2. 青岛海洋科技中心,海洋渔业科学与食物产出过程功能实验室,山东 青岛 266237
牡蛎是我国最重要的海水养殖贝类之一,2023年养殖产量达667万t,位居全国海水贝类养殖产量之首[1]。我国牡蛎养殖种类多隶属于巨蛎属(Crassostrea),主要有长牡蛎(Crassostrea gigas)、福建牡蛎(C. angulata)、香港牡蛎(C. hongkongensis)、近江牡蛎(C. ariakensis)和熊本牡蛎(C. sikamea)5个重要经济种。长牡蛎又称太平洋牡蛎,主要分布在长江口以北地区,是我国北方的主要牡蛎养殖品种,具有生长速度快、适应能力强、喜好高盐等特点,目前国内学者针对其生长[2]、壳色[3-8]和糖原含量[9-11]等性状开展了遗传改良研究,并获得了多个国审新品种。近江牡蛎在我国主要分布于南北沿海盐度较低的河口区,属于广温广盐性种类,具有生长速度快、耐低盐等特点,但养殖规模较小,北方未见人工养殖[12-14]。
杂交是改良种质资源、促进物种进化与形成的重要途径[15],从遗传学角度,杂交通常指两个不同基因型(特别是纯合子)之间的交配,能够促进基因流动、结合双亲优良性状。杂交可以引入大量表型的遗传变异来促进生物对新环境的适应,进而增加种群的进化潜力以及对环境的适应能力[16-17]。牡蛎是最早进行杂交研究的贝类,1882年Bouchon-Brandely等[18]首次进行福建牡蛎和欧洲牡蛎(Ostrea edulis)杂交,但是其对杂交子代的判断仅依靠表型,缺乏说服力。直至1993年Allen等[19]对长牡蛎与C. rivularis的杂交后代进行了遗传鉴定,确定了杂种后代中存在真正的杂合子,此后,多种牡蛎的种间杂交研究相继展开。牡蛎种间杂交获得的子代多数未能表现出杂种优势,或只在某阶段表现杂种优势,仅少数组合表现出杂种优势。长牡蛎与福建牡蛎可双向受精,但仅稚贝阶段表现出生长优势[14, 20]。长牡蛎×岩牡蛎[21]、香港牡蛎×熊本牡蛎[22]的杂合子在稚贝期表现出生长单亲杂种优势和存活单亲杂种优势。福建牡蛎与香港牡蛎[23]杂合子在生长、存活上表现出杂种优势。长牡蛎×近江牡蛎[24-26]的杂合子在幼虫期表现出阶段性杂种优势,GA(长牡蛎♀×近江牡蛎♂)在生长、存活上表现出杂种优势,但是受精率、孵化率低,AG(近江牡蛎♀×长牡蛎♂)在幼虫期、稚贝期表现出阶段性的存活优势,但是其生长表现出杂种劣势。
种间回交是杂交育种的重要遗传改良方法,该方法将可育的种间杂交子代与原始亲本之一进行再次杂交。回交育种能有效改良目标性状,同时保留回交亲本的主要优良特性,减少杂种后代分离,加速基因型纯合[27]。该方法已在农作物和畜牧业中广泛应用,成功培育出多个具有优良性状的动植物新品种。在贝类育种方面,已有多个成功案例,如香港牡蛎与长牡蛎杂交子回交[28-29]、近江牡蛎与福建牡蛎杂交子回交[25]、福建牡蛎与长牡蛎杂交子回交[30]均表现出一定的回交优势,电白牡蛎(C. dianbaiensis)与艾氏牡蛎(C. iredalei)杂交子回交虽然在浮游幼虫期无杂种优势,但在360日龄后表现出显著优势[31]。
长牡蛎“海大1号”为近年针对生长速度和壳型进行人工选育而培育出的长牡蛎新品种,具有品质好、生长快等优点,目前已在山东和辽宁广泛养殖[32-33]。2023年7月,本团队以长牡蛎“海大1号”第十五代(G15)和近江牡蛎为亲本,开展了完全双列杂交实验,杂交子代Ha(C. gigas♀×C. ariakensis♂)在生长和存活上均具有杂种优势,是较好的育种材料,但受精率、孵化率较低,难以大规模培育。因此,本研究在已获取长牡蛎“海大1号”♀与近江牡蛎♂杂交子代Ha的基础上,开展回交育种实验,系统比较杂交子代及回交子代的杂种优势,以期获得生长快、存活高、耐低盐的优良育种材料,旨在为近江牡蛎及长牡蛎遗传改良提供理论基础及实践指导。
1 材料与方法 1.1 实验材料实验所用长牡蛎“海大1号”、近江牡蛎及杂交子一代均为2023年6月进行双列杂交培育的一龄成贝,杂交亲本是以长牡蛎“海大1号”G15为母本、青岛即墨区近江牡蛎野生群体为父本的杂交子一代Ha,实验所用亲本均经过鉴定,鉴定方法参考Wang等[34]开发的引物序列,采用COX1和ITS2复合检验法明确亲本,COX1由华大基因公司测定序列后进行BLAST比对,ITS2参照Wang等[34]方法,对其PCR产物进行琼脂糖凝胶电泳。2024年5月从海区转移实验亲贝到山东乳山龙汇海产养殖有限公司,清除表面附着物后,暂养于水泥池中,期间每天投喂3次球等鞭金藻(Isochrysis galban)、亚心形扁藻(Marine microalga)和小球藻(Chlorella vulgaris)混合藻液,每天换水总体积的1/2。
1.2 实验设计选取规格均匀、壳型规则、性腺饱满的3个品种亲贝各3雌3雄,采用解剖法获得精子和卵子,建立3×3杂交组合(见表 1)。卵子使用200目筛绢过滤后,3种卵子均使用其适宜盐度的海水熟化30~40 min,加入300目筛绢过滤的精子,使显微镜下观察每个卵子周围有10~20个精子,50 min后将受精卵转移至孵化桶。每个实验组设置三个重复。
|
|
表 1 杂种Ha(C. gigas “海大1号” ♀× C. ariakensis ♂)与亲本回交的授精策略 Table 1 Insemination strategy of the hybrid Ha (C. gigas 'Haida No.1' ♀×C. ariakensis ♂) with its parental species |
幼虫于60 L聚乙烯桶中养殖,养殖盐度为21,养殖温度为26 ℃,实验期间每2 d换水一次,换水量为总体积的1/2。前期投喂球等鞭金藻,逐渐混入亚心形扁藻和小球藻,并逐渐减少球等鞭金藻含量,后期仅投喂亚心形扁藻和小球藻混合藻液,每天投喂3次,根据显微镜下观察的幼虫内脏团颜色调整投喂量,确保投喂2 h后内脏团呈不透明的深棕色。
