文章信息
- 周江浩, 谢书海, 陈勇
- ZHOU Jianghao, XIE Shuhai, CHEN Yong
- 结直肠癌外泌体诱导肿瘤相关巨噬细胞极化抑制CD8+T细胞抗肿瘤活性
- Colorectal cancer exosomes induce tumor associated macrophage polarization to inhibit the anti-tumor activity of CD8+ T cells
- 中国医科大学学报, 2025, 54(1): 61-68
- Journal of China Medical University, 2025, 54(1): 61-68
-
文章历史
- 收稿日期:2024-01-12
- 网络出版时间:2025-01-09 14:32:57
结直肠癌是常见的胃肠道恶性肿瘤,发病率和死亡率较高。结直肠癌的发病隐匿,多数确诊时已为晚期,患者预后差[1-3]。研究[4-5]表明,肿瘤免疫治疗或可提高结直肠癌的治疗效果。CD8+T细胞在肿瘤免疫中发挥重要的调控作用,活化的CD8+T细胞可以分泌细胞因子、穿孔素(perforin)等毒性物质杀伤肿瘤细胞。肿瘤相关巨噬细胞是肿瘤微环境中的免疫细胞之一,表型与M2型巨噬细胞相似,对CD8+T细胞有抑制作用,能促进肿瘤的免疫逃逸[6-7]。外泌体是肿瘤微环境中的纳米级囊泡,可诱导肿瘤相关巨噬细胞的极化[8]。本研究探讨了结直肠癌外泌体介导的巨噬细胞极化对CD8+T细胞肿瘤杀伤功能的影响,旨在为结直肠癌的免疫治疗提供参考。
1 材料与方法 1.1 材料结肠癌细胞系HT-29和LoVo购自中国科学院上海细胞库,人单核细胞白血病细胞THP-1购自美国ATCC公司,HiScriptⅡU+ One Step qRT-PCR Probe Kit购自南京诺唯赞生物科技有限公司,CD8+T细胞分选试剂盒购自美国Biolegend公司,γ干扰素(interferon-γ,IFN-γ)、perforin、颗粒酶B(granzyme B)ELISA检测试剂盒购自天津安诺瑞康生物技术有限公司,乳酸脱氢酶细胞毒性检测试剂盒和细胞凋亡检测试剂盒购自上海碧云天生物股份技术有限公司,佛波酯(phorbol 12-myristate 13-acetate,PMA)购自上海翊圣生物科技有限公司,TSG101、CD9、CD81和山羊抗兔IgG购自美国Invitrogen公司,CD8-FITC、PD-1-PE抗体购自上海优宁维生物科技股份有限公司,外泌体提取试剂盒购自北京百奥莱博科技有限公司,酶标仪购自美国赛默飞世尔科技有限公司,流式细胞仪购自美国Beckman公司。
1.2 细胞培养与分组HT-29和LoVo细胞培养于含10%胎牛血清(fetal bovine serum,FBS)的RPMI-1640培养基,THP-1细胞培养于含10%FBS和0.05 mmol/L β-巯基乙醇的RPMI 1640培养基。THP-1与100 ng/mL PMA共培养48 h诱导为贴壁的M0型巨噬细胞。
将M0型巨噬细胞分为PBS组、HT-29组、LoVo组、HT-29 exo组、LoVo exo组。PBS组细胞与PBS共孵育48 h。HT-29组和LoVo组处理方式为将1×105个M0型巨噬细胞接种于24孔板,将1×104个HT-29和LoVo细胞分别接种于Transwell小室,将Transwell小室置于24孔板中,孵育48 h后收集24孔板中的巨噬细胞进行后续研究。HT-29 exo组和LoVo exo组M0型巨噬细胞分别与10 μg/mL HT-29 exo和LoVo exo共孵育48 h,收集巨噬细胞。
将CD8+T细胞分为PBS+M0组、HT-29 exo+M0组和LoVo exo+M0组。1×106个M0型巨噬细胞接种于Transwell小室中,分别加入50 μL PBS、HT-29 exo和LoVo exo,Transwell小室置于接种1×106个CD8+T细胞的24孔板中,小室底部浸于下层培养液中,共孵育48 h。
将上述PBS+M0组、HT-29 exo+M0组和LoVo exo+M0组CD8+T细胞与HT-29或LoVo细胞以2:1的比例在96孔板中共孵育24 h。命名为PBS+M0/CD8+T组、HT-29 exo+M0/CD8+T组和LoVo exo+M0/CD8+T组。
