2. 生态环境部土壤与农业农村生态环境监管技术中心,北京 100012;
3. 潍坊市滨海生态环境监控中心,山东 潍坊 261108
厌氧氨氧化(Anaerobic ammonium oxidation, Anammox)是一种打破传统生物脱氮体系对硝化和反硝化路径依赖的创新技术。由于其较高的能量转化效率和潜在的碳中和应用前景,Anammox技术已引起广泛关注[1]。迄今为止,在全球范围内200多个全规模短程硝化-厌氧氨氧化设施已被用于处理含氮废水,如沼液、垃圾渗滤液等。在处理以低强度、高流速和大排放量为特征的市政污水脱氮方面,中试或全规模的Anammox工程均有报道[2]。然而,废水中重金属、抗生素、硫化物、持久性有机污染物、内分泌干扰物及其他有毒物质的存在仍会干扰Anammox工艺的脱氮过程,限制了Anammox技术在处理氨氮废水时的广泛应用[3]。
Ni(Ⅱ)作为一种广泛用于电镀、催化剂和涂料中的重金属,其不可避免地进入到市政废水系统[4]。由于不可降解的特性和生物积累的倾向,Ni(Ⅱ)对生态系统和人类健康构成显著威胁[5]。市政废水中Ni(Ⅱ)浓度通常在0.1~0.5 mg·L-1之间,工业废水中Ni(Ⅱ)浓度可高于10 mg·L-1[6]。Cheng等[7]得出,在Ni(Ⅱ)浓度大于2 mg·L-1时,Anammox体系的比厌氧氨氧化活性(Specific anammox activity, SAA)下降,污泥形态由颗粒状变为疏松絮状。Li等[8]研究Ni(Ⅱ) 短期胁迫对Anammox影响,Ni(Ⅱ)对Anammox体系的抑制作用主要归因于胞内积累Ni(Ⅱ)对肼合成酶(HZS)活性的抑制。添加吸附剂或其它外源化学试剂(如EDTA和FeSO4)的预处理技术被用于缓解重金属对厌氧氨氧化菌(Anaerobic ammonium oxidizing bacteria, AnAOB)的抑制或毒性作用[9-10],旨在降低废水中重金属浓度,从而缓解其对Anammox过程的抑制作用。然而,作为生物可利用的微量金属元素,Ni(Ⅱ)在血红素c的合成过程中至关重要[11],内化作用对于其毒性的表达有较大影响。因此,提高AnAOB的活性可能是一种更为有效地减轻Ni(Ⅱ)抑制作用的途径。
相容性物质是具备调节细胞渗透压稳态功能的有机化合物。根据化学结构,相容性物质可以分为糖类、多元醇、杂环糖苷及其衍生物等[12]。相容性物质能够帮助微生物在极端环境中维持正常的生长繁殖。2.0 mmol·L-1甜菜碱利于Anammox颗粒污泥在高渗透压下维持渗透压稳定[13]。海藻糖和山梨醇在低温或干燥的环境中可以保护细胞膜等大分子物质免受变形[14],而高浓度的相容性物质还可能影响到细胞DNA的表达[15]。作为一种常见的相容性物质,甜菜碱对AnAOB的影响已受到越来越多地关注。Zhu等[16]通过向低温(<20 ℃)运行的Anammox体系中添加0.1 mmol·L-1甜菜碱,增强了Anammox工艺的脱氮性能。Fu等[17]发现0.3 mmol·L-1甜菜碱可使Anammox工艺在高盐(20 g·L-1)环境下稳定运行。Li等[18]通过短期添加2.0 mmol·L-1甜菜碱显著增强了受Fe(Ⅱ)严重抑制后Anammox工艺的恢复。甜菜碱对各种不利环境下的Anammox工艺脱氮均具有积极作用,但其对Ni(Ⅱ)胁迫下Anammox工艺脱氮的影响尚未见相关研究。
针对Anammox工艺应用于含氮废水处理过程面临的重金属抑制而使工艺脱氮效能降低或工艺崩溃问题,拟寻求解抑制的方法,以更好地推进Anammox工艺的推广应用。本研究选取甜菜碱为缓抑制剂或解抑制剂,探究甜菜碱对Ni(Ⅱ)胁迫下Anammox工艺脱氮的强化效果及其缓(解)Ni(Ⅱ)抑制作用。开展甜菜碱对Ni(Ⅱ)胁迫下Anammox工艺脱氮性能、AnAOB活性、胞外聚合物(Extracellular polymeric substances, EPS)的结构组成变化、胞内外重金属分布、功能酶活性、微生物群落结构等的影响研究,探究甜菜碱作为缓(解)毒剂的作用机理,以期为Anammox工程应用提供理论基础和数据支撑。
1 材料与方法 1.1 反应装置和模拟废水以两个相同的升流式厌氧污泥床(Up-flow anaerobic sludge bed, UASB)反应器为试验装置,UASB反应器有效体积为1.4 L,高度为80 cm,其中反应区内径为6 cm,高度为50 cm。UASB反应器接种污泥取自本实验室已稳定运行三年的Anammox-UASB反应器,接种量为1.2 L,接种污泥的悬浮固体(Suspended solids, SS)和挥发性悬浮固体(Volatile suspended solids, VSS)分别为65.23和47.45 g·L-1。反应装置运行的水力停留时间(Hydraulic retention time, HRT)为8 h、氮容积负荷率(Nitrogen loading rate, NLR)为1.98 kg·m-3·d-1,整个运行过程分为7个阶段(见表 1),试验过程维持恒温条件(35 ℃)。进水采用模拟废水,NH4+-N和NO2--N的浓度分别为220和250 mg·L-1,Ni(Ⅱ)以NiCl2·6H2O的形式提供,其它成分参考吴丹阳等[19]。进水pH调整为7.5~8.0之间。
|
|
表 1 Anammox-UASB反应器运行策略 Table 1 Experimental operation strategy for Anammox-UASB reactor |
将90 mL模拟废水和10 mL Anammox污泥加入120 mL厌氧瓶中,初始NH4+-N和NO2--N浓度设为100 mg·L-1,溶液pH调整为7.5,用99.9%的N2气体吹脱15 min以去除溶液中溶解氧,加盖密封后置于恒温摇床中(180 r·min-1,35 ℃)。每隔1h取样测定NH4+-N和NO2--N浓度,根据NH4+-N和NO2--N的消耗速率计算SAA,其计算式如式(1)所示。EPS采用热提取法,具体测定方法参考Wang等[20]。提取后的EPS使用三维荧光光谱(Three-dimensional excitation-emission matrix, 3D-EEM)对Anammox污泥的EPS进行组分分析。使用Matlab软件,通过平行因子法确定EPS主要成分,并与OpenFluor在线数据库中公布的模型进行比较,只有激发光谱和发射光谱相似度大于95%的光谱才能匹配。
