海洋与大气之间存在着动量、热量和物质的交换,准确计算海-气界面间的各种湍流通量在海洋大气耦合模式研究以及气候预报中有着重要意义。多年来,海-气界面动量通量的准确测量、计算和参数化一直是研究的热点,为此发展了多种不同的测量方法,如涡相关法、廓线法和惯性耗散法等[1-3],其中,涡相关法是测量海-气界面动量通量最直接的方法,得到最为广泛的应用[4-5]。
涡相关法通常利用超声风速仪定点连续高频率(10 Hz或更高)测量x和y水平方向的瞬时风速(u, v)、垂向z方向的瞬时风速w,根据对湍流观测的平稳性和各态历经性要求,确定取平均值的某一定时间,通常取10~60 min(这通常被称为湍流平均周期),计算不同方向观测数据的平均值(u, v, w),相应的湍流脉动值(u′, v′, w′)等于其瞬时值与平均值之差,即
| $ \begin{align*} u^{\prime} & =u-\bar{u}, \\ v^{\prime} & =v-\bar{v}, \\ w^{\prime} & =w-\bar{w} 。\end{align*} $ | (1) |
式中:u、v和w是瞬时风速;u、v和w是三维风速的平均值;u′、, v′和w′是湍流脉动值。
在实际测量时,如果测量平面水平,则直接使垂向平均速度值w=0。根据湍流动量通量的定义,风应力可以写成
| $ \begin{equation*} \frac{\boldsymbol{\tau}}{\rho}=-\left(\overline{u^{\prime} w^{\prime}}\right) \boldsymbol{i}-\left(\overline{v^{\prime} w^{\prime}}\right) \boldsymbol{j} 。\end{equation*} $ | (2) |
式中:τ为风应力矢量; ρ为空气密度; i和j为二维水平方向的单位向量,i表示风应力在东西方向(纬向)上的分量,j表示风应力在南北方向(经向)上的分量;
| $ \begin{equation*} \tau=\rho \sqrt{\left(\overline{u^{\prime} w^{\prime}}\right)^{2}+\left(\overline{v^{\prime} w^{\prime}}\right)^{2}}=\rho u_{*}^{2} \text { 。} \end{equation*} $ | (3) |
这里u*定义为空气摩擦速度,所以空气摩擦速度可以表示为
| $ \begin{equation*} u_{*}=\left[\left(\overline{u^{\prime} w^{\prime}}\right)^{2}+\left(\overline{v^{\prime} w^{\prime}}\right)^{2}\right]^{1 / 4} \text { 。} \end{equation*} $ | (4) |
在中性大气稳定度条件下,海面上的平均风速U(z)为高度z的对数函数
| $ \begin{equation*} U_{(z)}=\frac{u_{*}}{\kappa} \ln \left(\frac{z}{z_{0}}\right) 。\end{equation*} $ | (5) |
式中:z0为海面粗糙度;κ为von Kármán常数,κ=0.4。海上风速通常用海面上方10 m高度处风速U10表示,当实际测量高度不足10 m时,需要用上式进行换算。
使用涡相关法计算动量通量要保证超声风速仪的测量平面与海面平行,使得垂向平均速度为0,避免由于仪器倾斜使观测到的水平风速和垂向风速产生交叉影响,导致动量通量的计算误差。然而,在实际安装测量时,超声风速仪难以避免倾斜,测量得到的三维风速在所谓的“仪器坐标系”中,需要对测量数据进行倾斜校正,才可以准确计算动量通量。Wilczak等[6]的研究表明,对于1°的倾斜,在中等不稳定条件下动量通量误差大于10%,在自由对流条件下可高达100%。
为了进行倾斜校正,学者们先后提出了三种倾斜校正方法,即二次旋转法(Double rotation, DR)、三次旋转法(Triple rotation, TR)和平面拟合法(Planar fit, PF)。二次旋转方法由Tanner和Thurtell[7]提出,第一次旋转绕z轴旋转,使得横向平均风速v=0,第二次旋转绕新y轴旋转,使得垂向平均风速 w=0[8]。McMillen[9]提出了三次旋转法,即在二次旋转法的基础上,再绕新x轴进行第三次旋转,使得
有研究指出,基于坐标旋转的二次旋转和三次旋转方法进行倾斜校正时,会存在垂向风速过度旋转的情况,在风速较小和流动畸变较大情况下,会出现不切实际的大旋转角度,降低倾斜校正质量[13-14],并可能因高通滤波效应而低估通量的低频贡献[3, 15-17]。针对二次旋转的这些问题,有研究提出分风向区使用二次旋转方法,但是仍然不能解决二次旋转在垂向风速校正上存在误差的问题[18-22]。此外,坐标旋转法通常假设横向应力远小于主风向应力,因此在计算中常将其忽略。然而,在许多情形下,横向应力(v′w′)并不为0,强迫横向应力为零可能会出现能量不闭合的情况[10, 23]。尤其在海面上,如果波浪的传播方向与平均风向不同,此时横向应力就会比较大[24-25]。
Wilczak等[6]提出使用平面拟合法进行倾斜校正,该方法利用长期观测数据找出集合平均流线平面, 确定局地集合流线坐标系[26],以此校正整体观测数据。即计算一段时间观测数据的平均水平和垂直风速,得到仪器平面与海面的倾斜角度和旋转矩阵,将观测到的瞬时风速旋转到与海面平行的坐标系中。与二次旋转和三次旋转方法相比,平面拟合法使长期观测时间范围上的平均垂向风速趋于0,允许短期平均垂向速度(如湍流平均时间内)并不为0。
平面拟合法的使用要求超声风速仪在使用期间未发生移动,如果超声风速仪被移动或重新安装,则必须在变化之间的每个时间段进行单独的拟合计算。其次使用平面拟合法可能改变空气水平运动方向的动能,有时无法修正依赖复杂风向的流动畸变[26-27]。因而有研究者主张采用分风向区的平面拟合解决这一问题,但在复杂地形条件下该方法会使通量低估[14, 28-30]。
海洋观测平台通常比陆地观测平台结构复杂,可能会引起更多的流动畸变,并且海洋表面波动持续存在,海表起伏不定。在此类复杂下垫面条件下,不同倾斜校正方法对动量通量计算的影响尚不明确。本文基于南海博贺茂名海洋观测平台数据,探究了三种倾斜校正方法对涡相关法动量通量计算的影响。
1 观测数据和质量控制观测数据均来自广东博贺茂名海上综合观测平台(111°23.5′E,21°26.5′N),该观测平台距海岸6.5 km,平均水深约14 m(见图 1)。利用CSAT3超声风速仪对三维风速进行了快速观测,采样频率设置为10 Hz。两套数据的观测时间分别是2012年1月18日至6月27日和2021年1月3日至4月13日,测量高度距离海面分别为19和6 m。
|
图 1 茂名观测平台位置图 Fig. 1 The location map of Maoming observation platform |
海洋湍流观测会受到观测环境、仪器损坏以及极端天气等的影响,导致观测数据出现偏离真实值的情况,这些异常数据在广义上称为野点。因此利用涡相关法进行湍流通量计算之前,需要先对数据进行质量控制,去掉观测数据中的野点。参考Højstrup[31]、Vickers和Mahrt[32]提出的野点去除方法,本文使用如下的方法流程:
(1) 原始数据以30 min为一组,对三维风速数据和超声虚温数据的缺失数据点进行标记。
(2) 选取15 min采样时长的数据作为一个窗口进行野点查找(窗口长度是9 000个数据点),求该窗口内数据的平均值和标准方差,若数据点与平均值的偏差超过3.5倍标准差则视为野点,进行标记。
(3) 忽略已标记的野点数据,取窗口内余下数据的均值和标准方差,进行同样的野点判别过程,但此时数据点偏离均值(3.5+0.1k)倍标准方差以上则视为野点并标记位置(其中k为该组野点查找次数减1),重复操作至该窗口内无新野点被发现。
(4) 以窗口长度向前移动一个数据点,重复以上操作,直至一组数据的最后一个数据点,则该组数据野点查找结束。
(5) 当一组数据的连续野点数量达到10个或总野点数占比超过10%,则该组数据视为无效数据并舍弃。
(6) 最后,对标记为野点的数据进行线性插值处理。
2 三种倾斜校正方法利用涡相关法进行观测时,超声风速仪的测量平面难以严格保持水平。若仪器发生倾斜,水平风速在测量平面法线上的分量会被误计入垂向风速,导致垂向脉动风速w′平均值不为0,从而产生测量误差。这通常需要用倾斜校正方法,使得w′=0。下面分别介绍常用的三种倾斜校正方法。
二次旋转法(DR)对每个湍流平均时间内的三维风速数据进行两次坐标旋转[8]。第一次旋转是将坐标轴沿z轴进行旋转使得平均横向风速v为0,旋转角α称为偏航角:
| $ \begin{gather*} \alpha=\arctan \left(\frac{\bar{v}_{m}}{\bar{u}_{m}}\right), \\ u_{1}=u_{m} \cos \alpha+v_{m} \sin \alpha, \\ v_{1}=-u_{m} \sin \alpha+v_{m} \cos \alpha, \\ w_{1}=w_{m} 。\end{gather*} $ | (6) |
式中:um是湍流平均周期内主风向观测风速平均;vm是湍流平均周期内横向观测风速平均;wm是湍流平均周期内垂向观测风速平均。
第二次旋转将新坐标轴沿y轴旋转使得平均垂向风速w为0,旋转角β称为俯仰角:
| $ \begin{gather*} \beta=\arctan \left(\frac{\bar{w}_{1}}{\bar{u}_{1}}\right), \\ u_{2}=u_{1} \cos \beta+w_{1} \sin \beta, \\ v_{2}=v_{1}, \\ w_{2}=-u_{1} \sin \beta+w_{1} \cos \beta。\end{gather*} $ | (7) |
二次旋转使得x轴指向主风向即30 min时间内平均主风向,流动限于一个二维平面中。
三次旋转法(TR)在二次旋转方法的基础上,将经两次旋转的坐标轴再进行一次沿x轴的旋转,使得横向应力(-
| $ \begin{gather*} \gamma=\frac{1}{2} \arctan \left[\frac{2 \overline{v_{2}^{\prime} w_{2}^{\prime}}}{\left(\overline{v_{2}^{\prime}} 2-\overline{w_{2}^{\prime}}\right)}\right], \\ u_{3}=u_{2}, \\ v_{3}=v_{2} \cos \gamma+w_{2} \sin \gamma, \\ w_{3}=-v_{2} \sin \gamma+w_{3} \cos \gamma。\end{gather*} $ | (8) |
式中v′2和w′2分别是第二次旋转后横向风速和垂向风速的脉动值。
这两种坐标旋转方法都是分时段独立的,每一个湍流平均时间内的三维风速数据就可确定一个主风向坐标系,因此旋转的角度由原始风向和风速计倾斜角度一起确定。本文在使用二次旋转和三次旋转方法时,选取30 min作为湍流平均时间。
平面拟合法(PF)利用长期风速观测数据,获得w对u和v的多元线性回归系数,以此确定平行于地形坡度的集合平均流线平面[6],测量的风速通过旋转矩阵 P转换到平均流线坐标系中,坐标变换公式为
| $ \begin{equation*} \boldsymbol{u}_{P}=\boldsymbol{P}\left(\boldsymbol{u}_{m}-\boldsymbol{c}\right) \text { 。} \end{equation*} $ | (9) |
式中:uP是平均流线坐标系中的风矢量;um是观测风矢量; c是由于仪器倾斜导致的测量风的平均偏移量。矩阵 P可以用偏航角α和俯仰角β定义:
| $ \begin{array}{l} {\boldsymbol{P}} = \left( {\begin{array}{*{20}{c}} {\cos \alpha }&0&{ - \sin \alpha }\\ 0&1&0\\ {\sin \alpha }&0&{\cos \alpha } \end{array}} \right)\left( {\begin{array}{*{20}{c}} 1&0&0\\ 0&{\cos \beta }&{\sin \beta }\\ 0&{ - \sin \beta }&{\cos \beta } \end{array}} \right) = \\ \;\;\;\;\;\;\;\;\;\;\;\;\;\left( {\begin{array}{*{20}{c}} {\cos \alpha }&{\sin \alpha \sin \beta }&{ - \sin \alpha \cos \beta }\\ 0&{\cos \beta }&{\sin \beta }\\ {\sin \alpha }&{ - \cos \alpha \sin \beta }&{\cos \alpha \cos \beta } \end{array}} \right)。\end{array} $ | (10) |
需要指出的是此时的偏航角α和俯仰角β不同于二次旋转方法中的角度,我们仅把绕z轴和y轴旋转的角统称为偏航角和俯仰角。
根据公式(9),公式(8)可以展开为如下形式:
| $ \begin{align*} & \bar{u}_{P}=P_{11}\left(\bar{u}_{m}-c_{1}\right)+P_{12}\left(\bar{v}_{m}-c_{2}\right)+P_{13}\left(\bar{w}_{m}-c_{3}\right), \\ & \bar{v}_{P}=P_{21}\left(\bar{u}_{m}-c_{1}\right)+P_{22}\left(\bar{v}_{m}-c_{2}\right)+P_{23}\left(\bar{w}_{m}-c_{3}\right), \\ & \bar{w}_{P}=P_{31}\left(\bar{u}_{m}-c_{1}\right)+P_{32}\left(\bar{v}_{m}-c_{2}\right)+P_{33}\left(\bar{w}_{m}-c_{3}\right) 。\end{align*} $ | (11) |
虽然通常三个速度分量中都会存在偏移量,但倾斜系数对垂直分量的偏移最为敏感,所以在计算中,通常忽略水平偏移量,即c1=0,c2=0。在平均流线坐标系中,将wP=0代入公式(11)可以得到
| $ \begin{equation*} \bar{w}_{m}=c_{3}-\frac{P_{31}}{P_{33}} \bar{u}_{m}-\frac{P_{32}}{P_{33}} \bar{v}_{m}=b_{0}+b_{1} \bar{u}_{m}+b_{2} \bar{v}_{m} 。\end{equation*} $ | (12) |
此外,矩阵 P与系数b的关系为
| $ \begin{gather*} \tan \alpha=-b_{1} ,\\ \tan \beta=b_{2} 。\end{gather*} $ | (13) |
通过最小化函数S确定系数 b,方法如下:
| $ \begin{equation*} S=\sum\limits_{n}\left(\bar{\varpi}_{i}-b_{0}-b_{1} \bar{u}_{i}-b_{2} \bar{v}_{i}\right)^{2}(i \text { 取值 } 1 \text { 到 } n) \text { 。} \end{equation*} $ | (14) |
对b0、b1和b2求微分,并将每个偏导数设置为零会产生三个正规方程:
| $ \begin{gather*} n b_{0}+\left(\sum \bar{u}_{i}\right) b_{1}+\left(\sum \bar{v}_{i}\right) b_{2}=\sum \bar{w}_{i}, \\ \left(\sum \bar{u}_{i}\right) b_{0}+\left(\sum \bar{u}_{i}^{2}\right) b_{1}+\left(\sum \bar{u}_{i} \bar{v}_{i}\right) b_{2}=\sum \bar{u}_{i} \bar{w}_{i}, \\ \left(\sum \bar{v}_{i}\right) b_{0}+\left(\sum \bar{u}_{i} \bar{v}_{i}\right) b_{1}+\left(\sum \bar{v}_{i}^{2}\right) b_{2}=\sum \bar{v}_{i} \bar{w}_{i} 。\end{gather*} $ | (15) |
式中,ui、vi和wi是拟合时间内每组观测数据的平均速度分量,解出以上方程就可求出系数b和矩阵P,代入公式(9)就可将全部观测数据旋转到拟合平面上。将此时的水平速度分量旋转到主风向时,需要再乘以矩阵 M:
| $ \delta=\arctan \left(\frac{\bar{v}_{P}}{\bar{u}_{P}}\right), $ | (16) |
| $ \begin{gather*} \boldsymbol{M}=\left(\begin{array}{ccc} \cos \delta & \sin \delta & 0 \\ -\sin \delta & \cos \delta & 0 \\ 0 & 0 & 1 \end{array}\right) 。\end{gather*} $ | (17) |