1.4 指标测定受精4 h后的卵裂数量占总卵数量的百分比即为受精率。受精24 h后D形幼虫数量占总受精卵数量百分比即为孵化率。幼虫孵化后的第3、6、9、12、15、18天取样,采用五点法取样,以中心点为基准,沿东、西、南、北四个正交方向设置取样点,每组每次取样100 mL,每个取样点各取样20 mL,幼虫用1%的卢戈氏液固定,随机选取30只在光学显微镜下测定壳高,并记录幼虫数量以计算密度,每次测定后都对养殖密度进行调整以确保各组养殖条件相同,消除密度效应的影响。根据初始密度、每次调整密度和测定的密度推算出幼虫存活率。单亲优势计算方法参考Zheng[35-36]等。考虑到杂交亲本HA自交繁育的不稳定性,在计算亲本优势的基础上引入回交子代对HA的优势计算,回交子代对HA的优势计算如下:
| $ H_{B-H A}=\frac{(B-H A)}{H A} \times 100 \% 。$ | (1) |
式中:B表示各回交组的表型平均值(生长、存活、受精、孵化);HA表示HA组的表型平均值。
1.5 数据统计使用SPSS 25.0软件进行单因子方差分析(One-Way ANOVA),结合Tukey多重比较分析数据,显著性水平设置为P < 0.05。
2 结果 2.1 亲本鉴定亲本COX1经BLAST比对后,长牡蛎“海大1号”、HA亲本鉴定种均为长牡蛎,近江牡蛎亲本鉴定种为近江牡蛎。ITS2琼脂糖凝胶电泳结果如图 1所示。长牡蛎对照、长牡蛎“海大1号”亲本在600~700 bp之间出现一条清晰的条带,近江牡蛎对照、近江牡蛎亲本在500~600 bp之间出现一条清晰条带,杂交亲本Ha在600~700 bp出现两条清晰的条带。
|
( M:100 bp标记物; 1、2:近江牡蛎对照; 3、4:近江牡蛎亲本♀; 5、6:近江牡蛎♂; 7、8:杂交亲本Ha ♀; 9、10:杂交亲本Ha ♂; 11、12:长牡蛎“海大1号” ♀; 13、14:长牡蛎“海大1号” ♂; 15、16:长牡蛎对照。M: 100 bp marker; lanes 1、2: wild-type C. ariakensis; lanes 3、4: female C. ariakensis parent; lanes 5、6: male C. ariakensis parent; lanes 7、8: female hybrid Ha parent; lanes 9、10: male hybrid Ha parent; lanes 11、12: female C. gigas ‘Haida No.1’ parent; lanes 13、14: male C. gigas ‘Haida No.1’ parent; lanes 15、16: wild-type C. gigas. ) 图 1 ITS2基因的PCR电泳结果 Fig. 1 PCR results of ITS2 gene |
HA组受精率最低(0.20%±0.08%),显著低于其余各组(P < 0.05),AH、AHa与其余各组均存在显著差异(P < 0.05),HH受精率最高(96.21%±0.85%),但与HaH、HHa、HaHa、AA无显著差异,与HaA、AHa、AH、HA存在显著差异(P < 0.05)(见表 2)。各回交组的受精率仅HaH表现出一定的母系单亲回交优势,HHa表现出父系单亲优势,其余各组均无优势(见表 3)。各回交组受精率与HA相比,均表现出较高优势。AHa的孵化率最低(53.71%±5.02%),与HA无显著差异,但显著低于其余各组(P < 0.05)。AA孵化率最高(94.60%±0.59%),与AHa、HA、AH存在显著差异(P < 0.05),与其余各组无显著差异。孵化水平上,仅HHa表现出父系单亲优势,但是HaH、HaA、HHa均对HA表现出优势。
|
|
表 2 各授精组的受精率及孵化率 Table 2 Fertilization and hatching rates in each insemination group |
|
|
表 3 各受精组的受精杂种优势和孵化杂种优势 Table 3 Fertilization heterosis and hatching heterosis of each insemination group |
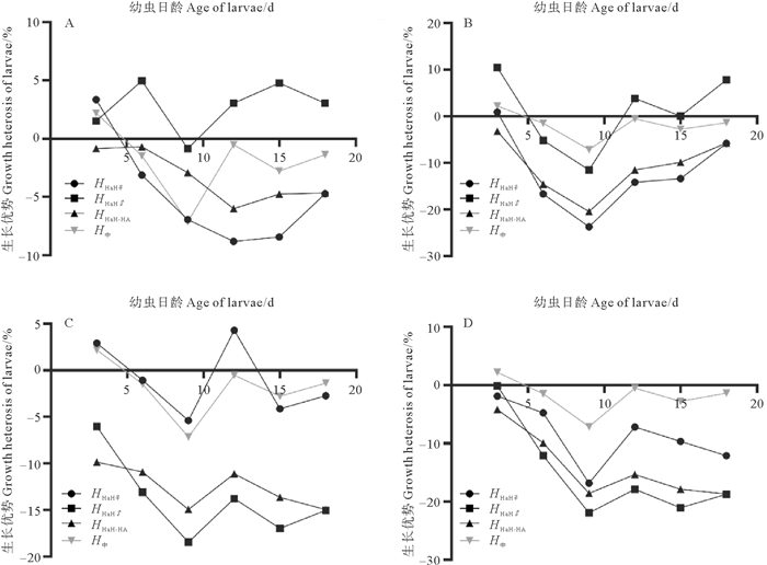
各组浮游幼虫的壳高如图 2所示。AH生长最慢,在6、12和18 d时壳高最小。HaHa在6 d以后壳高最大,与HA无显著差异,但显著高于其余各组(P < 0.05)。HaA在9 d时壳高最小,显著低于HaHa、HA、HH、HaH、AA和AHa(P < 0.05)。18 d时,壳高HaHa ((255.03±11.81) μm)>HA((254.82±15.87) μm)>HaH((242.97±14.03) μm)>HaA((240±18.23) μm)>HH((235.80±23.14) μm)>AA((222.80±13.83) μm)>AHa((216.73±12.78) μm)>HHa((207.27±11.53) μm)>AH((206.40±14.25) μm),其中HHa与AH之间无显著差异但显著低于其余各组(P < 0.05),HaHa、HA、HaH之间无显著差异,均有较大的壳高。各组浮游幼虫的壳高优势如图 3所示。在3 d时,HaH、HaA对双亲表现出优势,但对HA未表现出优势,AHa表现出母系单亲优势,HHa表现出双亲劣势,各回交组对HA均表现出劣势。HaH在3、6、12、15和18 d均表现出父系单亲优势。HaA在3、12、15和18 d表现出父系单亲优势。
|
