文章信息
- 管铁岗, 康志雷, 王心颖, 肖瑶, 刘兵
- GUAN Tiegang, KANG Zhilei, WANG Xinying, XIAO Yao, LIU Bing
- 基于椎基底动脉MR-VWI特征构建VBD患者并发后循环急性脑梗死的列线图模型
- Nomogram model for posterior circulation acute cerebral infarction in patients with VBD based on MR-VWI characteristics of the vertebrobasilar artery
- 中国医科大学学报, 2025, 54(11): 1036-1041, 1047
- Journal of China Medical University, 2025, 54(11): 1036-1041, 1047
-
文章历史
- 收稿日期:2024-11-21
- 网络出版时间:2025-11-21 12:56:28
2. 衡水市人民医院神经内科,河北 衡水 053000
2. Department of Neurology, Hengshui People's Hospital, Hengshui 053000, China
椎基底动脉迂曲延长症(vertebro-basilar dolichoectasia,VBD)是一种特殊变异性病变,表现为椎基底动脉延长、迂曲并伴有管径增粗,可引起脑干、颅神经受压及后循环供血障碍[1]。研究[2]发现,随着VBD患者椎基底动脉迂曲、延长程度加重,可引发脑积水、脑梗死、神经压迫症状等,其中脑梗死发生率最高。磁共振血管壁成像(magnetic resonance vessel wall imaging,MR-VWI)可通过抑制血池信号、高信号显示动脉血管壁,清晰观察血管壁结构,现已应用于颅内动脉夹层、颅内动脉粥样硬化等心血管疾病的诊断和评估[3]。近年有学者对VBD患者并发后循环急性脑梗死(acute cerebral infarction,ACI)的危险因素进行了相关研究[4],但分析VBD患者并发后循环ACI影像学特征的研究较少。本研究通过MR-VWI特征构建VBD患者并发后循环ACI的预测模型,以期为临床防治提供参考。
1 材料与方法 1.1 一般资料选取2016年3月至2023年1月我院收治的102例VBD并发后循环ACI患者作为并发组。纳入标准:符合VBD相关诊断标准[5];采用弥散加权成像(diffusion-weighted imaging,DWI)确诊后循环ACI患者符合《中国急性缺血性脑卒中中西医急诊诊治专家共识》标准[6];行基底动脉(basilar artery,BA)的MR-VWI检查;MR-VWI质量良好。排除标准:存在MR扫描禁忌证;既往有腔内介入治疗史;BA或椎动脉(vertebral artery,VA)颅内段闭塞;VA的近段、双侧大脑后动脉所致的后循环ACI;心源性栓塞导致颅内缺血性卒中;合并颅外VA中-重度狭窄;伴有血管炎;伴有严重器质性病变;存在代谢、免疫、遗传等全身疾病。另倾向性评分匹配同期VBD未并发后循环ACI患者作为未并发组,从同期未并发后循环ACI的VBD患者中初步筛选出符合纳入和排除标准的候选对象(137例)。以并发组作为案例,选取年龄、性别、高脂血症、糖尿病、高血压、肥胖等关键协变量进行匹配,最终成功匹配102例作为未并发组。本研究获得我院伦理委员会批准,患者或家属签署知情同意书。
1.2 方法 1.2.1 资料收集以查阅病历、跟踪检查结果等方式进行资料收集。一般资料包括性别、年龄、高脂血症、糖尿病、高血压、肥胖、ACI家族史、饮酒史和吸烟史。高脂血症,总胆固醇≥6.2 mmol/L,低密度脂蛋白胆固醇≥4.1 mmol/L,甘油三酯≥2.3 mmol/L,高密度脂蛋白胆固醇<1.0 mmol/L[7]。糖尿病,符合以下任意1条:(1)空腹血糖≥7.0 mmol/L;(2)糖化血红蛋白≥6.5%;(3)口服葡萄糖耐量试验2 h血糖≥11.1 mmol/L;(4)随机血糖≥11.1 mmol/L且伴典型高血糖症状[8]。高血压,收缩压≥140 mmHg和(或)舒张压≥90 mmHg[9];肥胖,体重指数≥25 kg/m2[10]。
临床资料包括类型(症状性或非症状性)、治疗方案[内科保守治疗(抗血栓、抗血小板聚集、抗动脉粥样硬化等)、外科治疗(血管内支架置入术、微血管减压术)]、中性粒细胞、D-二聚体、脑干受压、脑积水、是否合并BA斑块、动脉夹层,是否有脑实质微出血。
1.2.2 MR扫描采用MR扫描仪(德国西门子公司,Verio 3.0T)行常规头颅MRI平扫、MR血管成像检查。DWI采用回波平面成像序列,重复时间(repetition time,TR)5 200 ms,回波时间(echo time,TE)88 ms,矩阵128×128,视野230 mm×230 mm,层厚/层间距5.0 mm/1.5 mm,b值取0、1 000 s/mm2。高分辨率MR血管壁成像,矩阵176×256,TE 25 ms,TR 800 ms,视野250 mm×220 mm,层厚0.7 mm,层数144,扫描395 s。并测量BA直径、BA长度、VA颅内段长度、BA分叉高度分级、BA偏移度分级。BA分叉高度分级[11]为0级,平于或低于鞍背水平;1级,平于或低于鞍上池水平;2级,第三脑室与鞍上池之间;3级,达到或高于第三脑室。BA偏移度分级[7]为0级,中线;1级,可疑偏离中线;2级,明显偏离中线;3级,到达桥小脑角。
