近几十年来,随着全球气候变化的加剧,极端冷事件引起了学界和社会的广泛关注,这些冷事件不仅造成了严重的人员伤亡,还带来了巨大的社会经济损失[1-3]。例如,2016年1月,东亚地区遭遇极端冷事件袭击,导致电力、交通、农业和公共卫生系统遭受重创[4-5];2019年11月,美国东部经历破纪录的极端冷事件,能源消耗较2000—2018年11月平均值激增84%[6];2021年2月,北美西北部遭遇了一场严重的极端冷事件,受其影响,部分地区电网负荷激增,引发大规模断电,直接或间接导致数百人死亡,并造成高达270亿美元的经济损失[7]。北美西北部是北极气团及极地反气旋南下的关键通道,也是冷空气活动的重要源地[8-10]。该地区频繁发生的冷事件不仅对当地造成严重影响,还会通过大气环流影响下游地区。因此,深入研究北美西北部冷事件的形成机理具有重要的科学价值和现实意义。
已有研究探讨了北美冷事件的形成机制。Gong等[11]发现,2022年12月北美极端寒潮个例主要由太平洋-北美遥相关(Pacific-North America teleconnection,PNA)和北太平洋涛动(North Pacific oscillation, NPO)共同作用下产生的冷空气爆发引起。有学者利用统计分析的方法,分析了北美西北部冬季冷事件的特征及其成因,发现冷事件期间北美西北部上空存在从对流层低层延伸至平流层的低压异常,为冷事件的发展提供了有利条件[12]。从远程因子的角度,学者们分别探讨了热带、中纬度和极地等区域对北美冷事件的影响机制[13-17]。从热带的角度,PNA、热带-北半球型遥相关(Tropical-North hemisphere teleconnection)和热带大西洋异常增暖激发的大气波列可在北美大陆形成异常低压中心,从而促进北美大陆冷事件的发展[13-14]。在中纬度地区,北美极端冷事件的成因主要与NPO-西太平洋型遥相关有关,该遥相关通过冷平流输送导致北美中东部温度异常降低[15]。近期有研究指出,冬季东北太平洋海温异常变暖可通过激发罗斯贝波列造成北美温度的季节内反转[16]。另一方面,在北极变暖背景下,东西伯利亚-楚科奇海地区海温的异常偏暖为冷空气向北美输送提供了有利条件[17]。
尽管上述研究探讨了北美西北部冷事件的特征及其发生机制,但多数研究着眼于个例分析[18-21],对北美西北部冷事件的普适性特征和机理分析仍存在不足[12]。此外,根据持续时间可将冷事件分为短时和长持续性两类,长持续性冷事件通常累积温度异常更低,所带来的诸方面影响也更为显著[22],但目前针对北美西北部冷事件的分类分析十分匮乏,两类事件时空特征及形成机制的差异尚不明晰。基于以上分析,本文根据北美西北部冷事件的持续时间将其分为短时冷事件和长持续性冷事件,分析了这两类冷事件的特征、形成机制及其差异。
1 资料和方法 1.1 资料本文使用了NCEP/NCAR[23]提供的逐日再分析资料,包括气温、2 m气温(T2m)、位势高度、降水、水平风和垂直速度,时间范围为1982—2023年。T2m和降水为T62高斯网格水平分辨率,其它变量的水平分辨率为2.5°×2.5°。此外,本文利用1982—2023年的ERA5[24]资料验证了结果的鲁棒性。本文选取1991—2020年的平均值作为气候态。
1.2 冷事件的识别与分类参照前人的研究,本文利用相对阈值判别法对1982—2023年共42 a期间北美西北部冬季(11月至次年2月)的冷事件进行识别[25-26],具体步骤为:将T2m低于42年冬季日平均T2m数据的第10百分位阈值,并持续至少3 d时的事件被定义为一次冷事件。首先,计算每个格点所有冷事件的平均累积T2m异常,根据每个格点所有冷事件的平均累积T2m异常的空间分布特征选定研究区域,继而取研究区域的平均T2m,用相同方法识别该区域42 a的冷事件。
根据持续时间这一指标的概率密度函数将北美西北部冷事件分成长持续性和短时冷事件的步骤如下:首先计算出1982—2023年期间北美西北部冬季所有冷事件的持续时间,计算概率密度函数,使用概率密度函数的第90百分位作为阈值将冷事件进行分类。定义持续时间大于等于该区域持续时间的第90百分位数的冷事件为长持续性冷事件,而持续时间小于持续时间的第90百分位数的冷事件为短时冷事件[27]。该方法充分考虑了该地区冷事件持续时间的区域性特点。
1.3 波活动通量为分析罗斯贝波能量在北半球中纬度的传播情况,本文计算了水平波活动通量[28]:
| $ \begin{array}{c} &W=\frac{P \cos \phi}{2|\boldsymbol{U}|} \cdot\left(\frac{U}{a^2 \cos ^2 \phi}\left[\frac{\partial \varPsi^{\prime}}{\partial \lambda} \frac{\partial \varPsi^{\prime}}{\partial \lambda}-\varPsi^{\prime} \frac{\partial^2 \varPsi^{\prime}}{\partial \lambda^2}\right]+\right.\\ & \frac{V}{a^2 \cos \phi}\left[\frac{\partial \varPsi^{\prime}}{\partial \lambda} \frac{\partial \varPsi^{\prime}}{\partial \varphi}-\varPsi^{\prime} \frac{\partial^2 \varPsi^{\prime}}{\partial \lambda \partial \varphi}\right] . \\ & \frac{U}{a^2 \cos \phi}\left[\frac{\partial \varPsi^{\prime}}{\partial \lambda} \frac{\partial \varPsi^{\prime}}{\partial \varphi}-\varPsi^{\prime} \frac{\partial^2 \varPsi^{\prime}}{\partial \lambda \partial \varphi}\right]+ \\ & \left.\frac{V}{a^2}\left[\frac{\partial \varPsi^{\prime}}{\partial \varphi} \frac{\partial \varPsi^{\prime}}{\partial \varphi}-\varPsi^{\prime} \frac{\partial^2 \varPsi^{\prime}}{\partial \varphi^2}\right]\right) 。\end{array} $ | (1) |
