2. 中国海洋大学海洋生物多样性与进化研究所,山东 青岛 266003;
3. 崂山实验室,山东 青岛 266237;
4. 中国水产研究院黄海水产研究所,山东 青岛 266071
再生是一种重要的生物过程,许多生物可以通过再生恢复它们丢失或受伤的身体组织和器官。揭示再生的分子调控机制一直是再生领域研究的热点。针对生物再生机制的研究主要集中在几种再生模式动物上,如水螅(Hydra)[1]、涡虫(Planariun)[2]、斑马鱼(Danio rerio)[3]及蝾螈(Ambystoma mexicanum)[4]等,众多研究表明,再生过程受到几个关键信号通路(如Wnt、BMP、SHH信号通路等)的调控,而这些信号在胚胎发育中发挥核心作用[5-8]。有研究表明,免疫系统除了发挥基本的机体免疫防御功能外,其中一些成分也参与了生物再生过程的调控[9-11]。例如,巨噬细胞是蝾螈附肢再生所必需的,系统清除巨噬细胞会导致肢体再生进程阻滞[9]。再如,先天免疫系统补体受体C5aR1C在斑马鱼、蝾螈和小鼠(Mus musculus)的心脏再生中发挥重要调控作用[10]。然而,有关免疫系统在再生中的功能研究非常有限。
Toll样受体(Toll-like receptor, TLR)是先天性免疫的重要组成部分,对于保护宿主免受病原体入侵至关重要。其基本功能是作为重要的模式识别受体来识别表征多种病原体的致病关联分子[12]。在用适当的激动剂连接受体后,TLRs将近端细胞质接头蛋白募集到受体信号结构域,进而在免疫应答中发挥作用。髓细胞分化抗原88(MyD88)是除TLR3外的所有TLR所需的中心接头[13]。有研究表明,TLRs信号在哺乳动物的其他生物学过程(如癌症、神经发育和组织修复)中发挥着重要功能[14-15]。例如,通过对TLR2在肌肉创伤后再生中的作用进行研究后发现,TLR2缺失会阻碍正常肌肉结构的恢复,这表明TLR2在肌肉创伤后再生中发挥重要作用[16]。
通过分析墨西哥钝口螈(A.mexicanum)尾部再生转录组数据发现,MyD88介导的TLR信号关键基因TLR1、TLR5、TLR7、TLR8和MyD88在尾部再生过程中大量表达,这提示TLRs参与再生过程的调控。然而,其在再生过程中的功能尚不清楚。本研究正是基于这样的背景,旨在通过原位杂交、实时定量PCR、药物化学及细胞标记技术,探究MyD88介导的Toll样受体信号基因在墨西哥钝口螈尾部再生过程中的时空表达模式和功能。
1 材料和方法 1.1 动物实验本实验所用动物为实验室自行繁殖的墨西哥钝口螈,从中选取体长约5 cm且大小均一的个体共42只,进行尾部手术切除。使用0.03% MS222溶液(3-氨基-苯甲酸乙酯甲磺酸盐,品牌:Sigma-Aldrich)将蝾螈麻醉后进行尾部切除手术,手术切面距尾末端约0.5 cm。术后,对动物统一管理,并根据实验安排取其不同再生期的尾部组织用于后续实验。
1.2 整体原位杂交为确定墨西哥钝口螈尾部再生过程中TLR信号基因的表达模式,本研究根据文献[17-18]描述的方法对不同阶段的尾部再生组织进行了整体原位杂交。具体操作如下:首先,收集不同再生时期尾部再生组织,用新配制的4%多聚甲醛(Paraformaldehyde,PFA)溶液于4 ℃下固定过夜。其次,经磷酸盐缓冲盐水(Phosphate buffered saline,PBS)清洗和梯度酒精脱水,将组织在-20 ℃下储存于100%乙醇中。然后,用限制性内切酶NcoI或XhoI将含有靶基因的pGEM-T-easy载体(品牌:Promega)线性化,并通过T7或SP6 RNA聚合酶和地高辛RNA标记试剂盒(品牌:Roche),在体外转录合成各基因的正义和反义探针。杂交前,将尾部组织与10 μg/mL蛋白酶K在37 ℃下孵育10 min,以增加组织渗透性。然后将组织与含有探针的杂交溶液在60 ℃下孵育48 h。使用碱性磷酸酶(Alkaline phosphatase,AP)偶联的抗地高辛抗体(品牌:Roche),在4 ℃下以1∶2 000的稀释度孵育过夜。最后,使用BCIP和NBT(品牌:Roche)进行后续显色反应。
1.3 实时荧光定量PCR(Quantitative real-time PCR,q-PCR)为检测墨西哥钝口螈尾部再生过程中TLR信号基因的表达水平,开展q-PCR检测。具体操作如下:用TRIzol试剂(品牌:Roche)分别从不同阶段的尾部再生组织中提取总RNA。根据制造商的说明书,用逆转录系统(品牌:Thermo)合成单链cDNA。使用Power SYBR Green PCR Master Mix(品牌:Yeasen)在实时定量PCR仪器(品牌:Roche; 型号:LightCycler® 480Ⅱ)中进行实时PCR反应。使用对比CT值法(2-ΔΔCT)对数据进行量化[19]。选用甘油醛-3-磷酸脱氢酶基因(GAPDH)作为q-PCR标准化的内标参考。q-PCR实验中,所有样本均设置3个平行样, 且每个样设3次生物学重复(独立取样3次)。数据表示为平均值±标准差(Mean±SD),并使用Tukey方法通过单因素方差分析进行显著性检验,显著性阈值设置为P < 0.05。相关基因引物序列如表 1所示。