1.3 统计学分析采用SPSS 23.0对数据进行分析,计量资料使用Shapiro-Wilk正态检验和Levene方差齐性检验,近似服从正态分布,以x±s表示,组间差异比较行t检验,计数资料以率(%)表示,组间比较采用χ2检验,logistic多因素分析VBD患者并发后循环ACI的影响因素;R语言构建列线图模型,采用受试者操作特征(receiver operating characteristic,ROC)曲线的曲线下面积(area under the curve,AUC)、校准曲线评价列线图预测模型的预测效能和校准度,P<0.05为差异有统计学意义。
2 结果 2.1 2组资料比较2组性别、年龄、高血压、高脂血症、糖尿病、肥胖、类型、治疗方案、中性粒细胞、脑干受压、脑积水、合并BA斑块、合并动脉夹层、脑实质微出血、ACI家族史、饮酒史、吸烟史比较差异无统计学意义(P>0.05),2组D-二聚体比较,差异有统计学意义(P<0.05),见表 1。
| Item | Concurrent group(n = 102) | Non-concurrent group(n = 102) | χ2/t | P |
| Sex [n(%)] | 0.490 | 0.484 | ||
| Male | 53(51.96) | 48(47.06) | ||
| Female | 49(48.04) | 54(52.94) | ||
| Age(year) | 68.37±4.12 | 69.02±4.63 | 1.059 | 0.291 |
| Hypertension [n(%)] | 85(83.33) | 76(74.51) | 2.387 | 0.122 |
| Hyperlipidemia [n(%)] | 79(77.45) | 68(66.67) | 2.946 | 0.086 |
| Diabetes mellitus [n(%)] | 38(37.25) | 27(26.47) | 2.732 | 0.098 |
| Obesity [n(%)] | 57(55.88) | 47(46.08) | 1.962 | 0.161 |
| Type [n(%)] | 0.310 | 0.577 | ||
| Symptomatic | 83(81.37) | 86(84.31) | ||
| Non-symptomatic | 19(18.63) | 16(15.69) | ||
| Treatment plan [n(%)] | 1.708 | 0.191 | ||
| Conservative medical treatment | 69(67.65) | 60(58.82) | ||
| Surgical treatment | 33(32.35) | 42(41.18) | ||
| Neutrophils(×109/L) | 68.75±12.58 | 65.19±14.43 | 1.878 | 0.062 |
| D-dimer(μg/mL) | 0.53±0.17 | 0.41±0.12 | 5.985 | <0.001 |
| Brainstem compression [n(%)] | 21(20.59) | 12(11.76) | 2.928 | 0.087 |
| Hydrocephalus [n(%)] | 9(8.82) | 3(2.94) | 3.188 | 0.074 |
| Combined with basilar artery plaque [n(%)] | 1.328 | 0.249 | ||
| Yes | 67(65.69) | 59(57.84) | ||
| No | 35(34.31) | 43(42.16) | ||
| Combined arterial dissection [n(%)] | 1.397 | 0.237 | ||
| Yes | 26(25.49) | 19(18.63) | ||
| No | 76(74.51) | 83(81.37) | ||
| Cerebral parenchymal microbleeds [n(%)] | 1.483 | 0.223 | ||
| Yes | 35(34.31) | 27(26.47) | ||
| No | 67(65.69) | 75(73.53) | ||
| Family history of ACI [n(%)] | 1.972 | 0.160 | ||
| Yes | 33(32.35) | 24(23.53) | ||
| No | 69(67.65) | 78(76.47) | ||
| Drinking history [n(%)] | 50(49.02) | 38(37.25) | 2.878 | 0.090 |