| $ S A A=\frac{C_{0}-C_{t}}{m t} 。$ | (1) |
式中:C0为厌氧瓶0时刻底物浓度(mg·L-1);Ct为厌氧瓶t时刻底物浓度(mg·L-1);m为厌氧瓶内污泥浓度(mg·L-1);t为反应时间(h)。
1.3 酶活性测定硝酸还原酶(NR)和亚硝酸还原酶(NiR)的活性参考Li等[21]。肼合成酶(HZS)和肼氧化酶(HZO)的活性分别采用HZS ELISA试剂盒(YJ689221,上海源桔生物科技,中国)和HZO ELISA试剂盒(YJ098992,上海源桔生物科技,中国)分析测定。
1.4 Ni(Ⅱ)分布测定Ni(Ⅱ)胁迫下Anammox-UASB反应器中总Ni(Ⅱ)由溶解性Ni(Ⅱ)、胞内Ni(Ⅱ)和表面结合Ni(Ⅱ)三种形式组成。试验中Ni(Ⅱ)分布的测定参考Wang等[22]的方法。总Ni(Ⅱ)浓度通过按照标准酸消化方法直接消化Anammox污泥后进行测定,溶解性Ni(Ⅱ)通过冲洗和过滤Anammox污泥后分析滤过液中Ni(Ⅱ)。滤后污泥通过改进的EDTA洗涤法[23]进行洗涤,上清液经过0.45 μm滤膜过滤后收集,采用标准酸消化方法进行消化后测定表面结合Ni(Ⅱ)浓度。总Ni(Ⅱ)、溶解性Ni(Ⅱ)和表面结合Ni(Ⅱ)浓度通过ICP-MS(350X,Perkin Elmer,美国)进行测定。细胞内Ni(Ⅱ)浓度由总Ni(Ⅱ)浓度中减去溶解性和表面结合的Ni(Ⅱ)浓度计算得出。
1.5 微生物群落分析Anammox污泥样品通过Novozymes Bioinformatics(北京,中国)进行高通量测序,以研究微生物群落的结构和演替。使用通用引物515F(GTGCCAGCMGCCGCGGTAA)和907R(CCGTCAATTCCTTTGAGTTT)扩增16S rRNA基因的V4—V5区域,并在Illumina NovaSeq平台上进行测序。分析中利用FLASH(V1.2.7)对每个样本的原始数据重新组合后得到原始标签。然后采用QⅡME(V1.9.1)过滤原始标签后获得有效标签。使用Uparse软件(Uparse v7.0.1001)对有效标签进行聚类,进而生成相似度为97%的操作分类单元(OTU)。根据SILVA138数据库,将每个OTU的代表性序列分配到一个分类级别。
1.6 其他分析NH4+-N、NO2--N和NO3--N浓度依据标准方法[24]测定,Rs为NO2--N消耗与NH4+-N消耗的比率,Rp为NO3--N生成与NH4+-N消耗的比率,NRR和NRE的计算方法如下。血红素c的测定方法参考Barr等[25]研究。样本之间的统计差异采用SPSS 26.0中的单因素方差分析(ANOVA),显著性水平设定为p < 0.01。
| $ N R E=\frac{C_{\text {in }}-C_{\text {out }}}{C_{\text {in }}} \times 100 \% 。$ | (2) |
| $ N R R=\frac{\left(C_{\text {in }}-C_{\text {out }}\right) \times Q}{t} 。$ | (3) |
式中:Cin是进水中氮的浓度(mg·L-1);Cout是出水中氮的浓度(mg·L-1);Q是进水流量(L·h-1);t是时间(h)。
2 结果与讨论 2.1 反应器脱氮性能如图 1所示,P0阶段R1和R2反应器出水NH4+-N和NO2--N浓度均分别低于1和0.50 mg·L-1,出水NO3--N浓度稳定在(70.62±3.72) mg·L-1,脱氮效率(Nitrogen removal efficiency,NRE)稳定在(84.33±0.67)%,接近理论脱氮效率。氮去除速率(Nitrogen removal rate,NRR)保持在(2.21±0.17) kg·m-3·d-1,RS和RP分别稳定在1.14±0.05和0.32±0.03,接种的Anammox污泥活性较高,反应器脱氮性能稳定。在P1阶段,向R1反应器中添加甜菜碱和Ni(Ⅱ)后,R1中的NO3--N浓度急剧下降,在47 d时达到最低(53.17 mg·L-1),NO3--N的去除提高了R1反应器的脱氮效率,最大NRE达到93.50%,较R2反应器提高了6.83%。Zhu等[16]证实短期添加甜菜碱可有效提高Anammox工艺的脱氮性能。甜菜碱作为一种小分子有机物,可促进反应器中反硝化菌的生长。适量的反硝化细菌可将NO3--N作为反应底物,消耗Anammox过程产生的NO3--N,从而提高反应器的氮去除率。而反硝化细菌的过度繁殖会与AnAOB强烈竞争反应底物,抑制AnAOB的生长,降低反应器脱氮的稳定性。
|
图 1 R1((a)、(c))和R2((b)、(d))在Ni(Ⅱ)胁迫下的脱氮性能 Fig. 1 Denitrification performance of R1 ((a), (c)) and R2 ((b), (d)) under Ni(Ⅱ) stress |
在P2阶段初期,R1反应器的脱氮性能与R2反应器相比并不稳定,R1反应器出水中的NH4+-N和NO2--N浓度略有增加,分别为(4.12±0.32) 和(2.33±0.42) mg·L-1。相比之下,R2反应器出水NH4+-N和NO2--N仍然较低分别为(2.37±0.14) 和(1.53±0.17) mg·L-1,主要由于AnAOB对环境的变化较为敏感,需要较长时间适应新环境,甜菜碱的添加促进了反硝化细菌的生长,可能会短暂抑制AnAOB的生长,从而导致R1反应器的脱氮性能不稳定。R1中Rp值较R2降低,归因于在抑制条件下细胞会衰亡和裂解,产生可溶性有机碳和氨。反硝化作用可能会利用AnAOB裂解产生的电子供体来还原亚硝酸盐和硝酸盐,而甜菜碱也能为反硝化细菌提供电子供体。
在P4阶段,R2反应器的脱氮性能受到严重抑制,40 d内NRE由71.89%降至46.13%,工艺脱氮性能已严重恶化。而R1反应器中长期添加甜菜碱使AnAOB较好抵御2.0 mg·L-1 Ni(Ⅱ)的胁迫,R1反应器的NRE由72.26%提到84.65%,并在P4阶段保持稳定,表明甜菜碱可帮助AnAOB抵御Ni(Ⅱ)毒性,反应器在2.0 mg·L-1Ni(Ⅱ)胁迫下仍保持较高脱氮性能。在适当浓度的条件下,长期添加甜菜碱对缓解Ni(Ⅱ)对Anammox工艺胁迫的有效性。P5阶段,R1反应器的脱氮性能先降低后小幅上升后稳定,NRE降至62.52%后逐步升高最终稳定于(70.36±1.57)%。甜菜碱无法有效缓解4.0 mg·L-1 Ni(Ⅱ)的胁迫(P6阶段),R1反应器出水NH4+-N和NO2--N浓度剧增,NRE降至49.53 %,反应器性能崩溃。以上结果区别于Chen等[11]和Zhu等[16]在批次实验中得出的甜菜碱长期作用无效的结论,证实了在Ni(Ⅱ)胁迫下长期添加甜菜碱作为缓毒剂的可行性。