( 同一时间下, 不同上标字母表示显著差异(P < 0.05), 下同。Different superscript letters indicated significant difference (P < 0.05) at the same time, the same as below. ) 图 2 幼虫壳高比较 Fig. 2 Comparison of larval shell height |
|
( A表示HaH的生长杂种优势, B表示HaA的生长杂种优势, C表示AHa的生长杂种优势, D表示HHa的生长杂种优势。下同。A represents the growth heterosis of HaH, B represents the growth heterosis of HaA, C represents the growth heterosis of AHa, D represents the growth heterosis of HHa. The same as below. ) 图 3 幼虫生长杂种优势比较 Fig. 3 Comparison of larval growth heterosis |
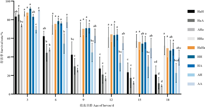
各组浮游幼虫的存活率如图 4所示。3 d时,AH壳高与AHa无显著差异,但显著低于其余各组(P < 0.05),AHa壳高显著低于HH、AA、HaHa、HHa、HaA(P < 0.05),与HA、HaH无显著差异。9 d后HaH、HaA、AHa存活率较低,显著低于HA、HH、HaHa、HHa、AA(P < 0.05)。在整个实验过程中HH、AA、HaHa、HA、HHa的存活率不存在显著差异。18 d时,HHa的存活率最高(52.10%±8.10%),显著高于AH(22.65%±8.30%)、HaH(20.90%±7.63%)、HaA(11.67%±5.05%)和AHa(9.07%±3.09%)(P < 0.05)。HaH、HaA仅在3 d时表现出对HA的优势,AHa在整个试验期间均表现出杂种劣势,HHa在15和18 d表现出杂种优势及对HA的优势(见图 5)。
|
图 4 幼虫存活比较 Fig. 4 Comparison of larval survival |
|
图 5 幼虫存活杂种优势比较 Fig. 5 Comparison of larval survival heterosis |
已有研究表明,长牡蛎与近江牡蛎之间可以实现双向受精,但合子兼容性差,杂合子受精率均较低,本实验两杂交子代结果与其一致[24-26]。长牡蛎与近江牡蛎两者亲缘关系较远,但是分布区域部分重叠[37],故其需要在合子生成前或合子生成后形成生殖隔离机制来保证物种独立性[38],故导致长牡蛎与近江牡蛎双向受精率或孵化率较低,以此来保证物种独立。本实验中,四组回交子代,HHa受精率、孵化率在90%以上,HaH的受精率、孵化率分别超过90%、80%,HaA均超过85%,受精率、孵化率最低的AHa也在50%以上,对HA、长牡蛎“海大1号”、近江牡蛎亲本自交表现出了受精、孵化劣势,但是均高于杂交HA、AH,对HA均表现出很大优势,有效地改善了长牡蛎与近江牡蛎之间的合子生成前后生殖隔离。回交子代表现出杂种劣势是因为Ha亲本自交组HaHa的受精、孵化均表现出较高水平,但是因杂交种自交的育种方式无法避免基因分离及纯合[27],故引入回交子代对HA的优势来衡量回交与亲本的杂种优势。
通过对回交子代对HA的优势分析可以得知,本实验的结果表明回交育种有效地改善了长牡蛎与近江牡蛎杂交的合子兼容性低的情况,有效地提高了回交子代的受精率、孵化率。张跃环[28]在HG(C. hongkongensis ♀×C. gigas ♂)与长牡蛎回交的实验同样出现了回交子代受精率、孵化率高于杂交的情况,其回交子代GHg的受精率虽然仅有11.22%,但是却突破了香港牡蛎做母本、长牡蛎做父本杂交子代HG不受精的生殖隔离。Xu等[39]认为这是由于牡蛎在进化过程中精卵识别机制出现差异的结果。杂交导致的基因重组可能使得杂交子代获得亲本双方的部分精卵识别机制,从而在一定程度上克服合子兼容性低的现象,使得杂交子代在回交时获得高于两亲本杂交的受精率与孵化率。李海昆等[24]研究证明,盐度影响长牡蛎与近江牡蛎杂交的合子兼容性,配子兼容性对盐度的响应具有一定的母本效应。AHa表现出较低的受精率与孵化率可能与其受精、孵化盐度有关,其相关影响需后续实验验证。
3.2 生长与存活实验期间,回交子代在生长、存活水平未表现出中亲优势。HaH和HaA的生长在18 d表现出父系优势,即对纯种亲本表现出优势,表明两组均对亲本的生长性能有一定的改良。前人研究证明杂交子代会在早期产生母本效应[40]。HA在生长上优于两纯种亲本,HaH、HaA在生长上也优于纯种父本,表现出母本效应。HHa在15和18 d对双亲、HA均表现出存活优势,表明其出现了真杂种优势。4组回交子代都仅在生长、存活其中之一上表现出一定的杂种优势,更多地表现出杂种劣势,尤其是存活率,原因之一是HaHa表现出较高的生长速度和存活率,其次可能由于长牡蛎“海大1号”与近江牡蛎杂交后产生的相关基因传递到回交子代后发生不稳定、近亲繁殖抑制[41],在早期幼虫中出现兼容性下降,优势基因或有利隐性基因被掩盖、适应中断、上位基因作用加剧等[38, 42]。杂交AHa在存活上表现出完全的杂种劣势,其与霍忠明等[43]在香港牡蛎与近江牡蛎杂交子代回交中的结果一致,这可能与基因间互作及环境因素有关。此外,实验所用的养殖温度和盐度可能并不适宜AHa的生长与存活,从而导致AHa的存活率表现出完全的杂种劣势。