| Smoking history [n(%)] | 28(27.45) | 25(24.51) | 0.229 | 0.632 |
2.2 2组MR-VWI特征比较
并发组BA直径、BA长度、VA颅内段长度长于未并发组,BA分叉高度分级≥2级、BA偏移度分级≥2级比例高于未并发组(P<0.05),见表 2,图 1、2。
| Indicators | Concurrent group(n = 102) | Non-concurrent group(n = 102) | χ2/t | P |
| Diameter of BA(mm) | 5.62±0.69 | 5.03±0.43 | 7.329 | <0.001 |
| Length of BA(mm) | 46.85±5.76 | 40.26±4.69 | 8.960 | <0.001 |
| Length of VA intracranial segment(mm) | 25.91±0.75 | 25.70±0.67 | 2.109 | 0.036 |
| BA bifurcation height classification [n(%)] | 15.932 | <0.001 | ||
| ≥ Grade 2 | 88(86.27) | 63(61.76) | ||
| <Grade 2 | 14(13.73) | 39(38.24) | ||
| BA deviation classification [n(%)] | 18.168 | <0.001 | ||
| ≥ Grade 2 | 81(79.41) | 52(50.98) | ||
| <Grade 2 | 21(20.59) | 50(49.02) |
|
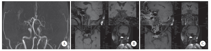
| A, MRA showing a tortuous and dilated vertebrobasilar artery; B, vascular wall imaging showing mild eccentric thickening of the local wall of the basilar artery; C, enhanced imaging of the vascular wall showing mild enhancement of the wall. 图 1 VBD未并发后循环ACI患者MR-VWI图 Fig.1 MR-VWI image of VBD patients without posterior circulation ACI |
|
| A, MRA revealing a tortuous and dilated vertebrobasilar artery; B, imaging of the vascular wall revealing eccentric thickening of the local wall of the VA; C, enhanced imaging of the vascular wall showing significant enhancement of the wall. 图 2 VBD并发后循环ACI患者MR-VWI图 Fig.2 MR-VWI image of VBD patients with posterior circulation ACI |
2.3 VBD患者并发后循环ACI的影响因素分析
以VBD患者并发后循环ACI为因变量,以单因素分析中P<0.05的指标为自变量,进行logistic多因素分析结果显示,BA直径、BA长度、BA分叉高度分级、BA偏移度分级、D-二聚体均为VBD患者并发后循环ACI的独立危险因素(P<0.05)。见表 3。
| Variable | Waldχ2 | OR | 95%CI | P | |
| Lower limit | Upper limit | ||||
| Diameter of BA | 18.141 | 5.401 | 2.347 | 12.431 | <0.001 |
| Length of BA | 11.747 | 4.708 | 1.884 | 11.763 | <0.001 |
| Length of VA intracranial segment | 3.571 | 2.558 | 0.835 | 7.836 | 0.059 |
| BA bifurcation height classification | 16.236 | 5.520 | 2.003 | 15.215 | <0.001 |
| BA deviation classification | 23.304 | 6.477 | 2.562 | 16.373 | <0.001 |
| D-dimer | 11.297 | 4.709 | 1.794 | 12.360 | <0.001 |
2.4 VBD患者并发后循环ACI的列线图预测模型构建
以VBD患者并发后循环ACI为目标事件,将BA直径、BA长度、VA颅内段长度、BA分叉高度分级、BA偏移度分级、D-二聚体作为预测因素,构建VBD患者并发后循环ACI的列线图预测模型,见图 3。在列线图预测模型中直接获取各预测因素对应得分,得分之和对应的预测概率即为该患者并发后循环ACI的风险概率。