式中: W代表水平波活动通量, m2·s-2, P是气压, 1 000 hPa;U代表基本流的纬向分量U和经向分量V, m·s-1;Ψ(= Φ/f)为流函数, m2/s;a是地球半径,m;ϕ和λ分别代表纬度和经度;Φ是位势, m2/s2; f=2Ωsinϕ是科氏参数, s-1;Ω是地球自转角速度, rad/s。上标符号代表相对于气候态的异常。
1.4 罗斯贝波源为明确触发罗斯贝波的位置,本文计算了罗斯贝波源[29]:
| $ S=-\boldsymbol{\nabla}_{\mathrm{H}} \cdot\left(\boldsymbol{V}_\chi \xi\right)=-\boldsymbol{V}_\chi \cdot \boldsymbol{\nabla}_{\mathrm{H}} \xi-\xi D 。$ | (2) |
式中:V=(u, v) 代表水平风速矢量;下标χ表示其散度分量;ξ为绝对涡度,为相对涡度和行星涡度之和;D是散度,
为研究冷事件期间大气的非绝热加热异常,本文按照如下公式计算非绝热加热[30]:
| $ q_1=\frac{\partial T}{\partial t}-\left(\omega \sigma-\boldsymbol{V} \cdot \boldsymbol{\nabla}_{\mathrm{H}} T\right)。$ | (3) |
式中:σ为静力稳定度,其表达式为σ=(RT/cpp)-(∂T/∂p), R代表了比气体常数;p是气压;cp是空气的定压比热容;T是空气温度;ω是p坐标系中的垂直速度;V=(u, v)是水平风速矢量;
大气线性斜压模式(LBM)被广泛用于研究线性大气动力学[31]。该模式以T42L21分辨率运行,即水平分辨率为2.8°×2.8°,在垂直方向有20个sigma层。该模式的背景态来源为1981—2010年NCEP/DOE再分析资料[32]。模式运行20 d达到平衡[33-34]。模式输出变量包括位势高度、风和海平面气压,取模拟的16~18 d的平均值,作为对给定的加热或冷却的稳定响应。
2 冬季北美西北部短时和长持续性冷事件的时空特征本文首先计算了1982—2023年期间冬季北美西北部冷事件的累积T2m异常(即日平均T2m异常的总和)的空间分布(见图 1(a))。相较于北美其他区域,北美西北部的累积T2m负异常更加显著。因此,基于该空间分布,本文确定了北美西北部地区冷事件的研究区域(即图 1(a)中的紫色平行四边形),其四个顶点坐标分别为(40°N, 120°W)、(68°N, 140°W)、(68°N, 112°W)和(40°N, 92°W)。在研究区域内,当纬度变化约1.9°时,经度变化约1.875°。
|
( (a)紫色平行四边形代表北美西北部冷事件的研究区域; (b)黑色虚线表示所有冷事件持续时间的第90百分位数; (c)填色部分代表两类冷事件的累积T2m异常分布。(a) Purple box represents the study area of the Western North America; (b) Black-dashed line represents the 90th percentile of duration; (c) Shading represents cumulative T2m anomalies distribution of two types of cold events. ) 图 1 1982—2023年北美11月至次年2月冷事件平均累积T2m异常的空间分布(a), 1982—2023年研究区域内冷事件的持续时间(粉柱)及其概率密度函数(蓝线)(b)及长持续性冷事件和短时冷事件的累积T2m异常的云雨图(c) Fig. 1 Spatial distribution of mean cumulative T2m anomalies of all the cold events from November to February during 1982—2023 (a), probability density function (blue line) of the duration (pink bar) of Western North America cold events during 1982—2023 (b) and raincloud plots of cumulative T2m anomalies for long-lived and short-lived cold events (c) |
本文利用相对阈值法在1982—2023年间识别到研究区域内共发生了65次冷事件。前人研究表明,不同持续时间的冷事件对社会经济的影响存在显著差异,持续时间较长的冷事件通常会对人体健康和社会经济带来更严重的影响[22]。为了更好地分类探究北美西北部的冷事件,本文计算了65次冷事件持续时间的概率密度函数,并根据持续时间的第90百分位数(8 d)对冷事件进行了分类:长持续性冷事件: 持续时间大于等于8天;短持续性冷事件: 持续时间大于等于3天且小于8天(见图 1(b))。根据这一分类标准,本文在北美西北部研究区域内共识别出8次长持续性冷事件(见表 1)和57次短时冷事件。
|
|
表 1 1982—2023年北美西北部的长持续性冷事件的起始时间、结束时间和持续时间 Table 1 List of begin time, end time and duration for long-lived cold events over the Western North America during 1982—2023 |
本文进一步分析了长持续性和短时冷事件累积T2m强度的差异(见图 1(c))。结果表明,长持续性冷事件的累积T2m强度显著高于短时冷事件。长持续性冷事件的累积T2m异常的平均值为-103.7 ℃,而短时冷事件仅为-37.6 ℃,两者相差约三倍。此外,长持续性冷事件的累积T2m强度分布较分散,不同年份间的T2m异常差异较大,存在1986、1996和2021年三个持续时间超过12 d、累积T2m异常低于-140 ℃的极端年份;相比之下,短时冷事件的T2m异常分布则较为集中,变化幅度较小。
