2. 海洋石油工程股份有限公司,天津 300452;
3. 中国海洋石油有限公司,北京 100010
海上风电已成为全球清洁能源和应对气候变化的重要组成部分,对于节能减排、全球能源转型和实现碳中和具有重要意义。然而,随着水深不断增加,传统固定式海上风电机组因基础成本大幅攀升而逐渐丧失经济优势,海上风电开发正向着深远海和漂浮式方向迈进。在深远海区域,极端剧烈的海洋动力环境使得浮式风机(Floating offshore wind turbine, FOWT)的运动响应显著增大,其稳定性受到严重影响。为确保浮式风机能安全运行,工程设计过程中往往引入了较大的安全系数,这进一步推高了建设成本,限制了深远海风电的规模化发展。因此,优化浮式风机的运动性能、提升其经济性,已成为亟待解决的关键问题。
在主要海洋能源中,波浪能具有密度高、分布范围广的优点,且其分布与风能大体一致[1]。将FOWT和波浪能装置(Wave energy converter, WEC)联合开发,不失为一种分担成本、提高经济效益的创新模式[2-3]。联合发电系统FOWT-WEC不仅可以共享系泊系统和浮式平台,有效分摊开发建设成本,实现高效利用海洋空间,还能提高发电效益,例如在小风速海况中利用波浪能持续发电可降低零发电时间[4]。此外,WEC的合理集成能够有效降低浮式风机的运动响应,增强联合发电系统的安全性。目前,已有众多风-浪联合发电系统的开发计划和研究项目相继涌现,如W2Power、Wave Treader、Poseidon、MARINA、H2OCEAN和ORECCA等。
振荡浮子式WEC因其体积较小且波能捕获效率较高,被广泛应用于风-浪联合发电系统中[5]。任年鑫等[6]研究了动力输出装置(Power take off, PTO)参数对联合发电系统波浪能输出功率的影响规律,并发现极端海况下联合发电系统有更好的安全性。于明琦等[7]发现,振荡浮子式WEC可起到抑制平台垂荡和纵摇响应的作用。Si等[8]研究了DeepCwind风机集成3个振荡浮子WECs的联合发电系统的动力响应,结果凸显了PTO控制策略对浮式风机运动响应和发电效率的显著影响。Zhou等[9]优化了半潜式平台周围WECs的集成方案,探索出一种在不影响风机平台稳定性的情况下提高波浪能发电效益的开发模式。Gu等[10]提出了一个基于15 MW浮式风机的联合发电系统,并研究发现WEC的集成会引入额外的恢复力矩和阻尼效应,有助于提高平台稳定性。张茴栋等[11]设计了张力腿式平台和分块振荡浮子波浪能装置联合开发模型,通过物理水池试验发现,分块浮子可以有效摄取波浪高频部分能量,但在特定来浪和系泊条件下会大幅加剧平台纵摇。胡俭俭等[12]研究了最优PTO阻尼下,不同尺寸波能装置对联合发电系统发电功率和平台受力的影响,结果表明波能装置的直径吃水比越大,系统的最优发电功率越高,平台最大水平力和纵摇力矩越小。Han等[13]提出了一种新的联合发电系统全耦合分析框架,验证了新型分析框架相较于传统方法在多体分析方面具有优势,并对PTO阻尼、WEC形状和数量的影响进行了研究,建议WEC吃水与半径的比值选取为0.75。
本文将振荡浮子式WEC集成于半潜式风机“海油观澜号”上,利用FAST软件和AQWA软件耦合使用的方式(F2A)[14]实现联合发电系统的气动-伺服-水动-系泊-多体全耦合分析。通过设计不同的WEC集成方案,深入探究WEC对浮式风机运动响应的影响机制,进而优化联合系统开发方案,力求同步实现风机平台运动抑制与发电效益提升的双重目标。
1 数值模型 1.1 浮式风机和WEC模型本文基于“海油观澜号”浮式风机来研究联合发电系统的运动响应。“海油观澜号”是全球首个离岸超过100 km且水深超过100 m的海上浮式风机,风机系统主要由上部风机、下部浮式基础以及系泊系统组成,其浮式基础为4立柱半潜式基础。由于风机厂家出于技术保护考虑,未公开风机的气动参数和控制策略。为准确分析联合发电系统的运动性能和发电效益,以及研究WEC对浮式风机运动响应的影响机制,本文采用浮式风机NREL 5 MW[15]替代原上部风机,以实现全耦合分析。该浮式风机的模型和具体参数分别如图 1和表 1所示。
|
图 1 浮式风机NREL 5 MW模型 Fig. 1 FOWT NREL 5 MW model |
|
|
表 1 浮式风机NREL 5 MW参数 Table 1 FOWT NREL 5 MW model diagram |