前人研究表明,杂种优势会随环境变化而变化,当环境条件改变时杂种优势可能会消失[44],本实验的各实验组与前人相比表现出较快的生长速度和较低的存活率,可能是因为本实验养殖温度较高、盐度较低导致。温度、盐度对生长、存活的影响在多种水产生物中都有研究。在牡蛎的研究中发现,在15~25 ℃范围内随着温度的上升幼虫的存活率下降、生长速度加快,当温度超过25 ℃时存活率大幅度下降[14, 32, 45-46],本研究养殖温度为26 ℃,较高水温会导致水体致病性微生物繁殖以及贝类血细胞数量和酶活性下降[47-48],进而影响牡蛎的存活。张梓言[17]研究表明,牡蛎的最适盐度范围及其盐度适应能力的差异主要取决于物种特性。本实验采用的杂交子代Ha的近江牡蛎亲本生长环境盐度为18,杂交及回交产生的基因渐渗以及抗逆相关基因的富集可能提升子代的盐度适应能力[29],使得杂交子代在低盐环境中表现出更优的生长性能。
4 结语回交有效地提高了杂交子代Ha与双亲配子兼容性,HaH生长速度高于HH,HaA生长速度高于AA,HHa存活率高于HH、HA、AA,具有回交优势,HaH、HaA、HHa均对亲本有一定的正向改良。HaHa在受精、孵化、生长、存活性状上均具有较好的表现,与三种亲本无显著差异。本研究获得的HaH、HHa和HaA可为近江牡蛎与长牡蛎的遗传改良提供育种材料。
| [1] |
农业农村部渔业渔政管理局, 全国水产技术推广总站, 中国水产学会. 2024中国渔业统计年鉴[M]. 北京: 中国农业出版社, 2024: 1-159. Bureau of Fisheries of Ministry of Agriculture and Rural Affairs, National Fisheries Technology Extension Center, China Society of Fisheries. 2024 China Fishery Statistical Yearbook[M]. Beijing: China Agriculture Press, 2024: 1-159. ( 0) |
| [2] |
李琪, 孔令锋, 于瑞海, 等. 长牡蛎"海大1号"[J]. 中国水产, 2014(9): 35-41. Li Q, Kong L F, Yu R H, et al. Crassostrea gigas 'Haida No. 1'[J]. China Fisheries, 2014(9): 35-41. ( 0) |
| [3] |
李琪, 孔令锋, 于瑞海, 等. 长牡蛎"海大2号"[J]. 中国水产, 2018(6): 84-92. Li Q, Kong L F, Yu R H, et al. Crassostrea gigas 'Haida No. 2'[J]. China Fisheries, 2018(6): 84-92. ( 0) |
| [4] |
李琪, 于瑞海, 孔令锋, 等. 长牡蛎"海大3号"[J]. 中国水产, 2020(4): 98-105. LI q, Yu R H, Kong L F, et al. Crassostrea gigas 'Haida No. 3'[J]. China Fisheries, 2020(4): 98-105. ( 0) |
| [5] |
邢德, 李琪, 张景晓. 壳白长牡蛎品系生长和壳色性状遗传参数估计[J]. 中国水产科学, 2018, 25(1): 26-33. Xing D, Li Q, Zhang J X. Estimates of genetic parameters for growth and shell color traitsinthe white-shell strain of Pacific oyster (Crassostrea gigas)[J]. Journal of Fishery Sciences of China, 2018, 25(1): 26-33. ( 0) |
| [6] |
许岚, 李琪, 孔令锋, 等. 温度和盐度对壳黑长牡蛎幼虫生长和存活的影响[J]. 中国海洋大学学报(自然科学版), 2017, 47(8): 44-50. Xu L, Li Q, Kong L F, et al. Effect of temperature and salinity on growth and survival of larvae of black-shell Pacific oyster (Crassostrea gigas)[J]. Periodical of Ocean University of China, 2017, 47(8): 44-50. DOI:10.16441/j.cnki.hdxb.20160418 ( 0) |
| [7] |
武祥伟, 张跃环, 肖述, 等. 熊本牡蛎壳金品系与壳黑品系的生长、存活、性腺发育及生化成分的周期性变化[J]. 水生生物学报, 2020, 44(4): 728-735. Wu X W, Zhang Y H, Xiao S. Characteristics of growth, survival, gonadal development and biochemical component between the golden shell and black shell lines of Crassostrea sikamea[J]. Acta Hydrobiologica Sinica, 2020, 44(4): 728-735. ( 0) |
| [8] |
方佳峰, 李琪. 长牡蛎壳橙品系幼虫和稚贝的生长性状遗传参数评估[J]. 中国海洋大学学报(自然科学版), 2020, 50(11): 38-44. Fang J F, Li Q. Estimation of genetic parameters for growth traits of larvae and juveniles of the orange-shell strain of Pacific oyster[J]. Periodical of Ocean University of China, 2020, 50(11): 38-44. DOI:10.16441/j.cnki.hdxb.20190252 ( 0) |