图 2展示了北美西北部长持续性和短时冷事件峰值日前的T2m异常的演变。结果表明,对于长持续性冷事件,在峰值日前12 d时,研究区域开始出现显著的T2m负异常,随后该负异常在峰值日前10 d时减弱,但在峰值日前8 d时,北美研究区域北部的T2m负异常增强并迅速向南扩展,最终该T2m负异常在峰值日达到最强,形成东南-西北向的负异常空间分布(见图 2左列)。相比之下,短时冷事件的T2m负异常出现较晚,其低温信号在超前峰值日6 d时出现,并在峰值日前4 d开始发展,最终在峰值日达到最强,空间分布与长持续性冷事件基本一致(见图 2(h)—(n))。与短时冷事件相比,长持续性冷事件强度更强,影响范围也更广,会对生态环境及人们的生产生活造成更大危害[22]。
|
( 打点区域表示通过了显著性水平为0.1的t检验。紫色框代表北美冷事件的研究区域。White dots indicate the 0.1 significance level based on a Student's t-test. Purple boxes represent the study area. ) 图 2 长持续性冷事件((a)—(g))和短时冷事件分别在超前峰值日前((h)—(n))12天((a), (h))、10天((b), (i))、8天((c), (j))、6天((d), (k))、4天((e), (l))、2天((f), (m))和峰值日((g), (n))的合成T2m异常(填色,单位:℃)。 Fig. 2 Composite T2m anomalies (shading, unit: ℃) at leading 12((a), (h)), 10((b), (i)), 8((c), (j)), 6((d), (k)), 4((e), (l)), and 2((f), (m)) days relative to the peak day, and ((g), (n)) on the peak day of ((a)—(g)) long-lived and ((h)—(n)) short-lived cold events, respectively |
为了揭示长持续性和短时冷事件大气环流异常的特征及差异,本文分析了两类冷事件峰值日前500 hPa位势高度异常的时间演变(见图 3)。合成分析结果显示,在长持续性冷事件峰值日前12 d,北太平洋上空出现了显著的阻塞系统,表现为在白令海峡上空有明显的高压异常和其东侧的东北太平洋显著的低压异常(见图 3(a))。这种高压-低压相间的结构与罗斯贝波列结构特征相似,表明长持续性冷事件可能与罗斯贝波列的激发和传播有关。随后,东北太平洋的低压异常逐渐东移并增强,最终稳定在北美西北部冷事件研究区域内,并在峰值日达到最强(中心强度为-182 gpm)(见图 3(b)—3(g))。对于短时冷事件,在其峰值日前6 d时,研究区内出现显著的低压异常,该低压异常逐渐增强并在峰值日达到最强(中心强度为-176 gpm),同时冷事件研究区的西北部伴有显著的高压异常(见图 3(k)—3(n))。在峰值日,两类冷事件均呈现出北美西北部低压异常及其西侧高压异常的正压偶极子结构空间分布。该结构有利于极地冷空气持续南下,从而增强和维持北美西部的冷事件。其中,北美西北部上空的低压异常是促进冷事件发展的重要驱动因子[12]。此外,与短时冷事件相比,长持续性冷事件中的北太平洋阻塞高压振幅更大、中心更偏北、出现时间更早且维持时间更长,表现出更明显的缓慢移动特征。
|
( 白点区域表示通过了显著性水平为0.1的t检验。紫色框代表北美冷事件的研究区域。White dots indicate the 0.1 significance level based on a Student's t-test. Purple boxes represent the study area. ) 图 3 合成长持续性冷事件((a)—(g))和短时冷事件((h)—(n))分别在超前峰值日前12天((a), (h))、10天((b), (i))、8天((c), (j))、6天((d), (k))、4天((e), (l))、2天((f), (m))和峰值日((g), (n))的500 hPa位势高度异常(填色,单位:gpm) Fig. 3 Composite geopotential height anomalies (shading, unit: gpm) at 500 hPa at leading 12((a), (h)), 10((b), (i)), 8((c), (j)), 6((d), (k)), 4((e), (l)), and 2((f), (m)) days relative to the peak day and ((g), (n)) on the peak day of ((a)—(g)) long-lived and ((h)—(n)) short-lived cold events, respectively |
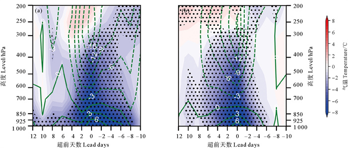
此外,与短时冷事件相比,长持续性冷事件的低压异常强度更大,二者的中心均位于对流层高层(见图 4)。从持续时间来看,长持续性冷事件的低压异常维持至峰值日之后8 d(见图 4(a));而短时冷事件的低压异常系统则在峰值日之后2天迅速减弱并在随后转为高压异常(见图 4(b))。相应地,长持续性冷事件在峰值日之后8 d近地表仍存在低于-6 ℃的显著温度负异常信号,而短时冷事件的温度负异常信号在峰值日之后2 d后迅速减弱,在峰值日后6 d时温度负异常信号消失(见图 4)。上述结果表明,与短时冷事件相比,长持续性冷事件的异常低压系统具有更强的稳定性,这一特征可能与长持续性冷事件的长时间维持特性存在密切关联。
|
( 黑点区域表示通过了显著性水平为0.1的t检验。Black dots indicate the 0.1 significance level based on a Student's t-test. ) 图 4 长持续性冷事件(a)和短时冷事件(b)在研究区域内自超前峰值日10天至峰值日之后12天温度异常和位势高度异常(绿色等值线,单位:10 gpm;等值线间隔为20 gpm;实线和虚线分别代表位势高度的正异常和负异常)垂直分布的合成时间演变 Fig. 4 Vertical section of composite temperature anomalies and geopotential height anomalies (green solid contours with an interval of 30 gpm; dashed/solid contours for negative/positive anomalies) averaged over the study are from leading 10 days to lagging 12 days of long-lived (a) and short-lived (b) cold events |
