2. 中国海洋大学海底科学与探测技术教育部重点实验室,山东 青岛 266100
黄海是一个半封闭式的陆架浅海[1],是世界上悬浮泥沙含量最高的海域之一,每年有大量来自中国和朝鲜半岛河流携带的陆源泥沙汇入黄海[2]。山东半岛东部海域位于南、北黄海的交界区域,水动力作用较为强烈,悬浮泥沙含量高,是现代黄河沉积物向外海扩散的重要通道[3]。该海域既是陆源沉积物的汇,也是外海沉积物的源[4],并且海域内沉积有记录环境变化信息的泥质体,因而引起了国内外学者的广泛关注。
泥质体主要发育在大陆架边缘,不仅记录着不同历史时期的海侵海退和气候变化[5]等信息,同时也记录了人类活动的信号[6]。二十世纪八十年代发现在山东半岛东部海区存在一向海延伸的泥质楔[7],山东半岛泥质楔保存着全新世以来黄河泥沙及入海口的变化,也保存了山东半岛东部海域的海流、气候、环境变化等信息[8]。根据高分辨率浅地层剖面资料[9-10]、同位素测年[9, 11-12]、矿物和地球化学分析[13-14]等多种分析手段,认为泥楔形成于11.6~4 kaBP[8-10],其表层沉积速率为6~12 mm/a[15]。
黄河入海泥沙大部分在山东半岛水下三角洲区域沉积,剩余约有1%~30%的黄河泥沙通过渤海海峡向北黄海输运,而这其中有一部分的泥沙沉积在山东半岛北岸,其余的泥沙受沿岸流的影响绕过成山头进入山东半岛泥质区,最终可输运至黄海海域[10, 15-18]。泥沙在渤黄海的扩散和沉积具有明显的季节性变化[19],泥沙多在夏季沉积入海,而冬季是泥沙向深海输运的主要季节,由于受冬季强东北风的影响,山东半岛沿岸流增强、温跃层消失[20],沿岸流会携带大量泥沙沿岸向外海输运,整个海域沉积物输运体系呈现典型的“夏储冬输”特征[21];但由于山东半岛沿岸流和黄海暖流形成的近岸强海流切变锋的阻碍,可抑制悬浮泥沙运移至山东半岛东部陆架末梢,有利于山东半岛Ω状泥质沉积体的形成[22]。
众多学者采用大面站观测、遥感反演和数值模拟等方法,研究了山东半岛东部海域悬浮泥沙输运特征,但该区域多站位同步连续潮周期定点观测的研究成果较少,而且利用通量机制分解方法进行本海域悬浮泥沙输运动力机制的研究也很少。本文将在前人研究的基础上,根据4个站位25 h海流、悬沙同步观测和取样分析,运用通量机制分解方法,研究山东半岛东部海域冬季悬浮泥沙浓度时空变化特征,探讨山东半岛东部海域冬季悬浮泥沙的输运机制。
1 研究区概况研究区位于山东半岛东部海域地处中纬度,属于温带季风气候,冬季主要是受山东半岛沿岸流、黄海暖流的影响[23]。该区域位于南黄海与北黄海过渡区域,水深在20~40 m之间,海底凹凸不平,研究站位西侧与山东半岛之间有一道近NW向较深的海底冲刷潮槽,发育一环绕山东半岛的反C形楔状泥质沉积体[8],整体呈现中间厚、向海和陆减薄的Ω形状[10],最大厚度可达40 m,约在123°10′E处尖灭[24],最远可以延伸至80 m等深线处[25]。
2 资料与方法 2.1 资料来源2015年12月12~13日,中国海洋大学在山东半岛东部海域泥质区进行了4个站位的大潮期25 h同步连续海流观测和悬浮泥沙取样,观测站位见图 1。
|
(泥质沉积体根据文献[10]改绘。the mud area is modified from[10]. ) 图 1 研究区位置及调查站位 Fig. 1 Location of studyarea and survey station |
采用声学多普勒流速剖面仪(ADCP,600 KHz,美国)及直读式电磁海流计(JFE AEM213-D,日本)观测各层海流的流向和流速数据;采用CTD(美国TRDI公司CTD-NV型CTD)获取剖面温度、盐度数据,每隔1 h采集一组剖面数据;利用采水器现场同步采集水样;采用蚌式抓斗获取底质样品;流速、流向和悬浮泥沙按表层、中层、底层三层进行数据处理分析。表层沉积物及悬浮泥沙粒度采用Mastersizer 2 000激光粒度仪测定,分析范围为0.02~2 000 μm,样品重复测量相对误差小于3%。悬浮泥沙浓度采用抽滤实验测定,测量准确度约2%,详细步骤如下:
(1) 将双层微孔滤膜(直径为47 mm,孔径为45 μm)在40 ℃条件下烘干至恒重后,在10-4 g/g分析天平上称滤膜重量,并将其置于已编号的空滤膜盒中。
(2) 将取得的水样经过滤膜抽滤,抽干后记录过滤海水体积,用去离子水冲洗滤膜2次。
(3) 将带有悬浮泥沙样品滤膜烘干至恒重,并称量样品和滤膜总重量。
(4) 将20%的样品加空白校正膜平行进行空白校正。
2.2 计算方法 2.2.1 再悬浮、沉降通量研究区4个站位悬浮泥沙粒度粒径全部小于0.062 5 mm(4Φ),属于粘性泥沙,故再悬浮通量计算采用Partheniades[26]提出的公式,沉降通量采用Krone[27]提出的公式:
| $\frac{{{\rm{d}}{\mathit{M}_\mathit{E}}}}{{{\rm{d}}t}} = E\left( {\frac{{{\tau _0}}}{{{\tau _{cr}}}} - 1} \right), $ | (1) |
| $\frac{{{\rm{d}}{\mathit{M}_D}}}{{{\rm{d}}\mathit{t}}} = {C_b}{W_s}\left( {1 - \frac{{{\tau _0}}}{{{\tau _{cr}}}}} \right)。$ | (2) |
式中:E是再悬浮常数;τ0为底切应力;τcr为临界切应力;cb为近底部悬浮泥沙浓度;ws为悬浮泥沙的沉降速度。