| [9] |
李莉, 丛日浩, 张国范. 长牡蛎"海蛎1号"[J]. 中国水产, 2021(9): 91-95. Li L, Cong R H, Zhang G F. Crassostrea gigas 'Haili No. 1'[J]. China Fisheries, 2021(9): 91-95. ( 0) |
| [10] |
杨建敏, 王卫军, 李彬, 等. 长牡蛎"鲁益1号"[J]. 中国水产, 2021(6): 87-94. Yang J M, Wang W J, Li B, et al. Crassostrea gigas 'Luyi No. 1'[J]. China Fisheries, 2021(6): 87-94. ( 0) |
| [11] |
贾真, 彭业韶, 孔令鑫, 等. 香港牡蛎糖原合酶与糖原磷酸化酶基因多态性研究及糖原含量性状相关分子标记挖掘[J]. 海洋科学, 2023, 47(7): 35-43. Jia Z, Peng Y S, Kong L X, et al. Polymorphisms of glycogen synthase and glycogen phosphory-lase genes and identification of glycogen content-associated molecular markers in Crassostrea hongkongensis[J]. Marine Sciences, 2023, 47(7): 35-43. ( 0) |
| [12] |
Guo X M, Ford S E, Zhang F S. Molluscan aquaculture in China[J]. Journal of Shellfish Research, 1999, 18(1): 19-31. ( 0) |
| [13] |
卢王梯, 关则智, 司圆圆. 盐度对近江牡蛎幼虫生长和存活的影响[J]. 江西水产科技, 2020(5): 8-10. Lu W T, Guan ZZ, Si Y Y. Effect of salinity on the growth and survival of oyster larvae[J]. Jiangxi Fishery Science and Technology, 2020(5): 8-10. ( 0) |
| [14] |
姜高伟, 李琪, 徐成勋, 等. 温度对长牡蛎和葡萄牙牡蛎及其杂交稚贝生长和存活的影响[J]. 中国水产科学, 2021, 28(1): 29-36. Jiang G W, Li Q, Xu C X, et al. Effects of temperature on the growth and survival of reciprocal hybrids of two oyster species, Crassostrea gigas and Crassostrea angulata[J]. Journal of Fishery Sciences of China, 2021, 28(1): 29-36. ( 0) |
| [15] |
Hoffmann A A, Sgrò C M. Climate change and evolutionary adaptation[J]. Nature, 2011, 470(7335): 479-485. DOI:10.1038/nature09670 ( 0) |
| [16] |
Donovan L A, Rosenthal D R, Sanchez-Velenosi M, et al. Are hybrid species more fit than ancestral parent species in the current hybrid species habitats?[J]. Journal of Evolutionary Biology, 2010, 23(4): 805-816. DOI:10.1111/j.1420-9101.2010.01950.x ( 0) |
| [17] |
张梓言. 近江牡蛎高盐适应特性及其分子机制研究[D]. 青岛: 中国科学院大学(中国科学院海洋研究所), 2023. Zhang Z Y. Hypersalinity Adaptation and Underlying Mechanisms of the Estuarine Oyster (Crassostrea ariakensis)[D]. Qingdao: University of Chinese Academy of Sciences (Institute of Oceanology, Chinese Academy of Sciences), 2023. ( 0) |
| [18] |
Bouchon-Brandely M. On the sexuality of the common oyster (Ostrea edulis) and that of the Portuguese oyster (O. angulata). Artificial fecundation of the Portuguese oyster[J]. Journal of Natural History, 1882, 10(58): 328-330. DOI:10.1080/00222938209459717 ( 0) |
| [19] |
Allen Jr S K, Gaffney P M. Genetic confirmation of hybridization between Crassostrea gigas (Thunberg) and Crassostrea rivdaris (Gould)[J]. Aquaculture, 1993, 113(4): 291-300. DOI:10.1016/0044-8486(93)90400-S ( 0) |