由于经向风异常可以有效地表征罗斯贝波的传播[35]。为了进一步分析与两类冷事件相关的遥相关特征,本文展示了两类冷事件峰值前300 hPa经向风异常的演变规律(见图 5)。在长持续性冷事件峰值日前,经向风异常表现为从欧亚大陆到北美的中高纬度地区正负异常交替的纬向波列结构,这表明可能存在源自欧亚大陆中高纬度地区延伸至北美地区的罗斯贝波列,该结构在太平洋上空尤为明显(见图 5(a)—5(i))。相比之下,短时冷事件的经向风异常强度较弱,在欧亚大陆无显著的经向风异常,仅在北美和东北太平洋存在显著的经向风异常,这表明在短时冷事件期间罗斯贝波列的信号较弱(见图 5(j)—5(r))。总体而言,长持续性冷事件表现出更为明显的行星尺度罗斯贝波列结构。
|
( 白点区域表示通过了显著性水平为0.1的t检验。紫色框代表北美冷事件的研究区域。White dots indicate the 0.1 significance level based on a student's t-test. Purple boxes represent the study area. ) 图 5 合成长持续性冷事件((a)—(i))和短时冷事件((j)—(r))分别在超前峰值日前18天((a), (j))、16天((b), (k))、14天((c), (l))、12天((d), (m))、10天((e), (n))、8天((f), (o))、6天((g), (p))、4天((h), (g))和2天((i), (r))的300 hPa经向风异常、纬向风的气候态(绿色等值线,单位:m/s)和波活动通量(箭头,单位:m2/s2) Fig. 5 Composite meridional wind anomalies, climatological zonal winds (green solid contour, unit: m/s), and wave activity flux (vectors, units: m2/s2) at 300 hPa at leading 18((a), (j)), 16((b), (k)), 14((c), (l)), 12((d), (m)), 10((e), (n)), 8((f), (o)), 6((g), (p)), 4((h), (g)), and 2((i), (r)) days relative to the peak of long-lived ((a)—(i)) and short-lived ((j)—(r)) cold events, respectively |
另一方面,波活动通量表征了罗斯贝波列能量传播的方向与大小[28]。为了探究冬季北美西北部冷事件期间罗斯贝波列传播的特征,本文进一步比较了两类冷事件峰值前罗斯贝波能量(即波活动通量)的传播特征。在长持续性冷事件峰值日前,有明显的波活动通量信号从欧亚大陆的高纬度地区沿西风急流传播至日本附近,并继续跨越太平洋到达北美西北部(见图 5(a)—5(i))。由于波动能量在日本附近出现了明显的加强,表明该区域可能作为罗斯贝波列能量的中继站,将来自欧亚大陆的罗斯贝波列继续传播至北美大陆,进而触发或维持北美西北部的低压异常,对长持续性冷事件的发展与维持产生重要影响(见图 3)。其中,自长持续性冷事件峰值日前14 d起,地中海北部区域的波活动通量显著增强,并沿副热带急流向东传至日本附近(见图 5(c))。随后,罗斯贝波能量继续向东传播,跨越太平洋,最终到达北美西北部(见图 5(d)—(i))。在超前峰值日2天时,波活动通量的信号在北美西北部达到最强(见图 5(i)),表明此时罗斯贝波列对北美西北部长持续性冷事件的影响最为显著,有利于冷事件的发展。然而,短时冷事件峰值日前的波活动通量明显偏弱,表明大气的遥相关作用对短时冷事件的影响较弱(见图 5(j)—(r))。在短时冷事件峰值日前8 d时,较强的波活动通量信号在北太平洋开始出现(见图 5(o)),并未出现行星尺度的传播特征。基于以上分析,考虑到罗斯贝波列对短时冷事件的影响较为有限,后文仅探讨影响长持续性冷事件的大气遥相关机制。
3 影响冬季北美西北部长持续性冷事件发展的遥相关机制为了揭示与长持续性冷事件相关的罗斯贝波列的触发位置,本文计算了冷事件峰值日前的300 hPa罗斯贝波源异常(见图 6)。在长持续性冷事件峰值日前16—6 d,地中海北部出现了大范围的显著罗斯贝波源负异常(见图 6(c)—(h))。在该时期内,该波源位置呈现出一定的移动性。而在长持续性冷事件峰值日前10 d起,日本附近出现了显著的罗斯贝波源正异常(见图 6(f)—(i))。在峰值日前8 d,该罗斯贝波源正异常略微向西移动(见图 6(g))。随后,在峰值日前6~4 d,该波源向东移动至日本中部(见图 6(h)—(i))。因此,位于日本附近的罗斯贝波源区从冷事件峰值前10 d开始持续存在,能够通过激发横跨太平洋的罗斯贝波列到达北美西北部(见图 5(a)—(i)),进而触发并维持北美上空的强大持续性低压异常,对长持续性冷事件的维持发挥着重要作用。
|
( 白点区域表示通过了显著性水平为0.1的t检验。紫色框代表北美冷事件的研究区域。(d)中红框和(f)中绿框代表波源关键区。White dots indicate the 0.1 significance level based on a Student's t-test. Purple boxes represent the study area. Red box in (d) and green box in (f) represent the key areas of Rossby wave source. ) 图 6 长持续性冷事件在峰值日前20天(a)、18天(b)、16天(c)、14天(d)、12天(e)、10天(f)、8天(g)、6天(h)、4天(i)、2天(j)时的合成300 hPa罗斯贝波源异常(单位:10-11 s-2) Fig. 6 Composite 300 hPa Rossby wave source (shading, unit: 10-11 s-2) at leading 20(a), 18(b), 16(c), 14(d), 12(e), 10(f), 8(g), 6(h), 4(i), and 2(j) days relative to the peak of long-lived cold events |