2.2.2 理查森数在分层的海洋中,理查森数(Rig)用来判断动能和密度层化的相对重要性:
| $R{\mathit{i}_g} = {N^2}/{M^2}, $ | (3) |
| ${N^2} = - \left( {\mathit{g/\rho }} \right)\left( {{\rm{d}}\mathit{\rho /}{\rm{d}}\mathit{z}} \right)。$ | (4) |
其中N2为浮力频率,反映了密度层化时,流体质点由于浮力而产生垂直振荡的频率。Rig < 0.25时,流体质点的速度的作用大于密度层化的抑制,流体会出现剪切不稳定,海洋中产生湍流;Rig>0.25时,水体层化现象明显。
2.2.3 通量机制分解根据Dyer[28]的物质通量计算方法将悬浮泥沙通量分解为多个动力项,从而探讨各动力项所对应的主要动力因子对研究区悬浮泥沙输运的相对贡献大小。瞬时流速可以分解为垂向平均量及其偏差量,和又可分解为潮平均量和潮偏差量,则;同样含沙量c可以分解为;水深可表示为h=h0+ht,则潮周期Tt平均瞬时单宽悬浮泥沙输移通量T的计算式为:
| $\begin{array}{l} T = \frac{1}{T}\int\limits_0^{{T_t}} {\int\limits_0^h {uc\;\;{\rm{d}}{\mathit{z}_0}{\rm{d}}\mathit{t}} } = \frac{1}{T}\int\limits_0^{{T_t}} {\int\limits_0^1 {uch\;\;{\rm{d}}\mathit{z}{\rm{d}}\mathit{t}} } = \\ {h_0}\overline {{u_0}} \overline {{c_0}} + \left\langle {{h_t}\overline {{u_t}} } \right\rangle \overline {{c_0}} + \left\langle {{h_t}\overline {{c_t}} } \right\rangle \overline {{u_0}} + \left\langle {{h_t}\overline {{u_t}} \overline {{c_t}} } \right\rangle + \\ {h_0}\overline {u{\mathit{'}_0}c{\mathit{'}_0}} + \left\langle {{h_t}u{\mathit{'}_0}c{\mathit{'}_t}} \right\rangle + \left\langle {{h_t}u{\mathit{'}_t}c{\mathit{'}_0}} \right\rangle + \left\langle {{h_t}u{\mathit{'}_t}c{\mathit{'}_t}} \right\rangle = \\ \left( {{T_1}} \right) + \left( {{T_2}} \right) + \left( {{T_3}} \right) + \left( {{T_4}} \right) + \left( {{T_5}} \right) + \\ {\rm{\;\;\;\;\;\;\;\;\;\;}}\left( {{T_6}} \right) + \left( {{T_7}} \right) + \left( {{T_8}} \right)。\end{array} $ | (5) |
式中:T1为欧拉余流引起的悬浮泥沙输运;T2为斯托克斯漂移输运量,T1+T2为拉格朗日平流输运贡献项;T3为潮汐与悬浮泥沙浓度的潮变化相关项;T4为悬浮泥沙与潮流场变化相关项,T3、T4是一个潮周期内涨落潮引起的水体和底部泥沙双向交换而产生的泥沙输运,称为潮泵效应;T5为垂向流速变化和悬浮泥沙浓度变化的相关项,垂向上净环流产生的贡献;T6,T7为时均量和潮汐震动引起的剪切扩散;T8为垂向潮振荡引起的剪切扩散。
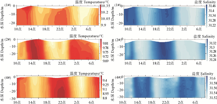
3 结果 3.1 温度、盐度特征根据温度、盐度调查结果,绘制1、2、4号站位温度、盐度垂向变化图(见图 2)和时间序列剖面图(见图 3)。
|
图 2 1、2、4号站位温度、盐度垂向变化图 Fig. 2 Vertical profiles of temperature and salinity at station 1, 2 and 4 |
|
图 3 1、2、4号站位温度、盐度时间序列剖面 Fig. 3 Time series profile of temperature and salinity at station 1, 2 and 4 |
研究区3个站位温度、盐度垂向变化较小,混合较为均匀,水平梯度也较小,温度变化范围在8.78~10.30 ℃之间,盐度变化范围在31.21~31.60之间,整体呈低温低盐特征,主要受低温低盐的山东半岛沿岸流影响。
一个潮周期内,温度、盐度变化量较小且呈明显的周期性变化规律。1、2号站位涨潮时温度升高、盐度减小,落潮时温度降低、盐度增大;4号站变化规律正好相反,涨潮时温度降低、盐度增大,落潮时温度升高、盐度减小。
3.2 海流特征海流调和分析表明,研究区潮流性质为正规半日潮,涨潮流速略大于落潮流速(见图 4);潮流运动形式以往复流为主,表、中、底层流向基本一致(见图 5),涨落潮方向随山东半岛沿岸走向变化而变化,1号站流向主要为WSW~ENE向,2、3号站主流向为SSW~NNE向,山东半岛北部东向海流流经成山头时,由于惯性作用,4号站表层海流流向呈SSE向。