受平台柱桩的影响,测量高度为6 m的观测数据存在一定程度的流动畸变,因此仅保留方位角160°~360°范围内的有效数据。经质量控制后,测量高度距离海面6 m的有效数据有441组,距离海面19 m的有效数据有224组,每组数据的时间长度为30 min。
3.1 平面拟合法的平面拟合时间与二次旋转和三次旋转方法在湍流平均时间(即30 min)内进行倾斜校正不同,平面拟合法为保障统计稳定性,可采用更长的时段来拟合平面。为研究平面拟合法不同平面拟合时间的选取对动量通量计算存在的影响,本文选用时间跨度为5、10和20 d的数据分别求取拟合平面来计算动量通量。
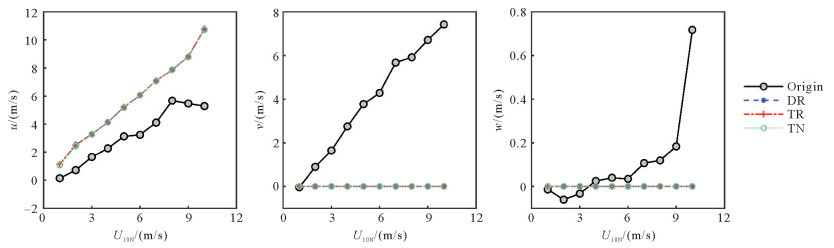
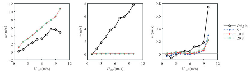
图 2展示了三种不同平面拟合时间对速度分量的校正情况,可以看出不同平面拟合时间对垂向平均风速的校正效果存在差异,以5 d的数据进行平面拟合校正后的平均垂向风速(w)略小于10和20 d的平均垂向风速校正结果,三种平面拟合时间下w的量级多位于10-2~10-1之间。不同平面拟合时间的平面拟合对u和v校正结果相似,其中v的数量级在10-16左右。如图 3所示,不同拟合平面情况下的动量通量计算结果有着极高的一致性,当平面拟合时间为5和10 d时,计算出的摩擦速度之间的均方根误差为0.005 m/s,当平面拟合时间为10和20 d时,计算出的摩擦速度之间的均方根误差为0.002 m/s,这些偏差很小,几乎可以忽略。因此,当选用足够长的时段进行平面拟合时,不同拟合时长计算的动量通量极为相近。在后续研究中,平面拟合法均采用10 d的时间长度计算拟合平面。
|
( U10N为海面10 m风速,u、v和w为风速分量。图中圆圈为速度分量的平均值,平均区间为1 m/s。‘origin’代表未经倾斜校正的原始数据。U10N is the 10 m wind speed over the sea surface, and u, v, and w are the wind speed components. The circles represent velocity components averaged over 1 m/s bins. With 'origin' denoting the data without tilt correction. ) 图 2 不同平面拟合时间对速度分量的影响 Fig. 2 Impact of varying planar fitting times on velocity components |
|
(
- |
有研究指出第三次旋转角度不能大于10°,否则会给动量通量计算带来较大的误差,所以此时不应进行第三次旋转,而保留二次旋转方法的校正结果[9-10]。图 4是二次旋转(DR)、限制第三次旋转角度的三次旋转(TR)和不限制第三次旋转角度的三次旋转(TN)对速度分量的校正结果,可以看出这三种倾斜校正方法对速度分量的调整是一致的,其中v的量级在10-16,w的量级在10-17。图 5表明,不管是否限制第三次旋转角度小于10°,三次旋转校正后计算出的摩擦速度与二次旋转计算出的摩擦速度结果相关性都在0.95以上,其中不限制第三次旋转角度的三次旋转(TN)与二次旋转计算出的摩擦速度之间的均方根误差为0.022 m/s,仅对旋转角度小于10°部分进行第三次旋转(TR)与二次旋转计算出的摩擦速度之间的均方根误差约0.005 m/s。但当第三次旋转角度偏大仍强迫-
|
( U10N为海面10 m风速,u、v和w为风速分量。图中圆圈为速度分量的平均值,平均区间为1 m/s。‘origin’代表未经倾斜校正的原始数据。U10N is the 10 m wind speed over the sea surface, and u, v, and w are the wind speed components. The circles represent velocity components averaged over 1 m/s bins. With ′origin′ denoting the data without tilt correction. ) 图 4 二次旋转(DR)、限制第三次旋转角度的三次旋转(TR)和不限制第三次旋转角度的三次旋转(TN)对速度分量的影响 Fig. 4 The influence of double rotation (DR), restricted third-angle triple rotation (TR), and unrestricted third-angle triple rotation (TN) on velocity components |
|
(
|
综上,与二次旋转法相比,三次旋转法并未有效改进通量计算;当第三次旋转角度过大时,反而会增大计算误差,这与前人结论一致[9-10]。若不进行第三次旋转,其结果与二次旋转法相同。因此在下面的讨论中,会重点讨论二次旋转法和平面拟合法的处理结果的差异。
3.3 倾斜校正对湍动能谱的影响惯性耗散法是利用湍动能谱位于高频域惯性子区的Kolmogorov谱进行计算的。对于各向同性湍流,在湍动能谱的惯性子区,湍动能与分子黏性无关,仅与湍动能耗散率有关,基于量纲分析,惯性子区的湍动能波数谱应为[33]
| $ \begin{equation*} E(k)=\alpha \varepsilon^{2 / 3} k^{-5 / 3} \text { 。} \end{equation*} $ | (18) |
式中:α为Kolmogorov常数;k为波数。利用Taylor湍流冷冻假设,可转换为湍动能频率谱
| $ \begin{equation*} S(f)=\alpha \varepsilon^{2 / 3} f^{-5 / 3}\left(\frac{U}{2 \pi}\right)^{2 / 3}, \end{equation*} $ | (19) |
其中U为风速。利用3种倾斜校正后的湍流脉动风速,可以计算相应的湍动能谱,验证惯性子区Kolmo-gorov谱的存在。
图 6为经3种不同倾斜校正方法处理得到的沿风向和垂向的湍动能谱与Kolmogorov的-5/3指数律的对比,对应风速为10.15 m/s,图 6中直线对应-5/3指数律,红点为0.1 Hz间隔的平均谱值。从图 6中可以看到,3种倾斜校正方法给出的沿风向和垂向的湍动能谱均大体满足-5/3指数律,满足惯性耗散法计算动量通量的要求。换句话说,这3种倾斜校正方法对高频域的信号影响较小。
|
( S(f)为湍动能频率谱,f为频率,u′2和w′2分别表示沿风向和垂向的湍动能。图示对应风速为10.15 m/s。图(a)(b)和图(c)(d)以及图(e)(f)分别对应二次旋转、三次旋转和平面拟合法,直线为-5/3指数律,红点是以0.1 Hz为间隔的平均谱值。S(f) is the frequency spectrum of turbulent kinetic energy, with f denoting frequency. u′2 and w′2 denote the turbulent kinetic energy in the along-wind and vertical directions, respectively. The illustrated case corresponds to a wind speed of 10.15 m/s. Figures (a)(b), (c)(d), and (e)(f) correspond to the double rotation, triple rotation, and planar fit methods, respectively. The straight line represents the-5/3 power law, and the red dots denote the average spectral values at 0.1 Hz intervals. ) 图 6 不同倾斜校正方法的沿风向和垂向的湍动能谱与Kolmogorov谱的-5/3指数律 Fig. 6 The turbulent kinetic energy spectra in the along-wind and vertical directions under different tilt correction methods compared with Kolmogorov's -5/3 power law |
为将不同高度处观测数据进行综合分析,需要将不同测量高度z处的风速Uz换算到中性稳定情形的10 m高度风速U10N[34-35]:
| $ \begin{gather*} U_{z}=\sqrt{\bar{u}^{2}+\bar{v}^{2}}, \\ L=-\frac{\overline{T_{v} u_{*}^{3}}}{\kappa g \overline{T_{v}^{\prime} w^{\prime}}}, \\ U_{10 \mathrm{~N}}=U_{z}+\frac{u_{*}}{\kappa}\left(\ln \left(\frac{10}{z}\right)+\psi_{m}(z / L)\right)。\end{gather*} $ | (20) |
式中:Tv为虚温;L为Obukhov长度,代表湍流浮力生成比剪切生成占优的高度;z/L为大气稳定性参数,大于0时为稳定情形,小于0时为不稳定情形,等于0时为中性稳定情形。实际研究中,一般将z/L接近于0时均视为中性稳定情形。稳定性函数ψm为z/L的经验函数:
| $ \begin{array}{l} {\psi _m} = \left\{ \begin{array}{l} \;\;\;\;\;\;\;\;\;\;- 5\frac{z}{L},\;\;\;\;\;\;\;\;\;\;\;\;\;\;\;\;\;\;\;\;\;\;\;\;\;\;\;\;\;\;\;\;\;\;\;\;\;\;\;\;\;\;\;\;\;\;\left( {\frac{z}{L} > 0} \right)\\ 2\ln \left( {\frac{{1 + x}}{2}} \right) + \ln \left( {\frac{{1 + {x^2}}}{2}} \right) - 2\arctan (x) + \frac{\pi }{2},\left( {\frac{z}{L} < 0} \right) \end{array} \right.;\\ \;\;\;\;\;\;\;\;\;\;\;\;\;\;\;\;\;\;\;\;\;\;\;\;\;\;\;\;\;\;x = \left[ {1 - 16{{\left( {\frac{z}{L}} \right)}^{1/4}}} \right]。\end{array} $ | (21) |
如图 7所示,6 m高度处大气层结趋于中性稳定条件的发生频率远大于19 m高度处,6 m高度处约有78%的数据满足-0.1<z/L<0.1,19 m高度处仅有不到30%,而19 m高度处大气层结趋于稳定状态的发生频率远大于6 m高度处,有约60%的数据满足z/L≥0.1,6 m高度处仅有20%左右的数据满足。
|
( U10N为海面10 m风速,z/L为大气稳定度参数。图中红虚线位置为-0.1和0.1。U10N is the 10 m wind speed over the sea surface, and z/L is the atmospheric stability parameter. The red dashed lines indicate the positions of-0.1 and 0.1 in the figure. ) 图 7 19和6 m高度处大气层结稳定度情况 Fig. 7 Stability conditions of atmospheric stratification at 19 and 6 m heights |
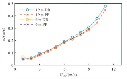
图 8对比了不同高度处采用二次旋转法和平面拟合法计算的摩擦速度。可以发现,除19 m高度处二次旋转法的计算结果偏大外,其余三组摩擦速度大小几乎一致,符合常通量层假设,即在常通量层内,水平动量在铅直方向上的输送与高度无关。这表明平面拟合法在数据倾斜校正方面有更好的稳定性。图 9进一步展示了在19 m高度处经二次旋转计算出的摩擦速度明显大于平面拟合法计算出的摩擦速度,而6 m高度处二次旋转校正后的摩擦速度与平面拟合法相差很小,两者符合得很好。
|
( U10N为海面10 m风速,u*为空气摩擦速度。U10N is the 10 m wind speed over the sea surface, and u* is air friction velocity. ) 图 8 19和6 m高度处经二次旋转方法和平面拟合法计算出的摩擦速度对比 Fig. 8 Comparison of friction velocities calculated using the double rotation method and the planar fit method at heights of 19 and 6 m |
|
( U10N为海面10 m风速,纵坐标代表二次旋转与平面拟合法校正后的空气摩擦速度的相对偏差。图(a)(b)分别代表 19 m高度和6 m高度处二次旋转与平面拟合法计算出的摩擦速度相对误差情况。灰色圆点代表两种倾斜校正方法处理后摩擦速度的相对误差,红色圆点代表摩擦速度相对误差均值,间隔为1 m/s。U10N is the 10 m wind speed over the sea surface, and the ordinate denotes the relative deviation of the air friction velocity derived from the double rotation method versus the planar fit method. Figures (a) and (b) show the relative error distributions of friction velocity calculated by the double rotation method and planar fit method at 19 m height and 6 m height, respectively. The gray dots represent scatter plots of relative errors in friction velocity after processing with these two tilt correction methods, whilethe red dots represent the mean relative error of friction velocity, spaced at intervals of 1 m/s. ) 图 9 两种旋转方法对不同观测高度处摩擦速度的影响对比 Fig. 9 Comparison of the effects of two rotation methods on friction velocity at different observation heights |
考虑到不同高度处的大气层结稳定度不同,本研究做了进一步的分析。由图 10可以看出,在-0.1<z/L<0.1条件下,经二次旋转和平面拟合法分别计算出的摩擦速度结果一致性较高,相对偏差很小;在z/L≥0.1条件下,经二次旋转方法计算出的摩擦速度明显大于经平面拟合法计算出的摩擦速度结果。并且在接近中性稳定条件下,即-0.1<z/L<0.1时,多为6 m高度处数据,这部分数据二次旋转与平面拟合法计算出的摩擦速度几乎没有偏差;而在z/L≥0.1即大气层结更为稳定的条件下,19 m高度处数据数量占优,此时两种方法计算出的动量通量相对偏差偏大。
|
( U10N为海面10 m风速,纵坐标代表二次旋转与平面拟合法校正后的空气摩擦速度的相对偏差。图(a)是-0.1<z/L<0.1条件情况,图(b)是z/L≥0.1条件情况。图中圆圈为19 m高度处数据,加号为6 m高度处数据。U10N is the 10 m wind speed over the sea surface, and the ordinate denotes the relative deviation of the air friction velocity derived from the double rotation method versus the planar fit method. Figure (a) shows the case for-0.1<z/L<0.1, and figure (b) corresponds to z/L≥0.1. In the figures, circles represent data at 19 m height, while plus signs denote data at 6 m height. ) 图 10 不同大气稳定度条件下二次旋转和平面拟合法计算出的摩擦速度相对误差情况 Fig. 10 The relative errors in friction velocity calculated using the double rotation and planar fit methods under different atmospheric stability conditions |