已有研究表明[29, 36],由降水或对流变化引起的非绝热加热异常是激发大气罗斯贝波的重要因素。为了进一步验证上述波源地的鲁棒性,本文计算了长持续性冷事件峰值日前的500 hPa非绝热加热异常(见图 7(a)、(c)、(e))。结果表明,在长持续性冷事件峰值日前14天,地中海北部出现了显著的非绝热加热正异常(见图 7(a)),同时该区域伴随着显著的降水正异常(见图 7(b)),这表明地中海北部的非绝热加热正异常与降水增加导致的潜热释放有关。罗斯贝波列的形成通常与强对流或降水过程引发的凝结潜热释放密切相关,这种热力强迫会在对流层上层形成异常的辐散和涡度分布[29, 36]。地中海北部的非绝热加热正异常与降水正异常以及罗斯贝波源负异常存在良好的位置对应关系,这进一步说明地中海北部很可能通过环流调整激发罗斯贝波列,其能量沿副热带急流东传至北美西北部地区,为长持续性冷事件的发展和维持提供有利条件。此外,值得注意的是,在超前峰值日10和8 d时,地中海北部仍然存在显著的非绝热加热异常,这表明地中海北部的波源区域具有较强的持续性(见图 7(c), 7(e))。
|
( 白点区域表示((a)、(c)、(e))和((b)、(d)、(f))降水异常通过了显著性水平为0.1的t检验。紫色框代表北美的冷事件研究区域。红框、绿框和蓝框代表波源关键区。White dots indicate the 0.1 significance level based on a Student's t-test. Purple boxes represent the study area. Red, green, and blue boxes represent the key source areas. ) 图 7 合成长持续性冷事件在超前峰值日前14天((a), (b))、10天((c), (d))和8天((e), (f))时的500 hPa非绝热加热异常和降水异常 Fig. 7 Composite of ((a), (c), (e)) 500 hPa diabatic heating anomalies and ((b), (d), (f)) precipitation anomalies at leading 14((a), (b)), 10((c), (d)) days, and 8((e), (f)) days relative to the peak of long-lived cold events |
类似地,在长持续性冷事件峰值日前10天,日本南部也出现了显著的非绝热加热负异常(见图 7(c))。该异常与同期的罗斯贝波源正异常在空间分布上高度吻合(见图 6(f)),这表明日本南部的非绝热加热负异常是当地罗斯贝波源正异常出现的重要驱动因子。进一步分析发现,非绝热加热负异常形成的主要原因是日本南部降水的异常减少导致潜热释放减少(见图 7(d))。该非绝热加热负异常有利于激发罗斯贝波列向东传播,进而影响北美西北部长持续性冷事件的发展。前人研究指出,日本附近可作为罗斯贝波列的“中继站”,对来自地中海北部地区的罗斯贝波列起到增强作用,从而进一步影响下游北美地区的环流异常[37],这与本文的分析结果一致。
除上述区域外,在超前峰值日14 d时,热带西太平洋上也存在一个显著的非绝热加热负异常(见图 7(a)), 该异常在随后的几天内持续增强,并在超前峰值日8 d时达到最大强度(见图 7(e))。同时,该区域伴随有显著的降水负异常(见图 7(f))。前人研究表明,北美西北部冬季极端冷事件与热带地区的气候异常存在密切联系[13-14]。然而,由于波活动通量和罗斯贝波源的分析方法主要适用于中高纬度地区,难以准确表征热带地区激发的大气遥相关过程。但是,热带西太平洋仍有可能成为北美西北部长持续性冷事件的一个重要的驱动因子。该区域由降水减少导致的热动力学过程也可能通过激发大气罗斯贝波列向东北方向传播,从而对北美西北部长持续性冷事件的发展产生重要影响。
北美上空低压异常及其西侧高压异常结构有利于极地冷空气持续南下,是维持北美西北部长持续性冷事件的关键因素(见图 3)。因此,本文进一步利用LBM进行数值模拟,验证地中海北部、日本南部和热带西太平洋地区在触发北美上空低压异常中的作用。首先,为了验证地中海北部区域在触发中纬度波列并维持北美低压异常的作用,本文向地中海北部施加了观测所得的非绝热加热异常(见图 8(a))。其垂直廓线显示,地中海北部的非绝热加热异常的最大值(1.6 K/d)位于600 hPa。LBM试验结果表明,向地中海北部施加热源强迫后,其局地上空的300 hPa出现了强烈的高压异常,接着东北太平洋上空出现了明显的高压异常,随后在下游的北美西北部上空出现了低压异常,该高低压异常结构与观测中出现的高低压异常相似(见图 3(g),图 8(c))。总体而言,地中海北部试验合理地再现了由地中海北部的非绝热加热异常强迫引发的北美上空的低压异常其西侧高压异常。然而,与观测值相比,该试验中北美上空的低压异常强度偏弱,这表明其他区域的作用也不容忽视。
|
( 紫色框代表北美的冷事件研究区域。Purple box represents the study area. ) 图 8 LBM试验中地中海北部热源(a)和日本南部地区(b)施加的冷源强迫的垂直廓线及地中海北部(c)和日本南部(d)试验中300 hPa位势高度(等值线;正值为实线,负值为虚线;单位:gpm)的响应 Fig. 8 Imposed heating over (a) northern Mediterranean and cooling over (b) southern Japan in the LBM experiments, respectively, response of geopotential height anomalies (contours, unit: gpm; dashed/solid for negative/positive values) at 300 hPa in the LBM experiments in (c) northern Mediterranean and (d) southern Japan experiments, respectively |
