文章信息
- 程立军, 游道锋, 马永峰, 王少帅, 李倩玉
- CHENG Lijun, YOU Daofeng, MA Yongfeng, WANG Shaoshuai, LI Qianyu
- 心脏骤停存活者心肺复苏并发症的影响因素
- Influencing factors of cardiopulmonary resuscitation complications in cardiac arrest survivors
- 中国医科大学学报, 2025, 54(1): 75-81
- Journal of China Medical University, 2025, 54(1): 75-81
-
文章历史
- 收稿日期:2024-02-23
- 网络出版时间:2025-01-09 15:00:43
2. 河北医科大学第一医院急诊科, 石家庄 050000
2. Department of Emergency, The First Hospital of Hebei Medical University, Shijiazhuang 050000, China
心脏位于胸腔中部偏左下方,其正常跳动是维持生命体征的必要条件,心脏骤停时若未能及时获救,可导致严重后果[1]。胸外按压是一种基础且重要的心肺复苏手段,能挽救生命、提高存活率,但可能造成肋骨和(或)胸骨骨折、心肌挫伤、肝脾破裂等并发症,影响胸外按压复苏的顺利实施,且会导致旁观者产生畏惧心理,影响施救意愿,使患者错过黄金救治时间而危及生命,因此,了解心肺复苏并发症并掌握其发生原因及影响因素意义重大[2-3]。本研究基于临床资料及胸外按压相关参数分析心肺复苏并发症的影响因素,构建其发生风险的LASSO-logistic回归模型,旨在为减少心肺复苏并发症提供理论参考。
1 材料与方法 1.1 研究对象选取2020年4月至2023年5月石家庄循环化工园区医院收治的100例心脏骤停患者。纳入标准:年龄≥18岁;心脏骤停[4];行胸外心脏按压等复苏方式存活者。排除标准:胸廓严重畸形;来院时已恢复自主循环;妊娠期;心脏骤停前有胸骨或肋骨骨折、胸部皮肤挫伤等相关损伤;家属拒绝抢救;复苏前伴心脏受伤、肺部损伤、胸壁开放性损伤。记录患者在心肺复苏过程中是否发生胸骨骨折、肺挫伤、肋骨骨折、胸部皮肤挫伤、急性压力性损伤、气胸等并发症,发生其中一种即纳入并发症组,否则纳入无并发症组。并发症由主治医生结合患者的症状、查体、影像学检查等进行判定。本研究获得石家庄循环化工园区医院伦理委员会批准,所有患者知情同意。
1.2 方法以量表形式收集临床资料,包括年龄、性别、体重指数、胸围、胸廓前后径、内科疾病、心肺复苏诱因、施救者身份、施救者文化程度、施救者性别、施救者心肺复苏培训、应用气垫床、应用减压垫情况;采用Laerdal QCPR软件记录按压深度、按压频率、按压时长;心肺复苏后2 min采血行血气分析,记录动脉血氧分压、动脉血二氧化碳分压、血乳酸、pH值;心肺复苏期间,将采用超声监测血流动力学并进行限制性液体复苏[5]定义为严格控制液体量,否则为未严格控制液体量。
1.3 统计学分析采用SPSS 24.0软件与R-Studio软件进行统计学分析。计数资料用率(%)表示,行χ2检验比较。计量资料用x±s表示,行t检验比较。等级资料采用Ridit检验比较。采用LASSO回归初筛心肺复苏并发症的影响因素,采用logistic回归分析心肺复苏并发症的影响因素,绘制列线图预测心肺复苏并发症的风险,采用预测风险能力指数(concordance index,C-index)评价预测模型的区分度,采用受试者操作特征(receiver operator characteristic,ROC)曲线评价所构建模型的预测能力,采用bootstrap法绘制校准曲线评价预测模型的校准度。P < 0.05为差异有统计学意义。
2 结果 2.1 2组临床资料及胸外按压相关参数比较100例心脏骤停患者中,共22例发生并发症,其中包括胸骨骨折8例、肺挫伤2例、肋骨骨折6例、胸部皮肤挫伤2例、急性压力性损伤3例、气胸1例。并发症组体重指数、胸廓前后径、施救者身份、施救者文化程度、施救者性别、施救者心肺复苏培训、应用气垫床、应用减压垫、按压深度、按压时长、严格控制液体量方面与无并发症组比较,差异有统计学意义(P < 0.05)。见表 1。
| Item | Complication group(n = 22) | Non-complication group(n = 78) | t/χ2/U | P |
| Age(year) | 41.59±9.83 | 40.37±10.51 | 0.487 | 0.627 |
| Sex[n(%)] | 0.233 | 0.629 | ||
| Male | 12(54.55) | 38(48.72) | ||
| Female | 10(45.45) | 40(51.28) | ||
| Body mass index(kg/m2) | 23.45±0.57 | 23.96±0.62 | 3.466 | 0.001 |
| Chest circumference(cm) | 85.68±8.35 | 87.09±9.28 | 0.643 | 0.522 |
| Chest anterior posterior diameter(cm) | 24.79±1.68 | 23.96±1.50 | 2.232 | 0.028 |
| Internal diseases [n(%)] | ||||
| Hyperlipidemia | 2(9.09) | 4(5.13) | 0.034 | 0.855 |
| Diabetes | 4(18.18) | 18(23.08) | 0.039 | 0.843 |
| Heart disease | 9(40.91) | 35(44.87) | 0.109 | 0.741 |