传统上认为,风应力方向与风向是一致的,近年来有些研究认为两者的方向并不一定一致。陈胜等[36]指出,在大气层结稳定条件下,风应力矢量偏向风矢量左侧,且偏离角度随逆波龄和风速增大而减小;当大气层结不稳定时,风应力矢量一般偏向风矢量右侧。基于本文的观测数据,可以验证这一结论。
由于前文对数据的处理已经通过旋转使平均方向沿x方向,所以风应力方向与风向的夹角θ可由下式计算:
| $ \begin{equation*} \theta=\arctan \left(\frac{\overline{v^{\prime} w^{\prime}}}{\overline{u^{\prime} w^{\prime}}}\right) 。\end{equation*} $ | (22) |
当θ为正(负)值代表风应力方向指向风向右(左)侧(左手坐标系)。
图 11为二次旋转和平面拟合方法给出的风应力方向与风向的夹角与风速的关系。总体而言,二次旋转法和平面拟合法给出夹角θ大体一致,平均值分别约为8°和3°,没有明显差异,且二者夹角主要集中在0°到30°之间,这与倾斜校正方法无关。低风速时夹角变动范围较大,最大值大于120°,甚至达到180°左右,即风应力方向与风向相反。随着风速增大,夹角逐渐收敛且总体为负,表明高风速下风应力矢量偏向风向左侧,这可能与大气稳定性有关。
|
( θ是风应力方向与风向的夹角,U10N为海面10 m风速。θ is the angle of the wind stress direction relative to the wind direction, and U10N is the 10 m wind speed over the sea surface. ) 图 11 二次旋转和平面拟合方法下风应力方向和风向之间的夹角与风速的关系 Fig. 11 The relationship between the angle of the wind stress direction relative to the wind direction and the wind speed under double rotation and planar fit methods |
图 12为风应力方向与风向夹角θ与大气层结稳定度参数z/L的关系,同时将数据分为高度6和19 m两组。显然,当大气层结接近于中性稳定时,风应力与风向的夹角分布集中在0°附近,此时风应力方向与风向是几乎一致的;在大气层结稳定条件下,风应力与风向夹角为负值的数据约占65%,此时风应力在风矢量左侧,且一般在0°~-20°之间,这与Geernaert等[24, 37]和陈胜等[36]的结果一致,但偏离角度随z/L增大而增大。对于不稳定情形,两者的夹角没有明显的倾向性,且当大气层结偏向更不稳定时,夹角变动范围变大的趋势早于稳定情况,但平均而言,风应力方向与风向趋于一致,这与陈胜等[36]的结果存在差异。
|
( θ是风应力方向与风向的夹角,z/L是大气稳定度参数。θ is the angle of the wind stress direction relative to the wind direction, and z/L is the atmospheric stability parameter. ) 图 12 风应力方向与风向的夹角与大气稳定度参数z/L的关系 Fig. 12 The relationship between the angle of the wind stress direction relative to the wind direction and the atmospheric stability parameter(z/L) |
接下来对平面拟合法校正后的结果进行风应力拖曳系数的计算并分析其特征。风应力拖曳系数定义为空气摩擦速度与风速之比的平方:
| $ \begin{equation*} C_{D}=\left(\frac{u_{*}}{U_{10 \mathrm{~N}}}\right)^{2} 。\end{equation*} $ | (23) |
利用拖曳系数和平均风速,可以直接计算风应力τ=ρaCDU10N2,ρa为空气密度。因此,准确确定拖曳系数对于风应力计算至关重要,前人对此开展了大量研究[4-7, 25]。
拖曳系数受到风速、大气稳定性和波浪状态等因素的影响。图 13为拖曳系数与大气稳定性参数z/L之间的关系,从图 13中可以看出,大部分观测数据对应的z/L接近于0,近似为中性稳定性,随着z/L继续增大即大气层结更加稳定,拖曳系数有减小的趋势。相对而言,与6 m高度处相比,19 m高度处的大气稳定条件更多为稳定情形(z/L>0),更少地受到浮力的影响。整体而言,稳定情形的拖曳系数小于不稳定情形(z/L<0),这与在大气稳定情形下,湍流发展受到抑制相吻合,同时也与Sjöblom和Smedman[38]得出的拖曳系数随大气稳定度变化趋势一致。
|
( CD是风应力拖曳系数,z/L是大气稳定度参数。CD is the drag coefficient, and z/L is the atmospheric stability parameter. ) 图 13 拖曳系数与稳定度参数z/L的关系 Fig. 13 Relationship between drag coefficient and stability parameter z/L |
图 14为不同大气稳定度条件下拖曳系数随风速的变化。整体而言,低风速时,稳定情形的拖曳系数数值明显大于不稳定情形,随着风速增大,稳定性的作用减弱,大气层结趋于中性稳定或不稳定,这显然与高风速时湍流剪切生成增强、浮力生成相对变弱有关。
|
( U10N为海面10 m风速,CD是风应力拖曳系数。U10N is the 10 m wind speed over the sea surface, and CD is the drag coefficient. ) 图 14 拖曳系数随风速变化及大气稳定性的影响 Fig. 14 Variation of drag coefficient with wind speed and atmospheric stability effects |
大量研究表明,若不考虑极低风速下海面黏性次层导致的动力学光滑流动影响,中低风速时拖曳系数随风速增大而增大,通常可表达为线性关系。对风速大于2 m/s的拖曳系数做线性拟合,得到的拖曳系数线性公式为
| $\begin{equation*} C_{D}=\left(0.046 U_{10 \mathrm{~N}}+0.63\right) \times 10^{-3} \text { 。} \end{equation*} $ | (24) |
该拟合结果较前人研究[4, 32]总体偏小,但变化趋势一致,与邹仲水等[39]的结果较为接近。
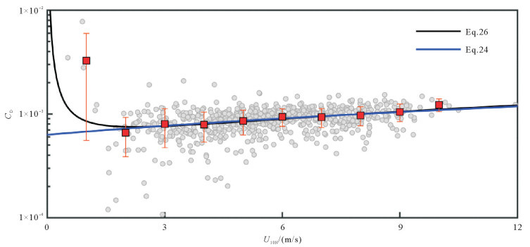
实际观测中可以发现拖曳系数并不是随着风速严格线性变化,为使得参数化公式与实际情况更为接近,有些研究采用先将摩擦速度拟合为风速的线性或多项式关系,然后再根据定义式(23)给出拖曳系数[40]。甚于本次观测数据,拟合得到摩擦速度与风速的关系(见图 15)为
| $ \begin{gather*} u_{*}=-2.21 \times 10^{-5} U_{10 \mathrm{~N}}^{3}+0.0013 U_{10 \mathrm{~N}}^{2}+ \\ 0.022 U_{10 \mathrm{~N}}+0.006 。\end{gather*} $ | (25) |
|
( U10N为海面10 m风速,u*为空气摩擦速度。图中散点为原数据,红色方点为摩擦速度的平均,平均区间为1 m/s,误差条代表标准差,蓝色实线为拟合曲线。U10N is the 10 m wind speed over the sea surface, and u* is air friction velocity. The scatter pointsrepresent raw data, the red square markers show the 1 m/s bin-averaged friction velocity (error bars represent standard deviation), and the blue solid line denotes the fitted curve. ) 图 15 平面拟合法校正后的摩擦速度拟合情况 Fig. 15 Fitting results of friction velocity corrected by the planar fit method |
相应的拖曳系数与风速的关系式为
| $ \begin{gather*} C_{D}=\left(-2.21 \times 10^{-5} U_{10 \mathrm{~N}}^{2}+0.0013 U_{10 \mathrm{~N}}+\right. \\ \left.0.022+0.006 U_{10 \mathrm{~N}}^{-1}\right)^{2} \text { 。} \end{gather*} $ | (26) |
