2. 山东省海洋环境地质工程重点实验室,山东 青岛 266100;
3. 山东科技大学地球科学与工程学院,山东 青岛 266590
世界上70%的人口聚集于河口海岸带,河口海岸地区存在大量居住区、工业区以及农业区[1-2]。地下水是河口海岸带工农业生产和人民生活的重要自然资源[3]。然而,随着经济快速发展,人类活动使沿海含水层的地下水质量面临着重大风险[4-6]。由于近年来人类过量开采海岸带地下水,含水层水动力条件发生改变,从而导致海水或高矿化咸水沿含水层向内陆方向侵入,造成地下水严重污染,改变河流与邻近含水层之间的水盐交换过程[7-9]。
然而,以往关于感潮河流-地下水交换的研究都将研究区锁定在海岸线附近。事实上,涨潮时海水会进入河口形成海水沿河上溯,特别是在中国北方地区,很多入海河流为季节性河流,海水沿河上溯距离可以超过15 km。海水沿河上溯通过河岸会对滨海含水层造成“纵深式”的入侵[10]。因此,深入研究海水沿河上溯条件下河流-地下水交换关系具有重要的科学意义。
河床沉积物是河流与其临近含水层之间发生水量、能量、物质交换的主要介质通道[11-12]。当河流水动力强度变弱时,河水所携带的泥沙、有机和无机悬浮固体物质容易积累在河床表面,形成一层渗透性较低的覆盖层[13-14],限制河流与地下水交互作用中的水量与盐分交换[15-16]。然而,现有的河口区河流-地下水交换的研究中,大多不考虑河床沉积物的渗透性[17-19],更不用说河床沉积物变异性的影响。有研究表明,在受海水沿河上溯影响的河段内,由于潮汐作用带来的河流水动力条件变化,河床沉积物的性质(厚度、渗透系数)具有空间变异性;而垂向上,河床沉积物具有明显的分层结构,上层渗透系数较小,随着深度增加渗透系数值也随之增大[20-23]。
目前,国内外已有若干讨论河床沉积物分层结构特征对河流-地下水相互作用过程的研究成果。水和盐分交换控制水体中溶质和物质(氧气、有机质、营养物)在河流中的滞留时间,影响地表水、间隙水和地下水的水质变化[24]。因此,水盐交换通量的研究对防治河流污染具有十分重要的意义。Salehin等[25]对比分析了强、弱非均质性河床沉积层对河流-地下水交换的影响,揭示了相对较强的非均质性能够引发更大的水沙界面水盐交换通量,这一基本结论在美国宾夕法尼亚州东南部India Creek的野外试验研究中也进一步得到验证[26];Cardenas等[27]模拟分析了河段渗透空间异质性对河流-地下水交换的影响,研究表明在相对较小的床面水力梯度变化条件下,河流边界水盐交换各特征变量主要受控于河床沉积层非均质性。
由于海水沿河上溯和河流水动力强度变弱,在河流入海地段河水所携带的细粒悬浮物在河床表面形成一层低渗透性覆盖层,从而限制河流与地下水之间的水盐交互作用。但是,目前对低渗透淤泥层影响下感潮河流与地下水的水盐交换还缺少系统的研究。本文在研究区地质调查和监测的基础上,建立区域尺度的数值模型,提出了地下咸水楔回退率、河流-地下水界面水盐交换通量等评价指标,深入研究河流-地下水水盐交换过程与不同环境因素的影响效应,为滨海地下水开发和保护提供科学依据和技术支持。
1 模型建立与模拟方法 1.1 水文地质模型的概化本文以山东半岛大沽河河口区为研究区,进行了系统的水文地质调查和水位、水质的动态监测,实测了河床表面胶体沉积物的组成与厚度变化。本区的潜水含水层由第四系冲积-冲洪积层组成,具有明显的二元结构。上层含水层厚度在0.5~8 m之间,渗透系数在0.46~25 m/d之间,主要由黏质砂土、砂质黏土和少量黏土组成;下层含水层厚度在4.0~16.6 m之间,渗透系数在0.46~25 m/d之间,主要由中砂和细砂组成,底部为第三系红色黏土层,构成潜水含水层的隔水底板。为了进一步刻画本区的水文地质条件,进行了如下假设:(1)含水层为层状非均质并且是各向同性;(2)流体密度和动力黏滞系数仅取决于盐度变化。以河床中线为地下水分水岭,则研究问题可以概化为一个垂向二维流模型(见图 1)。
|
图 1 研究区水文地质概念模型示意图 Fig. 1 Model setup for the field-scale numerical simulations |
对于滨海含水层变密度、变饱和的地下水流和溶质运移过程,由理查德方程耦合对流弥散方程控制,其表达如下[28]:
| $ \frac{\varepsilon s}{\rho} \frac{\partial \rho}{\partial t}+\varepsilon \frac{\partial s}{\partial t}-\pmb{\nabla} \cdot\left[k_{\mathrm{r}} K \cdot(\pmb{\nabla} \psi+(1+\chi) e)\right]=0, $ | (1) |
| $ \begin{aligned} \frac{\partial}{\partial t}(\varepsilon s C)-\pmb{\nabla} \cdot & {\left[C k_{\mathrm{r}} \cdot K(\pmb{\nabla} \psi+(1+\chi) e)\right]-} \\ \pmb{\nabla} \cdot & (\varepsilon s D \cdot \pmb{\nabla} C)=0, \end{aligned} $ | (2) |
| $ \chi=\frac{\rho-\rho_{\mathrm{o}}}{\rho_{\mathrm{o}}}=\alpha \frac{C-C_{\mathrm{o}}}{C_{\mathrm{s}}-C_{\mathrm{o}}} . $ | (3) |
式中:ε为孔隙度(-); s为水的饱和度(-); ρ和ρo分别为流体和淡水的密度(mol·L-3);t为时间[T]; kr为相对渗透系数(-); K为饱和情形下的渗透系数(L·T-1); ψ为毛细压头(L);e为重力加速度的单位矢量(-); C为溶质浓度(mol·L-3);Cs和Co为给定的最大和最小的溶质浓度(mol·L-3);D为水动力弥散张量(L2·T-1);α为溶质扩散系数(-)。
上述公式中,多孔介质相对渗透性、相饱和以及毛细压力三者间的关系由Van Genuchten方程描述,其表达如下[29]:
| $ \left\{\begin{array}{l} s=s_{\mathrm{r}}+\left(1-s_{\mathrm{r}}\right)\left[\frac{1}{1+|\mathrm{a} \psi|^n}\right]^{\left(\frac{\mathrm{n}-1}{\mathrm{n}}\right)} \\ k_{\mathrm{r}}=s_{\mathrm{w}}^{1 / 2}\left\{1-\left[1-s_{\mathrm{w}}\left(\frac{\mathrm{n}}{\mathrm{n}-1}\right)\right]^{\left(\frac{\mathrm{n}-1}{\mathrm{n}}\right)}\right\}^2 \\ s_{\mathrm{w}}=\frac{s-s_{\mathrm{r}}}{1-s_{\mathrm{r}}} \end{array}\right. $ | (4) |
式中: sr为残余饱和度(-); a和n为常数。
模型整体长150 m,含水层宽度为30 m,其中上层厚度7 m,渗透系数为25 m/d;下层13 m,渗透系数为81.5 m/d。根据现场监测,河床表面胶体沉积厚度为4~6 cm,测得平均渗透系数为1.0 m/d。在这种情况下,图 1中地面、含水层底部、地下水分水岭设置为零通量边界;AB、CB为潮汐变水头边界,现场监测可得该区域河流水位随潮汐呈现周期性变化,最高点为3.5 m,最低点为2.0 m,因此将其水位概化为如图 2所示,溶质浓度为35 g/L;内陆边界FG为定水头边界,根据研究区典型河流-地下水交换点9月平均地下水水位,将水位设置为3.0 m,溶质浓度为0.5 g/L。在AB边界上设置一个厚度为TL的低渗透层,其渗透系数为KL。
|
图 2 海水沿河上溯引起河流边界水位变化 Fig. 2 Changes of river boundary water level on seawater intrusion along the river |
基于上述定解条件,采用有限元地下水数值模拟软件FEFLOW,求解数值模型中的变密度饱和地下水流和溶质运移问题。模型的主体采用三角形剖分格式,共离散成10 477个三角元以及5 538个节点,最大三角元边长为1.85 m。网格间距满足Péclet指标的要求,为保证数值模型具有收敛的稳定性[30],其要求如公式(5)所示:
| $ P e=\frac{v \Delta L}{D+\alpha_{\mathrm{L}} v} \approx \frac{\Delta L}{\alpha_{\mathrm{L}}}=1<4 。$ | (5) |
式中: ΔL表示网格长度(L); D是分子扩散系数(L2/T-1); αL表示纵向弥散度(L)。本研究中,Péclet数小于4,满足剖分要求。
根据研究区的水文地质调查和试验,模型中采用的水文地质参数见表 1。
|
|
表 1 数值模拟参数表 Table 1 Numerical simulation parameter |
该地下水数值模拟分为三个应力期。第一个应力期:在无低渗透层条件(TL=0 m,KL=25 m/d)下进行模拟,时间设为2 000 d,保证模拟结果的咸水楔均达到稳态;第二个应力期:将第一个应力期稳定后的水头和盐度分布状态作为第二个应力期的初始条件,通过改变低渗透层的厚度和渗透系数,进行第二个应力期的模拟,模拟时间设为3 000 d,保证模拟的咸水楔达到稳定;第三个应力期:将第二个应力期稳定后的水头和盐度分布状态作为第三个应力期的初始条件,进行河流边界水盐交换的数值模拟,模拟时间设为2 d。为了更好地描述地下含水层中盐度分布(咸水分布)的动态变化,用10%和90%海水盐度等值线确定低浓度和高浓度咸水楔的范围,将50%海水盐度等值线与90%海水盐度等值线之间的区域划为高浓度混合区,将10%海水盐度等值线与50%海水盐度等值线之间的区域划为低浓度混合区,两者共同组成咸淡水过渡带[31-32]。
1.4 评价指标(1) 地下咸水楔回退率(SWL*)
地下咸水楔回退率可以用来表示增加河床低渗透层后咸水楔长度的相对变化,其数学表达式可以表示为
| $ S W L^*=\frac{S W L_0-S W L}{S W L_0}。$ | (6) |
式中: SWL0为初始时刻含水层中咸水楔长度(L);SWL为t时刻含水层中咸水楔长度(L)。SWL*为正值,表示咸水楔回退;反之,表示咸水楔继续向内陆入侵。咸水楔的范围由10%海水盐度等值线确定。
(2) 河流边界水交换通量(QRW)
河流边界水交换通量用于定量评价河流-地下水交换界面水流交换通量的变化,可以表示为
| $ Q_{\mathrm{RW}}=Q_{\mathrm{out}}-Q_{\mathrm{in} \mathrm{o}}。$ | (7) |
式中: QRW为河流边界水交换通量(L2·T-1);Qout表示河流边界地下水排泄通量(L2·T-1);Qin表示河流边界地下水的补给通量(L2·T-1)。QRW>0,表示排泄通量大于补给通量;反之,表示排泄通量小于补给通量。
(3) 河流边界盐交换通量(QRS)
河流边界盐交换通量用于定量评价河流-地下水交换界面盐分交换通量的变化,可以表示为
| $ Q_{\mathrm{RS}}=Q_{\mathrm{out}}-Q_{\mathrm{in}} $ | (8) |
式中: QRS为河流边界盐交换通量(MT-1·L-1);Qout表示河流边界盐分排泄通量(MT-1·L-1);Qin表示河流边界盐分补给通量(MT-1·L-1)。QRS>0,表示排泄通量大于补给通量;反之,表示排泄通量小于补给通量。