1.3 外泌体的提取与鉴定收集HT-29和LoVo细胞培养上清,按照外泌体提取试剂盒说明书提取HT-29和LoVo细胞分泌的外泌体,主要步骤为将细胞上清10 000 r/min离心20 min,收集上清并移入另一离心管,加入1 mL提取液,混匀,4 ℃静置过夜,10 000 r/min离心60 min,收集沉淀即为外泌体。透射电镜观察外泌体结构。Western blotting检测外泌体标志蛋白TSG101、Hsp70和CD81,使用RIPA蛋白裂解试剂盒提取HT-29 exo和LoVo exo蛋白,取10 μg蛋白进行SDS-聚丙烯酰胺凝胶电泳,转膜,封闭,将PVDF膜与TSG101、Hsp70和CD81一抗过夜孵育,洗膜后与山羊抗兔IgG室温孵育1 h,洗膜后,ECL曝光。
1.4 实时定量PCR检测肿瘤相关巨噬细胞标志物用TRIzol提取各组巨噬细胞总RNA,根据HiScript Ⅱ U+ One Step qRT-PCR Probe Kit进行一步法实时定量PCR反应,反应条件为55 ℃ 5 min;95 ℃ 30 s;95 ℃ 5 s,20 ℃ 20 s,循环45次。记录各孔Ct值,采用2-ΔΔCt法计算mRNA相对表达量。PCR引物序列见表 1。
| Gene | Primer sequence |
| CD206 | Forward:5’-CTCTGTTCAGCTATTGGACGC-3’ |
| Reverse:5’-CGGAATTTCTGGGATTCAGCTTC-3’ | |
| Arginase-1 | Forward:5’-ATGTCAATTATAGCACGCAGA-3’ |
| Reverse:5’-CTGCAAAAATTTCTAAGTGA-3’ | |
| IL-10 | Forward:5’-ATATGAATTCGCCACCATGC-3’ |
| Reverse:5’-ATATGGATCCGCTTTTGCTTA-3’ | |
| CD163 | Forward:5’-GGATTGCCCTATGACTGCTCT-3’ |
| Reverse:5’-TTGGACCGAAGATGATGAACTAC-3’ | |
| iNOS | Forward:5’-GGTCGCTTCGACGTGCT-3’ |
| Reverse:5’-TCCCCATTCCCAAATGTG-3’ | |
| IL-1β | Forward:5’-GAAGAAGAGCCCATCCTCTGT-3’ |
| Reverse:5’-TGTTCACGGAGCCTGTAG-3’ | |
| GAPDH | Forward:5’- GCAAGTTCAACGGCACAG-3’ |
| Reverse:5’- GCCAGTAGACTCCACGACA-3’ |
1.5 CCK-8法检测CD8+T细胞增殖能力
取各组CD8+T细胞稀释至5×104/ mL,取100 μL接种于96孔板,分别培养24、48、72 h,取出孔板,加入5 μL CCK-8溶液,混匀后孵育4 h,使用酶标仪检测450 nm波长下各孔光密度(optical density,OD)值。
1.6 流式细胞术检测PD-1表达及细胞凋亡取1×105个PBS+M0组、HT-29 exo+M0组和LoVo exo+M0组CD8+T细胞置于流式管中,每管加入1 μL PD-1-PE抗体,并设置PD-1-PE单染管,室温孵育15 min后,使用流式细胞仪检测各组PD-1表达水平。
取1×105个PBS+M0组、HT-29 exo+M0组和LoVo exo+M0组CD8+T细胞置于流式管中,根据细胞凋亡检测试剂盒,每管细胞分别加入5 μL Annexin-FITC和5 μL PI,并设置Annexin-FITC和PI单染管,室温孵育15 min后,使用流式细胞仪检测各组细胞凋亡水平。
1.7 ELISA检测CD8+T细胞分泌的IFN-γ、perforin和granzyme B水平取PBS+M0/CD8+T组、HT-29 exo+M0/CD8+T组和LoVo exo+M0/CD8+T组细胞培养上清,根据ELISA检测试剂盒在铺有抗体的96孔板中加入40 μL细胞上清和10 μL生物素标记抗体,然后加100 μL辣根过氧化物酶标记抗体37 ℃条件下反应30 min,加入50 μL显色液,混匀后室温避光放置15 min,然后使用酶标仪检测450 nm波长处OD值。
1.8 乳酸脱氢酶细胞毒性实验检测CD8+T细胞抗肿瘤活性将PBS+M0/CD8+T组、HT-29 exo+M0/CD8+T组和LoVo exo+M0/CD8+T组细胞接种至96孔板中共培养18 h,使用乳酸脱氢酶细胞毒性试剂盒检测各孔