|
|
表 1 本研究中实时定量PCR引物 Table 1 Primers for quantitative real-time PCR used in this study |
为明确MyD88介导的TLR信号在整个再生过程中的作用,使用TJ-M2010-5(品牌:MedChemExpress; CAS号:1357471-57-8)阻断该信号传导。TJ-M2010-5是一种MyD88抑制剂,能与MyD88的TIR结构域结合,从而阻断其同源二聚化和TLR/MyD88信号通路[20]。具体操作如下:将200 μmol/L TJ-M2010-5溶液(溶解于PBS)与蓝色Affi凝胶珠(品牌: Bio-Rad; 货号:153-7302)在4 ℃下孵育过夜; 使用PBS浸泡凝胶珠作为对照; 尾部切除后,参照之前描述的方法在其伤口部位植入凝胶珠[21]; 将植入凝胶珠的动物用湿纸巾覆盖, 静置15 min; 然后将动物养殖于含有15 μmol/L TJ-M2010-5的水中,每3 d换水一次; 在不同的时间点,记录尾部再生过程。
1.5 细胞BrdU标记为检测抑制TLR信号传导后的细胞增殖变化,对处于断尾术后第4天的墨西哥钝口螈的TJ-M2010-5处理组和对照组进行尾部5-溴脱氧尿嘧啶核苷(BrdU)标记。将浓度为15 μg/mL的BrdU溶液(溶于PBS)多点显微注射于尾部再生部位,每只蝾螈尾部注射BrdU的体积为1 000~1 200 nL。收集显微注射24 h后的尾部再生组织,用新制备的4% PFA固定,然后制备厚度为8 μm的石蜡组织切片。切片经二甲苯脱蜡和梯度酒精水化,然后用PBS浸洗,在37 ℃的2 mol/L HCl中孵育30 min,以使DNA变性,并在0.1 mol/L硼酸钠溶液中中和15 min。然后将切片与3%牛血清白蛋白(BSA)孵育,以阻断非特异性结合。随后将切片与稀释倍数为1∶100的小鼠BrdU抗体(品牌:Abcam; 货号:ab8152)4 ℃下孵育过夜。用PBST(含有0.1%(v/v)Tween-20的PBS)洗涤4次后,将切片与CY3标记的山羊抗小鼠IgG(品牌:YESEN; 货号:33208ES60)置于室温条件下避光孵育。使用4′, 6-二脒基-2-苯基吲哚(4′, 6-diamidino-2-phenylindole,DAPI)对细胞核进行染色。用PBST洗涤3次后封片,用荧光显微镜观察,并用激光共聚焦显微镜扫描拍照。
2 结果与分析 2.1 TLRs和MyD88在尾部再生过程中的表达模式本研究使用原位杂交和q-PCR技术研究墨西哥钝口螈尾部再生过程中MyD88介导的TLR信号基因的表达模式。
在手术断尾后1 d,TLR1在伤口表皮显著表达(见图 1(A)); 而在断尾后3 d,除了伤口表皮外,该基因的表达集中在脊椎受伤端附近(主要包含软骨和脊髓)(见图 1(B)); 在断尾后5 d,在脊椎受伤端检测到该基因极显著的表达(见图 1(C)); 至断尾后7 d,表达信号变得相对较弱(见图 1(D))。
|
( 箭头指向的蓝色或紫色区域表示阳性信号染色,标尺为1 000 μm。The blue or purple areas pointed to by the arrow indicate positive signal staining. The scale is 1 000 μm. ) 图 1 TLR1 (A)—(D)、TLR5 (E)—(H)、TLR7 (I)—(L)、TLR8 (M)—(P)和MyD88 (Q)—(T)分别在断尾后1、3、5、7 d尾部再生组织中的表达模式 Fig. 1 Expression patterns of TLR1 (A)—(D), TLR5 (E)—(H), TLR7 (I)—(L), TLR8 (M)—(P) and MyD88 (Q)—(T) in tail regenerates at 1, 3, 5 and 7 d after tail amputation, respectively |
对于TLR5,在断尾后1—3 d,其表达主要集中于伤口表皮(见图 1(E)和(F)); 而在断尾后5 d,在脊椎损伤端及其邻近区域表达极显著(见图 1(G)); 并在断尾后7 d达到高峰(见图 1(H))。
对于TLR7,在断尾后1—7 d脊椎损伤端极显著表达,并在伤口表皮检测到了相对较弱的表达信号(见图 1(I)—(L))。
断尾后1 d,TLR8在尾部伤口表皮有较弱的表达(见图 1(M)); 在断尾后3 d,其在伤口表皮中的表达显著增强(见图 1(N)); 在断尾后5—7 d,该基因在脊椎损伤端和伤口表皮下方表达极显著(见图 1(O)和1(P))。