|
图 4 各观测站位海流流速、悬浮泥沙浓度时间序列剖面 Fig. 4 Time series profile of current velocity and suspended sediment concentration at observed stations |
|
图 5 各观测站位表层(a)、中层(b)、底层(c)实测海流矢量图 Fig. 5 Current vectorgraph at surface (a), middle (b) and bottom layer(c) |
涨落潮最大流速及平均流速波动范围较大,涨潮流时,研究区各站位潮流最大流速介于40.67~106.00 cm/s之间(见表 1);落潮流时,最大流速介于42.67~83.33 cm/s之间。总体上,离岸最近的2号站流速最大,距岸最远的3号站流速整体较小;垂向上,各站位表层最大流速和平均流速均大于底层,流速自表层至底层逐渐减小。
|
|
表 1 各站位海流观测结果统计一览表 Table 1 Statistical table of sea current at observed stations |
研究区涨潮段悬浮泥沙浓度基本大于落潮段,但两者相差并不大。涨潮段含沙量介于15.4~64.8 mg/L之间(见表 2),落潮段含沙量介于11.6~88.0 mg/L之间。平面上,悬浮泥沙浓度规律与流速相似,流速最大的2号站悬沙浓度也相对最大,3号站仍最小。垂向上,除1号站落潮段外,各站位平均含沙量自表层向底层递增,并且3号站和4号站垂向浓度变化较小,混合较好。
|
|
表 2 各站位悬浮泥沙浓度统计结果一览表 Table 2 Statistical table of suspended sediment concentration at observed stations |
研究区海域潮周期内涨、落潮悬沙浓度大小变化过程非常复杂,悬沙浓度变化与流速的变化存在一定的相关性,含沙量对流速响应较好,流速高值区对应着悬浮泥沙浓度的峰值,但有轻微的滞后现象(见图 4)。
3.4 悬浮泥沙及海底表层沉积物粒度特征根据谢帕德分类方法,研究区各站位、各层悬浮泥沙类型均为粘土质粉砂(见表 3),粉砂、粘土含量高,平均值介于91.58%~97.77%之间;砂含量相对较低,平均值介于2.03%~8.42%之间。悬浮泥沙粒径较小,平均粒径介于6.66~6.87 Ф之间,各站位粒径相差不大,相对来说,3号站粒径较小,4号站位粒径最大;分选系数介于1.60~1.99之间,分选较差;偏态介于-1.51~1.10之间,从极负偏到正偏;峰态介于2.06~2.86之间,呈宽平分布。
|
|
表 3 各站位泥沙粒度参数统计结果一览表 Table 3 Grain size parameters of sediments at observed stations |
4个站位海底表层沉积物粉砂含量最高,平均值介于65.65%~70.81%之间;1、2号站为砂质粉砂,3、4号站为粘土质粉砂。平均粒径较悬浮泥沙要大,介于5.81~6.30之间,3号站粒径仍最小,2号站粒径最大;分选系数介于2.23~2.31之间,分选差;偏态介于2.56~2.65之间,极正偏;峰态介于3.40~3.51之间,呈很宽峰态。
3.5 余流特征余流是指从实测海流中分离出周期性潮流后所余下的非周期的流。通过准调和分析得到的欧拉余流,其表征经过同一点流体微团的平均速度;斯托克斯漂流表示的是水体的净漂移量;拉格朗日余流则是欧拉余流与斯托克斯漂流之和,描述了水体中悬浮物潮周期的净输移速度,能较好指示悬浮泥沙的输运。各站位欧拉余流、斯托克斯漂流及拉格朗日余流的计算结果见表 4。
|
|
表 4 各站位余流 Table 4 Residual currents for stations at study area |
欧拉余流在拉格朗日余流中占主导地位。2、3、4号站拉格朗日余流数值相近,并且三个站位的斯托克斯漂流较弱,欧拉余流与拉格朗日余流相差较小;1号站斯托克斯漂流是4个站位中最强的,对拉格朗日余流影响相对较大,但其欧拉余流较其他三个站位小得多,故1号站拉格朗日余流最弱。
4 讨论 4.1 悬浮泥沙垂向运移特征 4.1.1 悬浮泥沙和表层沉积物的交换涨停、落停时悬浮泥沙粒径较小(见图 6),但涨急、落急时粒径相对较大,频率曲线向粗颗粒方向(φ值减小)偏移,表层沉积物平均粒径较悬浮泥沙要大,说明涨急、落急时刻有底部颗粒沉积物加入水体,发生了再悬浮。
|
图 6 各观测站位涨急、落急时悬浮泥沙和表层沉积物粒度频率曲线图 Fig. 6 The grain size frequency curve of surface sediments and suspended sediment during maximum flood andebbat observed stations |
将实测沉积物粒度、近底悬浮泥沙浓度、流速数据带入式(1)、(2)计算表明,潮周期内各站位再悬浮通量、沉降通量值较小(见图 7),但再悬浮通量略大于沉降通量,且再悬浮通量变化与潮流流速有关。研究区海底表层沉积物主要为粘土质粉砂和粉砂,颗粒较细,在研究区较强水动力作用下,泥沙较易起动,流速增大,再悬浮通量随之增大,反之,再悬浮通量逐渐减小;当流速降至最低时,因底部切应力小于临界值,悬浮泥沙发生沉降。其中,2号站虽表层沉积物粒度最粗,但其流速最大,近底剪切应力最大使得再悬浮通量值较高;而1号站表层沉积物粒度较粗,流速较小,因而再悬浮通量值最小、沉降通量值最大。
|