针对集成振荡浮子式WEC的风-浪能联合发电系统,本文设计了4种集成方案,其布置情况和参数分别如图 2和表 2所示。各集成方案中,WEC总体积相同且浮子外径与高度的比值相同,保证不同联合发电系统中WEC制作成本和设计一致。
|
( WEC1对应方案1中的WEC;WEC2对应方案2中任一WEC,WEC3对应方案3中任一WEC;WEC4对应方案4中任一WEC。WEC1 corresponds to the WEC in scheme 1; WEC2 corresponds to any WEC in scheme 2; WEC3 corresponds to any WEC in scheme 3; WEC4 corresponds to any WEC in scheme 4. ) 图 2 WEC集成方案 Fig. 2 Layout of WEC |
|
|
表 2 波浪能装置参数 Table 2 WEC parameters |
图 3为浮式风机系泊布置情况,浮式基础由9条缆绳组成。每3条缆绳为1组,分别集成在3个侧立柱上。每组缆绳之间夹角为120°,同组相邻缆绳间角度为5°。
|
图 3 系泊布置 Fig. 3 Mooring layout |
本文采用F2A进行联合发电系统全耦合建模。风机的气动载荷、伺服控制和结构应力分析由FAST软件进行计算,浮式基础水动力分析、系泊分析及WEC运动分析则由AQWA软件负责运算。通过动态链接库(Dynamic link library, DLL)实现AQWA软件与FAST软件在每个时间步长的浮式基础位移、速度、加速度和塔筒底部荷载的相互传递,从而完成联合发电系统的全耦合时域分析,具体计算流程如图 4所示[14]。
|
图 4 联合发电系统全耦合分析流程 Fig. 4 Fully coupled analysis process for FOWT-WEC |
采用叶素动量理论来计算风机叶片的载荷,通过势流理论和莫里森方程来计算浮式基础的水动力载荷。半潜式基础由大尺度的立柱、小尺度杆件和垂荡板等结构组成。由于势流理论无法考虑垂荡板和旁通引入的黏性阻尼效应,本文在垂荡板和旁通边缘添加莫里森杆件来施加黏性阻尼。此外,势流理论忽略了WEC引入的额外阻尼,会高估WEC固有频率处的运动响应幅值。本文采用临界阻尼法[16]为WEC添加垂荡方向上的附加阻尼,以实现模型修正。
1.2.2 PTO系统建模本文采用AQWA软件中的Fender元件[17]来模拟WEC与浮式风机间的相互作用,如图 5所示。Fender元件可模拟线性刚度及阻尼力,能实现WEC的限位及其PTO系统的模拟。在WEC与其所连接立柱间添加2层Fender来模拟滑轮系统,以保证WEC与浮式基础只有相对垂荡。在WEC上部和下部分别建立4个Fender元件来模拟PTO系统,进而计算得到WEC发电效率P,P的计算式如下:
| $ P=F_{\mathrm{D}} \frac{\mathrm{~d} x}{\mathrm{~d} t}=\beta K_{\mathrm{F}}\left(\frac{\mathrm{~d} x}{\mathrm{~d} t}\right)^2 。$ | (1) |
|
图 5 PTO系统 Fig. 5 PTO system |
式中:FD为Fender的阻尼力,kN;β为Fender阻尼系数,s;KF为Fender的刚度,kN/m;x为Fender两个接触点间的距离,m;dx/dt为Fender的轴向压缩速度,m/s。
1.3 数值模型验证本文对数值模型准确性的验证分两部分。第一部分是对基于F2A的浮式风机全耦合计算方法准确性进行验证;第二部分是对浮式风机建模准确性进行验证。F2A全耦合分析方法验证可参考文献[14],本文不再赘述。因数值模型中的上部风机模块直接调用了经过验证的NREL 5MW开源风机,故无需再次验证FAST软件建立的风机模型,只需验证AQWA软件建立的水动力模型。为此,本文基于“海油观澜号”浮式风机,将数值结果与物理模型试验进行对比。物理模型试验在上海交通大学的海洋工程水池中进行,水池尺寸为50 m×30 m×6 m,试验现场照片及布置如图 6所示。
|
图 6 上海交通大学海洋工程水池中的浮式风机模型 Fig. 6 FOWT model in the ocean engineering tank at Shanghai Jiaotong University |