MyD88是信号传导的关键衔接基因,在断尾后1 d,主要在伤口表皮以及靠近脊椎损伤端的细胞中表达(见图 1(Q)); 其表达信号在断尾后3 d增强(见图 1(R)),并在断尾后5 d达到峰值(见图 1(S)),随后在断尾后7 d变得相对较低(见图 1(T))。
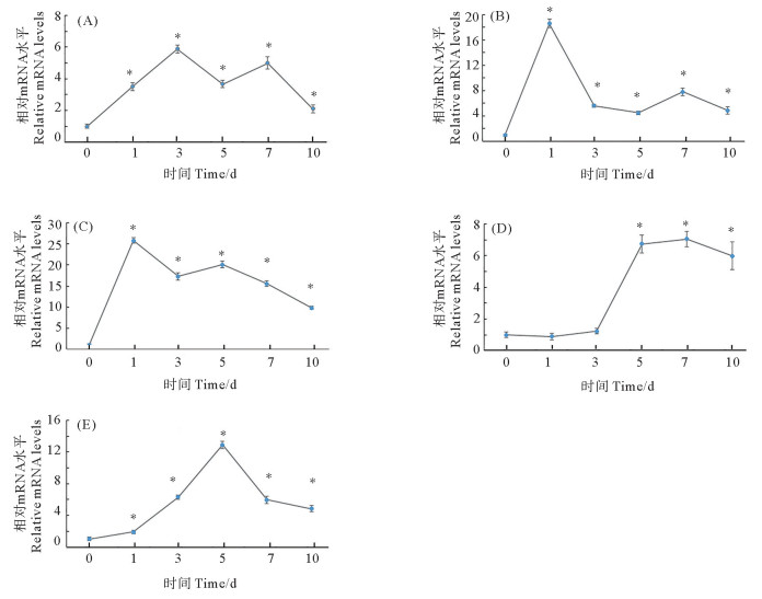
使用q-PCR方法进一步分析了TLR信号基因在再生组织中表达水平的时序特征(见图 2)。结果表明,尾部切除后,TLR1的表达水平在断尾后1 d增加,在断尾后3—7 d保持了较高水平,然后在断尾后10 d降低,但高于正常完好尾部的表达水平(见图 2(A))。TLR5的表达在断尾后1 d立即达到峰值,后期在相对较低的水平波动(见图 2(B))。对于TLR7,其表达在再生过程中显著上调,并在断尾后1 d达到最高水平(见图 2(C))。与其他TLR基因不同,TLR8在再生早期(断尾后1~3 d)没有显著上调,但是在后期(断尾后5~10 d)其表达显著增加(见图 2(D))。MyD88的表达在再生中也显著升高,并在断尾后5 d达到峰值(见图 2(E))。
|
( (A) TLR1在尾部再生过程中表达量变化; (B) TLR5在尾部再生过程中表达量变化; (C) TLR7在尾部再生过程中表达量变化; (D) TLR8在尾部再生过程中表达量变化; (E) MyD88在尾部再生过程中表达量变化。数据表示为平均值±标准差(n=3),P<0.01(与完好尾部比较)。(A) TLR1 expression changes during the tail regeneration process; (B) TLR5 expression changes during the tail regeneration process; (C) TLR7 expression changes during the tail regeneration process; (D) TLR8 expression changes during the tail regeneration process; (E) MyD88 expression changes during the tail regeneration process. Data are expressed as the mean±SD(n=3). P < 0.01 (compared to intact tail). ) 图 2 q-PCR分析MyD88-TLR信号基因在尾部再生过程中表达量的变化 Fig. 2 q-PCR analysis of MyD88-TLR signaling genes expression changes during the tail regeneration process |
总之,这些TLR信号基因在再生过程中呈现出高度动态且特异的时空表达模式。
2.2 抑制MyD88介导的TLR信号导致蝾螈尾部再生加速为进一步探究尾部再生过程中MyD88介导的TLR信号的功能,本研究采用TJ-M2010-5阻断断尾蝾螈的MyD88活性。结果显示,与对照组相比,用抑制剂处理的蝾螈尾部再生速率显著提高(见图 3)。尽管在伤口愈合的早期阶段,如在断尾后2 d(见图 3(B)和(H)),对照组和处理组之间的再生特征没有显著差异,但在断尾后5 d,处理组中新形成的芽基明显大于对照组(见图 3(C)和(I))。在TJ-M2010-5处理的动物中,这种促进再生的趋势在后续阶段得到了进一步证实:在断尾后10—16 d,抑制剂处理组的再生芽基生长仍快于对照组(见图 3(D)、(E)、(J)和(K)); 在断尾后22 d,抑制剂处理组的再生尾部明显长于对照组(见图 3(F)和(L))。
|
( (A)—(F)对照组分别在断尾后0、2、7、12、16及22 d的再生尾部; (G)—(L)TJ-M2010-5处理组分别在断尾后0、2、7、12、16及22 d的再生尾部。虚线表示手术切面。标尺:1 000 μm。Tail regenerates of control group (A)—(F) and TJ-M2010-5-treated group(G)—(L) at 0 d (immediately after amputation), 2 d, 7 d, 12 d, 16 d and 22 d after tail amputation respectively. Dashed lines show amputation plane. Scale bar: 1 000 μm. ) 图 3 TJ-M2010-5抑制MyD88-TLR信号后尾部再生的表型 Fig. 3 Phenotypes of tail regenerates after inhibition of MyD88 -TLR signaling with TJ-M2010-5 |