图 7 潮周期内各观测站位再悬浮通量、沉积通量与流速的变化 Fig. 7 The variation between resuspension, settling flux and velocity in the tidal cycle at observed stations |
悬浮泥沙和底沙的交换直接影响底层悬浮泥沙浓度的变化,进而影响研究区含沙量的变化。但是再悬浮通量峰值与含沙量浓度峰(见图 4)并不完全一致,说明研究区悬浮泥沙浓度不仅会受到再悬浮的影响,在再悬浮通量峰值发生后,还受平流输沙等其他因素影响,悬浮泥沙浓度仍会继续升高。
4.1.2 悬浮泥沙的垂向混合研究区海域悬浮泥沙受湍流作用垂向混合剧烈,只有个别时段理查森数(Rig)略大于0.25,水体有轻微的层化现象(见图 8)。1、2号站Rig略高于3、4号站位,但研究区4个站位Rig大多都小于0.25,基本无层化现象,水体中悬浮泥沙在强湍流混合作用下扩散到整个水柱中,并且研究区4个站位表、中、底各层悬浮泥沙粒径相差较小(见表 3),底层和表层的平均粒径平均仅差0.08 Ф,表底悬浮泥沙混合均匀;只在1号站19点、2号站18点,Rig大于0.25,此时水体处于层化状态,湍流被抑制,悬浮泥沙的垂向混合减弱,致使底层再悬浮的泥沙无法进入上层水体,底层含沙量明显大于中、上层(见图 4)。
|
图 8 各站位理查森数 Fig. 8 Time series profile of Richardson number(Rig)at observed stations |
根据悬浮泥沙输运通量机制分解结果(见表 5),拉格朗日平流输移项(T1+T2)占据主导地位,其次为垂向净环流(T5)和潮泵效应(T3+T4),剪切扩散项(T6+T7+T8)数值极小。拉格朗日平流输移项(T1+T2)不仅取决于拉格朗日余流的大小,还与悬浮泥沙浓度有关,1号站余流最小、3号站悬浮泥沙浓度最小,故1、3号站T1+T2较小。四个站位欧拉余流输运项(T1)对净输沙的贡献最大;2、3、4号斯托克斯余流输运量(T2)较T1小得多,对整体悬浮泥沙输运影响较小,而1号站斯托克斯余流相对较大,对平流输运及整体净输沙影响较大;T3+T4主要取决于泥沙再悬浮和沉降作用,T3、T4、T5对悬浮泥沙输运也有影响,但是数值都不大,影响十分小;T6+T7+T8贡献极小,对研究区整体悬浮泥沙输运几乎无影响。
|
|
表 5 研究区各站位悬浮泥沙输运通量机制分解 Table 5 Mechanism decomposition of suspended sediment flux at observed stations |
根据上述计算可知,研究区涨落潮水体的平流输运对泥沙运移起主要作用,而再悬浮、垂向交换是相对次要的。这说明研究区涨落潮流虽然会携带搬运大量悬浮泥沙,但其中大部分泥沙只是随潮流作用往复搬运,并未产生净输运;泥沙再悬浮、沉降与湍流也都会引起研究区悬浮泥沙浓度变化,但对悬浮泥沙净输运的影响较小。而余流是非周期性的,可以携带泥沙进行长距离搬运,研究区4个站位净输沙方向与拉格朗日余流方向(见图 9)大致相同,平流输运才是影响研究区海域悬浮泥沙运移的最主要因素。
|
图 9 研究区各站位悬浮泥沙输运通量与余流矢量叠置图 Fig. 9 Suspended sediment flux and residual current at observed stations |
悬浮泥沙净输运主要向泥质沉积体中心或沿岸输运。北侧4号站悬浮泥沙主要向东南方向输运(见图 9),3号站向正南方向运向泥质沉积体的中心(见图 1),西侧2号站和南侧1号站分别沿岸向西南和西北方向输沙。3号站与2、4号站的悬浮泥沙输运通量值差距大,而2、3、4号站余流大小相差较小,这是因为3号站的悬浮泥沙浓度明显小于2、4号站。3号站位于泥质沉积体顶积层之上,顶积层附近海域存在温度锋面[29](见图 10),起到“水障”的作用,故此处流速较低,悬浮泥沙浓度也相应较小。
|
(根据文献[29]改绘。modified from reference[29]. ) 图 10 黄海温度锋面空间位置 Fig. 10 The position of temperature fronts in the Yellow Sea |
黄海是一半封闭的陆架浅海,几乎不受外海物质的影响[30]。山东半岛陆域沉积物通过黄河及沿岸短源河流搬运作用入海,山东半岛沿岸流再携带入海悬浮泥沙及侵蚀冲刷黄河三角洲、滨岸带再悬浮的泥沙通过渤海海峡,搬运出渤海[31],之后沿山东半岛沿岸向东输运,绕过成山头后继续沿岸向南运移到山东半岛东部海域。在强冬季风作用下,沿岸流增强,山东半岛东部海域会发生再悬浮现象,并且垂向混合剧烈。南下的沿岸流与北上的黄海暖流在山东半岛东部海域发生强海流切变[1],形成的锋面抑制悬浮泥沙的离岸输运,使悬浮泥沙只能扩散至泥质体顶积层附近,或者沿岸向山东半岛南侧海域输运,并不能穿越锋面继续向外海输运[1],因此山东半岛东部海域冬季悬浮泥沙浓度高。而夏季悬浮泥沙不易再悬浮,且温跃层也阻止底层悬浮泥沙的垂向扩散,有助于平流输运携带的泥沙及之前水体中的泥沙在此沉积,堆积形成山东半岛东部海域特有的Ω形泥质沉积体。
5 结论(1) 研究区潮流性质为正规半日潮, 潮流运动形式为往复流,各站位涨落潮方向大致与山东半岛海岸线平行,潮流流速自表层至底层、由岸向海逐渐减小,涨潮流速略大于落潮流速。
(2) 悬浮泥沙浓度涨潮时段大于落潮时段,且自表层至底层逐渐增大,但变化梯度较小,垂向混合较好。悬浮泥沙浓度变化与潮流流速大致呈正相关关系,但相对于潮流流速存在轻微的滞后现象。