| Hypertension | 15(68.18) | 48(61.54) | 0.325 | 0.569 |
| Causes of cardiopulmonary resuscitation [n(%)] | 1.702 | 0.945 | ||
| Explosive myocarditis | 1(4.55) | 3(3.85) | ||
| Acute myocardial infarction | 6(27.27) | 20(25.64) | ||
| Pulmonary embolism | 3(13.64) | 10(12.82) | ||
| Septic shock | 2(9.09) | 13(16.67) | ||
| Hyperthyroidism heart disease | 2(9.09) | 11(14.10) | ||
| Acute aortic dissection | 4(18.18) | 12(15.38) | ||
| Acute trauma | 4(18.18) | 9(11.54) | ||
| Rescuer identity [n(%)] | 6.547 | 0.038 | ||
| Bystander | 8(36.36) | 10(12.82) | ||
| Nurse | 9(40.91) | 47(60.26) | ||
| Bystander+nurse | 5(22.73) | 21(26.92) | ||
| Educational level of the rescuer [n(%)] | 2.304 | 0.021 | ||
| Junior high school and below | 3(13.64) | 2(2.56) | ||
| High school | 14(63.64) | 37(47.44) | ||
| College degree or above | 5(22.73) | 39(50.00) | ||
| Sex of rescuer [n(%)] | 5.325 | 0.021 | ||
| Male | 13(59.09) | 25(32.05) | ||
| Female | 9(40.91) | 53(67.95) | ||
| Rescuers’ cardiopulmonary resuscitation training [n(%)] | 6.868 | 0.009 | ||
| No | 8(36.36) | 8(10.26) | ||
| Yes | 14(63.64) | 70(89.74) | ||
| Application of air mattress bed [n(%)] | 5.424 | 0.020 | ||
| No | 21(95.45) | 56(71.79) | ||
| Yes | 1(4.55) | 22(28.21) | ||
| Application of decompression pad [n(%)] | 6.294 | 0.012 | ||
| No | 21(95.45) | 54(69.23) | ||
| Yes | 1(4.55) | 24(30.77) | ||
| Compression depth(cm) | 5.92±0.54 | 5.43±0.49 | 4.050 | < 0.001 |
| Compression frequency(times/min) | 112.49±6.68 | 110.95±7.33 | 0.887 | 0.378 |
| Compression duration(min) | 23.69±7.11 | 18.43±5.25 | 3.823 | < 0.001 |
| Blood gas analysis after resuscitation | ||||
| Arterial partial pressure of oxygen(mmHg) | 55.86±9.22 | 57.00±8.48 | 0.546 | 0.586 |
| Partial arterial carbon dioxide pressure(mmHg) | 32.20±4.81 | 31.79±4.95 | 0.345 | 0.731 |
| Blood lactate(mmol/L) | 6.94±1.25 | 7.03±1.16 | 0.316 | 0.753 |
| pH value | 7.33±0.15 | 7.34±0.13 | 0.308 | 0.759 |
| Strictly control the amount of liquid [n(%)] | 5.176 | 0.023 | ||
| No | 7(31.82) | 8(10.26) | ||
| Yes | 15(68.18) | 70(89.74) |
2.2 心肺复苏并发症影响因素的LASSO回归初筛
以是否发生并发症(未发生=0,发生=1)为因变量,以体质量指数(原值代入)、胸廓前后径(原值代入)、施救者身份(旁观者=1,旁观者+护士=2,护士=3)、施救者文化程度(初中及以下=1,高中=2,大专及以上=3)、施救者性别(男=1,女=2)、施救者是否接受过心肺复苏培训(否=0,是=1)、应用气垫床(否=0,是=1)、应用减压垫(否=0,是=1)、按压深度(原值代入)、按压时长(原值代入)、严格控制液体量(否=0,是=1)11个变量为自变量,对心肺复苏并发症影响因素进行初筛。结果显示,随着惩罚系数λ变化,体重指数、胸廓前后径、施救者文化程度、施救者性别的系数被压缩,见图 1A。绘制均方误差随logλ的变化图显示,λ=1.786时,影响因素最少,模型性能优良,此时筛选出施救者身份、施救者心肺复苏培训、应用气垫床、应用减压垫、按压深度、按压时长、严格控制液体量7个预测变量达到最佳影响因素的选择,见图 1B。