2.2 SAA和Heme c含量Heme c是NiR、HZS和HZO等AnAOB关键酶的重要组成,在能量代谢和细胞合成中发挥着重要作用[26]。Heme c可用于表征Anammox系统在Ni(Ⅱ)胁迫下的代谢活动。如图 2所示,随着Ni(Ⅱ)浓度从0增至1 mg·L-1,R1反应器的Heme c含量从(3.48±0.23) μmol·g-1降至(0.76±0.02) μmol·g-1,降幅达78.16%;R2反应器的Heme c含量从(3.72±0.34) μmol·g-1降至(1.13±0.05) μmol·g-1,降幅达69.62%。结果表明,添加Ni(Ⅱ)会抑制Heme c的产生,Zhang等[4]同样观察到了Ni(Ⅱ)对Heme c抑制的现象。但当Ni(Ⅱ)添加量从1增加到2 mg·L-1时,R1中的Heme c含量增加到(1.54±0.12) μmol·g-1,在R2中,Heme c含量显著降低到(0.64±0.07) μmol·g-1(P4),表明甜菜碱的添加增强了Anammox系统对Ni(Ⅱ)的耐受性,帮助AnAOB在Ni(Ⅱ)胁迫下维持Heme c的合成。Ni(Ⅱ)作为微生物必需的微量元素,可被整合到酶催化中心,如F430酶是甲烷生产过程中催化多个反应的关键酶,而Ni(Ⅱ)是F430酶的重要组成部分[26]。甜菜碱可以帮助AnAOB维持在高Ni(Ⅱ)环境下Heme c的合成。SAA可表征Anammox反应过程中底物转移速率和AnAOB代谢速率[27]。在P0阶段,R1和R2反应器的SAA分别稳定在(10.16±1.23)和(10.13±1.05) mg·g-1·h-1。在P0—P2阶段,SAA骤降至(1.63±0.75)和(2.70±0.57) mg·g-1·h-1,而在P2—P4阶段,R1反应器的SAA缓慢回升至(4.64±0.53) mg·g-1·h-1,R2 反应器的SAA继续下降至(0.99±0.07) mg·g-1·h-1。在Ni(Ⅱ)浓度为1~2 mg·L-1时,甜菜碱的添加增强了AnAOB对Ni(Ⅱ)的抗性,维持了Heme c的分泌,提高了Anammox系统的SAA。
|
图 2 Ni(Ⅱ)胁迫下反应器中SAA和Heme c含量变化 Fig. 2 Variations of SAA and Heme c under Ni(Ⅱ) stress in different Anammox-UASB reactor |
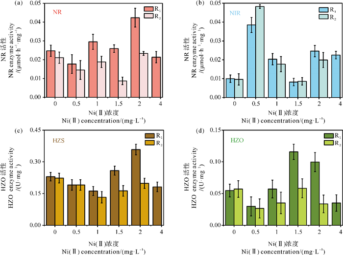
反应器R1和R2的初始NR活性分别为(0.025±0.003)和(0.021±0.005) μmol·h-1·mg-1(见图 3(a))。随着Ni(Ⅱ)浓度增加,R1的NR活性在P4阶段时达到最大值(0.043±0.004) μmol·h-1·mg-1,较R2提高了81.54%(p < 0.05)。特别是在P3阶段时,R1的NR活性比R2提高了196.22%(p < 0.01)。表明Ni(Ⅱ)对NR活性有特异性抑制作用,而经过长期驯化后,其抑制作用逐渐减弱,而添加甜菜碱可显著提高Anammox系统中NR活性。研究表明,当外部因子抑制Anammox过程时,AnAOB需要更多的电子来维持其生长[28]。甜菜碱可以帮助AnAOB获得更多电子,从而使其NR活性提高,以维持其在Ni(Ⅱ)胁迫下的正常生理活动。
|
图 3 Ni(Ⅱ)胁迫下甜菜碱对AnAOB酶活性的影响 Fig. 3 Long-term effects of betaine on AnAOB enzyme activity under Ni(Ⅱ) stress |
NiR催化亚硝酸盐还原为一氧化氮过程,NiR也是反硝化细菌中的一种关键酶。如图 3(b)所示,反应器R1和R2的初始NiR活性分别为(0.025±0.002)和(0.021±0.003) μmol·h-1·mg-1。0.5 mg·L-1 Ni(Ⅱ)能显著提高Anammox系统中NiR的活性,分别为(0.038±0.004)和(0.048±0.001) μmol·h-1·mg-1。Liu等[29]研究表明,甜菜碱的长期添加往往会导致反硝化细菌的快速增殖,进而NiR活性也会迅速提高。本实验中,R1的NiR活性仅略高于R2,表明在Ni(Ⅱ)胁迫下长期添加0.5 mmol·L-1甜菜碱未出现反硝化细菌与AnAOB之间的竞争,反而促进两种功能菌的脱氮合作。
HZS和HZO作为AnAOB特有的功能酶,HZS催化氨氮和一氧化氮合成肼过程,HZO催化肼向氮气的转化反应。如图 3(c)所示,R1和R2的初始HZS活性分别为(0.23±0.02)和(0.22±0.03) U·mg-1。随着Ni(Ⅱ)浓度的增加,HZS的活性呈现先降低后升高的趋势。R1中的HZS活性在P4达到最大值(0.36±0.05) U·mg-1,与R2相比,最大增幅达80.81%(p < 0.01)。在R2中,HZS活性达到最大值(0.19±0.01) U·mg- 1,但与P0相比仍呈下降趋势。HZO活性变化趋势与HZS相似,呈现先下降后上升的趋势(见图 3(d));R1和R2的初始HZO活性分别为(0.055±0.02)和(0.057±0.01)U·mg-1。在P3阶段,R1和R2的HZO活性最大值分别为(0.12±0.01)和(0.058±0.02) U·mg-1。在P4阶段时,R1的HZO活性比R2提高了195.87%(p < 0.01)。Bai等[30]研究发现,在高盐度环境下添加相容性溶质可以提高HZS和HZO的活性,从而提高AnAOB的耐盐性。而在本实验中,在Ni(Ⅱ)胁迫下,添加甜菜碱也可有效提高Aanmmox系统中HZS和HZO的活性,提高AnAOB对Ni(Ⅱ)的耐受性。