接着,本文验证了日本附近的非绝热加热异常对北美西北部低压异常及其西侧高压异常的可能影响。在该试验中,非绝热加热异常的最小值(-2.8 K/d)出现在850 hPa(见图 8(b))。当向日本附近施加观测所得的冷源强迫后,其上空300 hPa高度场首先出现了显著的气旋式环流异常,随后这一异常信号沿西风急流向下游传播,接着北太平洋上空出现了高压异常,最终在北美西北部地区诱发了相应的气旋式环流异常(见图 8(d))。基于以上分析,LBM可以较好地再现日本地区的非绝热加热异常对罗斯贝波列的激发作用,并通过波列传播影响北美低压异常及其西侧高压异常的形成。
最后,本文利用LBM试验验证了热带西太平洋对北美西北部长持续性冷事件的可能作用。通过对热带西太平洋地区非绝热加热异常垂直剖面的分析发现,在长持续性冷事件达到峰值之前,该地区的非绝热加热呈现出显著的负异常,且负异常信号贯穿整个对流层,其中最小值(-2.7 K/d)出现在500 hPa高度附近(见图 9(a))。基于此,与其他LBM试验类似,本文在LBM中对热带西太平洋地区施加与实际非绝热加热廓线一致的冷源强迫。试验结果显示,在施加强迫后,热带西太平洋地区首先出现显著的低压异常响应(见图 9(b)),北太平洋上空出现了显著的高压异常,随后由该冷源激发的罗斯贝波列向东北传播,最终在北美西北部出现了显著的低压异常,这一模拟结果与观测结果高度一致。基于以上分析,LBM数值试验再现了与长持续性冷事件相关的由地中海北部、日本南部以及热带西太平洋地区非绝热加热异常激发的罗斯贝波列,该波列在北美西北部的低压异常及其西侧高压异常对该区域长持续性冷事件的产生和维持至关重要。
|
( 紫色框代表北美的冷事件研究区域。Purple box represents the study area. ) 图 9 (a) LBM试验中太平洋中部地区施加的冷源强迫的垂直廓线和(b)LBM太平洋中部地区试验中300 hPa位势高度(等值线;正值为实线,负值为虚线;单位:gpm)的响应 Fig. 9 (a) Imposed cooling over tropical Central Pacific in the LBM experiment and (b) response of geopotential height (contours, unit: gpm) in the experiments forced by cooling anomalies over Central Pacific |
近年来,冬季北美西北部区域冷事件的影响日益加剧,引发了学界和公众的广泛关注,深入理解冬季北美西北部极端冷事件的特征和形成机制,不仅有助于提高各国对极端天气的预测和应对能力,也对北半球天气气候系统的理解及防灾减灾策略的制定具有重要意义。基于此,本文系统探讨了北美西北部短时和长持续性冷事件的特征,并深入剖析了与长持续性冷事件发生发展相关的遥相关机制,得到以下主要结论:
(1) 基于历史观测数据,本文首先依据1982—2023年冬季所有北美西北部冷事件的累积T2m异常的空间分布,确定了冷事件的研究区域,随后筛选出65次冷事件。根据持续时间这一指标,将冷事件划分为57次短时冷事件和8次长持续性冷事件。长持续性冷事件峰值日的累积T2m异常显著高于短时冷事件。不同年份之间,长持续性冷事件的累积T2m异常差异较大;而短时冷事件的累积T2m异常分布较为集中,变化幅度较小。
(2) 从大气环流异常来看,在冷事件的峰值日,长持续性和短时冷事件在500 hPa位势高度场上出现了显著的阻塞系统,呈现出北美西北部低压异常与其西侧高压异常构成的正压偶极子结构。然而,两类事件的环流特征存在显著差异:长持续性冷事件的低压异常中心强度更强,且能持续至峰值日之后8天;而短时冷事件的低压异常中心强度较弱,且在峰值日后迅速减弱并转为高压异常。此外,与短时冷事件相比,长持续性冷事件中的北太平洋阻塞高压振幅更大、中心更偏北、出现时间更早且维持时间更长,表现出更明显的缓慢移动特征。因此,与短时冷事件相比,长持续性冷事件发生时的高、低压系统具有更强的稳定性,这一特征可能与长持续性冷事件的长持续性存在密切关联。
(3) 与短时冷事件相比,长持续性冷事件峰值日前表现出明显的跨太平洋罗斯贝波列信号,该信号自欧亚大陆中高纬度地区沿西风急流传播至日本附近,并进一步跨越太平洋直至北美西北部。本文进一步通过罗斯贝波源分析发现,地中海北部降水增加引起的非绝热加热正异常以及日本南部和热带西太平洋地区由降水减少引起的非绝热加热负异常能激发大气罗斯贝波列传播至北美,在长持续性冷事件的产生和维持中起到了关键作用。为了验证该波源关键区,在LBM中分别向地中海北部、日本南部和热带西太平洋地区施加热源或冷源强迫后,北美西北部研究区域出现了显著的低压异常及其西侧高压异常,这进一步验证了遥相关物理机制的鲁棒性(见图 10)。
|
( 紫色框代表北美的冷事件研究区域。Purple box represents the study area. ) 图 10 冬季北美西北部长持续性冷事件的遥相关机制示意图 Fig. 10 Schematic illustration of teleconnection mechanisms underlying the long-lived cold event in Western North America during boreal winter |
总体而言,本研究强调了遥相关机制在维持北美西北部长持续性冷事件中的重要作用。遥相关机制通过罗斯贝波列将中纬度欧亚大陆和热带太平洋的气候异常与北美大陆的极端事件紧密联系起来,这一发现为理解北美西北部冷事件的维持机制提供了新的视角。在未来对极端冷事件的预报中,充分考虑遥相关的作用有望显著提高对北美西北部乃至整个北半球极端冷事件的可预测性,为防灾减灾提供更可靠的科学依据。然而,由于观测数据的时间范围有限,本文并没有区分不同冬季月份对北美西北部冷事件进行研究。由于不同月份的大气环流背景态和遥相关型存在明显差异,北美冷事件的发生和维持可能受到大气环流季节内变化的影响。因此,未来研究应进一步利用长时间序列的模式数据,增加北美冬季冷事件的样本量,逐月分析冷事件的特征和机制。此外,冷事件尤其是长持续性冷事件的发生发展与大振幅槽脊系统存在密切关系,非线性特征明显, 因此单纯采用线性LBM模式进行讨论存在一定局限。未来研究应引入更为复杂的耦合模式以进一步验证导致长持续性冷事件发生发展的遥相关过程。
致谢: 对无私提供数据资料的NCEP/NCAR和ECMWF衷心感谢!