|
| A, LASSO regression screening process diagram; B, selection diagram of optimal parameter λ. 图 1 心肺复苏并发症影响因素的LASSO回归初筛过程和最佳参数λ的选择 Fig.1 LASSO regression screening process diagram and selection diagram of optimal parameter λ for influencing factors of cardiopulmonary resuscitation complications |
2.3 心肺复苏并发症影响因素的logistic回归分析
各自变量、因变量及其赋值参考LASSO回归,运用逐步后退法进行logistic回归分析显示,施救者为护士、施救者接受过心肺复苏培训、应用气垫床、应用减压垫、严格控制液体量是心肺复苏并发症相关保护因素,按压深度、按压时长是心肺复苏并发症的相关危险因素(P < 0.05)。见表 2。
| Influence factor | β | SE | Wald χ2 | OR | 95%CI | P |
| The rescuer is a nurse | -1.266 | 0.321 | 15.545 | 0.282 | 0.104-0.765 | < 0.001 |
| The rescuer has received training on cardiopulmonary resuscitation | -0.514 | 0.136 | 14.286 | 0.598 | 0.368-0.972 | < 0.001 |
| Application of air mattress bed | -0.752 | 0.259 | 8.440 | 0.471 | 0.257-0.864 | < 0.001 |
| Application of decompression pad | -1.140 | 0.394 | 8.373 | 0.320 | 0.136-0.752 | < 0.001 |
| Compression depth | 1.158 | 0.355 | 10.649 | 3.185 | 1.049-9.671 | < 0.001 |
| Compression duration | 1.505 | 0.401 | 14.085 | 4.504 | 1.625-12.483 | < 0.001 |
| Strictly control the amount of liquid | -0.672 | 0.213 | 9.963 | 0.511 | 0.288-0.905 | < 0.001 |
2.4 心肺复苏并发症风险的列线图
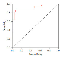
列线图显示,该预测模型C指数为0.932,具有良好的区分度,见图 2。ROC曲线显示,其曲线下面积为0.932,灵敏度为92.31%,特异度为90.91%,见图 3。校正曲线与理想曲线拟合良好,所构建的logistic预测模型与实际观测结果有较好的一致性,见图 4。
|
| 图 2 心肺复苏并发症风险logistic预测模型的列线图 Fig.2 Nomogram for logistic prediction model of cardiopulmonary resuscitation complication risk |
|
| 图 3 logistic预测模型的ROC曲线 Fig.3 ROC curve of logistic prediction model |
|
| 图 4 列线图的校准曲线 Fig.4 Calibration curve of nomogram |
3 讨论
每年我国约有54.4万人发生心脏骤停,与心肺复苏相关的并发症也逐渐引起临床上的重视[5-6]。心肺复苏并发症不仅会给患者带来额外的伤害,还会影响救治的顺利进行[7]。因此,分析心肺复苏并发症的影响因素及预测模型十分必要。
本研究共纳入100例心肺复苏患者,因发生并发症的患者数量较少,为避免造成统计学的偏倚,本研究运用LASSO回归对差异有统计学意义的因素进行初筛,并经logistic回归分析验证,施救者为护士、施救者接受过心肺复苏培训、应用气垫床、应用减压垫、严格控制液体量是心肺复苏并发症的保护因素。当施救者为护士时,因其多接受过心肺复苏培训,能根据心肺复苏要求和标准准确定位和施救,故心肺复苏并发症少见[8-9]。气垫床是一种具有快速放气和充气功能的床垫,垫上标有“CPR”字样的黄色字条,在实施胸外按压时可打开气体阀门,放出胸部气垫内的气体,保证胸外按压的效果,由于在按压时除胸部以外的气垫其他部位仍保持充气状态,有利于减少急性压力性损伤、肺挫伤等并发症的发生。研究[10]显示,胸外按压时气垫床的工作会显著影响按压质量,对气垫床胸部位置放气后,气垫床的弹性能提高心肺复苏安全性。心脏骤停患者在呼吸循环复苏过程中,因机体缺氧、局部组织受到压力及摩擦力作用,加之患者可能存在大小便失禁,易引起压力性损伤、胸部皮肤挫伤,因此在保证标准正确的心肺复苏的前提下,应及时清理可能压迫皮肤的物品以及采用减压垫等,以预防皮肤损伤的发生[11-12]。减压垫是一种透明绝缘塑料垫片,正中连接有起固定作用的胸外按压装置固定架,其上下挡板能指导与限制按压深度,为操作者进行合适深度的胸外按压提供参考,从而有利于减少并发症的发生。