2 结果与讨论 2.1 低渗透层影响下感潮河流-地下水交换 2.1.1 地下水-盐动力学特征为了分析河床低渗透层对含水层咸水分布的影响,首先模拟了低渗透层(TL=0.05 m,KL=0.10 m/d)影响下地下水流线和咸水楔的动态变化过程(见图 3)。由图 3(a)可以看出,在河床底部无低渗透层时(0 d),由于潮汐作用的影响,在河床下方存在咸水循环流动现象,中心形成一个封闭的环流,该区域从河岸向内延伸10 m左右;这时,从内陆边界上地下淡水首先沿水平方向流入含水层,然后在咸水楔影响下逐渐向上方收敛,最后汇入河流边界。海咸水(红色区域)主要分布在河床的周边及其下方,中部为高浓度和低浓度的咸淡水过渡带(黄色和绿色区域),咸水楔长度为61.90 m,而淡水(蓝色区域)分布在含水层的右上方。由图 3(b)可知,低渗透层影响100 d后,咸水环流整体下移,范围减小,而咸淡水过渡带的宽度明显增加,咸水楔长度达到62.62 m,咸水楔的回退率为-1.17%,这是由于低渗透层的存在改变了原有的水-盐平衡状态。由图 3(c)可以得出,低渗透层影响2 000 d后,地下水的流场基本稳定,河岸下方咸水循环消失,此时海咸水只分布在河床周边,而且咸水过渡带的分布范围有所减小,咸水楔长度为58.53 m,咸水楔的回退率为5.44%,这说明低渗透层的存在会减少含水层咸水分布范围。由图 3(d)可以得出,低渗透层影响3 000 d后,地下水流场完全达到了稳定,咸水楔的长度几乎没有变化。
|
( (a)—(d)分别为低渗透层(TL=0.05 m,KL=1.0 m/d)影响下0、100、2 000和3 000 d时地下水流线和咸水楔分布图,其中白色实线、虚线和点画线分别代表 90%、50%、10%海水盐度等值线。(a)—(d)show the distributions of saltwater under the influence of the low permeability layer(TL=0.05 m, KL=0.10 m/d)for 0, 100, 2 000, 3 000 days. The white solid line, dashed line and dotted line represent the 90%, 50%, and 10% isolines of seawater salinity, respectively. ) 图 3 低渗透层影响下地下水流线和咸水楔分布图 Fig. 3 Distributions of saltwater under the influence of the low permeability layer |
研究区为半日潮,一个潮汐周期为12 h,在无低渗透层和有低渗透层(TL=0.05 m,KL=0.10 m/d)时感潮河流边界水位以及河流-地下水水交换通量(QRW)和盐分交换通量(QRS)的变化如图 4所示。由图 4(a)可知,当有低渗透层存在时,河流与地下水之间的交换量的绝对值均小于无低渗透层条件,而且河流与地下水之间的交换量的大小与河流边界水位分布正好相反。也就是说,河流水位最低时,两种情况下交换量最大;反之,两种情况下的交换量最小。由此可以说明河床低渗透层的存在不但减小了河流边界的入渗补给,也阻碍了地下水向河流的排泄。当感潮河流水位最高(3.5 m)时,有低渗透层和无低渗透层条件下河流断面的交换通量分别为-24.39和-26.10 m2/d,此时主要是河流补给地下水;当感潮河流水位最低(2.0 m)时,有低渗透层和无低渗透层条件下河流与地下水交换通量分别为14.77和15.77 m2/d,此时主要是地下水补给河流。从图 4(b)可知,河流边界盐分的交换通量变化同水交换类似,当感潮河流水位最高(3.5 m)时,有低渗透层和无低渗透层条件下河流-地下水之间的盐分交换通量分别为-916.75和-972.97 kg/d/m;当感潮河流水位最低(2.0 m)时,有低渗透层和无低渗透层条件下河流与地下水之间的盐分交换通量分别为435.80和468.17 kg/d/m。由此可知,低渗透层的存在会改变河流-地下水之间水和盐分的交换通量的大小,从而对含水层咸水分布产生一定的影响。
|
( (a)有无低渗透层影响下感潮河流边界水位(Hs)、河流-地下水水交换通量(QRW);(b)有无低渗透层影响下感潮河流边界水位Hs、河流-地下水盐分交换通量(QRS),其中黑色点线为0相应的通量线。(a)Variation curves of tidal river flow boundary water level(Hs), river-groundwater water exchange flux(QRW) under the influence of no low permeability layer and the low permeability layer.(b)Variation curves of tidal river flow boundary water level(Hs), river-groundwater salt exchange flux (QRS) under the influence of no low permeability layer and the low permeability layer. The black dot line represent the corresponding 0 flux line, respectively. ) 图 4 有无低渗透层影响下感潮河流边界水位、河流-地下水水盐交换通量的变化曲线 Fig. 4 Changes of tidal river boundary water level, river-groundwater water exchange flux and salt exchange flux with or without low permeability layer |
当低渗透层的厚度为0.05 m,渗透系数分别为0.5和2.5 m/d时,地下水咸水楔分布如图 5所示。如图 5(a)所示,当KL为0.5 m/d时,初始状态下(0 d)咸水楔长度为61.90 m,海咸水(红色区域)主要分布在河床下方和两侧;100 d后,咸水楔长度增加至63.47 m,较0 d时增加1.57 m,咸淡水过渡带(黄色和绿色区域)变宽,但河床下方的海咸水分布范围明显缩小;2 000 d后,咸水楔长度回退至58.06 m,较0 d时缩短了3.84 m,咸淡水过渡带范围变窄,海咸水范围略有减少;3 000 d后,咸淡水分布规律与2 000 d时相似,说明咸淡水分布已趋于稳定。可见,咸水楔长度先增加,而后有所减小,最后咸水楔长度趋于稳定。
|