(3) 悬浮泥沙类型均为粘土质粉砂,粒径较小,分选较差;海底表层沉积物平均粒径大于悬浮泥沙,距岸近的站位为砂质粉砂,离岸相对较远的站位为粘土质粉砂,分选差。
(4) 悬浮泥沙浓度变化一定程度上受泥沙再悬浮、沉降与湍流的影响。研究区各站位的再悬浮通量略大于沉降通量,但量值均较小;悬浮泥沙受湍流作用垂向混合剧烈(理查森数 < 0.25),个别时段有轻微的层化现象。
(5) 悬浮泥沙通量机制分解表明,平流输运是山东半岛东部海域悬浮泥沙净输运中最主要的输沙机制、占据主导地位,悬浮泥沙净输运方向主要向泥质沉积体中心或沿岸输运。
| [1] |
王勇智, 乔璐璐, 杨作升, 等. 近岸强海流切变锋作用下悬浮沉积物的输送和沉积—以山东半岛东端外海为例[J]. 沉积学报, 2013, 31(3): 486-496. Wang Yongzhi, Qiao Lulu, Yang Zuosheng, et al. Suspended sediment transport and deposition due to strong regional shear current front: an example from the shelf waters off eastern Shandong Peninsula[J]. Acta Sedimentologica Sinica, 2013, 31(3): 486-496. ( 0) |
| [2] |
Qiao L L, Zhong Y, Wang N, et al. Seasonal transportation and deposition of the suspended sediments in the Bohai Sea and Yellow Sea and the related mechanisms[J]. Ocean Dynamics, 2016, 66: 751-766. DOI:10.1007/s10236-016-0950-2
( 0) |
| [3] |
窦衍光, 李军, 杨守业. 山东半岛东部海域表层沉积物元素组成及物源指示意义[J]. 海洋学报(中文版), 2012, 34(1): 109-119. Dou Yanguang, Li jun, Yang Shouye. Element compositions and provenance implication of surface sediments in offshore areas of the eastern Shangdong Peninsula in China[J]. Acta Oceanologica Sinica, 2012, 34(1): 109-119. ( 0) |
| [4] |
藏政晨, 王厚杰, 薛佐, 等. 黄海近岸锋面的时空变化及其对沉积物输运和沉积的影响[J]. 海洋地质前沿, 2015, 31(7): 1-10. Zang Zhengchen, Wang Houjie, Xue Zuo, et al. Temporal and spatial variability of nearshore fronts in the Yellow Sea and its influence on sediment transport and deposition[J]. Marine Geology Frontiers, 2015, 31(7): 1-10. ( 0) |
| [5] |
王利波, 杨作升, 赵晓辉, 等. 南黄海中部泥质区YE-2孔8. 4kaBP来的沉积特征[J]. 海洋地质与第四纪, 2009, 29(5): 1-11. Wang Libo, Yang Zuosheng, Zhao Xiaohui, et al. Sedimentary characteristics of core YE-2 from the central mud area in the South Yellow Sea during lasr 8400 years and its interspace coarse layers[J]. Marine Geology & Quaternary Geology, 2009, 29(5): 1-11. ( 0) |
| [6] |
Kirby J R, Kirby R. Medium timescale stability of tidal mudflats in Bridgwater Bay, Bristol Channel, influence of tides, waves and climatee[J]. Continental Shelf Research, 2008, 28: 2615-2629. DOI:10.1016/j.csr.2008.08.006
( 0) |
| [7] |
Milliman J D Q Y S, Ren M E, Saito Y. Man's influence on the erosion and transport of sediment by Asian rivers: the Yellow River(Huanghe) example[J]. Journal of Geology, 1987, 95: 751-762. DOI:10.1086/629175
( 0) |
| [8] |