| [1] |
Smith E T, Sheridan S C. The influence of extreme cold events on mortality in the United States[J]. Science of the Total Environment, 2019, 647: 342-351. DOI:10.1016/j.scitotenv.2018.07.466 ( 0) |
| [2] |
Kim Y, Lee S. Trends of extreme cold events in the central regions of Korea and their influence on the heating energy demand[J]. Weather and Climate Extremes, 2019, 24: 100199. DOI:10.1016/j.wace.2019.100199 ( 0) |
| [3] |
Grotjahn R, Black R, Leung R, et al. North American extreme temperature events and related large scale meteorological patterns: A review of statistical methods, dynamics, modeling, and trends[J]. Climate Dynamics, 2016, 46: 1151-1184. DOI:10.1007/s00382-015-2638-6 ( 0) |
| [4] |
Yamaguchi J, Kanno Y, Chen G, et al. Cold air mass analysis of the record-breaking cold surge event over East Asia in January 2016[J]. Journal of the Meteorological Society of Japan, 2019, 97(1): 275-293. DOI:10.2151/jmsj.2019-015 ( 0) |
| [5] |
Ma S, Zhu C. Extreme cold wave over East Asia in January 2016: A possible response to the larger internal atmospheric variability induced by Arctic warming[J]. Journal of Climate, 2019, 32(4): 1203-1216. DOI:10.1175/JCLI-D-18-0234.1 ( 0) |
| [6] |
Zhou C, Dai A, Wang J, et al. Quantifying human-induced dynamic and thermodynamic contributions to severe cold outbreaks like November 2019 in the eastern United States[J]. Bulletin of the American Meteorological Society, 2021, 102(1): 17-24. DOI:10.1175/BAMS-D-20-0171.1 ( 0) |
| [7] |
Andrew Weber. Texas Winter Storm Death Toll Goes up to 210, Including 43 Deaths In Harris County [PP/OL]. (2021-07-14) [2025-02-27]. https://www.houstonpublicmedia.org/articles/news/energy-environment/2021/07/14/403191/texas-winter-storm-death-toll-goes-up-to-210-including-43-deaths-in-harris-county/.
( 0) |
| [8] |
Zishka K M, Smith P J. The climatology of cyclones and anticyclones over North America and surrounding ocean environs for January and July, 1950—1977[J]. Monthly Weather Review, 1980, 108(4): 387-401. DOI:10.1175/1520-0493(1980)108<0387:TCOCAA>2.0.CO;2 ( 0) |
| [9] |
Turner J K, Gyakum J R. The development of Arctic air masses in Northwest Canada and their behavior in a warming climate[J]. Journal of Climate, 2011, 24(17): 4618-4633. DOI:10.1175/2011JCLI3855.1 ( 0) |
| [10] |
Lin H, Brunet G, Derome J. An observed connection between the North Atlantic oscillation and the Madden-Julian oscillation[J]. Journal of Climate, 2009, 22(2): 364-380. DOI:10.1175/2008JCLI2515.1 ( 0) |
| [11] |
Gong H, Ma K, Wang L. Internal variability dominated the extreme cold wave over North America in December 2022[J]. Geophysical Research Letters, 2024, 51(18): e2024GL111429. DOI:10.1029/2024GL111429 ( 0) |
| [12] |
Shi J, Wu K, Qian W, et al. Characteristics, trend, and precursors of extreme cold events in northwestern North America[J]. Atmospheric Research, 2021, 249: 105338. DOI:10.1016/j.atmosres.2020.105338 ( 0) |
| [13] |
Hou Y, Johnson N C, Chang C H, et al. Cold springs over Mid-Latitude North America induced by tropical atlantic warming[J]. Geophysical Research Letters, 2023, 50(16): e2023GL104180. DOI:10.1029/2023GL104180 ( 0) |
| [14] |
Ogi M, Rysgaard S, Barber D. Cold winter over North America: The influence of the East Atlantic (EA) and the tropical/Northern Hemisphere (TNH) teleconnection patterns[J]. The Open Atmospheric Science Journal, 2016, 10: 6-13. DOI:10.2174/1874282301610010006 ( 0) |
| [15] |
Baxter S, Nigam S. Key role of the North Pacific oscillation-west Pacific pattern in generating the extreme 2013/14 North American winter[J]. Journal of Climate, 2015, 28(20): 8109-8117. DOI:10.1175/JCLI-D-14-00726.1 ( 0) |
| [16] |
Zhang Y, Shi J, Chen Y, et al. Intraseasonal relationship of winter temperatures in North America and warm sea surface temperatures in the Northeast Pacific[J]. Atmospheric Research, 2025, 313: 107773. DOI:10.1016/j.atmosres.2024.107773 ( 0) |
| [17] |
Kug J S, Jeong J H, Jang Y S, et al. Two distinct influences of Arctic warming on cold winters over North America and East Asia[J]. Nature Geoscience, 2015, 8(10): 759-762. DOI:10.1038/ngeo2517 ( 0) |
| [18] |
Zhang X, Fu Y, Han Z, et al. Extreme cold events from East Asia to North America in winter 2020/21: Comparisons, causes, and future implications[J]. Advances in Atmospheric Sciences, 2022, 39: 553-565. DOI:10.1007/s00376-021-1229-1 ( 0) |
| [19] |