| [20] |
郑怀平, 王迪文, 林清, 等. 太平洋牡蛎与葡萄牙牡蛎两近缘种间杂交及其早期阶段生长与存活的杂种优势[J]. 水产学报, 2012, 36(2): 210-215. Zheng H P, Wang D W, Lin Q, et al. Hybridization between the two close related species Crassostrea gigas and C. angulata and heterosis for growth and survival at early stage of life history[J]. Journal of Fisheries of China, 2012, 36(2): 210-215. ( 0) |
| [21] |
Xu H Q, Li Q, Kong L F, et al. Fertilization, survival and growth of hybrids between Crassostrea gigas and Crassostrea sikamea[J]. Fisheries Science, 2019, 85(5): 821-828. DOI:10.1007/s12562-019-01330-2 ( 0) |
| [22] |
Zhang Y H, Li J, Zhang Y, et al. Performance evaluation of reciprocal hybrids derived from the two brackish oysters, Crassostrea hongkongensis and Crassostrea sikamea in southern China[J]. Aquaculture, 2017, 473: 310-316. DOI:10.1016/j.aquaculture.2017.02.031 ( 0) |
| [23] |
Zhang Y H, Zhang Y, Jun L, et al. Phenotypic trait of Crassostrea hongkongensis♀×C. angulata♂ hybrids in southern China[J]. Aquaculture Research, 2016, 47(11): 3399-3409. DOI:10.1111/are.12787 ( 0) |
| [24] |
李海昆, 于瑞海, 刘洋, 等. 近江牡蛎和长牡蛎的配子兼容性及合子育性[J]. 水产学报, 2020, 44(12): 1997-2006. Li H K, Yu R H, Liu Y, et al. Analysis of gamete compatibility and zygote fertility between Crassostrea ariakensis and Crassostrea gigas[J]. Journal of Fisheries of China, 2020, 44(12): 1997-2006. ( 0) |
| [25] |
姚托. 长牡蛎、葡萄牙牡蛎与近江牡蛎的种间杂交研究[D]. 青岛: 中国海洋大学, 2014. Yao T. Hybridization Between Crassostrea ariakensis and C. gigas, C. angulata[D]. Qingdao: Ocean University of China, 2014. ( 0) |
| [26] |
张跃环, 王昭萍, 闫喜武, 等. 太平洋牡蛎与近江牡蛎的种间杂交[J]. 水产学报, 2012, 36(8): 1215-1224. Zhang Y H, Wang Z P, Yan X W, et al. Interspecific hybridization between two oysters Crassostrea gigas and C. ariakensis[J]. Journal of Fisheries of China, 2012, 36(8): 1215-1224. ( 0) |
| [27] |
赵金良, 楼允东. 鱼类育种学(第二版)[M]. 北京: 中国农业出版社, 2017: 43-49. Zhao J L, Lou R D. Fish Breeding (Second Edition)[M]. BeiJing: China Agriculture Press, 2017: 43-49. ( 0) |
| [28] |
张跃环. 香港巨牡蛎Crassostrea hongkongensis与长牡蛎C. gigas种间杂交效应及遗传改良研究[D]. 青岛: 中国海洋大学, 2012. Zhang Y H. Interspecific Hybridization Effect and Genetic Improvement Between Two Cupped Oyster, Crassostrea hongkongensis and C. gigas[D]. Qingdao: Ocean University of China, 2012. ( 0) |
| [29] |
Zhang Y H, Zhang Y, Li J, et al. Artificial interspecific backcrosses between the hybrid of female Crassostrea hongkongensis×male C. gigas and the two parental species[J]. Aquaculture, 2016, 450: 95-101. DOI:10.1016/j.aquaculture.2015.07.013 ( 0) |