|
| 图 3 VBD患者并发后循环ACI的列线图预测模型 Fig.3 Nomogram prediction model of concurrent posterior circulation ACI in paitent with VBD |
2.5 列线图预测模型评价
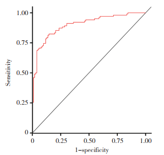
对列线图预测模型进行评价,绘制该模型预测VBD并发后循环ACI的ROC曲线(图 4),结果显示,预测AUC为0.900(95%CI:0.858~0.943),特异度为87.25%、灵敏度为92.16%,具有良好预测效能。绘制该模型预测的校准度曲线(图 5),结果显示,预测结果与实际临床观测结果的一致性较好,有良好的校准度。
|
| 图 4 列线图预测模型的ROC曲线 Fig.4 ROC curve of the nomogram prediction model |
|
| 图 5 列线图预测模型的校准曲线 Fig.5 Calibration curve of the nomogram prediction model |
3 讨论
血流动力学异常、血管损伤是影响VBD进展、并发后循环ACI的重要因素,栓塞是后循环ACI发生的重要机制;VBD患者变异血管迂曲、延长,两端压力差可降低远端血管内阻力,易致穿支动脉血管壁受损、动脉壁病理改变,引起血管栓塞、血流频谱改变等[12]。
MR-VWI可反映椎基底动脉血管形态异常情况,其优势在于可将评估重点由“管腔”转向“管壁”,可通过抑制血流信号,直接清晰地显示血管壁的形态、结构和信号特征,精确测量血管壁厚度,评估是否存在动脉粥样硬化斑块[13]。logistic分析结果显示,BA直径、BA长度、BA分叉高度分级、BA偏移度分级、D-二聚体均为VBD并发后循环ACI的独立危险因素。血流经过椎基底动脉迂曲段时动脉内压力降低,血流峰值抵达时间延迟;迂曲程度越重,延长的动脉内血流压力降低越明显,血流达到峰值时间随之延迟。结合MR-VWI特征推测VBD并发后循环ACI的可能机制为以下2个方面:(1)迂曲、延长的椎基底动脉造成血流频谱改变、血流速度减慢,BA粗大且延长,使血流在通过迂曲、延长血管时产生剪切力,损伤血管内皮,从而诱发附壁血栓形成,血栓脱落可加剧脑血流低动力学机制,易诱发后循环ACI;(2)微型血栓的形成与脱落可压迫小动脉、深穿支,降低BA分叉高度,易引起远端细小穿支动脉阻塞、移位,加剧BA偏移[14]。李东旭等[15]认为椎基底动脉血管走行异常、管径异常与后循环缺血性脑梗死有关,经多因素logistic分析显示OR值分别为7.398、5.118,与本研究结果一致。
D-二聚体降解于交联纤维蛋白,可反映机体血液高凝与继发纤溶亢进,研究[16]显示ACI初发时血清D-二聚体水平显著升高,且随病情进展呈持续升高趋势,其水平与ACI的发生、发展密切相关。本研究并发组D-二聚体水平明显高于未并发组,这主要由于D-二聚体可刺激补体系统,引发血管内膜损伤、血小板聚集黏附,促进血栓形成。同时随着后循环ACI病情进展,凝血系统因血管内皮损伤被激活,纤溶活性代偿性增高,D-二聚体水平进一步升高。
本研究基于MR-VWI特征构建预测VBD患者并发后循环ACI的列线图模型。相对于单纯分析VBD并发后循环ACI的危险因素,列线图模型可综合各危险因素,融合、量化获得风险评估结果。进一步对列线图模型进行ROC曲线评估,结果显示该模型预测并发后循环ACI的AUC为0.900,校准曲线显示该模型有良好的校准度。本研究存在一定局限性,作为单中心研究样本量较小,仅针对并发后循环ACI患者,未对不同类型卒中进行分析,有待开展临床多中心研究,增加样本量并丰富卒中类型。
综上所述,BA直径、BA长度、BA分叉高度分级、BA偏移度分级、D-二聚体均可影响VBD患者后循环ACI的发生,基于上述因素所构建的列线图预测模型预测效能较高,校准度良好。
| [1] |
LOPEZ-NAVARRO ER, PARK S, WILLEY JZ, et al. Dolichoectasia: a brain arterial disease with an elusive treatment[J]. Neurol Sci, 2022, 43(8): 4901-4908. DOI:10.1007/s10072-022-06078-9 |
| [2] |
LIU XF, DAI QL, YE RD, et al. Endovascular treatment versus stan-dard medical treatment for vertebrobasilar artery occlusion (BEST): an open-label, randomised controlled trial[J]. Lancet Neurol, 2020, 19(2): 115-122. DOI:10.1016/S1474-4422(19)30395-3 |
| [3] |