OD值,肿瘤细胞裂解率=(ODE+T-ODE-ODT)/(ODEmax-ODE)×100%。ODEmax为HT-29和LoVo全部裂解时的OD值,ODE为HT-29和LoVo单独培养孔的OD值,ODT为CD8+T细胞单独培养孔的OD值,ODE+T为共培养孔的OD值。
1.9 统计学分析采用GraphPad Prism7.0软件进行统计分析,所有数据以x±s表示,组间单因素比较采用t检验分析,多组间比较采用单因素方差分析,P < 0.05为差异有统计学意义。
2 结果 2.1 M0型巨噬细胞和CD8+T细胞鉴定结果实时定量PCR结果(图 1A)显示,相比于THP-1细胞,PMA诱导THP-1后(THP-1+PMA)细胞中巨噬细胞标志物CD68表达显著上调(P < 0.05),并且THP-1细胞诱导为贴壁的M0型细胞,说明M0型巨噬细胞诱导成功。流式细胞术鉴定结果(图 1B)显示,本研究分选的CD8+T细胞表达水平达97%,说明CD8+T细胞分选成功,可用于后续研究。
|
| A, real-time quantitative PCR was performed to detect the relative CD68 mRNA expression level; B, identification of CD8+ T cells using flow cytometry. *P < 0.05 vs. THP-1. 图 1 M0型巨噬细胞和CD8+T细胞鉴定结果 Fig.1 Identification results of M0 macrophages and CD8+ T cells |
2.2 结直肠癌细胞对M2型巨噬细胞极化的影响
实时定量PCR结果显示,相比于PBS组,HT-29组和LoVo组巨噬细胞中CD206、Arginase-1、IL-10、CD163 mRNA表达显著上调(P < 0.05),iNOS和IL-1β mRNA表达无显著变化。说明结直肠癌细胞可诱导M2型巨噬细胞极化,见图 2。
|
| A, CD206 mRNA expression; B, Arginase-1 mRNA expression; C, IL-10 mRNA expression; D, CD163 mRNA expression; E, iNOS mRNA expression; F, IL-1β mRNA expression. *P < 0.05 vs. PBS group. 图 2 各组巨噬细胞CD206、Arginase-1、IL-10、CD163、iNOS和IL-1β mRNA相对表达量比较 Fig.2 Comparison of relative CD206, Arginase-1, IL-10, CD163, iNOS, and IL-1β mRNA expression levels in macrophages from the different groups |
2.3 结直肠癌外泌体鉴定结果
透射电镜结果显示,HT-29 exo和LoVo exo双层膜结构粒径约100 nm,并且表达标志蛋白TSG101、Hsp70和CD81,见图 3。
|
| 图 3 Western blotting检测外泌体标志蛋白结果 Fig.3 Exosome marker proteins were detected using Western blotting |
2.4 结直肠癌细胞分泌外泌体对M2型巨噬细胞极化的影响
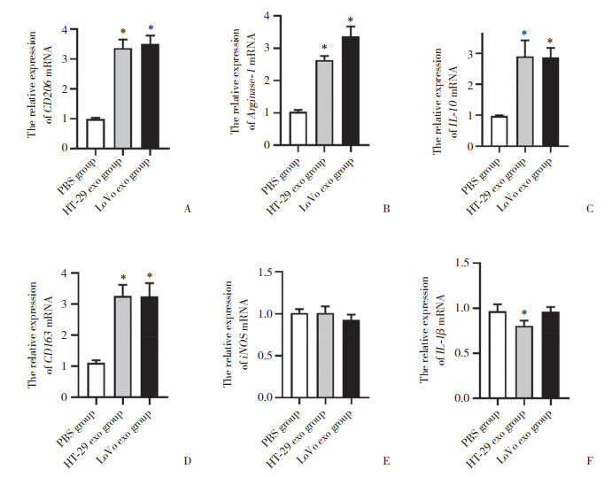
实时定量PCR结果显示,相比于PBS组,HT-29 exo组LoVo exo组中CD206、Arginase-1、IL-10、CD163 mRNA表达显著上调(P < 0.05),iNOS表达无显著变化,HT-29 exo组IL-1β mRNA表达显著下调(P < 0.05),即HT-29 exo和LoVo exo可促进M2型巨噬细胞极化,见图 4。
|