2.4 EPS 2.4.1 EPS的含量和成分EPS被认为是微生物与外界环境的第一道屏障,调节EPS的产生是AnAOB抵抗环境胁迫的基本策略之一,EPS中丰富的官能团为重金属吸附提供了丰富的结合位点[31]。在P0阶段,R1的EPS总含量为(76.35±2.64) mg·g-1,R2为(74.52±2.49) mg·g-1(见图 4(b))。Ni(Ⅱ)胁迫下,R1和R2的EPS总含量均下降。P1阶段,R1和R2的EPS总含量分别急剧下降至(48.63±1.96)和(53.40±1.89) mg·g-1,降幅分别为36.31%和28.34%。随着Ni(Ⅱ)浓度的增加,EPS下降趋势仍继续。P2阶段,R1的EPS含量降至(32.23±2.94) mg·g-1,而R2为(40.63±1.85) mg·g-1。在P0阶段,R1的紧密附着EPS(Tightly bound EPS, TB-EPS)含量为(70.22±2.24) mg·g-1,R2为(68.62±2.19) mg·g-1(见图 4(c))。在P1阶段,R1和R2的TB-EPS含量分别急剧下降至(41.54±1.76) 和(46.80±1.89) mg·g-1,降幅分别为40.81%和31.79%。在P2阶段,R1的TB-EPS含量降至(45.09±1.94) mg·g-1,而R2为(49.23±1.85) mg·g-1。在P4时,R1中的TB-EPS含量为(25.13±1.51) mg·g-1,小于R2中的(38.03±1.75) mg·g-1。在P6阶段,R1的TB-EPS含量甚至降至(13.23±1.35) mg·g-1。上述结果表明,添加甜菜碱抑制了AnAOB的EPS分泌,且主要抑制其中TB-EPS的分泌。
|
图 4 甜菜碱在Ni(Ⅱ)胁迫下对LB-EPS(a)、EPS(b)、TB-EPS(c)和AnAOB(d)中Ni(Ⅱ)分布的长期影响 Fig. 4 Long-term effects of betaine on Ni(Ⅱ) distribution in LB-EPS (a), EPS (b), TB-EPS (c) and AnAOB (d) under Ni(Ⅱ) stress |
在P0阶段,R1的松散附着EPS(Loosely bound EPS, LB-EPS)LB-EPS含量为(6.13±0.24) mg·g-1,R2为(5.91±0.19) mg·g-1。随着Ni(Ⅱ)浓度的增加,R1和R2的LB-EPS发生了不同的变化。在P1阶段,R1和R2的LB-EPS含量分别升高至(7.12±0.16)和(6.60±0.19) mg·g-1,表明适当浓度的Ni(Ⅱ)对AnAOB产生了一定的刺激,AnAOB可通过分泌LB-EPS抵御Ni(Ⅱ)毒害作用。在P2阶段,R1的LB-EPS含量降至(3.71±0.09) mg·g-1,而R2为(2.63±0.85) mg·g-1,表明1 mg·L-1的Ni(Ⅱ)对AnAOB的毒性逐渐超过了其自身的耐受范围,Ni(Ⅱ)的毒性开始显现,破坏了AnAOB分泌LB-EPS。在P4阶段时,R1中的LB-EPS含量恢复到(7.10±0.11) mg·g-1,远大于R2中的(2.61±0.15) mg·g-1,是R2的1.84倍。在P6阶段,R1的LB-EPS含量仍保持在(5.85±0.15) mg·g-1,表明甜菜碱的添加对LB-EPS的分泌有显著改善(p < 0.01)。在Ni(Ⅱ)胁迫下,添加甜菜碱抑制了AnAOB分泌TB-EPS,促进了LB-EPS的产生。Teng等[32]研究发现,LB-EPS在结合重金属方面比TB-EPS更有效。甜菜碱可通过刺激AnAOB产生更多LB-EPS抵御Ni(Ⅱ)毒性。此外,EPS的合成和分泌需要额外的能量,占用了细胞生长的资源,可能会影响AnAOB的生长[33]。添加甜菜碱的R1中AnAOB产生更多的LB-EPS,成为抵御Ni(Ⅱ)入侵的更有效屏障,而较低EPS含量表明,AnAOB用于合成EPS的能量减少,AnAOB将更多的能量用于自身生长、繁殖和新陈代谢。
随着Ni(Ⅱ)浓度升高,PN/PS比值也随之升高,但添加甜菜碱的R1在P2至P4阶段的PN/PS比值均低于R2(见图 4(b))。在P0阶段,R1的PN/PS比值为5.93,R2为5.83。随Ni(Ⅱ)浓度不断提高,R1和R2的PN/PS比值均有不同程度的升高。在P1阶段,R1和R2的PN/PS比值分别增加至7.52和6.98。在P4阶段时,R1的PN/PS比值为7.84,小于R2中的14.63。在P6阶段,R1的PN/PS比值保持在8.01。PN/PS比值越低,颗粒污泥强度越高,反应器运行越稳定[34]。甜菜碱提高了Anammox污泥结构的稳定性,从而增强其对Ni(Ⅱ)的耐受能力。
2.4.2 Ni(Ⅱ)分布通过测定不同类型Ni(Ⅱ)分布变化,可更为直观地体现Ni(Ⅱ)的吸附和内化过程。如图 4(d)所示,当Ni(Ⅱ)浓度为0.5 mg·L-1时,大部分Ni(Ⅱ)被Anammox污泥分泌的EPS吸附,以表面结合态Ni(Ⅱ)的形式存在,分别占R1和R2中Ni(Ⅱ)总量的72%和64%(p < 0.01)。随着Ni(Ⅱ)浓度的不断增加,表面结合态Ni(Ⅱ)比例的不断减少,而胞内Ni(Ⅱ)的比例不断增加。在反应器R1中,吸附态Ni(Ⅱ)的比例在P2、P3、P4和P6阶段分别为71%、66%、61%和59%,胞内态Ni(Ⅱ)的比例分别为27%、33%、37%和39%。在反应器R2中,吸附态Ni(Ⅱ)的比例在P2、P3和P4阶段分别为69%、55%和54%,胞内态Ni(Ⅱ)的比例分别为29%、42%和45%。随着反应器中Ni(Ⅱ)浓度的不断升高,EPS的吸附能力达到饱和,抵抗能力逐渐减弱,Ni(Ⅱ)穿过EPS屏障进入AnAOB内部,对细胞产生毒性作用。甜菜碱可减缓Ni(Ⅱ)的内化速度,有助于AnAOB在较高Ni(Ⅱ) 浓度胁迫下保持脱氮活性。当Ni(Ⅱ)浓度为2.0 mg·L-1时,R2中的AnAOB胞内Ni(Ⅱ)和表面结合Ni(Ⅱ)的比例分别为45%和54%。胞内Ni(Ⅱ)的比例从33%增加到45%,表明近一半的Ni(Ⅱ)通过内化作用进入了AnAOB内部(p < 0.01)。相比之下,R1中细胞内的Ni(Ⅱ)只占总量的37%。高达61%的Ni(Ⅱ)以表面结合Ni(Ⅱ)的形式存在,表明AnAOB的EPS防御系统在甜菜碱的助力下仍然发挥着重要作用,进一步证实添加甜菜碱可使AnAOB产生更多LB-EPS,从而吸附更多的Ni(Ⅱ),减缓Ni(Ⅱ)的内化过程,增强AnAOB对Ni(Ⅱ)的抵御能力。