为深入了解再生过程中MyD88介导的TLR信号在细胞增殖方面的调节作用,本研究比较了经TJ-M2010-5处理的蝾螈尾部再生组织与对照组尾部再生组织之间的细胞增殖情况。结果表明,抑制MyD88介导的TLR信号导致再生区域的细胞增殖显著(见图 4)。在断尾后4 d的对照组中,细胞增殖发生在再生区域,也发生于其他区域,对照组每片组织切片中阳性细胞的平均数量为38个(数据来自3个尾部再生组织的6个切片, 如图 4(A)—(C)和(G)所示),而在再生区域检测到更强烈的细胞增殖,处理组每片组织切片中阳性细胞的平均数量增加到97个(数据来自3个尾部再生组织的6个组织切片,如图 4(D)—(E)和(G)所示)。这些数据表明,在抑制剂的作用下,再生过程中MyD88介导的TLR信号传导受到抑制,细胞增殖的速度增加,这提示细胞增殖受到该信号传导的负调控。
|
( (A)—(C)尾部在断尾后4 d对照组的再生情况; (D)—(F)尾在断尾后4 d TJ-M2010-5处理的再生情况。切面为纵向,顶部为再生区域。分别用DAPI(蓝色)、BrdU抗体(红色)染色,并融合两者(粉色)。(G):根据尾部再生切片估算的增殖细胞数量。标尺:1 000 μm。星号表示各组之间的显著差异(P < 0.05,由Student-test确定)。(A)—(C) Regeneration of the tail in the control group at 4 d after tail amputation; (D)—(F) Regeneration of the tail treated with TJ-M2010-5 at 4 d after tail amputation. The section is longitudinal, with the regenerated area at the top. Stained with DAPI (blue) and BrdU antibody (red), and fused together (pink). (G) Estimated number of proliferating cells based on regenerative sections of the tail. Scale bar: 1 000 μm. Asterisk indicates significant differences between groups (P < 0.05, determined by Student-test). ) 图 4 抑制MyD88介导的TLR信号后,尾部再生中细胞增殖的BrdU标记测定 Fig. 4 BrdU labeling assay of cell proliferation in tail regenerates after inhibition of MyD88 mediated TLR signaling |
以往来自模式生物(如涡虫、斑马鱼和蝾螈)的大量证据表明,免疫系统在再生中起着至关重要的作用。本研究通过MyD88介导的TLR信号基因的原位杂交、MyD88抑制剂阻断信号转导通路和荧光标记细胞增殖等技术手段发现,与对照组相比,抑制及处理组尾部再生速度明显加快,这表明墨西哥钝口螈尾部再生过程中MyD88介导的Toll样受体信号起到负调控作用。
TLR信号作为免疫系统的重要组成部分,其基本功能是参与机体对外来病原体的防御过程。有研究发现,TLR信号参与再生过程的调控。在肝脏部分切除后,MyD88缺陷小鼠或TLR5敲除小鼠早期肝再生过程受到了显著抑制[22-23],而TLR3缺陷小鼠较野生型小鼠表现出较早的肝细胞增殖,这提示TLR3在肝脏再生启动中具有抑制作用[24]。在本研究中发现,抑制MyD88活性后,却导致蝾螈尾部再生加速。这种结果差异可能是由于哺乳动物肝脏再生属于补偿性再生类型(Compensatory regeneration),而蝾螈尾部再生属于新建再生类型(Epimorphosis),两者再生的调控机制不同。
本研究中揭示的TLR信号在再生中的功能似乎与其他免疫成分在再生中的功能相反。例如,在蝾螈附肢再生期间,系统性清除巨噬细胞会导致再生过程受阻[9]。同样,巨噬细胞的缺失会阻滞斑马鱼尾鳍再生过程[25]。另一个值得关注的研究对象是补体受体C5a受体1(C5aR1),其在新生小鼠心尖切除术后24 h、斑马鱼心尖切除术后48 h和蝾螈心尖切除术后20 h表达增加。有趣的是,C5aR1抑制剂PMX205降低了两种心肌细胞的增殖,这表明C5aR1信号传导对心脏再生非常重要[10]。相反,本研究揭示了一个出乎意料的结果,即抑制TLR信号传导促进了蝾螈尾部再生。因此,本研究展示了免疫系统在再生中的一种全新功能。