( (a)低渗透层渗透系数为0.5 m/d时0、100、2 000和3 000 d地下咸水楔的动态分布图;(b)低渗透层渗透系数为2.5 m/d时0、100、2 000和3 000 d地下咸水楔的动态分布图,其中白色实线、虚线和点画线分别代表 90%、50%、10%海水盐度等值线。(a)Distributions of saltwater when the low permeability layer with different hydraulic conductivities of 0.5 m/d for 0, 100, 2 000 and 3 000 days; (b)Distributions of saltwater when the low permeability layer with different hydraulic conductivities of 2.5 m/d (b) for 0, 100, 2 000 and 3 000 days. The white solid line, dashed line and dotted line represent the 90%, 50%, and 10% isolines of seawater salinity, respectively. ) 图 5 低渗透层渗透系数为0.5、2.5 m/d时地下咸水楔的动态分布图 Fig. 5 Distributions of saltwater when the low permeability layer with different hydraulic conductivities of 0.5 and 2.5 m/d |
由图 5(b)可以看出,当KL=2.5 m/d时,咸水楔的整体变化趋势与图 5(a)基本一致。与图 5(a)相比,100 d后咸水楔长度只增加到62.08 m,咸淡水过渡带变窄,河床下方仍然存在大量海咸水;低渗透层影响2 000和3 000 d后,海咸水范围进一步减少,此时咸水楔长度为59.62 m,咸淡水过渡带进一步变窄,而咸水楔长度增加了1.56 m。由此可知,咸水楔长度随着河床低渗透层渗透系数增加而增加,而咸淡水过渡带宽度逐渐减小。
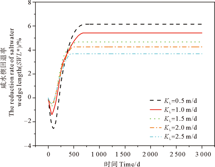
低渗透层的渗透系数分别为0.5、1.0、1.5、2.0和2.5 m/d时,含水层咸水楔回退率(SWL*)随时间的变化如图 6所示。从图 6可以看出,在低渗透层影响的初始阶段,咸水楔的长度明显增加,SWL*有所减小,大约100 d后达到最小值;然后,咸水楔的长度突然减小,SWL*快速增加;大约600 d后,SWL*分别稳定在6.17%、5.44%、4.68%、4.27%、3.68%。这说明渗透系数越小,SWL*的值变化越大,而且达到稳定的时间越长。当KL为0.5、1.0、1.5、2.0和2.5 m/d时,SWL*最大值与最小值的差值分别为8.71%、6.28%、5.33%、4.78%、4.17%,可以看出,渗透系数越小,差值越大,SWL*曲线的变化幅度越大。综上所述,低渗透层的渗透系数越大,对含水层咸水分布的影响越小。
|
图 6 不同渗透系数的低渗透层影响下地下水楔回退率变化曲线 Fig. 6 The reduction rate of saltwater wedge length under the influence of the low permeability layer with different hydraulic conductivities |
在无低渗透层和不同渗透系数低渗透层条件下,河流-地下水界面水交换通量(QRW)和盐分交换通量(QRS)的变化如图 7所示。从图 7(a)可知,河流-地下水交换通量呈周期性规律变化。在同一个潮周期内,当低渗透层的渗透系数分别为0.5、1.0、1.5、2.0、2.5和25 m/d(无低渗透层)时,其交换通量的最小值(河水补给地下水)分别为-23.24、-24.39、-24.91、-25.17、-25.37和-26.10 m2/d,而交换通量的最大值(地下水补给河水)分别为13.87、14.77、15.14、15.33、15.51和15.77 m2/d,这说明河流-地下水水交换通量的变化量随着河床低渗透层渗透系数的增加而增加。另外,从图 7(b)可知,河流-地下水盐分的交换通量的变化同水交换基本一致,盐分的交换通量的变化量随着河床低渗透层渗透系数的增加而增加。需要注意的是,在1.5、2.0、2.5和25 m/d(无低渗透层)的情况下,其水和盐分的交换通量变化曲线都非常接近,说明随着低渗透层渗透系数的不断增加,水和盐分的交换通量的变化幅度逐渐减弱。
|
( (a)不同渗透系数的低渗透层影响下河流-地下水水交换通量(QRW);(b)不同渗透系数的低渗透层影响下河流-地下水盐分交换通量(QRS),其中黑色点线为相应的0通量线。(a)Variation curves of river-groundwater water exchange flux (QRW); (b)Variation curves of river-groundwater salt exchange flux (QRS). The black dot line represent the corresponding 0 flux line, respectively. ) 图 7 不同渗透系数的低渗透层影响下河流-地下水水盐交换通量变化曲线 Fig. 7 Variation curves of river-groundwater water exchange flux and salt exchange flux under the influence of low permeability layer with different hydraulic conductivities |
当低渗透层的渗透系数为1.0 m/d,厚度分别为0.10和0.25 m时,地下咸水楔的分布如图 8所示。如图 8(a)所示,当TL为0.10 m时,初始状态下(0 d)咸水楔长度为61.90 m;100 d后,咸水楔长度增加至63.29 m,较0 d时增加了1.39 m,此时海咸水(红色区域)分布范围显著减小,主要分布在河床周边及下方,咸淡水过渡带(黄色和绿色区域)变宽;2 000 d后,海咸水范围进一步减少,此时咸水楔长度为56.89 m,较0 d时缩短了5.01 m;3 000 d后,咸淡水分布规律与2 000 d时相似,说明此时咸淡水分布已趋于稳定。可见,咸水楔长度呈现先增加后减小,最后趋于稳定。