2.4.3 3D-EEM分析金属离子诱导的荧光猝灭是通过改变结合位点和电子极化而发生的,猝灭的程度可以表示金属离子的结合能力[35],利用3D-EEM揭示了在Ni(Ⅱ)胁迫下甜菜碱对AnAOB中EPS结构特征的影响。如图 5所示,在不同的Ni(Ⅱ)浓度下,EPS的荧光成分发生了显著变化。荧光峰有五类,分别是激发/发射(Ex/Em):B(270 nm/310 nm)、T(275 nm/340 nm)、A(260 nm/380~410 nm)、M (312 nm/380~420 nm)和C(350 nm/420~480 nm),通常对应于蛋白质类物质(B和T,生物利用率较高)和腐殖质类物质(A、C和M,生物利用率较低)的荧光峰。通过PARAFAC法确定了四个成分(见图 5),与OpenFluor在线数据库中公布的模型进行了比较。
|
图 5 PARAFAC模型拟合的四种组分 Fig. 5 Four components of the PARAFAC model |
其中,如图 6(a)所示,C1(290 nm,345 nm),C1峰位于峰T附近,该组分主要由酪氨酸类物质组成,通常与外源沉积物输入和自养生产有关[36];C2(275 nm,309/343 nm),该组分与酪氨酸类和色氨酸类物质有关[37];C3(275 nm,326 nm),该组分含有色氨酸类荧光团[38];C4(360 nm,450 nm),C4峰被确定为微生物类腐殖质,与富营养化环境有关,与峰值C相似[39]。不同Ni(Ⅱ)浓度下LB-EPS中四种物质荧光强度的变化见图 6(b)。随着Ni(Ⅱ)浓度的增加,R2中三种蛋白质类物质的荧光强度显著减弱,表明在LB-EPS中蛋白质类物质在Ni(Ⅱ)的结合过程中起着关键作用。在P2至P4阶段,反应器R1相较于R2,三种蛋白质类物质的荧光强度均有回升,表明甜菜碱的添加可有效促进LB-EPS中酪氨酸和色氨酸类物质的合成。综上,Ni(Ⅱ)能够与含有酪氨酸和色氨酸的基团进行特异性结合,而甜菜碱的添加进一步促进了LB-EPS中这些物质的生成,从而增强了AnAOB对Ni(Ⅱ)毒性的耐受性。
|
( (a)四种成分光谱;(b)最大峰值强度。(a) Corresponding spectra of the four components; (b) Their maximum peak intensities. ) 图 6 PARAFAC模型的EEM分析 Fig. 6 EEM analysis of the PARAFAC model |
在门水平上,反应器中的优势菌门为变形菌门(Proteobacteria)、绿弯菌门(Chloroflexi)、浮霉菌门(Planctomycetota)、拟杆菌门(Bacteroidota),且其丰度在各阶段均显著高于其他菌门(见图 7(a))。其中,许多反硝化细菌和硝化细菌属于变形菌门,其存在是氮代谢过程不可或缺的一部分[40]。绿弯菌门可降解和利用细菌代谢产物,促进系统中的营养转化[41]。拟杆菌门的细菌经常出现在活性污泥中,被认为有利于污泥结构的稳定[42]。AnAOB所属的浮霉菌门的丰度与NRE密切相关[43]。
|
图 7 门(a)和属(b)水平的微生物群落结构 Fig. 7 Microbial community structure at the phylum (a) and genus (b) level |
图 7(b)为属水平上的前20种细菌。Candidatus Brocadia和Candidatus Jettenia是典型的AnAOB。P1到P4阶段,随着反应器中Ni(Ⅱ)浓度的增加,AnAOB的数量发生了急剧变化,Candidatus Jettenia被迅速淘汰,Candidatus Brocadia成为主要的AnAOB。Candidatus Jettenia生长所需的能量较少,但其生长速度远远小于Candidatus Brocadia,需要更多的时间进行富集。Ni(Ⅱ)的胁迫加速了系统中微生物的死亡,Candidatus Jettenia的繁殖变得更加困难,导致其迅速淘汰。在P2阶段,R1和R2反应器中Candidatus Brocadia的丰度分别为18.34%和9.23%。在P4时,Candidatus Brocadia丰度分别为25.12%和3.12%。随着Ni(Ⅱ)浓度的增加,R2反应器中Candidatus Brocadia的丰度急剧下降,这表明R2反应器中的Anammox系统脱氮性能正濒临崩溃;而在添加甜菜碱的R1反应器中,Candidatus Brocadia的丰度则呈现先降后升趋势,证实甜菜碱的添加使AnAOB将更多的能量用于自身的生长和繁殖,P4阶段中Candidatus Brocadia的快速繁殖也导致了Anammox工艺的NRE快速提高。随着反应器中Ni(Ⅱ)浓度的增加,异养菌数量逐渐减少,颗粒污泥外层存在适量异养菌会协助AnAOB(一般栖息于颗粒内层)共同抵御Ni(Ⅱ)的毒性[44]。
3 结论(1) 甜菜碱可提高Anammox工艺对Ni(Ⅱ)的耐受性,对Ni(Ⅱ)的耐受浓度从2 mg·L-1提高到4 mg·L-1。甜菜碱可强化Ni(Ⅱ)胁迫下Anammox的脱氮性能,当Ni(Ⅱ)浓度为1 mg·L-1时Anammox-UASB反应器的脱氮效率为93.50%。当Ni(Ⅱ)浓度为2 mg·L-1时,在甜菜碱的作用下Anammox体系也能在80 d以上的时间里将NRE稳定在83%以上。
(2) 在Ni(Ⅱ)胁迫下,添加甜菜碱会相对抑制AnAOB分泌TB-EPS,促进LB-EPS的产生。更多的LB-EPS可更好地吸附Ni(Ⅱ),减缓Ni(Ⅱ)的内化过程。甜菜碱通过提高EPS中酪氨酸和色氨酸基团的含量,进一步促进了Ni(Ⅱ)与这些基团的特异性结合,从而帮助AnAOB更好地抵御Ni(Ⅱ)的胁迫作用。
(3) 甜菜碱可促进AnAOB中Heme c的合成,提高Anammox反应中功能酶NR、HZO和HZS的活性。相较于未添加甜菜碱的对照组,NR、HZO和HZS活性最大增幅分别为196.22%、80.81%和195.87%。在长期Ni(Ⅱ)胁迫下添加甜菜碱会增加体系中Candidatus Brocadia的丰度,使其逐渐成为优势AnAOB,当Ni(Ⅱ)浓度为2 mg·L-1时,Candidatus Brocadia丰度可达25.12%。
| [1] |
邓凯丽, 邢薇, 曹恩凯, 等. 厌氧氨氧化处理高氨氮废水的运行效能及碳排放分析[J]. 工业水处理, 2025, 45(4): 169-175. Deng K L, Ka W, Cao E K, et al. Operational efficiency and carbon emission analysis of ANAMMOX treatment of high ammonia nitrogen wastewater[J]. Industrial Water Treatment, 2025, 45(4): 169-175. ( 0) |