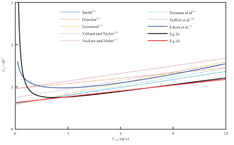
图 16将以上两种拟合结果与观测数据进行对比。可以看出,两种方法得到的拖曳系数在2~12 m/s风速范围内高度一致。与以往拖曳系数参数化方案(见图 17)相比[41-46],当风速处于3~12 m/s中低风速时,拖曳系数随风速有缓慢上升的趋势,与其他研究结果相比拖曳系数取值略小,这可能受到其他因素如不同海浪状态的影响。
|
( U10N为海面10 m风速,CD是风应力拖曳系数。图中散点为原数据,红色方点为拖曳系数的平均,平均区间为1 m/s,误差条代表标准差,蓝色和黑色实线分别为线性拟合和多项式拟合结果。U10N is the 10 m wind speed over the sea surface, and CD is the drag coefficient. The scatter pointsrepresent raw data, the red square markers show the 1 m/s bin-averaged drag coefficient (error bars represent standard deviation), while the blue and black solid lines correspond to linear and polynomial fitting results, respectively. ) 图 16 拖曳系数与风速的关系 Fig. 16 Drag coefficient versus wind speed |
|
( U10N为海面10 m风速,CD是风应力拖曳系数。U10N is the10 m wind speed over the sea surface, and CD is the drag coefficient. ) 图 17 平面拟合法下拖曳系数拟合曲线与参考文献[4, 32, 41-46]中研究结果对比 Fig. 17 Comparison of the drag coefficient fitted curve from the planar fit method with results from references[4, 32, 41-46] |
在海-气界面动量通量的观测中,为消除仪器倾斜导致的坐标系偏差,需对原始三维风速数据进行倾斜校正。本研究基于南海茂名博贺海上观测平台的高频超声风速数据,系统评估了三种主流倾斜校正方法(二次旋转、三次旋转和平面拟合法)对通量计算的影响。其中,二次旋转通过两次坐标变换使平均垂直风速趋于0并将主轴对准主风向;三次旋转法在二次旋转法的基础上,增加第三次旋转以使横向应力为零;平面拟合法则基于最小二乘法拟合长期平均风场平面,以此为基础进行风速校正。本研究重点关注了不同倾斜校正方法对湍流动量通量、湍流通量谱特征及风应力方向的影响,并进一步分析了拖曳系数的特征。
根据对南海观测平台湍流数据的倾斜校正研究发现,在观测高度6 m处,大气层结趋于中性稳定状态,使用二次旋转方法和平面拟合法校正后的动量通量具有较高的一致性;在观测高度19 m处,大气层结相对稳定,使用二次旋转方法进行倾斜校正会造成一定程度上的动量通量高估,此时使用平面拟合法更优。两种方法计算的通量总体符合常通量层假设,结果具有一致性。此外,三次旋转法并未有效改进通量计算,且当第三次旋转角度过大时,反而会增大计算误差。因此,在不同大气层结稳定条件下,平面拟合法具有更好的适应性。对平面拟合法的进一步分析表明,当拟合时间足够长时,不同拟合时长计算的通量高度一致,这提高了该方法的适用灵活性。
此外,三种方法校正后的湍动能谱在惯性子区均符合Kolmogorov的-5/3指数律,这表明倾斜校正对高频湍流信号的影响可忽略。不同校正方法得到的风应力方向与风向夹角在统计上无显著差异,说明倾斜校正主要消除坐标系偏差,而不改变湍流的动力学特性。但在不同大气层结稳定度条件下,风应力与风向的偏角有明显的差异,大气稳定情形下风应力主要偏向风向左侧,中性稳定情形时偏向角接近于0°,不稳定情形下偏向角比较分散。
拖曳系数的研究对海洋-大气耦合模式的应用具有重要意义。本研究发现,在大气稳定条件下,拖曳系数减小,其取值低于中性稳定情形,这印证了湍流活动受浮力抑制的物理机制。基于处理后的有效数据,本文提出了拖曳系数随风速的参数化关系。该关系的变化趋势与前人研究基本一致,但数值略低,这可能与观测海域的波浪成长状态有关,需在后续研究中深入分析。
| [1] |
Yelland M J, Moat B I, Taylor P K, et al. Wind stress measurements from the open ocean corrected for airflow distortion by the ship[J]. Journal of Physical Oceanography, 1998, 28(8): 1511-1526. ( 0) |
| [2] |
Powell M D, Vickery P J, Reinhold T A. Reduced drag coefficient for high wind speeds in tropical cyclones[J]. Nature, 2003, 422(6929): 279-283. DOI:10.1038/nature01481 ( 0) |
| [3] |
Sievers J, Papakyriakou T N, Larsen S E, et al. Estimating surface fluxes using eddy covariance and numerical ogive optimization[J]. Atmospheric Chemistry and Physics, 2015, 15(4): 2081-2103. DOI:10.5194/acp-15-2081-2015 ( 0) |
| [4] |
Edson J B, Venkata V, Weller R A, et al. On the exchange of momentum over the open ocean[J]. Journal of Physical Oceanography, 2013, 43(8): 1589-1610. DOI:10.1175/JPO-D-12-0173.1 ( 0) |
| [5] |
Zou Z, Zhao D, Liu B, et al. Observation-based parameterization of air-sea fluxes in terms of wind speed and atmospheric stability under low-to-moderate wind conditions[J]. Journal of Geophysical Research: Oceans, 2017, 122(5): 4123-4142. DOI:10.1002/2016JC012399 ( 0) |
| [6] |
Wilczak J M, Oncley S P, Stage S A. Sonic anemometer tilt correction algorithms[J]. Boundary-Layer Meteorology, 2001, 104(3): 271-287. ( 0) |
| [7] |
Tanner C B, Thurtell G W. Anemoclinometer Measurements of Reynolds Stress and Heat Transport in the Atmospheric Surface Layer[R]. Madison: University of Wisconsin, 1969: 82.
( 0) |
| [8] |
Kaimal J C, Finnigan J J. Atmospheric Boundary Layer Flows[M]. New York: Oxford University Press, 1994: 289.
( 0) |
| [9] |
McMillen R T. An eddy correlation technique with extended applicability to non-simple terrain[J]. Boundary-Layer Meteorology, 1988, 43(3): 231-245. DOI:10.1007/BF00128405 ( 0) |
| [10] |
