 0.148 | 23.143 | 2.047 | 1.528~2.735 | < 0.001 |
| QTc间期 | 0.186 | 0.068 | 7.495 | 1.205 | 1.057~1.386 | 0.006 |
| BNP | 0.065 | 0.028 | 5.398 | 1.072 | 1.015~1.132 | 0.021 |
|
| 图 1 QRS时限、QTc间期和BNP水平联合预测DCM合并CLBBB患者LVEF≤35%的ROC曲线 |
3 讨论
本研究深入探讨了心电图参数QRS时限和QTc间期与左心室功能的关系,结果表明,QRS时限和QTc间期不仅与LVEF显著相关,更是预测左心室功能严重受损(LVEF≤35%)的独立危险因素,可为临床评估DCM合并CLBBB患者的心功能状态提供新的视角和客观依据。
从病理生理机制角度分析,QRS时限延长反映了心室电活动传导异常、结构性心肌损伤与功能性电传导障碍[8]。在DCM合并CLBBB患者中,左束支传导阻滞导致心室除极顺序改变,左心室激动延迟,进而引发心室机械收缩不同步。这种电-机械不同步现象会显著降低心脏泵血效率,加重心功能恶化[9]。本研究发现,LVEF≤35%组患者的QRS时限显著延长,与BERGER等[10]的研究结果相似,QRS进行性延长,提示心功能恶化风险。孔凡鑫等[11]研究表明,QRS时限延长是LVEF正常的CLBBB患者右心室收缩功能减低的主要危险因素。本研究发现,全部患者中QRS时限与LVEF呈强负相关(r = -0.632),在多因素logistic回归分析中显示出最强的预测价值(OR = 2.047),LVEF≤35%组患者中相关性更强(r = -0.701),与既往研究结果一致。提示在严重心功能不全患者中,QRS时限的临床意义更为突出。
QTc间期延长反映了心室复极过程的异常[12]。本研究发现,LVEF≤35%组患者的QTc间期显著延长,虽然其与LVEF的相关性(r = -0.387)弱于QRS时限(r = -0.701),但在多因素logistic回归分析中仍有独立预测价值(OR = 1.205)。研究[13]指出,QTc间期呈延长趋势与心力衰竭程度加重关联,LVEF < 30%的患者QTc间期明显延长,本研究结果与其相似。提示QTc间期可能反映了心肌细胞电重构与机械功能间的复杂关系:随着心功能恶化,心肌纤维化、离子通道改变等因素可能导致动作电位时程延长,表现为QTc间期延长。在CLBBB患者中,继发性ST-T改变可能影响QTc间期测量的准确性,这可能是QTc间期预测价值较低的原因之一。提示在临床实践中,需要审慎解读CLBBB患者的QTc间期变化,为患者制定个性化治疗对策[14]。
本研究中,BNP作为心功能不全的标志物,也显示出良好的预测价值。LVEF≤35%组患者的BNP水平显著升高,且在多因素logistic回归分析中有独立预测作用(OR = 1.072)。研究[15]报道,BNP与LVEF呈显著负相关(r = -0.587,P < 0.001)。本研究结果与既往研究一致,进一步验证了BNP在评估心功能状态中的可靠性。值得注意的是,本研究建立的包含QRS时限、QTc间期和BNP的联合预测模型显示出良好的判别能力(曲线下面积=0.81)。
QRS时限作为简单易得的心电图参数,可以作为一种有效的筛查工具,帮助识别早期高危患者。对于QRS时限显著延长(> 150 ms)的患者,应考虑更积极的治疗策略。QTc间期虽然预测价值相对有限,但在严重心功能不全患者中仍可提供额外的预后信息。将心电图参数与BNP相结合的综合评估模式,可能提高患者风险分层的准确性。
本研究存在一些局限性。作为单中心回顾性研究,可能存在选择偏倚;样本量相对有限,特别是LVEF≤35%组仅44例患者,可能影响分析的统计效力;未纳入更先进的影像学指标如心脏MRI的纤维化评估或超声应变分析;CLBBB继发的ST-T改变可能影响QTc间期测量的准确性。未来的研究可通过前瞻性研究验证目前的研究结果,探索QRS时限与心肌纤维化程度的关系,评估心电图参数对治疗反应的预测价值,进一步验证诊断的有效性。
综上所述,本研究证实QRS时限和QTc间期是DCM合并CLBBB患者左心室功能的独立预测因素。此类简单易得的心电图参数结合BNP等生物标志物,可以为临床医生提供有价值的决策参考,有助于早期识别高危患者并指导个体化治疗。
| [1] |
刘涛, 高晓坤, 范茜寒, 等. 基于心脏磁共振探究扩张型心肌病患者经标准化抗心力衰竭药物治疗后左心室逆重构的预测因素[J]. 中国心血管杂志, 2025, 30(1): 35-44. DOI:10.3969/j.issn.1007-5410.2025.01.007 |
| [2] |
陈旭华, 白慧, 井然, 等. 窦性心律伴完全性左束支传导阻滞的扩张型心肌病患者心脏再同步治疗后的长期随访[J]. 中华心律失常学杂志, 2021, 25(2): 112-116. DOI:10.3760/cma.j.cn.113859-20200811-00209 |
| [3] |
HUANG HC, CHEN CK, LIU YB, et al. Risk of mortality associated to chronic kidney disease in patients with complete left bundle branch block[J]. Sci Rep, 2024, 14(1): 17964. DOI:10.1038/s41598-024-68826-5 |
| [4] |
SØNDERGAARD MM, RIIS J, BODKER KW, et al. Associations between left bundle branch block with different PR intervals, QRS durations, heart rates and the risk of heart failure: a register-based cohort study using ECG data from the primary care setting[J]. Open Heart, 2021, 8(1): e001425. DOI:10.1136/openhrt-2020-001425 |