Liu J P, Milliman J D. Holocene development of the Yellow River's subaqueous delta, North Yellow Sea[J]. Marine Geology, 2004, 209(1-4): 45-67. DOI:10.1016/j.margeo.2004.06.009
( 0) |
| [9] |
Liu J, Saito Y, Wang H, et al. Sedimentary evolution of the Holocene subaqueous clinoform off the Shandong Peninsula in the Yellow Sea[J]. Marine Geology, 2007, 236: 165-187. DOI:10.1016/j.margeo.2006.10.031
( 0) |
| [10] |
Yang Z S, Liu J P. A unique Yellow River-derived distal subaqueous delta in the Yellow Sea[J]. Marine Geology, 2007, 240: 169-176. DOI:10.1016/j.margeo.2007.02.008
( 0) |
| [11] |
赵一阳, 李凤业. 南黄海沉积速率和沉积通量的初步研究[J]. 海洋与湖沼, 1991, 22(1): 38-43. Zhao Yiyang, Li Fengye. Preliminary studies on sedimentation rate and sediment flux of the South Huanghai Sea[J]. Oceanologia et Limnologia Sinica, 1991, 22(1): 38-43. ( 0) |
| [12] |
Xiang R, Yang ZS, Saito Y, et al. Paleoenvironmental changes during the last 8400 years in the southern Yellow Sea: Benthic foraminiferal and stable isotopic evidence[J]. Marine Micropaleontology, 2008, 67(1-2): 104-119. DOI:10.1016/j.marmicro.2007.11.002
( 0) |
| [13] |
赵一阳, 李凤业, 秦朝阳. 试论南黄海中部泥的物源及成因[J]. 地球化学, 1991, 2: 112-117. Zhao Yiyang, Li Fengye, Qin Zhaoyang. Source and genesis of mud in the central part of the South Yellow Sea in special reference to geochemical data[J]. Geochimiaca, 1991, 2: 112-117. DOI:10.3321/j.issn:0379-1726.1991.02.002 ( 0) |
| [14] |
Zhang J Q, Liu J, Wang H X, et al. Characteristics and provenance implication of detrital minerals since Marine Isotope Stage 3 in Core SYS-0701 in the western South Huanghai Sea[J]. Acta Oceanologica Sinica, 2013, 32(4): 49-58. DOI:10.1007/s13131-013-0281-9
( 0) |
| [15] |
Lu J, Qiao F L, Wang X H, et al. A numerical study of transport dynamics and seasonal variability of the Yellow River sediment in the Bohai and Yellow seas[J]. Coastal and Shelf Science, 2011, 95(1): 39-51. DOI:10.1016/j.ecss.2011.08.001
( 0) |
| [16] |
任美锷. 黄河的输沙量:过去、现在和将来[J]. 地球科学进展, 2006, 21(6): 551-563. Ren meie. Sediment transport of the Yellow River: past, present and future[J]. Advances in Earth Science, 2006, 21(6): 551-563. DOI:10.3321/j.issn:1001-8166.2006.06.001 ( 0) |
| [17] |
Zhou C Y, Dong P, Li G X. Hydrodynamic processes and their impacts on the mud deposit in the Southern Yellow Sea[J]. Marine Geology, 2015, 360: 1-16. DOI:10.1016/j.margeo.2014.11.012
( 0) |
| [18] |