Yao Y, Zhuo W, Gong Z, et al. Extreme cold events in North America and Eurasia in November-December 2022: A potential vorticity gradient perspective[J]. Advances in Atmospheric Sciences, 2023, 40: 953-962. DOI:10.1007/s00376-023-2384-3 ( 0) |
| [20] |
Zhang R, Screen J A, Zhang R. Arctic and Pacific Ocean conditions were favorable for cold extremes over Eurasia and North America during winter 2020/21[J]. Bulletin of the American Meteorological Society, 2022, 103(10): 2285-2301. DOI:10.1175/BAMS-D-21-0264.1 ( 0) |
| [21] |
Doss-Gollin J, Farnham D J, Lall U, et al. How unprecedented was the February 2021 Texas cold snap?[J]. Environmental Research Letters, 2021, 16(6): 064056. DOI:10.1088/1748-9326/ac0278 ( 0) |
| [22] |
Zhang Y X, Liu Y J, Di ng, Y H. Identification of winter long-lasting regional extreme low-temperature events in Eurasia and their variation during 1948—2017[J]. Advances in Climate Change Research, 2021, 12(3): 353-362. DOI:10.1016/j.accre.2021.05.005 ( 0) |
| [23] |
Leetmaa A, Reynolds R, Jenne R, et al. The NCEP/NCAR 40-year reanalysis project[J]. Bulletin of the American Meteorological Society, 1996, 77: 437-471. DOI:10.1175/1520-0477(1996)077<0437:TNYRP>2.0.CO;2 ( 0) |
| [24] |
Hersbach H, Bell B, Berrisford P, et al. The ERA5 global reanalysis[J]. Quarterly Journal of the Royal Meteorological Society, 2020, 146(730): 1999-2049. DOI:10.1002/qj.3803 ( 0) |
| [25] |
Peng J B, Cholaw B. The definition and classification of extensive and persistent extreme cold events in China[J]. Atmospheric and Oceanic Science Letters, 2011, 4(5): 281-286. DOI:10.1080/16742834.2011.11446943 ( 0) |
| [26] |
Fu D, Ding Y. The study of changing characteristics of the winter temperature and extreme cold events in China over the past six decades[J]. International Journal of Climatology, 2021, 41(4): 2480-2494. DOI:10.1002/joc.6970 ( 0) |
| [27] |
Ji L, Chen H. Differences in variations of long-lived and short-lived summer heat waves during 1981—2020 over eastern China and their corresponding large-scale circulation anomalies[J]. Journal of Meteorological Research, 2024, 38(3): 414-436. DOI:10.1007/s13351-024-3162-6 ( 0) |
| [28] |
Takaya K, Nakamura H. A formulation of a phase-independent wave-activity flux for stationary and migratory quasigeostrophic eddies on a zonally varying basic flow[J]. Journal of the Atmospheric Sciences, 2001, 58(6): 608-627. DOI:10.1175/1520-0469(2001)058<0608:AFOAPI>2.0.CO;2 ( 0) |
| [29] |
Sardeshmukh P D, Hoskins B J. The generation of global rotational flow by steady idealized tropical divergence[J]. Journal of Atmospheric Sciences, 1988, 45(7): 1228-1251. DOI:10.1175/1520-0469(1988)045<1228:TGOGRF>2.0.CO;2 ( 0) |
| [30] |
Yanai M, Esbensen S, Chu J H. Determination of bulk properties of tropical cloud clusters from large-scale heat and moisture budgets[J]. Journal of Atmospheric Sciences, 1973, 30(4): 611-627. DOI:10.1175/1520-0469(1973)030<0611:DOBPOT>2.0.CO;2 ( 0) |
| [31] |
Watanabe M, Kimoto M. Atmosphere-ocean thermal coupling in the North Atlantic: A positive feedback[J]. Quarterly Journal of the Royal Meteorological Society, 2000, 126(570): 3343-3369. ( 0) |
| [32] |
Kanamitsu M, Ebisuzaki W, Woollen J, et al. NCEP-DOE AMIP-Ⅱ reanalysis (r-2)[J]. Bulletin of the American Meteorological Society, 2002, 83(11): 1631-1644. DOI:10.1175/BAMS-83-11-1631 ( 0) |
| [33] |
An X, Chen W, Fu S, et al. Possible dynamic mechanisms of high-and low-latitude wave trains over Eurasia and their impacts on air pollution over the North China Plain in early winter[J]. Journal of Geophysical Research: Atmospheres, 2022, 127(13): e2022JD036732. DOI:10.1029/2022JD036732 ( 0) |
| [34] |
Chen J, Li R, Mao J, et al. Different modulations of Arctic Oscillation on wintertime sea surface temperature anomalies in the Northeast Pacific[J]. Journal of Geophysical Research: Atmospheres, 2024, 129(19): e2024JD041360. DOI:10.1029/2024JD041360 ( 0) |
| [35] |
Branstator G. Circumglobal teleconnections, the jet stream waveguide, and the North Atlantic Oscillation[J]. Journal of Climate, 2002, 15(14): 1893-1910. DOI:10.1175/1520-0442(2002)015<1893:CTTJSW>2.0.CO;2 ( 0) |
| [36] |
Qin J, Robinson W A. On the Rossby wave source and the steady linear response to tropical forcing[J]. Journal of Atmospheric Sciences, 1993, 50(12): 1819-1823. DOI:10.1175/1520-0469(1993)050<1819:OTRWSA>2.0.CO;2 ( 0) |
| [37] |
Shi J, Huang H, Fedorov A V, et al. Northeast Pacific warm blobs sustained via extratropical atmospheric teleconnections[J]. Nature Communications, 2024, 15(1): 2832. DOI:10.1038/s41467-024-47032-x ( 0) |
2026, Vol. 56



0)