此外,本研究发现,与对照组相比,抑制TLR信号传导可以促进细胞增殖,甚至导致细胞过度增殖。这一发现引发了关于再生与癌症之间联系的讨论,癌症是由细胞过度增殖引起的。这一概念的起源可以追溯到Waddington的理论,他认为不受控制的癌症生长和受控制的胚胎发育机制之间存在联系[26]。近年来,这一理论得到了进一步拓展,有研究表明癌症与再生之间存在紧密联系[27]。诸多证据表明,再生和肿瘤发生之间的细胞过程和基因表达谱有许多相似之处[28-29]。因此,本研究中也不排除TLR信号在再生过程中具有防止细胞过度增殖,进而避免癌症发生的可能性。
4 结语总之,本研究表明,在墨西哥钝口螈尾部再生过程中,MyD88介导的TLR信号发挥着重要作用:该信号通路关键基因呈现出特异且动态的时空表模式; 抑制该信号通路导致其再生中细胞增殖速率增加,进而出现再生加速现象。因此,在墨西哥钝口螈尾部再生过程中,该信号作为控制细胞增殖的负调节因子,对再生的正确进程进行调控。
| [1] |
Vogg M C, Galliot B, Tsiairis C D. Model systems for regeneration: Hydra[J]. Development, 2019, 146(21): dev177212. DOI:10.1242/dev.177212 ( 0) |
| [2] |
Pellettieri J. Regenerative tissue remodeling in planarians—The mysteries of morphallaxis[J]. Seminars in Cell & Developmental Biology, 2019, 87: 13-21. ( 0) |
| [3] |
Shi W, Fang Z, Li L, et al. Using zebrafish as the model organism to understand organ regeneration[J]. Science China Life Sciences, 2015, 58(4): 343-351. DOI:10.1007/s11427-015-4838-z ( 0) |
| [4] |
Joven A, Elewa A, Simon A. Model systems for regeneration: Salamanders[J]. Development, 2019, 146(14): dev167700. DOI:10.1242/dev.167700 ( 0) |
| [5] |
Bruneau B G. Signaling and transcriptional networks in heart development and regeneration[J]. Cold Spring Harbor Perspectives in Biology, 2013, 5(3): a008292. ( 0) |
| [6] |
He J Q, Barron C. Signaling pathways in modulation of tissue and organ regeneration in vertebrates[J]. Seminars in Cell & Developmental Biology, 2020, 100: 1-2. ( 0) |
| [7] |
Wehner D, Weidinger G. Signaling networks organizing regenerative growth of the zebrafish fin[J]. Trends in Genetics, 2015, 31(6): 336-343. DOI:10.1016/j.tig.2015.03.012 ( 0) |
| [8] |
Zhao L, Gao F, Gao S, et al. Biodiversity-based development and evolution: The emerging research systems in model and non-model organisms[J]. Science China Life Sciences, 2021, 64(8): 1236-1280. DOI:10.1007/s11427-020-1915-y ( 0) |
| [9] |
Godwin J W, Pinto A R, Rosenthal N A. Macrophages are required for adult salamander limb regeneration[J]. Proceedings of the National Academy of Sciences of the United States of America, 2013, 110(23): 9415-9420. ( 0) |
| [10] |