| A, CD206 mRNA expression; B, Arginase-1 mRNA expression; C, IL-10 mRNA expression; D, CD163 mRNA expression; E, iNOS mRNA expression; F, IL-1β mRNA expression. *P < 0.05 vs. PBS group. 图 4 各组巨噬细胞CD206、Arginase-1、IL-10、CD163、iNOS和IL-1β mRNA相对表达量比较 Fig.4 Comparison of relative CD206, Arginase-1, IL-10, CD163, iNOS, and IL-1β mRNA expression levels in macrophages from the different groups |
2.5 结直肠癌细胞外泌体诱导的M2型巨噬细胞对CD8+T细胞增殖、凋亡及耗竭的影响
细胞增殖检测结果显示,与PBS+M0组CD8+T细胞相比,HT-29 exo+M0组和LoVo exo+M0组CD8+T细胞增殖能力显著降低(P < 0.05),说明HT-29 exo和LoVo exo诱导的M2型巨噬细胞可以抑制CD8+T细胞增殖。细胞凋亡检测结果显示,与PBS+M0组CD8+T细胞相比,HT-29 exo+M0组和LoVo exo+M0组CD8+T细胞凋亡能力显著增加(P < 0.05)。流式细胞术检测结果显示,与PBS+M0组CD8+T细胞相比,HT-29 exo+M0组和LoVo exo+M0组CD8+T细胞PD-1表达显著上调(P < 0.05),说明HT-29 exo和LoVo exo诱导的M2型巨噬细胞可促进CD8+T细胞耗竭,见图 5。
|
| A, comparison of CD8+ T cell proliferation ability; B, comparison of CD8+ T cell apoptosis levels; C, comparison of PD-1 expression levels in CD8+ T cells. * P < 0.05 vs. PBS+M0 group. 图 5 各组CD8+T细胞增殖、凋亡和耗竭水平比较 Fig.5 Comparison of CD8+ T cell proliferation, apoptosis, and depletion levels |
2.6 结直肠癌细胞外泌体诱导的M2型巨噬细胞对CD8+T细胞IFN-γ、perforin、granzyme B分泌的影响
ELISA检测结果显示,与HT-29和LoVo细胞共孵育后,相比于PBS+M0/CD8+T组,HT-29 exo+M0/CD8+T组和LoVo exo+M0/CD8+T组细胞培养上清中IFN-γ、perforin、granzyme B浓度显著降低(P均 < 0.05),提示HT-29 exo和LoVo exo诱导的巨噬细胞能够抑制CD8+T细胞分泌IFN-γ、perforin、granzyme B,见图 6。
|
| A, after incubation with HT29 cells, IFN-γ, perforin, and granzyme B levels secreted by CD8+ T cells in each group; B, after incubation with LoVo cells, IFN-γ, perforin, and granzyme B secreted by CD8+ T cells in each group. *P < 0.05 vs. PBS+M0/CD8+T group. 图 6 各组CD8+T细胞分泌的IFN-γ、perforin、granzyme B的水平比较 Fig.6 IFN -γ, perforin, and granzyme B secreted by CD8+ T cells in each group |
2.7 结直肠癌细胞外泌体诱导的M2型巨噬细胞对CD8+T细胞肿瘤杀伤的影响
细胞毒性检测结果显示,相比于PBS+M0/CD8+T组,HT-29 exo+M0/CD8+T组和LoVo exo+M0/CD8+T组HT-29和LoVo细胞裂解率均显著降低(P < 0.05),说明HT-29 exo和LoVo exo诱导的巨噬细胞可抑制CD8+T细胞杀伤肿瘤细胞的活性,见图 7。
|