| [30] |
Shi G P Y, Qin Y P, Wan W T, et al. Studies of interspecific backcross between hybrids of (Crassostrea angulata♀×C. gigas♂) and their two parental species[J]. Aquaculture, 2023, 564: 739043. DOI:10.1016/j.aquaculture.2022.739043 ( 0) |
| [31] |
Li J W, Qin Y P, Xing Q G, et al. Offspring performance of backcrossing between hybrid line of Crassostrea dianbaiensis ♀×Crassostrea iredalei♂ and their parental species[J]. Aquaculture, 2025, 599: 742140. DOI:10.1016/j.aquaculture.2025.742140 ( 0) |
| [32] |
张海宁, 徐成勋, 李琪. 温度和盐度对长牡蛎"海大1号"二倍体和三倍体幼虫生长与存活的影响[J]. 中国海洋大学学报(自然科学版), 2024, 54(3): 31-39. Zhang H N, Xu C X, Li Q. Effects of temperature and salinity on the growth and survival of diploid and triploid larvae of Pacificoyster"Haida No.1"[J]. Periodical of Ocean University of China, 2024, 54(3): 31-39. DOI:10.16441/j.cnki.hdxb.20220514 ( 0) |
| [33] |
Li Q, Wang Q Z, Liu S K, et al. Selection response and realized heritability for growth in three stocks of the Pacific oyster Crassostrea gigas[J]. Fisheries Science, 2011, 77(4): 643-648. DOI:10.1007/s12562-011-0369-0 ( 0) |
| [34] |
Wang H Y, Guo X M. Identification of Crassostrea ariakensis and related oysters by multiplex species-specific PCR[J]. Journal of Shellfish Research, 2008, 27(3): 481-487. DOI:10.2983/0730-8000(2008)27[481:IOCAAR]2.0.CO;2 ( 0) |
| [35] |
Zheng H P, Zhang G F, Guo X M, et al. Heterosis between two stocks of the bay scallop, Argopecten irradians irradians Lamarck (1819)[J]. Journal of Shellfish Research, 2006, 25(3): 807-812. DOI:10.2983/0730-8000(2006)25[807:HBTSOT]2.0.CO;2 ( 0) |
| [36] |
Zheng H P, Xu F, Zhang G F. Crosses between two subspecies of bay scallop Argopecten irradians and heterosis for yield traits at harvest[J]. Aquaculture Research, 2011, 42(4): 602-612. DOI:10.1111/j.1365-2109.2010.02657.x ( 0) |
| [37] |
Guo X M. Use and exchange of genetic resources in molluscan aquaculture[J]. Reviews in Aquaculture, 2009, 1(3-4): 251-259. DOI:10.1111/j.1753-5131.2009.01014.x ( 0) |
| [38] |
Edmands S. Heterosis and outbreeding depression in interpopulation crosses spanning a wide range of divergence[J]. Evolution, 1999, 53(6): 1757-1768. DOI:10.1111/j.1558-5646.1999.tb04560.x ( 0) |
| [39] |
Xu F, Zhang G F, Liu X, et al. Laboratory hybridization between Crassostrea ariakensis and C. Sikamea[J]. Journal of Shellfish Research, 2009, 28(3): 453-458. DOI:10.2983/035.028.0305 ( 0) |
| [40] |