本研究结果显示,发生心肺复苏并发症患者的平均按压深度大于未发生并发症的患者,平均按压深度是心肺复苏并发症的相关危险因素。胸外按压相关参数是影响患者呼吸和脉搏恢复的主要因素[13-14]。有研究[15]指出,胸外按压深度应为4~5 cm;也有研究[16-17]指出,胸外按压深度应为5 cm,且不应超过6 cm,胸外按压越深,发生的并发症越多,与本研究结果一致。另有研究[18]表明,有利于患者最大生存率的胸外按压深度为4~5 cm,峰值为4.6 cm。不同人种间的体型存在差别,以上推荐按压深度均为基于欧美国家的研究,我国成年人体型普遍较欧美人群小,建议根据指南推荐的按压深度进行心肺复苏,在推荐范围内根据患者的体型稍作调整。心肺复苏按压时,肺脏可能受到机械性损伤[19]。有文献[20]显示,复苏后5 h患者肺部影像学检查可见明显的渗出和挫伤。若在抢救患者的危急状态下,快速输入肾上腺素等液体,可增大血容量,升高中心静脉压,加大心脏负荷,加之肺脏缺血再灌注损伤,易诱发肺水肿,加重肺部损伤[21]。因此,在心肺复苏初期应注意液体量,心脏复跳后尽快置管监测中心静脉压,以指导和控制液体输入量,避免加重肺脏负荷,影响患者病情转归。在以上研究的基础上,本研究绘制了预测心肺复苏并发症风险的logistic预测模型列线图,其C指数为0.932,具有良好的区分度,且所构建的logistic预测模型与实际观测结果一致性良好,可作为心肺复苏并发症风险的一种预测方法。
综上所述,本研究结果显示,胸骨骨折、肺挫伤、肋骨骨折等心肺复苏并发症的发生风险与施救者身份、施救者心肺复苏培训、应用气垫床、应用减压垫、按压深度、按压时长、严格控制液体量的情况密切相关,以上发现可为心肺复苏过程中优化操作、减少并发症的发生提供一定的参考。
| [1] |
CHO HJ, JEONG IS, BěLOHLáVEK J. Extracorporeal cardiopulmonary resuscitation for out-of-hospital cardiac arrest and in-hospital cardiac arrest with return of spontaneous circulation: be careful when comparing apples to oranges[J]. Acute Crit Care, 2023, 38(2): 242-243. DOI:10.4266/acc.2023.00731 |
| [2] |
索婷婷, 栗娟, 高凤琪, 等. 社会公众实施心肺复苏的意愿及影响因素分析[J]. 中国医科大学学报, 2022, 51(2): 145-150. DOI:10.12007/j.issn.0258-4646.2022.02.011 |
| [3] |
LEVITT CV, BOONE K, TRAN QK, et al. Application of technology in cardiopulmonary resuscitation, a narrative review [J]. J Clin Med,2023, 12 (23): 7383. DOI:10.3390/jcm12237383 |
| [4] |
中华医学会急诊医学分会复苏学组, 中国医药教育协会急诊专业委员会, 成人心脏骤停后综合征诊断和治疗中国急诊专家共识组. 成人心脏骤停后综合征诊断和治疗中国急诊专家共识[J]. 中华急诊医学杂志, 2021, 30(7): 799-808. DOI:10.3760/cma.j.issn.1671-0282.2021.07.002 |
| [5] |
中国心血管健康与疾病报告编写组. 中国心血管健康与疾病报告2019概要[J]. 中国循环杂志, 2020, 35(9): 833-854. DOI:10.3969/j.issn.1000-3614.2020.09.001 |
| [6] |
ABRAMS D, MACLAREN G, LORUSSO R, et al. Extracorporeal cardiopulmonary resuscitation in adults: evidence and implications[J]. Intensive Care Med, 2022, 48(1): 1-15. DOI:10.1007/s00134-021-06514-y |
| [7] |
ÜMIT TB, SOGUT O, AZ A, et al. Relationship between measures of thoracic diameter and cardiopulmonary resuscitation-induced thoracoabdominal injury[J]. Rev Assoc Med Bras (1992), 2022, 68(10): 1470-1475. DOI:10.1590/1806-9282.20220822 |
| [8] |
LOVE JC, AUSTIN D, GIESE KW, et al. Cardiopulmonary resuscitation induced posterior rib fractures in nontraumatic pediatric deaths[J]. Am J Forensic Med Pathol, 2022, 43(1): 55-59. DOI:10.1097/PAF.0000000000000743 |
| [9] |
CHUN MJ, ZHANG YC, TORAIH EA, et al. Iatrogenic injuries in manual and mechanical cardiopulmonary resuscitation[J]. Am Surg, 2023, 89(5): 1944-1954. DOI:10.1177/00031348211047507 |
| [10] |