|
( (a)低渗透层厚度为0.10 m时0、100、2 000和3 000 d地下咸水楔的动态分布图;(b)低渗透层厚度为0.25 m时0、100、2 000和3 000 d地下咸水楔的动态分布图,其中白色实线、虚线和点画线分别代表 90%、50%、10%海水盐度等值线。(a)Distributions of saltwater when the low permeability layer with different thickness of 0.10 m for 0, 100, 2 000 and 3 000 days; (b)Distributions of saltwater when the low permeability layer with different thickness of 0.25 m for 0, 100, 2 000 and 3 000 days. The white solid line, dashed line and dotted line represent the 90%, 50%, and 10% isolines of seawater salinity, respectively. ) 图 8 低渗透层厚度为0.10、0.25 m时地下咸水楔的动态分布图 Fig. 8 Distributions of saltwater when the low permeability layer with different thickness of 0.10 and 0.25 m |
由图 8(b)可以看出,当TL为0.25 m时,咸水楔的整体变化趋势与图 8(a)基本一致。然而,与图 8(a)相比,100 d后,咸水楔长度变成了65.33 m,咸水楔的长度增加了2.04 m,咸淡水过渡带显著变宽,此时海咸水分布范围明显减少,但同样主要分布在河床周边及下方;2 000和3 000 d后,海咸水范围进一步减少,此时咸水楔长度回退至54.15 m,咸水楔长度减少了2.74 m,咸淡水过渡带进一步变窄。由此可以说明,咸水楔长度随着河床低渗透层厚度增加而减小,咸淡水过渡带宽度同样逐渐减小。
低渗透层厚度分别为0.05、0.10、0.15、0.20和0.25 m时,含水层中咸水楔回退率(SWL*)随时间的变化如图 9所示。从图 9可以看出,在低渗透层影响的初始阶段,咸水楔的长度明显增加,SWL*有所减小,大约100 d后达到最小值;之后,咸水楔的长度突然减小,SWL*快速增加;大约600 d后,SWL*分别逐渐稳定在5.44%、8.10%、8.73%、9.90%、10.65%。这说明低渗透层的厚度越大,SWL*的值变化越大,而且达到稳定的时间越长。当TL为0.05、0.1、0.15、0.20和0.25 m时,SWL*最大值与最小值的差值分别为6.82%、10.35%、11.75%、13.79%和16.55%。可以看出,低渗透层的厚度越大,其差值越大,SWL*曲线的变化幅度越大。综上所述,低渗透层的厚度越大,对含水层咸水分布的影响越明显。
|
图 9 不同厚度的低渗透层影响下地下水楔回退率的变化曲线 Fig. 9 The reduction rate of saltwater wedge length under the influence of the low permeability layer with different thickness |
同样,低渗透层厚度分别为0.05、0.10、0.15、0.20和0.25 m时,河流-地下水界面水交换通量(QRW)和盐分交换通量(QRS)的变化如图 10所示。由图 10所知,河流-地下水水盐的交换通量呈周期性规律变化。由10(a)可知,在同一个潮周期内,当低渗透层厚度分别为0 m(无低渗透层)、0.05、0.10、0.15、0.20和0.25 m时,其交换通量的最小值(河水补给地下水)分别为-26.10、-24.39、-23.17、-22.27、-21.42和-20.07 m2/d,而交换通量的最大值(地下水补给河水)分别为15.77、14.77、14.06、13.52、13.07和12.18 m2/d,这说明河流-地下水水交换通量的变化量随着河床低渗透层厚度的增加而减小。另外,从图 10(b)可知,河流-地下水盐分的交换通量的变化同水交换基本一致,盐分的交换通量的变化量随着河床低渗透层厚度的增加而减小。综上所述,河床低渗透层厚度的改变会引起河流-地下水之间水和盐分的交换通量的改变,而且低渗透层厚度越大,其变化量越小。
|
( (a)不同厚度的低渗透层影响下河流-地下水水交换通量(QRW);(b)不同厚度的低渗透层影响下河流-地下水盐分交换通量(QRS),其中黑色点线为相应的0通量线。(a)Variation curves of river-groundwater water exchange flux (QRW); (b)Variation curves of river-groundwater salt exchange flux (QRS). The black dot line represent the corresponding 0 flux line, respectively. ) 图 10 不同厚度的低渗透层影响下河流-地下水水盐交换通量 Fig. 10 Variation curves of tidal river flow level and river-groundwater water exchange flux and salt exchange flux under the influence of low permeability layer with different thickness |
本研究以山东半岛大沽河河口区为研究区,在现场水文地质调查和监测的基础上,建立了场地尺度的地下水数值模型,首次研究了河床表面低渗透淤泥层影响下地下水-盐动力学特征和感潮河流-地下水交换通量,定量分析了低渗透层的渗透性与厚度变化对河流-地下水水盐交换过程的影响效应。本研究得出的主要结论如下:
(1) 当低渗透层存在时,在影响的初期海咸水在河流的下部形成环流,这时咸水楔向淡水边界延伸,随后咸水楔不断回退,海咸水环流逐渐消失,最后咸水楔长度逐渐趋于稳定。这时,从内陆边界上地下淡水首先沿水平方向流入含水层,然后在咸水楔影响下逐渐向上方收敛,最后汇入河流边界。
(2) 在不同的低渗透层条件下,初始阶段时咸水楔的长度增加,回退率(SWL*)有所减小,大约100 d后逐渐达到最小值;之后,咸水楔的长度突然减小,SWL*快速增加,大约600 d后SWL*逐渐趋于稳定。
(3) 在不同的低渗透层条件下,河流-地下水水盐的交换通量呈周期性规律变化。在同一个潮周期内,随着低渗透层的渗透性降低或厚度增加,河流-地下水水交换通量和盐交换通量的变化量减小。
实际情况下,海水沿河上溯过程中可能会有少量地下淡水补给河流,使得感潮河流盐度低于海水盐度,但本文将河流盐度恒定为35 g/L,忽略了河流盐度变化的影响, 未来研究应充分考虑这点。
| [1] |
Shi L T, Lu C H, Ye Y, et al. Evaluation of the performance of multiple-well hydraulic barriers on enhancing groundwater extraction in a coastal aquifer[J]. Advances in Water Resources, 2020, 144: 103704. DOI:10.1016/j.advwatres.2020.103704 ( 0) |
| [2] |
Lu C H, Xin P, Li L, et al. Seawater intrusion in response to sea-level rise in a coastal aquifer with a general-head inland boundary[J]. Journal of Hydrology, 2015, 522: 135-140. DOI:10.1016/j.jhydrol.2014.12.053 ( 0) |
| [3] |
郭占荣, 黄奕普. 海水入侵问题研究综述[J]. 水文, 2003(3): 10-15. Guo Z R, Huang Y P. Comprehensive study on seawater intrusion[J]. Hydrology, 2003(3): 10-15. ( 0) |
| [4] |
Gao S B, Zheng T Y, Zhang B, et al. Combined effects of aquifer heterogeneity and subsurface dam on nitrate contamination in coastal aquifers[J]. Journal of Environmental Management, 2024, 351: 119740. DOI:10.1016/j.jenvman.2023.119740 ( 0) |
| [5] |
Xin J, Wang Y, Shen Z, et al. Critical review of measures and decision support tools for groundwater nitrate management: A surface-to-groundwater profile perspective[J]. Journal of Hydrology, 2021, 598: 126386. DOI:10.1016/j.jhydrol.2021.126386 ( 0) |
| [6] |
Liu Y, Xin J, Wang Y, et al. Dual roles of dissolved organic nitrogen in groundwater nitrogen cycling: Nitrate precursor and denitrification promoter[J]. Science of the Total Environment, 2022, 811: 151375. DOI:10.1016/j.scitotenv.2021.151375 ( 0) |
| [7] |
Morgan L K, Stoeckl L, Werner A D, et al. An assessment of seawater intrusion overshoot using physical and numerical modeling[J]. Water Resources Research, 2013, 49(10): 6522-6526. DOI:10.1002/wrcr.20526 ( 0) |
| [8] |
Morgan L K, Bakker M, Werner A D. Occurrence of seawater intrusion overshoot[J]. Water Resources Research, 2015, 51(4): 1989-1999. DOI:10.1002/2014WR016329 ( 0) |
| [9] |
张永祥, 薛禹群, 陈鸿汉. 莱州湾南岸潍坊地区咸-卤水入侵及其地下水化学特征[J]. 地球科学, 1997, 22(1): 94-98. Zhang Y X, Xue Y Q, Chen H H. Salt-brine water intrusion and its chemical characteristics in Weifang area of southern coast of Laizhou Bay[J]. Journal of China University of Geosciences, 1997, 22(1): 94-98. ( 0) |
| [10] |
Kai X, Li H L, Xia Y Q, et al. Effects of tidally varying salinity on groundwater flow and solute transport: Insights from modelling an idealized creek marsh aquifer[J]. Water Resources Research, 2019, 55(11): 9656-9672. DOI:10.1029/2018WR024671 ( 0) |