Natarajan N, Abbas Y, Bryant D M, et al. Complement receptor C5aR1 plays an evolutionarily conserved role in successful cardiac regeneration[J]. Circulation, 2018, 137(20): 2152-2165. DOI:10.1161/CIRCULATIONAHA.117.030801 ( 0) |
| [11] |
Peiris T H, Hoyer K K, Oviedo N J. Innate immune system and tissue regeneration in planarians: An area ripe for exploration[J]. Seminars in Immunology, 2014, 26(4): 295-302. DOI:10.1016/j.smim.2014.06.005 ( 0) |
| [12] |
Lim K H, Staudt L M. Toll-like receptor signaling[J]. Cold Spring Harbor Perspectives in Biology, 2013, 5(1): a011247. DOI:10.1101/cshperspect.a011247 ( 0) |
| [13] |
Medzhitov R, Preston-Hurlburt P, Kopp E, et al. MyD88 is an adaptor protein in the hToll/IL-1 receptor family signaling pathways[J]. Molecular Cell, 1998, 2(2): 253-258. DOI:10.1016/S1097-2765(00)80136-7 ( 0) |
| [14] |
Hindi S M, Kumar A. Toll-like receptor signalling in regenerative myogenesis: Friend and foe[J]. Journal of Pathology, 2016, 239(2): 125-128. DOI:10.1002/path.4714 ( 0) |
| [15] |
Hindi S M, Shin J, Gallot Y S, et al. MyD88 promotes myoblast fusion in a cell-autonomous manner[J]. Nature Communications, 2017, 8(1): 1624. DOI:10.1038/s41467-017-01866-w ( 0) |
| [16] |
Mojumdar K, Giordano C, Lemaire C, et al. Divergent impact of Toll-like receptor 2 deficiency on repair mechanisms in healthy muscle versus Duchenne muscular dystrophy[J]. Journal of Pathology, 2016, 239(1): 10-22. DOI:10.1002/path.4689 ( 0) |
| [17] |
Gardiner D M, Blumberg B, Komine Y, et al. Regulation of HoxA expression in developing and regenerating axolotl limbs[J]. Development, 1995, 121: 1731-1741. DOI:10.1242/dev.121.6.1731 ( 0) |
| [18] |
Huang T, Zuo L, Walczyńska K S, et al. Essential roles of matrix metalloproteinases in axolotl digit regeneration[J]. Cell and Tissue Research, 2021, 385(1): 105-113. DOI:10.1007/s00441-021-03434-7 ( 0) |
| [19] |
Livak K J, Schmittgen T D. Analysis of relative gene expression data using real-time quantitative PCR and the 2(-Delta Delta C(T)) method[J]. Methods, 2001, 25(4): 402-408. DOI:10.1006/meth.2001.1262 ( 0) |
| [20] |