| [2] |
Wang K, Li J, Gu X, et al. How to provide nitrite robustly for anaerobic ammonium oxidation in mainstream nitrogen removal[J]. Environmental Science & Technology, 2023, 57(51): 21503-21526. ( 0) |
| [3] |
周玮怡. 厌氧氨氧化工艺特性及影响因素综述[J]. 资源节约与环保, 2024(6): 104-108. Zhou W Y. An overview of the characteristics and influencing factors of the ANAMMOX process[J]. Resource Conservation and Environmental Protection, 2024(6): 104-108. ( 0) |
| [4] |
Zhang Y, Sun Q, Zhao B, et al. Response of anammox to long-term stress of Ni(Ⅱ): Nitrogen removal, microbial products and microbial community[J]. Biochemical Engineering Journal, 2023, 200: 109112. DOI:10.1016/j.bej.2023.109112 ( 0) |
| [5] |
Kumar A, Sidharth S, Kandasu B. A review on algal biosorbents for heavy metal remediation with different adsorption isotherm models[J]. Environmental Science and Pollution Research, 2023, 30(14): 39474-39493. DOI:10.1007/s11356-023-25710-5 ( 0) |
| [6] |
Yang Q, Sun J, Wang D, et al. Effect of nickel on the flocculability, settleability, and dewaterability of activated sludge[J]. Bioresource Technology, 2017, 224: 188-196. DOI:10.1016/j.biortech.2016.11.018 ( 0) |
| [7] |
Cheng J, Qiao L, Xu W, et al. Nickel (Ⅱ) effects on Anammox reaction: Reactor performance, dehydrogenase, sludge morphology and microbial community changes[J]. Environmental Technology, 2022, 43(27): 4227-4236. DOI:10.1080/09593330.2021.1946165 ( 0) |
| [8] |
Li Y Q, Zhao B H, Sun Q, et al. Short-term responses of the anammox process to Ni(Ⅱ): Nitrogen removal, mechanisms and inhibition recovery[J]. Scientific Reports, 2022, 12(1): 12588. DOI:10.1038/s41598-022-16566-9 ( 0) |
| [9] |
Zhang Z, Xu J, Shi Z, et al. Combined impacts of nanoparticles on anammox granules and the roles of EDTA and S 2- in attenuation[J]. Journal of Hazardous Materials, 2017, 334: 49-58. DOI:10.1016/j.jhazmat.2017.04.002 ( 0) |
| [10] |
Zhang Z, Cheng Y, Zhou Y, et al. A novel strategy for accelerating the recovery of an anammox reactor inhibited by copper(Ⅱ): EDTA washing combined with biostimulation via low-intensity ultrasound[J]. Chemical Engineering Journal, 2015, 279: 912-920. DOI:10.1016/j.cej.2015.05.081 ( 0) |
| [11] |
Chen H, Yu J, Jia X, et al. Enhancement of anammox performance by Cu(Ⅱ), Ni(Ⅱ) and Fe(Ⅲ) supplementation[J]. Chemosphere, 2014, 117: 610-616. DOI:10.1016/j.chemosphere.2014.09.047 ( 0) |
| [12] |
Vyrides I, Stuckey D C. Compatible solute addition to biological systems treating waste/wastewater to counteract osmotic and other environmental stresses: A review[J]. Critical Reviews in Biotechnology, 2017, 37(7): 865-879. DOI:10.1080/07388551.2016.1266460 ( 0) |
| [13] |