| [11] |
吴佩鹏, 束龙仓, 李福林, 等. 层状非均质性影响下河流对地下水的补给过程研究[J]. 水文质工程地质, 2023, 50(03): 44-53. Wu P P, Shu L C, Li F L, et al. Influence of stratified heterogeneity on the recharge from surface water to groundwater[J]. Hydrogeology & Engineering Geology, 2023, 50(3): 44-53. ( 0) |
| [12] |
Jiang Q H, Jin G Q, Tang H W, et al. Density-dependent solute transport in a layered hyporheic zone[J]. Advances in Water Resources, 2020, 142: 103645. DOI:10.1016/j.advwatres.2020.103645 ( 0) |
| [13] |
Grischek T, Bartak R. Riverbed clogging and sustainability of riverbank filtration[J]. Water, 2016, 8(12): 604. DOI:10.3390/w8120604 ( 0) |
| [14] |
Datry T, Lamouroux N, Thivin G, et al. Estimation of sediment hydraulic conductivity in river reaches and its potential use to evaluate streambed clogging[J]. River Research and Applications, 2015, 31: 880-891. DOI:10.1002/rra.2784 ( 0) |
| [15] |
Larkin R G, Sharp J M. On the relationship between river-basin geomorphology, aquifer hydraulics, and ground-water flow direction in alluvial aquifers[J]. Geological Society of America Bulletin, 1992, 104(12): 1608-1620. DOI:10.1130/0016-7606(1992)104<1608:OTRBRB>2.3.CO;2 ( 0) |
| [16] |
Conrad L P, Beljin M S. Evaluation of an induced infiltration model as applied to glacial aquifer systems[J]. Jawra Journal of the American Water Resources Association, 1996, 32(6): 1209-1220. DOI:10.1111/j.1752-1688.1996.tb03491.x ( 0) |
| [17] |
Shen C J, Jin G Q, Xin P, et al. Effects of salinity variations on pore water flow in salt marshes[J]. Water Resources Research, 2015, 51(6): 4301-4319. DOI:10.1002/2015WR016911 ( 0) |
| [18] |
原平. 河口变盐度条件下海水-地下水相互作用的数值模拟[D]. 北京: 中国地质大学(北京), 2018. Yuan P. Numerical Simulations of Seawater-Groundwater Interaction Under Estuarine Variable Salinity Conditions[D]. Beijing: China University of Geosciences (Beijing), 2018. ( 0) |
| [19] |
Xiao K, Li H, Xia Y, et al. Effects of tidally varying salinity on groundwater flow and solute transport: Insights from modelling an idealized creek marsh aquifer[J]. Water Resources Research, 2019, 55(11): 9656-9672. DOI:10.1029/2018WR024671 ( 0) |
| [20] |
Gugliotta M, Saito Y, Nguyen V L, et al. Sediment distribution and depositional processes along the fluvial to marine transition zone of the Mekong River delta, Vietnam[J]. Sedimentology, 2019, 66(1): 146-164. DOI:10.1111/sed.12489 ( 0) |
| [21] |
宋进喜, Chen X H, Cheng C, 等. 美国内布拉斯加州埃尔克霍恩河河床沉积物渗透系数深度变化特征[J]. 科学通报, 2009, 54(24): 3892-3899. ( 0) |
| [22] |
Song J X, Chen X H, Cheng C, et al. Variability of streambed vertical hydraulic conductivity with depth along the Elkhorn River, Nebraska, USA[J]. Chinese Science Bulletin, 2009, 54(24): 3892-3899. DOI:10.1360/csb2009-54-24-3892 ( 0) |