邹洋洋, 夏威, 陈立旻, 等. 气垫床对徒手胸外按压质量的影响[J]. 中华急诊医学杂志, 2018, 27(12): 1388-1392. DOI:10.3760/cma.j.issn.1671-0282.2018.12.014 |
| [11] |
赵述傲, 顾容兆, 李浩然, 等. 一种便携式心肺复苏装置的设计与应用[J]. 中华危重病急救医学, 2022, 34(5): 542-544. DOI:10.3760/cma.j.cn121430-20211228-01943 |
| [12] |
PRINS JTH, VAN LIESHOUT EMM, VAN WIJCK SFM, et al. Chest wall injuries due to cardiopulmonary resuscitation and the effect on in-hospital outcomes in survivors of out-of-hospital cardiac arrest[J]. J Trauma Acute Care Surg, 2021, 91(6): 966-975. DOI:10.1097/TA.0000000000003379 |
| [13] |
MANINTVELD OC, ROEST S, TAVERNE YJHJ. Extracorporeal CPR for out-of-hospital cardiac arrest[J]. N Engl J Med, 2023, 388(20): 1913-1914. DOI:10.1056/NEJMc2302405 |
| [14] |
DALTON HJ, BERG RA, NADKARNI VM, et al. Cardiopulmonary resuscitation and rescue therapies[J]. Crit Care Med, 2021, 49(9): 1375-1388. DOI:10.1097/CCM.0000000000005106 |
| [15] |
STRUWE LA, RHONE KB, HAAS D, et al. Comparison of recertification methods on CPR quality[J]. J Contin Educ Nurs, 2022, 53(1): 43-48. DOI:10.3928/00220124-20211210-10 |
| [16] |
肖文艳, 华天凤, 陶干, 等. Pit-Crew心肺复苏模式对胸外按压质量效果的影响[J]. 中华急诊医学杂志, 2022, 31(1): 37-41. DOI:10.3760/cma.j.issn.1671-0282.2022.01.008 |
| [17] |
COGAN ES, THOMAS LMB. Improving CPR quality through high-performance resuscitation team training[J]. Nursing, 2022, 52(9): 57-59. DOI:10.1097/01.NURSE.0000854016.95250.ac |
| [18] |
YOCK-CORRALES A, CAMPOS-MIÑO S, ESCALANTE KANASHIRO R. Latin American consensus on pediatric cardiopulmonary resuscitation. an executive summary from the CPR committee, Latin American Society of Pediatric Intensive Care (SLACIP)[J]. Andes Pediatr, 2021, 92(6): 943-953. DOI:10.32641/andespediatr.v92i6.3818 |
| [19] |
RICHARDSON ASC, TONNA JE, NANJAYYA V, et al. Extracorporeal cardiopulmonary resuscitation in adults. interim guideline consensus statement from the extracorporeal life support organization[J]. ASAIO J, 2021, 67(3): 221-228. DOI:10.1097/MAT.0000000000001344 |
| [20] |
KLUMUSUK P, PIROMPANICH P. Unilateral pulmonary contusion after cardiopulmonary resuscitation complicated by delayed obstructive atelectasis: a case report and review of the literature[J]. Indian J Crit Care Med, 2022, 26(1): 133-135. DOI:10.5005/jp-journals-10071-24082 |
| [21] |
LUTZ J, LEVENBROWN Y, HOSSAIN MJ, et al. Impact of intravenous fluid administration on cardiac output and oxygenation during cardiopulmonary resuscitation[J]. Intensive Care Med Exp, 2023, 11(1): 13. DOI:10.1186/s40635-023-00497-4 |
2025, Vol. 54