LI FB, WANG YL, HU TX, et al. Application and interpretation of vessel wall magnetic resonance imaging for intracranial atherosclerosis: a narrative review[J]. Ann Transl Med, 2022, 10(12): 714. DOI:10.21037/atm-22-2364 |
| [4] |
李月, 杨在利, 刘兵, 等. MR高分辨血管壁成像对椎基底动脉迂曲延长症并发后循环多发脑梗死的诊断价值[J]. 中国医学装备, 2024, 21(8): 42-45, 59. DOI:10.3969/j.issn.1672-8270.2024.08.008 |
| [5] |
UBOGU EE, ZAIDAT OO. Vertebrobasilar dolichoectasia diagnosed by magnetic resonance angiography and risk of stroke and death: a Cohort study[J]. J Neurol Neurosurg Psychiatry, 2004, 75(1): 22-26. DOI:10.1136/jnnp.2003.028399 |
| [6] |
方邦江, 李志军, 李银平, 等. 中国急性缺血性脑卒中中西医急诊诊治专家共识[J]. 中华危重病急救医学, 2018(3): 193-197. DOI:10.3760/cma.j.issn.2095-4352.2018.03.001 |
| [7] |
国家卫生健康委员会肥胖症诊疗指南编写委员会, 张忠涛, 纪立农. 肥胖症诊疗指南(2024年版)[J]. 中国循环杂志, 2025, 40(1): 6-30. DOI:10.3969/j.issn.1000-3614.2025.01.002 |
| [8] |
中华人民共和国国家卫生健康委员会. 成人高脂血症食养指南(2023年版)[J]. 全科医学临床与教育, 2023, 21(7): 581-583. DOI:10.13558/j.cnki.issn1672-3686.2023.007.002 |
| [9] |
中华医学会糖尿病学分会, 朱大龙, 郭立新. 中国糖尿病防治指南(2024版)[J]. 中华糖尿病杂志, 2025, 17(1): 16-139. DOI:10.3760/cma.j.cn115791-20241203-00705 |
| [10] |
中国高血压防治指南修订委员会, 高血压联盟(中国), 中国医疗保健国际交流促进会高血压病学分会, 等. 中国高血压防治指南(2024年修订版)[J]. 中华高血压杂志(中英文), 2024, 32(7): 603-700. DOI:10.16439/j.issn.1673-7245.2024.07.002 |
| [11] |
SMOKER WR, CORBETT JJ, GENTRY LR, et al. High-resolution computed tomography of the basilar artery: 2. Vertebrobasilar dolichoectasia: clinical-pathologic correlation and review[J]. AJNR Am J Neuroradiol, 1986, 7(1): 61-72. |
| [12] |
SARI PM, SANI AF, KURNIAWAN D. Intravenous thrombolysis in patient with vertebrobasilar dolichoectasia and antiplatelet medication[J]. Radiol Case Rep, 2022, 17(9): 3355-3359. DOI:10.1016/j.radcr.2022.06.061 |
| [13] |
张明宇, 陈红燕, 马丁. 高分辨率磁共振血管壁成像评估椎-基底动脉硬化血管壁对急性脑梗死患者预后的评估价值[J]. 卒中与神经疾病, 2020, 27(3): 323-326. DOI:10.3969/j.issn.1007-0478.2020.03.009 |
| [14] |
陈晓琴, 成志国, 郭昊, 等. MR血管成像血流动力学预测椎-基底动脉交界处裂隙型开窗患者发生后循环脑梗死[J]. 中国医学影像技术, 2023, 39(3): 336-341. DOI:10.13929/j.issn.1003-3289.2023.03.004 |
| [15] |
李东旭, 赵娜, 温杰, 等. 椎基底动脉血管的异常改变与后循环缺血性脑梗死的相关性研究[J]. 磁共振成像, 2020, 11(8): 669-671. DOI:10.12015/issn.1674-8034.2020.08.016 |
| [16] |
宋莉, 宋凯, 曹冬日. D-二聚体水平与颈内动脉取栓术后早期动脉再闭塞的相关性[J]. 中国医科大学学报, 2023, 52(3): 257-262. DOI:10.12007/j.issn.0258-4646.2023.03.012 |
2025, Vol. 54