| A, comparison of HT-29 cell lysis rate; B, comparison of LoVo cell lysis rate. *P < 0.05 vs. PBS+M0/CD8+T group. 图 7 各组CD8+T细胞杀伤HT-29和LoVo细胞比较 Fig.7 Comparison of CD8+ T cell cytotoxicity against HT-29 and LoVo cells from the different groups |
3 讨论
外泌体是肿瘤微环境中的纳米级囊泡,肿瘤细胞可以通过分泌外泌体调控肿瘤微环境中的多种免疫细胞的功能及表型[9]。肿瘤微环境中浸润的淋巴细胞、巨噬细胞、中性粒细胞等免疫细胞共同维持肿瘤免疫微环境。其中,肿瘤相关巨噬细胞是肿瘤微环境中富集的一类免疫细胞,研究[10-12]表明,肿瘤相关巨噬细胞与M2型巨噬细胞表型及功能相似,在体外研究中可用M2型巨噬细胞替代肿瘤相关巨噬细胞。外泌体可诱导肿瘤微环境中的巨噬细胞向M2型极化。XIN等[13]研究表明,胃癌细胞外泌体可通过转移lncRNA HCG18促进巨噬细胞向M2型极化。RAO等[14]研究指出,小细胞肺癌外泌体可诱导M2型巨噬细胞极化,从而促进肿瘤的转移。本研究将结直肠癌HT-29和LoVo细胞与M0型巨噬细胞共孵育,发现孵育后M2型巨噬细胞标志物CD206、Arginase-1、IL-10、CD163表达显著上调,M1型巨噬细胞标志物iNOS和IL-1β无显著变化,说明结直肠癌细胞可诱导M2型巨噬细胞极化。本研究提取了HT-29和LoVo细胞分泌的外泌体,与M0型巨噬细胞共孵育后,CD206、Arginase-1、IL-10、CD163表达显著上调,说明HT-29 exo和LoVo exo可诱导M2型巨噬细胞极化。ZHAO等[15]研究表明,结直肠癌外泌体miR-934可诱导M2型巨噬细胞极化从而促进肿瘤转移。
肿瘤相关巨噬细胞功能与表型与M2型巨噬细胞相似,可通过分泌IL-10和Arginase-1等细胞因子抑制肿瘤微环境中的炎症反应,进而调控肿瘤的免疫逃逸[16]。肿瘤相关巨噬细胞可调控T细胞的功能及表型。GARRIDO-MARTIN等[17]发现M1表型的肿瘤相关巨噬细胞可促进肺癌组织中剂型性T细胞的浸润;NIXON等[18]研究表明,表达转录因子IRF8的肿瘤相关巨噬细胞可促进T细胞耗竭;FANG等[19]研究发现,表达PD-L1的肿瘤相关巨噬细胞可促进CD8+T细胞的耗竭。本研究发现HT-29 exo和LoVo exo所诱导的巨噬细胞与CD8+T细胞共孵育后,CD8+T细胞增殖能力显著降低,细胞凋亡水平显著增加,CD8+T细胞PD-1表达显著上调,说明结直肠癌细胞HT-29和LoVo外泌体所诱导的M2型巨噬细胞可抑制CD8+T细胞的活性,诱导CD8+T的耗竭。CHEN等[20]研究表明,肝癌外泌体可通过调控肿瘤相关巨噬细胞极化促进CD8+T的免疫抑制。激活的CD8+T细胞可通过分泌IFN-γ、perforin、granzyme B而杀伤肿瘤细胞,本研究结果显示,HT-29 exo和LoVo exo诱导的M2型巨噬细胞可以抑制CD8+T细胞分泌IFN-γ、perforin、granzyme B的能力,并且CD8+T细胞杀伤HT-29和LoVo的能力显著下降,说明外泌体诱导的M2型巨噬细胞可抑制CD8+T细胞的抗肿瘤活性。
综上所述,结直肠癌细胞分泌的外泌体可诱导M2型巨噬细胞极化,外泌体诱导的M2型巨噬细胞可抑制CD8+T细胞的活性及抗肿瘤活性,并且诱导CD8+T细胞的耗竭,但是抑制外泌体诱导的M2型巨噬细胞是否可作为肿瘤免疫治疗的新靶点还需要进一步验证。
| [1] |
SHIN AE, GIANCOTTI FG, RUSTGI AK. Metastatic colorectal cancer: mechanisms and emerging therapeutics[J]. Trends Pharmacol Sci, 2023, 44(4): 222-236. DOI:10.1016/j.tips.2023.01.003 |
| [2] |
CERVANTES A, ADAM R, ROSELLÓ S, et al. Metastatic colorectal cancer: esmo clinical practice guideline for diagnosis, treatment and follow-up[J]. Ann Oncol, 2023, 34(1): 10-32. DOI:10.1016/j.annonc.2022.10.003 |
| [3] |