| [5] |
张砚茹, 丁文虹, 王本臻, 等. 扩张型心肌病并完全性左束支阻滞患儿左心室射血分数的中短期变化及相关心电图指标的预测价值[J]. 中华实用儿科临床杂志, 2022, 37(7): 510-515. DOI:10.3760/cma.j.cn101070-20210908-01094 |
| [6] |
MCDONAGH TA, METRA M, ADAMO M, et al. 2021 ESC Guidelines for the diagnosis and treatment of acute and chronic heart failure[J]. Eur Heart J, 2021, 42(36): 3599-3726. DOI:10.1093/eurheartj/ehab368 |
| [7] |
HEIDENREICH PA, BOZKURT B, AGUILAR D, et al. 2022 AHA/ACC/HFSA Guideline for the Management of Heart Failure: executive summary: a report of the American College of Cardiology/American Heart Association Joint Committee on Clinical Practice Guidelines[J]. Circulation, 2022, 145(18): e876-e894. DOI:10.1161/CIR.0000000000001062 |
| [8] |
ZHONG C, ZHAO H, XIE X, et al. Protein kinase C-mediated hyper-phosphorylation and lateralization of connexin 43 are involved in autoimmune myocarditis-induced prolongation of QRS complex[J]. Front Physiol, 2022, 13: 815301. DOI:10.3389/fphys.2022.815301 |
| [9] |
马冰玉, 李一凡, 梁东坡, 等. 儿童经皮室间隔缺损封堵术后完全性左束支传导阻滞25例临床分析[J]. 中华实用儿科临床杂志, 2024, 39(10): 743-749. DOI:10.3760/cma.j.cn101070-20240308-00142 |
| [10] |
BERGER M, KUMOWSKI N, STRAW S, et al. Clinical implications and risk factors for QRS prolongation over time in heart failure patients[J]. Clin Res Cardiol, 2023, 112(2): 312-322. DOI:10.1007/s00392-022-02122-y |
| [11] |
孔凡鑫, 李光源, 马春燕, 等. 超声心动图评价QRS时限对左室射血分数正常的完全性左束支传导阻滞患者右室功能的影响[J]. 中国超声医学杂志, 2018, 34(2): 145-149. DOI:10.3969/j.issn.1002-0101.2018.02.017 |
| [12] |
WATANABE R, HORI K, ISHIHARA K, et al. Possible role of QRS duration in the right ventricle as a perioperative monitoring parameter for right ventricular function: a prospective cohort analysis in robotic mitral valve surgery[J]. Front Cardiovasc Med, 2024, 11: 1418251. DOI:10.3389/fcvm.2024.1418251 |
| [13] |
MAH K, CHEN S, CHANDHOKE G, et al. QTc and QRS abnormalities are associated with outcome in pediatric heart failure[J]. Pediatr Cardiol, 2022, 43(8): 1903-1912. DOI:10.1007/s00246-022-02932-x |
| [14] |
PARLAVECCHIO A, VETTA G, CAMINITI R, et al. Left bundle branch pacing versus biventricular pacing for cardiac resynchronization therapy: a systematic review and meta-analysis[J]. Pacing Clin Electrophysiol, 2023, 46(5): 432-439. DOI:10.1111/pace.14700 |
| [15] |
REISQS JB, QU YS, BOUTJDIR M. Ion channel trafficking implications in heart failure[J]. Front Cardiovasc Med, 2024, 11: 1351496. DOI:10.3389/fcvm.2024.1351496 |
2025, Vol. 54