Zhang Z, Wan J, Ye G, et al. Effects of salinity and betaine addition on anaerobic granular sludge properties and microbial community succession patterns in organic saline wastewater[J]. Journal of environmental sciences (China), 2025, 147: 310-321. DOI:10.1016/j.jes.2023.10.027 ( 0) |
| [14] |
Hincha D K, Hagemann M. Stabilization of model membranes during drying by compatible solutes involved in the stress tolerance of plants and microorganisms[J]. Biochemical Journal, 2004, 383(Pt 2): 277-283. ( 0) |
| [15] |
Mascellani N, Liu X, Rossi S, et al. Compatible solutes from hyperthermophiles improve the quality of DNA microarrays[J]. BMC Biotechnol, 2007, 7: 82. DOI:10.1186/1472-6750-7-82 ( 0) |
| [16] |
Zhu W, Li J, Dong H, et al. Nitrogen removal performance and operation strategy of anammox process under temperature shock[J]. Biodegradation, 2017, 28(4): 261-274. DOI:10.1007/s10532-017-9794-9 ( 0) |
| [17] |
Fu J, Wang Y, Yang J, et al. Mitigating the detrimental effects of salt stress on anammox process: A comparison between glycine betaine and mannitol[J]. Science of the Total Environment, 2022, 851: 158221. DOI:10.1016/j.scitotenv.2022.158221 ( 0) |
| [18] |
Li Z, Peng Y, Gao H. A novel strategy for accelerating the recovery of a Fe(Ⅱ)-inhibited anammox reactor by intermittent addition of betaine: Performance, kinetics and statistical analysis[J]. Chemosphere, 2020, 251: 126362. DOI:10.1016/j.chemosphere.2020.126362 ( 0) |
| [19] |
吴丹阳, 栾亚萍, 宋利国, 等. 高盐环境下ANAMMOX-UASB反应器启动特性[J]. 中国海洋大学学报(自然科学版), 2023, 53(S1): 84-93. Wu D Y, Luan Y P, Song L G, et al. Start-up characteristics of ANAMMOX-UASB reactors under high-salinity conditions[J]. Periodical of Ocean University of China, 2023, 53(S1): 84-93. ( 0) |
| [20] |
Wang Z, Gao M, Wang Z, et al. Effect of salinity on extracellular polymeric substances of activated sludge from an anoxic-aerobic sequencing batch reactor[J]. Chemosphere, 2013, 93(11): 2789-2795. DOI:10.1016/j.chemosphere.2013.09.038 ( 0) |
| [21] |
Li S, Ma B, Zhao C, et al. Long-term effect of different Cu(Ⅱ) concentrations on the performance, microbial enzymatic activity and microbial community of sequencing batch reactor[J]. Environmental Pollution, 2019, 255: 113216. DOI:10.1016/j.envpol.2019.113216 ( 0) |
| [22] |
Wang Y, Ji M, Zhao Y, et al. Recovery of nitrification in cadmium-inhibited activated sludge system by bio-accelerators[J]. Bioresource Technology, 2016, 200: 812-819. DOI:10.1016/j.biortech.2015.10.089 ( 0) |
| [23] |
Hu Z, Chandran K, Grasso D, et al. Impact of metal sorption and internalization on nitrification inhibition[J]. Environmental Science & Technology, 2003, 37(4): 728-734. ( 0) |
| [24] |
Eaton A D, Clesceri L S, Rice E W, et al. Standard Methods for the Examination of Water and Wastewater[M]. 21st ed. Washington: American Public Health Association, 2005.