本文1.1节中曾提到,因风机厂家技术保密原因,本文采用NREL 5MW风机替代了原上部风机。而在验证中,本文将试验的塔基荷载及水池波浪时历数据导入AQWA软件进行分析,以实现原“海油观澜号”浮式风机的风-浪一体化耦合分析。选取风浪向分别为0°和60°的极端工况进行对比分析,分析结果如图 7所示。由图 7可见,数值模型结果与试验结果在浮式风机纵荡位移、垂荡位移、纵摇角度的最大值和最小值误差均能保证不超过8.1%,标准差误差均不超过9.2%,这证明了本文水动力模型的准确性。
|
图 7 水池试验和数值模拟结果比较 Fig. 7 Comparison of model test and numerical simulation results |
本文以中国文昌海域环境条件为背景,选定3组典型工况进行分析,旨在探究WEC对浮式风机运动响应的影响情况及其内在机理。工况参数如表 3所示,其中LC1和LC2为典型发电工况,LC3为50年一遇的极端工况。在LC1和LC2中,PTO系统每个Fender元件刚度均设置为50 kN/m,此时WEC与浮式平台间存在相对垂荡,能够实现波能俘获发电;在LC3中,PTO系统中Fender元件刚度设置为50 000 kN/m,此时WEC与平台间相对垂荡幅值趋近于0,WEC处于停机状态。湍动风由开源软件Turbsim生成,采用Kaimal湍流谱模型,并将其输入到FAST软件中进行气体动力学分析,其中风速定义为海平面以上10 m处的1 h平均风速。不规则波浪场选用JONSWAP谱,在AQWA软件中生成并用于时域分析。风场和浪场同向,且分别以0°、30°和60°入射到联合发电系统上。本研究中采用的水动力模型为多体结构。为准确计算WEC与浮式风机的相互作用,设置时间步长为0.01 s、总时长为4 000 s,选取400~4 000 s的数据进行分析。
|
|
表 3 数值模拟载荷工况 Table 3 Numerical simulation load case |
通过自由衰减测试,得到浮式风机与不同联合发电系统的固有周期,如表 4所示。由表 4可见,集成WEC会增大纵荡固有周期,减小垂荡、横摇和纵摇的固有周期。相比于单独的风机,联合发电系统中浮式风机纵荡固有周期最大增加8%,垂荡、横摇和纵摇的固有周期最大降幅分别为18.2%、24.2%和24.7%。在4种WEC集成方案中,FOWT-WEC2对横摇和纵摇的固有周期影响最大,而FOWT-WEC1对横摇和纵摇固有周期影响最小。
|
|
表 4 浮式风机和联合发电系统固有周期 Table 4 Natural period of FOWT and FOWT-WEC |
图 8展示了纵摇角度的自由衰减曲线。由图 8可见,4种集成方案中,WEC2引入的纵摇阻尼最大,而WEC1引入的阻尼最小。
|
图 8 纵摇自由衰减曲线 Fig. 8 Free decay curve of pitch motion |
本研究中,浮式风机的横摇和纵摇固有周期同极端海况波浪谱峰周期较为接近,这是因为更换风机引起浮式风机系统转动惯量减小,进而导致横摇和纵摇固有周期的降低。但该情况并不影响本研究中关于WEC对浮式风机运动响应影响机理的研究工作。
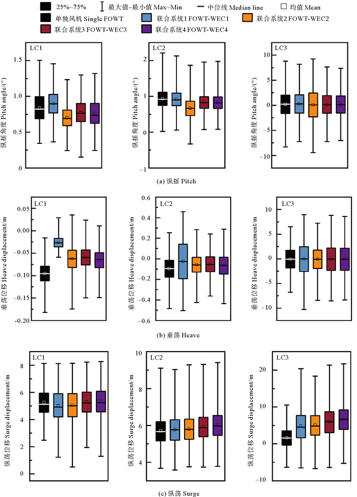
3.2 WEC对浮式风机运动响应的影响图 9展示了当风、浪以0°入射时,3种工况下WEC对浮式风机纵摇、垂荡和纵荡的影响。从图 9(a)可以看出,WEC可以抑制浮式风机纵摇响应。在3种典型工况中,除了FOWT-WEC2,其余联合发电系统中风机的纵摇角度最大值和幅值(最大值与最小值间之差)均有所降低。尤其在LC3中,相比于单独的风机,FOWT-WEC4因集成了WEC,浮式风机纵摇角度最大值和幅值分别降低了16.2%和15.7%。但是并非所有的集成方案都能抑制浮式风机纵摇响应,如FOWT-WEC2,其WEC2的集成虽然使LC1和LC2中浮式风机纵摇角度均值、最大值和幅值有一定程度的减小,但在LC3中却增大了风机纵摇角度的最大值和幅值。浮式风机的纵摇性能会显著影响风机的发电效率以及风机和塔筒所受的外部荷载[18],将WEC与浮式风机合理集成可有效抑制纵摇响应,风机生存能力因此得到提升。
|
图 9 各系统纵摇(a)、垂荡(b)和纵荡(c)的数据统计结果 Fig. 9 Statistical results of pitch (a), heave (b), and surge (c) motions for each system |