Finnigan J J. A re-evaluation of long-term flux measurement techniques part Ⅱ: Coordinate systems[J]. Boundary-Layer Meteorology, 2004, 113(1): 1-41. ( 0) |
| [11] |
Baldocchi D D, Valentini R, Running S R, et al. Strategies for measuring and modelling CO2 and water vapor fluxes over terrestrial ecosystems[J]. Global Change Biology, 1996, 2(2): 159-168. ( 0) |
| [12] |
Baldocchi D, Falge E, Gu L, et al. FluxNet: A new tool to study the temporal and spatial variability of ecosystem-scale carbon dioxide, water vapor, and energy flux densities[J]. Bulletin of the American Meteorological Society, 2001, 82(11): 2415-2434. DOI:10.1175/1520-0477(2001)082<2415:FANTTS>2.3.CO;2 ( 0) |
| [13] |
Lee X, Finnigan J, Paw U K T. Handbook of Micrometeorology[M]. Dordrecht: Springer, 2004.
( 0) |
| [14] |
Liu L, Wang T, Sun Z, et al. Eddy covariance tilt corrections over a coastal mountain area in South-east China[J]. Advances in Atmospheric Sciences, 2012, 29(6): 1264-1278. DOI:10.1007/s00376-012-1052-9 ( 0) |
| [15] |
Finnigan J J, Clement R, Malhi Y, et al. A re-evaluation of long-term flux measurement techniques part Ⅰ: Averaging and coordinate rotation[J]. Boundary-Layer Meteorology, 2003, 107(1): 1-48. ( 0) |
| [16] |
Yi C X, Anderson D E, Turnipseed A A, et al. The contribution of advective fluxes to net ecosystem exchange in a high-elevation, subalpine forest[J]. Ecological Applications, 2008, 18(6): 1379-1390. DOI:10.1890/06-0908.1 ( 0) |
| [17] |
Zeri M, Rebmann C, Feigenwinter C, et al. Analysis of periods with strong and coherent CO2 advection over a forested hill[J]. Agricultural and Forest Meteorology, 2010, 150(5): 674-683. DOI:10.1016/j.agrformet.2009.12.003 ( 0) |
| [18] |
Lee X. On micrometeorological observations of surface-air exchange over tall vegetation[J]. Agricultural and Forest Meteorology, 1998, 91(1-2): 39-49. DOI:10.1016/S0168-1923(98)00071-9 ( 0) |
| [19] |
Mahrt L, Lee X, Black A, et al. Nocturnal mixing in a forest subcanopy[J]. Boundary-Layer Meteorology, 2000, 101(1): 67-78. ( 0) |
| [20] |
Paw U K T, Baldocchi D D, Meyers T P, et al. Correction of eddy-covariance measurements incorporating both advective effects and density fluxes[J]. Boundary-Layer Meteorology, 2000, 97(3): 487-511. DOI:10.1023/A:1002786702909 ( 0) |
| [21] |
Vickers D, Mahrt L. Contrasting mean vertical motion from tilt correction methods and mass continuity[J]. Agricultural and Forest Meteorology, 2006, 138(1-4): 93-103. DOI:10.1016/j.agrformet.2006.04.001 ( 0) |
| [22] |
Acevedo O C, Mahrt L. Systematic vertical variation of mesoscale fluxes in the nocturnal boundary layer[J]. Boundary-Layer Meteorology, 2010, 135(1): 19-30. DOI:10.1007/s10546-010-9465-4 ( 0) |
| [23] |
Lenschow D H, Stephens P L. Mean vertical velocity and turbulence intensity inside and outside thermals[J]. Atmospheric Environment, 1982, 16(4): 761-764. DOI:10.1016/0004-6981(82)90393-6 ( 0) |
| [24] |
Geernaert G L. Measurements of the angle between the wind vector and wind stress vector in the surface layer over the North Sea[J]. Journal of Geophysical Research: Oceans, 1988, 93(C7): 8215-8220. DOI:10.1029/JC093iC07p08215 ( 0) |
| [25] |
Grachev A A, Fairall C W. Upward momentum transfer in the marine boundary layer[J]. Journal of Physical Oceanography, 2001, 31(7): 1698-1711. DOI:10.1175/1520-0485(2001)031<1698:UMTITM>2.0.CO;2 ( 0) |
| [26] |
Sun J. Tilt corrections over complex terrain and their implication for CO2 transport[J]. Boundary-Layer Meteorology, 2007, 124(1): 143-159. ( 0) |
| [27] |
Oh H, Kim K, Ha K, et al. Quality control and tilt correction effects on the turbulent fluxes observed at an ocean platform[J]. Journal of Applied Meteorology and Climatology, 2011, 50(3): 700-712. DOI:10.1175/2010JAMC2367.1 ( 0) |
| [28] |
Yuan R, Kang M, Park S B, et al. Expansion of the planar-fit method to estimate flux over complex terrain[J]. Meteorology and Atmospheric Physics, 2010, 110(3-4): 123-133. ( 0) |