Xie L, Jiang F C, Zhang L M, et al. Targeting of MyD88 homodimerization by novel synthetic inhibitor TJ-M2010-5 in preventing colitis-associated colorectal cancer[J]. Journal of the National Cancer Institute, 2015, 108(4): djv364. ( 0) |
| [21] |
Liang Y, Rathnayake D, Huang S, et al. BMP signaling is required for amphioxus tail regeneration[J]. Development, 2019, 146(4): dev166017. DOI:10.1242/dev.166017 ( 0) |
| [22] |
Seki E, Tsutsui H, Iimuro Y, et al. Contribution of toll-like receptor/myeloid differentiation factor 88 signaling to murine liver regeneration[J]. Hepatology, 2005, 41(3): 443-450. DOI:10.1002/hep.20603 ( 0) |
| [23] |
Zhang W, Wang L, Sun X H, et al. Toll-like receptor 5-mediated signaling enhances liver regeneration in mice[J]. Military Medical Research, 2021, 8(1): 16. DOI:10.1186/s40779-021-00309-4 ( 0) |
| [24] |
Zorde-Khvalevsky E, Abramovitch R, Barash H, et al. Toll-like receptor 3 signaling attenuates liver regeneration[J]. Hepatology, 2009, 50(1): 198-206. DOI:10.1002/hep.22973 ( 0) |
| [25] |
Nguyen-Chi M, Laplace-Builhé B, Travnickova J, et al. TNF signaling and macrophages govern fin regeneration in zebrafish larvae[J]. Cell Death & Disease, 2017, 8(8): e2979. ( 0) |
| [26] |
Waddington C. Cancer and the theory of organisers[J]. Nature, 1935, 135: 6006-6008. ( 0) |
| [27] |
Oviedo N J, Beane W S. Regeneration: The origin of cancer or a possible cure?[J]. Seminars in Cell & Developmental Biology, 2009, 20(5): 557-564. ( 0) |
| [28] |
Charni M, Aloni-Grinstein R, Molchadsky A, et al. p53 on the crossroad between regeneration and cancer[J]. Cell Death & Differentiation, 2017, 24(1): 8-14. ( 0) |
| [29] |
Ratajczak M Z, Bujko K, Mack A, et al. Cancer from the perspective of stem cells and misappropriated tissue regeneration mechanisms[J]. Leukemia: Official Journal of the Leukemia Society of America, Leukemia Research Fund, 2018, 32(12): 2519-2526. ( 0) |
2. Institute of Evolution and Marine Biodiversity, Ocean University of China, Qingdao 266003, China;
3. Laoshan Laboratory, Qingdao 266237, China;
4. Yellow Sea Fisheries Research Institute, Chinese Academy of Fishery Sciences, Qingdao 266071, China
2026, Vol. 56



0)