研究发现,WEC的集成并未抑制浮式风机垂荡和纵荡。由图 9(b)可见,在LC1和LC2中部分WEC集成方案可使风机垂荡幅值有轻微降低,但在LC3中,WEC的集成均导致风机垂荡位移最大值和幅值的增加。由图 9(c)可见,WEC的集成明显增大了LC3中浮式风机纵荡位移的均值,且在所有工况中,WEC均增大了浮式风机纵荡幅值。垂荡位移过大会造成气隙的减小,而纵荡幅值的增大则会使风机发电功率和推力的波动振幅增加。此外,剧烈的纵荡和垂荡可能会增加浮式风机动态载荷,导致结构内力增大,加剧疲劳损伤[19-20]。因此,需合理选取WEC集成方案,以避免纵荡位移和垂荡位移过大。
为分析WEC在各环境状态下对浮式风机运动性能的影响,本文还研究了风、浪入射角度分别为30°和60°时联合发电系统的运动响应情况,如图 10所示。
|
图 10 不同风、浪方向下各系统纵摇(a)、垂荡(b)和纵荡(c)的数据统计结果 Fig. 10 Statistical results of pitch(a), heave(b), and surge(c) motions for each system under different wind and wave directions |
综合分析可知,不同风、浪入射角度下WEC对浮式风机运动性能的影响效果基本一致。由图 10(a)可见,WEC的集成大部分可降低风机纵摇角度的均值和标准差,FOWT-WEC4中WEC对风机纵摇的抑制效果最优,在风浪分别以0°、30°和60°入射的LC3中,纵摇标准差分别减少了10.3%、7.6%和13.8%,而WEC2的集成在LC3中反而增大了风机纵摇角度的标准差。由图 10(b)可见,浮式风机垂荡位移受风浪入射角度影响较小。WEC的集成大多情况下会导致浮式风机垂荡位移标准差的增大,FOWT-WEC1中WEC1对浮式风机垂荡位移标准差的影响最为明显。由图 10(c)可见,在所有工况下,WEC基本都会引起浮式风机纵荡位移均值和标准差的增大,其中WEC1和WEC4分别对LC3中风机纵荡位移的标准差和均值影响最明显。
3.3 WEC对浮式风机运动响应影响机理为探究WEC对浮式风机运动响应的影响机理,本文对LC2中浮式风机纵摇角度、垂荡位移和纵荡位移进行谱分析(入射角为0°),如图 11所示。从图 11(a)可以看出,浮式风机的纵摇响应主要由风致响应、共振响应和波频响应组成,其中共振响应占主导地位。对于FOWT-WEC1,WEC1的集成对浮式风机纵摇固有频率基本没有影响,结合图 8可知WEC1所引入的阻尼小于其他集成方案的WEC,所以FOWT-WEC1中浮式风机纵摇响应与单独的风机纵摇响应差别不大。FOWT-WEC3和FOWT-WEC4中的WEC使得浮式风机纵摇固有频率升高,导致浮式风机纵摇共振响应向高频偏移,且由于WEC引入的阻尼作用,风机纵摇共振响应峰值有所降低,这一现象与Zhu等[21]的研究结果一致。而对于FOWT-WEC2,尽管在所有集成方案中WEC2在纵摇方向上引入的阻尼最大,但由于波浪谱峰频率接近浮式风机纵摇固有频率,FOWT-WEC2中浮式风机纵摇共振响应峰值显著增大。综合来看,WEC的集成使得浮式风机纵摇共振响应向高频偏移,同时通过优化WEC的集成布置方案,可抑制浮式风机纵摇共振现象,从而显著降低浮式风机纵摇角度的标准差。
|
( 图(a)、(b)、(c)中的虚线分别表示各系统中浮式风机纵摇、垂荡和纵荡运动的固有频率。The dashed lines figure (a), (b) and (c) represent the natural frequencies of pitch, heave, and surge motions of the FOWT in each system, respectively. ) 图 11 LC2下各系统纵摇(a)、垂荡(b)和纵荡(c)谱分析 Fig. 11 PSD of pitch(a), heave(b) and surge(c) motions of FOWT and FOWT-WEC under LC2 |
对于浮式风机垂荡,单独的风机和FOWT-WEC2的垂荡响应主要由波频响应构成,在FOWT-WEC1、FOWT-WEC3和FOWT-WEC4中,垂荡固有频率与波浪谱峰频率相近,所以图 11(b)中,FOWT-WEC1、FOWT-WEC3和FOWT-WEC4的垂荡以共振响应为主。WEC的集成使浮式风机垂荡固有频率增大,更接近波浪谱峰频率,使得垂荡共振响应向高频偏移,且共振响应峰值显著增大,但WEC的集成也在一定程度上降低了波频响应。从图 11(c)可以看到,纵荡主要由共振响应构成,集成WEC使浮式风机纵荡共振响应峰值增大,这解释了图 10(c)中WEC的集成所引起的风机纵荡位移标准差增加的现象。