YAN H, TALTY R, JOHNSON CH. Targeting ferroptosis to treat colorectal cancer[J]. Trends Cell Biol, 2023, 33(3): 185-188. DOI:10.1016/j.tcb.2022.11.003 |
| [4] |
TOOLEY KA, ESCOBAR G, ANDERSON AC. Spatial determinants of CD8+ T cell differentiation in cancer[J]. Trends Cancer, 2022, 8(8): 642-654. DOI:10.1016/j.trecan.2022.04.003 |
| [5] |
WHELAN S, OPHIR E, KOTTURI MF, et al. PVRIG and PVRL2 are induced in cancer and inhibit CD8+ T-cell function[J]. Cancer Immunol Res, 2019, 7(2): 257-268. DOI:10.1158/2326-6066.CIR-18-0442 |
| [6] |
PHILIP M, SCHIETINGER A. CD8+ T cell differentiation and dysfunction in cancer[J]. Nat Rev Immunol, 2022, 22(4): 209-223. DOI:10.1038/s41577-021-00574-3 |
| [7] |
REINA-CAMPOS M, SCHARPING NE, GOLDRATH AW. CD8+ T cell metabolism in infection and cancer[J]. Nat Rev Immunol, 2021, 21(11): 718-738. DOI:10.1038/s41577-021-00537-8 |
| [8] |
BAIG MS, ROY A, RAJPOOT S, et al. Tumor-derived exosomes in the regulation of macrophage polarization[J]. Inflamm Res, 2020, 69(5): 435-451. DOI:10.1007/s00011-020-01318-0 |
| [9] |
XIE QH, ZHENG JQ, DING JY, et al. Exosome-mediated immunosuppression in tumor microenvironments[J]. Cells, 2022, 11(12): 1946. DOI:10.3390/cells11121946 |
| [10] |
LIU Q, YANG CG, WANG SY, et al. Wnt5a-induced M2 polarization of tumor-associated macrophages via IL-10 promotes colorectal cancer progression[J]. Cell Commun Signal, 2020, 18(1): 51. DOI:10.1186/s12964-020-00557-2 |
| [11] |
WEI YT, WANG XR, YAN CG, et al. Thymosin α-1 reverses M2 polarization of tumor-associated macrophages during efferocytosis[J]. Cancer Res, 2022, 82(10): 1991-2002. DOI:10.1158/0008-5472.CAN-21-4260 |
| [12] |
ZHANG AK, XU YZ, XU HS, et al. Lactate-induced M2 polarization of tumor-associated macrophages promotes the invasion of pituitary adenoma by secreting CCL17[J]. Theranostics, 2021, 11(8): 3839-3852. DOI:10.7150/thno.53749 |
| [13] |