Bi N, Yang Z, Wang H, et al. Seasonal variation of suspended-sediment transport through the southern Bohai Strait[J]. Estuarine, Coastal and Shelf Science, 2011, 93(3): 239-247. DOI:10.1016/j.ecss.2011.03.007
( 0) |
| [19] |
孙效功, 方明, 黄伟. 黄、东海陆架区悬浮体输运的时空变化规律[J]. 海洋与湖沼, 2000, 31(6): 581-587. Sun Xiaogong, Fang Ming, Huang Wei. Spatial and temporal variations in suspended particulate matter transport on the Yellow and East China Sea shelf[J]. Oceanologia Et Limnologia Sinica, 2000, 31(6): 581-587. DOI:10.3321/j.issn:0029-814X.2000.06.001 ( 0) |
| [20] |
鲍献文, 李真, 王勇智, 等. 冬、夏季北黄海悬浮物分布特征[J]. 泥沙研究, 2010(2): 48-56. Bao Xianwen, Li Zhen, Wang Yongzhi, et al. Sediment distribution features in the North Yellow Sea during summer and winter[J]. Journal of Sediment Research, 2010(2): 48-56. ( 0) |
| [21] |
杨作升, 郭志刚, 王兆祥, 等. 黄东海陆架悬浮体向其东部深海区输送的宏观格局[J]. 海洋学报(中文版), 1992, 14(2): 81-90. Yang Zuosheng, Guo Zhigang, Wang Zhaoxiang, et al. Suspended sediments on the Yellow and East China Sea Shelf and Macro-pattern of their being transported to the Eastern Deeper Sea[J]. Acta Oceanologica Sinica, 1992, 14(2): 81-90. ( 0) |
| [22] |
王勇智, 乔璐璐, 杨作升, 等. 夏、冬季山东半岛东北部沿岸悬浮物输送机制的初步研究[J]. 泥沙研究, 2012(5): 49-57. Wang Yongzhi, Qiao Lulu, Yang Zuosheng, et al. Research on suspended sediment transport mechanisms along northeast coast of Shandong Peninsula in summer and in winter[J]. Journal of Sediment Research, 2012(5): 49-57. DOI:10.3969/j.issn.0468-155X.2012.05.008 ( 0) |
| [23] |
韦钦胜, 于志刚, 冉祥滨, 等. 黄海西部沿岸流系特征分析及其对物质输运的影响[J]. 地球科学进展, 2011, 26(2): 145-156. Wei Qinsheng, Yu Zhigang, Ran Xiangbin, et al. Characteristics of the western coastal current of the Yellow Seaand its impacts on material transportation[J]. Advance in Earth Science, 2011, 26(2): 145-156. ( 0) |
| [24] |
程鹏, 高抒, 刘敬圃, 等. 北黄海西部全新统分布的初步认识[J]. 第四纪研究, 2001, 21(4): 37-45. Cheng Peng, Gai Shu, Liu Qingpu, et al. Preliminary analysis of the distribution of Holocene deposits in the west of the North Yellow Sea[J]. Quaternary Research, 2001, 21(4): 37-45. ( 0) |
| [25] |
王安国, 张训华, 李广雪, 等. 山东半岛近岸海区全新世泥质沉积体研究现状[J]. 海洋地质前沿, 2013, 29(10): 52-58. Wang Anguo, Zhang Xunhua, Li Guangxue, et al. A review of the sedimentation of the Holocene clinoform off Shandong Peninsula[J]. Marine Geology Frontiers, 2013, 29(10): 52-58. ( 0) |
| [26] |
Partheniades E. Erosion and deposition of cohesive soil. Journal of the Hydraulics Division[J]. Journal of the Hydraulics Division, 1965, 91: 105-139.