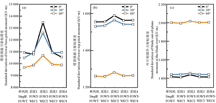
3.4 WEC对塔架、叶片载荷的影响图 12(a)—(c)分别展示了LC2下各系统中浮式风机塔底纵摇力矩、塔顶纵摇力矩和叶片根部面外力矩标准差的情况。从图 12可以看出,除FOWT-WEC2中浮式风机塔底纵摇力矩标准差明显增大外,其余联合发电系统的塔底纵摇力矩标准差与单独的风机的区别不大。当风、浪以0°入射时,相较于单独的风机,FOWT-WEC4的塔底纵摇力矩标准差有所降低。而塔顶纵摇力矩和叶片根部面外力矩对WEC的集成不敏感,相较于单独的风机,在FOWT-WEC1、FOWT-WEC3和FOWT-WEC4中均发现,塔顶纵摇力矩和叶片根部面外力矩标准差的变化分别小于0.7%和0.2%,FOWT-WEC2中塔顶纵摇力矩和叶片根部面外力矩标准差有2.2%和1.5%的小幅度增长。
|
图 12 不同风浪向的LC2下各系统塔底纵摇力矩(a)、塔顶纵摇力矩(b)和叶片根部面外力矩(c)的标准差 Fig. 12 Standard deviation of tower base pitch moment (a), tower top pitch moment (b), and blade out-of-plane moment (c) for each system under LC2 with different wind and wave directions |
为研究WEC对塔底纵摇力矩的影响机理,本文对LC2中各系统塔底纵摇力矩进行了谱分析(入射角为0°),如图 13所示。当频率低于0.4 rad/s时,WEC的集成减小了塔底纵摇力矩功率谱密度幅值。但因WEC的集成,浮式风机纵摇固有频率向高频偏移,接近纵摇固有频率的塔底纵摇力矩峰值明显增大,这可能是由纵摇响应增大导致的惯性力增加所引起的。其中FOWT-WEC1的峰值增幅最小,FOWT-WEC2的峰值增幅最大。在较高频范围内(0.8~1.2 rad/s),相较于单独的风机,WEC1、WEC3和WEC4的集成降低了塔底纵摇力矩峰值,而WEC2的集成增大了塔底纵摇力矩峰值,这解释了图 12中FOWT-WEC2塔底纵摇力矩标准差明显增大的现象。
|
( 虚线表示各系统中浮式风机纵摇运动的固有频率,不同颜色对应不同的系统。The dashed lines represent the natural frequency of pitch motion for the FOWT in each system, with different colors corresponding to different systems. ) 图 13 LC2下浮式风机和联合发电系统塔底纵摇力矩的谱分析 Fig. 13 PSD of tower base pitch moment of FOWT and FOWT-WEC under LC2 |
图 14展示了两种发电工况下,单独的风机和联合发电系统的发电效益(入射角为0°)。由图 14可见,WEC的集成使风机发电功率仅有非常小幅度的增长,这表明浮式风机本身的发电功率基本不受WEC的影响。相比于单独的风机,LC1和LC2中WEC的集成可以让系统发电功率分别最大提升7.4%和13.9%。在4种集成方案中,当WEC总体积相同时,FOWT-WEC2、FOWT-WEC3和FOWT-WEC4中的WEC阵列的发电效益明显优于FOWT-WEC1中单个WEC的发电效益,其中FOWT-WEC4的发电效益最好。
|
图 14 浮式风机和联合发电系统发电功率的对比 Fig. 14 Comparison of power generation from FOWT and FOWT-WEC |
本文将振荡浮子WEC集成于“海油观澜号”浮式风机进行联合开发研究。基于叶素动量理论、势流理论和莫里森方程对联合发电系统进行了气动-伺服-水动-系泊-多体全时域耦合分析。同时,通过与物理模型试验结果对比,验证了数值模型的准确性。在研究过程中,设计了4种集成方案,重点分析了WEC对浮式风机运动性能和发电效益的影响,主要结论如下:
(1) WEC的集成会增大浮式风机纵荡固有周期,降低垂荡、横摇和纵摇固有周期。