Garamszegi L Z, Biard C, Eens M, et al. Maternal effects and the evolution of brain size in birds: Overlooked developmental constraints[J]. Neuroscience & Biobehavioral Reviews, 2007, 31(4): 498-515. ( 0) |
| [41] |
Marshall T C, Spalton J A. Simultaneous inbreeding and outbreeding depression in reintroduced Arabian oryx[J]. Animal Conservation, 2000, 3(3): 241-248. DOI:10.1111/j.1469-1795.2000.tb00109.x ( 0) |
| [42] |
Schierup M H, Christiansen F B. Inbreeding depression and outbreeding depression in plants[J]. Heredity, 1996, 77(5): 461-468. DOI:10.1038/hdy.1996.172 ( 0) |
| [43] |
霍忠明, 王昭萍, 梁健, 等. 香港巨牡蛎与近江牡蛎杂交及回交子代早期生长发育比较[J]. 水产学报, 2013, 37(8): 1155-1161. Huo Z M, Wang Z P, Liang J, et al. Comparisons of growth and development of hybrid and backcrossing progenies between Crassostrea hongkongensis and Crassostrea ariakensis[J]. Journal of Fisheries of China, 2013, 37(8): 1155-1161. ( 0) |
| [44] |
Wang H L, Su B F, Zhang Y, et al. From heterosis to outbreeding depression: Genotype-by-environment interaction shifts hybrid fitness in opposite directions[J]. Genetics, 2024, 227(4): iyae090. DOI:10.1093/genetics/iyae090 ( 0) |
| [45] |
孟乾, 李琪, 张景晓. 水温和盐度对长牡蛎"海大1号"早期生长发育的影响[J]. 海洋科学, 2017, 41(12): 32-37. Meng Q, Li Q, Zhang J X. Effect of temperature and salinity on embryonic development, growth, survival, and setting of the Pacific oyster"Haida No.1" larvae[J]. Marine Sciences, 2017, 41(12): 32-37. ( 0) |
| [46] |
涂康, 韩自强, 肖懿哲, 等. 温度与盐度对福建牡蛎与长牡蛎、熊本牡蛎、香港巨牡蛎种间杂交子代孵化及其早期生长成活的影响[J]. 海洋科学, 2024, 48(4): 53-62. Tu K, Han Z Q, Xiao Y Z. Effects of temperature and salinity on hatching, early growth, and survival of interspecific hybrid larvae between Crassostrea angulata and C. gigas, C. sikamea, and C. hongkongensis[J]. Marine Sciences, 2024, 48(4): 53-62. ( 0) |
| [47] |
Yang B, Zhai S Y, Li X, et al. Identification of Vibrio alginolyticus as a causative pathogen associated with mass summer mortality of the Pacific oyster (Crassostrea gigas) in China[J]. Aquaculture, 2021, 535: 736363. DOI:10.1016/j.aquaculture.2021.736363 ( 0) |
| [48] |
胡益鸣, 李琪, 刘士凯, 等. 温度和盐度急性胁迫对岩牡蛎存活及免疫指标的影响[J]. 中国水产科学, 2020, 27(3): 286-294. Hu Y M, Li Q, Liu S K, et al. Effects of acute temperature and salinity stress on the survival and immune indexes of Iwagaki oysters, Crassostrea nippona[J]. Journal of Fishery Sciences of China, 2020, 27(3): 286-294. ( 0) |
2. Laboratory for Marine Fisheries Science and Food Production Processes, Qingdao Marine Science and Technology Center, Qing-dao 266237, China
2026, Vol. 56



0)