| [23] |
束龙仓, Chen X H. 美国内布拉斯加州普拉特河河床沉积物渗透系数的现场测定[J]. 水科学进展, 2002, 13(5): 629-633. Shu L C, Chen X H. Measurement in situ of streambed hydraulic conductivities in the Plate River, Nebraska[J]. Advances in Water Science, 2002, 13(5): 629-633. ( 0) |
| [24] |
Ryan R J, Boufadel M C. Influence of streambed hydraulic conductivity on solute exchange with the hyporheic zone[J]. Environmental Geology, 2006, 51(2): 203-210. DOI:10.1007/s00254-006-0319-9 ( 0) |
| [25] |
杨国强, 苏小四, 王璜, 等. 热量示踪在潜流带水动力交换量计算中的应用[J]. 长江科学院院报, 2014, 31(10): 124-127. Yang G Q, Su X S, Wang H, et al. Using heat as a tracer to quantify hydrodynamic exchange within hyporheic zone[J]. Journal of Yangtze River Scientific Research Institute, 2014, 31(10): 124-127. ( 0) |
| [26] |
Salehin, M, Packman A I, Paradis M. Hyporheic exchange with heterogeneous streambeds: Laboratory experiments and modeling[J]. Water Resources Research, 2004, 40(11): W11504. ( 0) |
| [27] |
Ryan R J, Boufadel M C. Influence of streambed hydraulic conductivity on solute exchange with the hyporheic zone[J]. Environmental Geology, 2006, 51(2): 203-210. DOI:10.1007/s00254-006-0319-9 ( 0) |
| [28] |
Cardenas M B, Wilson J L, Zlotnik V A. Impact of heterogeneity, bed forms, and stream curvature on subchannel hyporheic exchange[J]. Water Resources Research, 2004, 40(8): W08307. ( 0) |
| [29] |
Diersch H R G. Feflow: Finite Element Modeling of Flow, Mass and Heat Transport in Porous and Fractured Media[M]. Berlin Germany: Springer Science & Business Media, 2014.
( 0) |
| [30] |
Genuchten M T V. A closed-form equation for predicting the hydraulic conductivity of unsaturated soils1[J]. Soil Science Society of America Journal, 1980, 44(5): 892. DOI:10.2136/sssaj1980.03615995004400050002x ( 0) |
| [31] |
Voss C I. Variable density flow and solute transport simulation of regional aquifers containing a narrow freshwater-saltwater transition zone[J]. Water Resources Research, 1987, 23(10): 1851-1866. DOI:10.1029/WR023i010p01851 ( 0) |
| [32] |
Lu C, Luo J. Dynamics of freshwater-seawater mixing zone development in dual-domain formations[J]. Water Resources Research, 2010, 46(11): W11601. ( 0) |
| [33] |
Zheng T Y, Zheng X L, Chang Q P, et al. Timescale and effectiveness of residual saltwater desalinization behind subsurface dams in an unconfined aquifer[J]. Water Resources Research, 2021, 57(2): e2020WR028493. DOI:10.1029/2020WR028493 ( 0) |
2. Key Laboratory of Marine Environment and Geological Engineering of Shandong Province, Qingdao 266100, China;
3. College of Earth Science and Engineering, Shandong University of Science and Technology, Qingdao 266590, China
2025, Vol. 55



0)