(2) WEC的集成会使浮式风机纵摇共振响应向高频偏移。WEC引入的阻尼效应可有效降低纵摇的共振响应峰值,相比于单独的浮式风机,FOWT-WEC4在极端工况下可使风机纵摇角度最大值和标准差分别降低16.2%和10.3%。
(3) 除了FOWT-WEC2,WEC的集成对塔底纵摇力矩影响较小。塔顶纵摇力矩和叶片根部面外力矩对WEC的集成不敏感。
(4) WEC的集成对风机发电平均功率基本没有影响,但相比于单独的风机,联合发电系统中的WEC可使系统发电效益提高,FOWT-WEC4的增效最大,可达13.9%。
在所有集成方案中,FOWT-WEC4可有效抑制风机纵摇响应,并具备最优发电效益,可作为联合发电系统的开发参考。集成WEC会对浮式风机运动性能产生较大影响,后续研究可进一步探讨WEC形状尺寸、PTO阻尼及WEC控制策略对浮式风机运动性能和发电功率的影响,以期在保证系统运动性能优化的同时,提升WEC的发电效益。此外,本文研究的风机功率为5 MW,后续将研究更大功率的风机以满足行业需求,并分析WEC的集成对浮式风机疲劳载荷的影响。
| [1] |
He F, Liu Y B, Pan J P, et al. Advanced ocean wave energy harvesting: Current progress and future trends[J]. Journal of Zhejiang University-SCIENCE A: Applied Physics and Engineering, 2023, 24: 91-108. ( 0) |
| [2] |
史宏达, 韩治, 路晴. 风-浪联合开发技术研究现状及发展趋势[J]. 海岸工程, 2022, 41(4): 328-339. Shi H D, Han Z, Lu Q. Research status and development trend of wind-wave co-development technology[J]. Coastal Engineering, 2022, 41(4): 328-339. ( 0) |
| [3] |
Pérez-Collazo C, Greaves D, Iglesias G. A review of combined wave and offshore wind energy[J]. Renewable and Sustainable Energy Reviews, 2015, 42: 141-153. DOI:10.1016/j.rser.2014.09.032 ( 0) |
| [4] |
Cradden L, Kalogeri C, Martinez Barrios I, et al. Multi criteria site selection for offshore renewable energy platforms[J]. Renewable Energy, 2016, 87: 791-806. DOI:10.1016/j.renene.2015.10.035 ( 0) |
| [5] |
史宏达, 黄波峰, 田会元. 基于动力特性的振荡浮子发电装置系泊优化设计研究[J]. 中国海洋大学学报(自然科学版), 2019, 49(10): 133-139. Shi H D, Huang B F, Tian H Y. Research and optimization design of mooring system of heaving buoy wave energy convertor based on dynamic characteristics[J]. Periodical of Ocean University of China, 2019, 49(10): 133-139. DOI:10.16441/j.cnki.hdxb.20170266 ( 0) |
| [6] |
任年鑫, 朱莹, 马哲, 等. 新型浮式风能-波浪能集成结构系统耦合动力分析[J]. 太阳能学报, 2020, 41(5): 159-165. Ren N X, Zhu Y, Ma Z, et al. Coupled dynamic analysis of a novel floating wind energy and wave energy combination system[J]. Acta Energiae Solaris Sinica, 2020, 41(5): 159-165. ( 0) |