( 0) |
| [27] |
Krone B R. Flume Studies of the Transport of Sediment in Estuarial Shoaling Processes[M]. Hydraulic Engineering Laboratory and Sanitary Engineering Research Laboratory, Berkeley: University of California, 1962: 110.
( 0) |
| [28] |
DYER K R. Estuaries: A Physical Introduction[M]. Singapore: John Wiley & Sons, 1997: 195.
( 0) |
| [29] |
Hickox R, Belkin I, et al. Climatology and seasonal variability of ocean fronts in the East China, Yellow and Bohai Seas[J]. Geophysical Research Letters, 2000, 27(18): 2945-2948. DOI:10.1029/1999GL011223
( 0) |
| [30] |
Yang S Y. A review on the provenance discrimination of sediments in the Yellow Sea[J]. Earth-Science Reviews, 2003, 63: 90-120.
( 0) |
| [31] |
杨子赓. 海洋地质学[M]. 济南: 山东教育出版社, 2005: 166-167. Yang Zigeng. Marine Geology[M]. Jinan: Shandong Education Press, 2005: 166-167. ( 0) |
| [32] |
孔祥淮, 刘健, 李巍然, 等. 山东半岛东北部海底表层沉积物粒度分布特征和沉积作用研究[J]. 海洋湖沼通报, 2006, 3: 37-47. Kong Xianghuai, Liu Jian, Li Weiran, et al. Study on grain sine distribution of surface sediments and modern sedimentation in the littoral zone in the northeastern part of the Shangdong Peninsula[J]. Transactions of Oceanology and Limnology, 2006, 3: 37-47. ( 0) |
| [33] |
Jin J H, Chough S K. Partitioning of transgressive deposits in the southeastern Yellow Sea: a sequence stratigraphic interpretation[J]. Marine Geology, 1998, 149: 79-92. DOI:10.1016/S0025-3227(98)00023-1
( 0) |
| [34] |
蓝先洪, 张训华, 张志珣. 南黄海沉积物的物质来源及运移研究[J]. 海洋湖沼通报, 2005, 4: 53-60. Lan Xianhong, Zhang Xunhua, Zhang Zhixun. Material sources and transportation of sediments in the Southern Yellow Sea[J]. Transactions of Oceanology and Limnology, 2005, 4: 53-60. DOI:10.3969/j.issn.1003-6482.2005.04.008 ( 0) |
| [35] |
李国胜, 王海龙, 李柏良. 渤海风驱-潮致拉格朗日余流的数值模拟与季相时空变异[J]. 地理研究, 2005, 24(3): 359-370. Li Guosheng, Wang Hailong, Li Boliang. Numerical simulation on the wind-driven and tide-induced Lagrangian residual circulation and its seasonal spatial-temporal variations in the Bohai Sea[J]. Geographical Research, 2005, 24(3): 359-370. DOI:10.3321/j.issn:1000-0585.2005.03.004 ( 0) |
| [36] |
李凤业, 高抒, 贾建军, 等. 黄、渤海泥质沉积区现代沉积速率[J]. 海洋与湖沼, 2002, 33(4): 364-369. Li Fengye, Gao Shu, Jia Jianjun, et al. Contemporary deposition rates of fine-grained sediment in the Bohai and Yellow Seas[J]. Oceanologia Et Limnologia Sinica, 2002, 33(4): 364-369. DOI:10.3321/j.issn:0029-814X.2002.04.004 ( 0) |
2. The Key Lab of Submarine Geosciences and Prospecting Techniques, Ministry of Education, Ocean University of China, Qingdao 266100, China
2019, Vol. 49



0)