| [29] |
Siebicke L, Hunner M, Foken T. Aspects of CO2 advection measurements[J]. Theoretical and Applied Climatology, 2012, 109(1-2): 109-131. DOI:10.1007/s00704-011-0552-3 ( 0) |
| [30] |
王兴昌, 王传宽. 坐标旋转对东北山地森林涡动通量的影响[J]. 应用生态学报, 2016, 27(9): 2779-2788. Wang X C, Wang C K. Effects of coordinate rotation on eddy covariance flux in a mountainous forest in Northeast China[J]. Chinese Journal of Applied Ecology, 2016, 27(9): 2779-2788. ( 0) |
| [31] |
Højstrup J. A statistical data screening procedure[J]. Measurement Science and Technology, 1993, 4(2): 153-157. DOI:10.1088/0957-0233/4/2/003 ( 0) |
| [32] |
Vickers D, Mahrt L. Quality control and flux sampling problems for tower and aircraft data[J]. Journal of Atmospheric and Oceanic Technology, 1997, 14(3): 512-526. DOI:10.1175/1520-0426(1997)014<0512:QCAFSP>2.0.CO;2 ( 0) |
| [33] |
Kolmogorov A N. The local structure of turbulence in incompressible viscous fluid for very large Reynolds numbers[J]. Doklady Akademii Nauk SSSR, 1941, 30(4): 299-303. ( 0) |
| [34] |
Barthelmie R J. The effects of atmospheric stability on coastal wind climates[J]. Meteorological Applications, 1999, 6(1): 39-47. DOI:10.1017/S1350482799000961 ( 0) |
| [35] |
Andreas E L, Mahrt L, Vickers D. A new drag relation for aerodynamically rough flow over the ocean[J]. Journal of the Atmospheric Sciences, 2012, 69(8): 2520-2537. DOI:10.1175/JAS-D-11-0312.1 ( 0) |
| [36] |
陈胜, 乔方利, 郭景松, 等. 海面风应力偏离风向的观测与分析[J]. 海洋学报, 2017, 39(1): 28-35. Chen S, Qiao F L, Guo J S, et al. Observation and analysis of sea surface wind stress deviation from wind direction[J]. Haiyang Xuebao, 2017, 39(1): 28-35. ( 0) |
| [37] |
Geernaert G L, Hansen F, Courtney M, et al. Directional attributes of the ocean surface wind stress vector[J]. Journal of Geophysical Research: Oceans, 1993, 98(C9): 16571-16582. DOI:10.1029/93JC01439 ( 0) |
| [38] |
Sjöblom A, Smedman A S. Comparison between eddy-correlation and inertial dissipation methods in the marine atmospheric surface layer[J]. Boundary-Layer Meteorology, 2004, 110(1): 141-164. ( 0) |
| [39] |
邹仲水, 赵栋梁, 黄健, 等. 海-气界面动量通量的估计方法分析与应用[J]. 海洋学报, 2014, 36(9): 75-83. Zou Z S, Zhao D L, Huang J, et al. Analysis and application of estimation methods for air-sea interface momentum flux[J]. Haiyang Xuebao, 2014, 36(9): 75-83. ( 0) |
| [40] |
Chen S, Jiang W Z, Xue Y, et al. A new wave-state-based drag coefficient parameterization for coastal regions[J]. Journal of Physical Oceanography, 2024, 54(3): 809-821. DOI:10.1175/JPO-D-23-0081.1 ( 0) |
| [41] |
Smith S D. Wind stress and heat flux over the ocean in gale force wind[J]. Journal of Physical Oceanography, 1980, 10(5): 709-726. DOI:10.1175/1520-0485(1980)010<0709:WSAHFO>2.0.CO;2 ( 0) |
| [42] |
Donelan M A. The dependence of the aerodynamic drag coefficient on wave parameters[C]//Proceedings of the First International Conference on Meteorology and Air-Sea Interaction of the Coastal Zone. Boston: American Meteorological Society, 1982: 381-387.
( 0) |
| [43] |
Geernaert G L. On the importance of the drag coefficient in air-sea interactions[J]. Dynamics of Atmospheres and Oceans, 1987, 11(1): 19-38. DOI:10.1016/0377-0265(87)90012-1 ( 0) |
| [44] |
Yelland M J, Taylor P K. Wind stress measurements from the open ocean[J]. Journal of Physical Oceanography, 1996, 26(4): 541-558. DOI:10.1175/1520-0485(1996)026<0541:WSMFTO>2.0.CO;2 ( 0) |
| [45] |
Drennan W M, Graber H C, Donelan M A. Evidence for the effects of swell and unsteady winds on marine wind stress[J]. Journal of Physical Oceanography, 1999, 29(8): 1853-1864. DOI:10.1175/1520-0485(1999)029<1853:EFTEOS>2.0.CO;2 ( 0) |
| [46] |
Toffoli A, Loffredo L, Roy P L, et al. On the variability of sea drag in finite water depth[J]. Journal of Geophysical Research: Oceans, 2012, 117(C11): C00J10. ( 0) |
2026, Vol. 56



0)