| [7] |
于明琦, 曹飞飞, 魏志文, 等. 基于点吸收式波能装置风浪联合获能系统动力特性研究[J]. 太阳能学报, 2024, 45(6): 29-36. Yu M Q, Cao F F, Wei Z W, et al. Study on dynamic characteristics of hybrid wind-wave energy harvesting system based on point absorbing WEC[J]. Acta Energiae Solaris Sinica, 2024, 45(6): 29-36. ( 0) |
| [8] |
Si Y L, Chen Z, Zeng W J, et al. The influence of power-take-off control on the dynamic response and power output of combined semi-submersible floating wind turbine and point-absorber wave energy converters[J]. Ocean Engineering, 2021, 227: 108835. DOI:10.1016/j.oceaneng.2021.108835 ( 0) |
| [9] |
Zhou B Z, Hu J J, Jin P, et al. Power performance and motion response of a floating wind platform and multiple heaving wave energy converters hybrid system[J]. Energy, 2023, 265: 126314. DOI:10.1016/j.energy.2022.126314 ( 0) |
| [10] |
Gu X, Lin F, Jiang W, et al. Power performance and dynamic characteristics of a 15 MW floating wind turbine with wave energy converter combined concept[J]. Sustainable Horizons, 2025, 13: 100125. DOI:10.1016/j.horiz.2024.100125 ( 0) |
| [11] |
张茴栋, 许聪, 史宏达. 基于TLP浮式风机的分块垂荡点吸式波浪能装置的实验研究[J]. 船舶力学, 2024, 28(8): 1175-1186. Zhang H D, Xu C, Shi H D. Experimental study on the combination of split heave point absorption wave energy converters and TLP type floating turbine[J]. Journal of Ship Mechanics, 2024, 28(8): 1175-1186. ( 0) |
| [12] |
胡俭俭, 周斌珍, 刘品, 等. 浮式风机平台与波能装置混合系统的性能分析[J]. 哈尔滨工程大学学报, 2021, 42(3): 339-345. Hu J J, Zhou B Z, Liu P, et al. Performance analysis of a hybrid system of floating wind platform and multiple wave energy converters[J]. Journal of Harbin Engineering University, 2021, 42(3): 339-345. ( 0) |
| [13] |
Han M, Shi H D, Cao F F, et al. Dynamic characteristics and parameter analysis of a floating hybrid wind-wave energy system based on a novel coupled numerical framework[J]. Energy Conversion and Management, 2024, 312: 118558. DOI:10.1016/j.enconman.2024.118558 ( 0) |