XIN L, WU Y, LIU C, et al. Exosome-mediated transfer of lnc-RNA HCG18 promotes M2 macrophage polarization in gastric cancer[J]. Mol Immunol, 2021, 140: 196-205. DOI:10.1016/j.molimm.2021.10.011 |
| [14] |
RAO XR, ZHOU XS, WANG G, et al. NLRP6 is required for cancerderived exosome-modified macrophage M2 polarization and promotes metastasis in small cell lung cancer[J]. Cell Death Dis, 2022, 13(10): 891. DOI:10.1038/s41419-022-05336-0 |
| [15] |
ZHAO SL, MI YS, GUAN BJ, et al. Tumor-derived exosomal miR-934 induces macrophage M2 polarization to promote liver metastasis of colorectal cancer[J]. J Hematol Oncol, 2020, 13(1): 156. DOI:10.1186/s13045-020-00991-2 |
| [16] |
XU ZJ, CHEN Y, MA L, et al. Role of exosomal non-coding RNAs from tumor cells and tumor-associated macrophages in the tumor microenvironment[J]. Mol Ther, 2022, 30(10): 3133-3154. DOI:10.1016/j.ymthe.2022.01.046 |
| [17] |
GARRIDO-MARTIN EM, MELLOWS TWP, CLARKE J, et al. M1hot tumor-associated macrophages boost tissue-resident memory T cells infiltration and survival in human lung cancer[J]. J Immunother Cancer, 2020, 8(2): e000778. DOI:10.1136/jitc-2020-000778 |
| [18] |
NIXON BG, KUO FS, JI LL, et al. Tumor-associated macrophages expressing the transcription factor IRF8 promote T cell exhaustion in cancer[J]. Immunity, 2022, 55(11): 2044-2058.e5. DOI:10.1016/j.immuni.2022.10.002 |
| [19] |
FANG WL, ZHOU T, SHI H, et al. Progranulin induces immune escape in breast cancer via up-regulating PD-L1 expression on tumorassociated macrophages (TAMs) and promoting CD8+ T cell exclusion[J]. J Exp Clin Cancer Res, 2021, 40(1): 4. DOI:10.1186/s13046-020-01786-6 |
| [20] |
CHEN JH, LIN ZF, LIU L, et al. GOLM1 exacerbates CD8+ T cell suppression in hepatocellular carcinoma by promoting exosomal PD-L1 transport into tumor-associated macrophages[J]. Signal Transduct Target Ther, 2021, 6(1): 397. DOI:10.1038/s41392-021-00784-0 |
2025, Vol. 54