( 0) |
| [25] |
Barr I, Guo F. Pyridine hemochromagen assay for determining the concentration of heme in purified protein solutions[J]. Bio-Protocol, 2015, 5(18): e1594. ( 0) |
| [26] |
Zhu J, Zou X, Zheng Y, et al. Typical community structure and functional genes of anammox and changes in the effects of saline wastewaters: A critical review[J]. Journal of Environmental Chemical Engineering, 2023, 11(6): 111481. DOI:10.1016/j.jece.2023.111481 ( 0) |
| [27] |
Jin R, Yang G, Zhang Q, et al. The effect of sulfide inhibition on the anammox process[J]. Water Research, 2013, 47(3): 1459-1469. DOI:10.1016/j.watres.2012.12.018 ( 0) |
| [28] |
Niu Q, He S, Zhang Y, et al. Process stability and the recovery control associated with inhibition factors in a UASB-anammox reactor with a long-term operation[J]. Bioresource Technology, 2016, 203: 132-141. DOI:10.1016/j.biortech.2015.12.003 ( 0) |
| [29] |
Liu M, Peng Y, Wang S, et al. Enhancement of anammox activity by addition of compatible solutes at high salinity conditions[J]. Bioresource Technology, 2014, 167: 560-563. DOI:10.1016/j.biortech.2014.06.015 ( 0) |
| [30] |
Bai L, Li J, Biswal B K, et al. Enhanced performance of "Candidatus Brocadia sinica" treating nitrogen-laden saline wastewater resulting from sorbitol addition: Enzyme activities and kinetics[J]. Desalination, 2020, 478: 114304. DOI:10.1016/j.desal.2019.114304 ( 0) |
| [31] |
Zhang Q, Wu J, Yu Y, et al. Microbial and genetic responses of anammox process to the successive exposure of different antibiotics[J]. Chemical Engineering Journal, 2021, 420: 127576. DOI:10.1016/j.cej.2020.127576 ( 0) |
| [32] |
Teng Z, Shao W, Zhang K, et al. Pb biosorption by Leclercia adecarboxylata: Protective and immobilized mechanisms of extracellular polymeric substances[J]. Chemical Engineering Journal, 2019, 375: 122113. DOI:10.1016/j.cej.2019.122113 ( 0) |
| [33] |
Zhang M, Wang S, Bi Y, et al. Enhanced nitrogen removal of single stage partial nitritation anammox system by glycine betaine addition at low temperature: Performance and mechanism[J]. Journal of Water Process Engineering, 2022, 49: 102959. DOI:10.1016/j.jwpe.2022.102959 ( 0) |
| [34] |
Wang Q, He S, Yang W, et al. The effects of salinity changes on anammox performance: The response rule and tolerance mechanism[J]. Water Environment Research, 2022, 94(9): e10789. DOI:10.1002/wer.10789 ( 0) |
| [35] |
Wei D, Li M, Wang X, et al. Extracellular polymeric substances for Zn (Ⅱ) binding during its sorption process onto aerobic granular sludge[J]. Journal of Hazardous Materials, 2016, 301: 407-415. DOI:10.1016/j.jhazmat.2015.09.018 ( 0) |
| [36] |
Ren W, Wu X, Ge X, et al. Characteristics of dissolved organic matter in lakes with different eutrophic levels in southeastern Hubei Province, China[J]. Journal of Oceanology and Limnology, 2021, 39(4): 1256-1276. DOI:10.1007/s00343-020-0102-x ( 0) |
| [37] |
Zhou X, Johnston S E, Bogard M J. Organic matter cycling in a model restored wetland receiving complex effluent[J]. Biogeochemistry, 2023, 162(2): 237-255. DOI:10.1007/s10533-022-01002-x ( 0) |
| [38] |
Ryan K A, Palacios L C, Encina F, et al. Assessing inputs of aquaculture-derived nutrients to streams using dissolved organic matter fluorescence[J]. Science of the Total Environment, 2022, 807(2): 150785. ( 0) |
| [39] |
Thompson L M, Kuhn M A, Winder J C, et al. Controls on methylmercury concentrations in lakes and streams of peatland-rich catchments along a 1 700 km permafrost gradient[J]. Limnology and Oceanography, 2023, 68(3): 583-597. DOI:10.1002/lno.12296 ( 0) |
| [40] |
Su H, Zhang D, Antwi P, et al. Adaptation, restoration and collapse of anammox process to La(Ⅲ) stress: Performance, microbial community, metabolic function and network analysis[J]. Bioresource Technology, 2021, 325: 124731. DOI:10.1016/j.biortech.2021.124731 ( 0) |
| [41] |
Zhang K, Yang B, Ma Y, et al. A novel anammox process combined with vibration technology[J]. Bioresource Technology, 2018, 256: 277-284. DOI:10.1016/j.biortech.2018.01.128 ( 0) |
| [42] |
Quan Z, Rhee S, Zuo J, et al. Diversity of ammonium-oxidizing bacteria in a granular sludge anaerobic ammonium-oxidizing (anammox) reactor[J]. Environmental Microbiology, 2008, 10(11): 3130-3139. DOI:10.1111/j.1462-2920.2008.01642.x ( 0) |
| [43] |
Zhang X, Al-Dhabi N A, Zhang X, et al. Activation of denitrification potential within anammox consortia to exceed nitrogen removal thresholds via Fe-Mn functionalized biochar: Enhanced interspecies electron transfer and metabolite cross-feeding[J]. Chemical Engineering Journal, 2024, 497: 154707. DOI:10.1016/j.cej.2024.154707 ( 0) |
| [44] |
Ni L, Wang Y, Lin X, et al. Enhancement of the adaptability of anammox granules to zinc shock by appropriate organic carbon treatment[J]. Bioresource Technology, 2018, 268: 496-504. DOI:10.1016/j.biortech.2018.08.035 ( 0) |
2. Technical Center for Soil, Agriculture and Rural Ecology and Environmental, Ministry of Ecology and Environmental, Beijing 100012, China;
3. Weifang Binhai Ecological Environment Monitoring Center, Weifang 261108, China
2026, Vol. 56



0)