| [14] |
Yang Y, Bashir M, Michailides C, et al. Development and application of an aero-hydro-servo-elastic coupling framework for analysis of floating offshore wind turbines[J]. Renewable Energy, 2020, 161: 606-625. DOI:10.1016/j.renene.2020.07.134 ( 0) |
| [15] |
Jonkman J, Butterfield S, Musial W, et al. Definition of a 5-MW Reference Wind Turbine for Offshore System Development[R]. Golden, Colorado: National Renewable Energy Laboratory, 2009.
( 0) |
| [16] |
Hu J J, Zhou B Z, Vogel C, et al. Optimal design and performance analysis of a hybrid system combining a floating wind platform and wave energy converters[J]. Applied Energy, 2020, 269: 114998. DOI:10.1016/j.apenergy.2020.114998 ( 0) |
| [17] |
ANSYS Incoporated Company. AQWA Theory Manual[M]. Canonsburg: ANSYS Incoporated Company, 2017.
( 0) |
| [18] |
Zhu H Z, Hu C H. A study on control of wave energy converter for motion suppression of semisubmersible[J]. IFAC-Papers OnLine, 2016, 49(23): 380-385. DOI:10.1016/j.ifacol.2016.10.434 ( 0) |
| [19] |
Yang L D, Jiang Y T, Guo S B, et al. Research on the effect of a heave plate on the dynamics of the floating wind turbine using model tests[J]. Journal of Marine Science and Engineering, 2024, 12(10): 1808. DOI:10.3390/jmse12101808 ( 0) |
| [20] |
Yang L, Li B B, Dong Y H, et al. Large-amplitude rotation of floating offshore wind turbines: A comprehensive review of causes, consequences, and solutions[J]. Renewable and Sustainable Energy Reviews, 2025, 211: 115295. DOI:10.1016/j.rser.2024.115295 ( 0) |
| [21] |
Zhu K, Shi H D, Michele S, et al. Analytical study on dynamic performance of a hybrid system in real sea states[J]. Energy, 2024, 290: 130259. DOI:10.1016/j.energy.2024.130259 ( 0) |
2. Offshore Oil Engineering Limited Company, Tianjin 300452, China;
3. China National Offshore Oil Limited Company, Beijing 100010, China
2026, Vol. 56


0)