2. 青岛农业大学海洋科学与工程学院,山东 青岛 266237
2023年中央一号文件明确指出,建设现代海洋牧场,发展深水网箱、养殖工船等深远海养殖。农业农村部联合其他部委出台《关于加快推进深远海养殖发展的意见》,全面推进深远海养殖高质量发展[1]。养殖工船作为一种新兴且高效的养殖方式,不仅可以有效规避台风等自然风险,还能够根据不同季节的鱼类适合生长的水温和环境开展游弋式[2]的养殖作业,同时配备了智能投饵系统、水下机器人[3]和小目标雷达等先进设备,实现了养殖环境的实时监控和调整,保障了饵料的精确投喂和养殖安全,有效减少了疾病对养殖鱼类的侵袭和危害[4]。目前,为了保护养殖船舱内壁不受海水侵蚀,常采用固体和溶剂型环氧涂料对船舱进行防腐保护。但是防腐涂料寿命短,且其中含有的各种化学物质可能在使用过程中释放出有毒物质,特别是在涂料干燥、固化、老化过程中释放出的挥发酚。有毒物质在水体中释放可能对养殖舱内的鱼类等生物造成潜在的危害[5],对鱼类的神经系统和免疫系统产生负面影响,导致其生理机能下降,行为异常,甚至可能造成鱼类死亡。因此,研究养殖工船环保型养殖舱涂料对养殖水体以及养殖鱼类的影响对于工船养殖具有重要意义。
抗氧化酶是维护生物体正常功能的重要防线,可以代谢机体细胞产生的活性氧(Reactive oxygen species,ROS)自由基,正常情况下细胞内活性氧自由基的产生与抗氧化防御系统保持动态平衡,以防止活性氧损害机体健康[6]。总超氧化物歧化酶(Total supero-xide dismutase,T-SOD)、过氧化氢酶(Catalase,CAT)、过氧化物酶(Peroxidase,POD)和谷胱甘肽S-转移酶(Glutathione S-transferase, GST) 等抗氧化酶在抗氧化防御方面发挥着重要作用。T-SOD可以将O2-歧化成H2O2和O2,保护机体免受自由基攻击[7];CAT和POD则催化过氧化氢(H2O2)分解为分子氧和水,从而有效清除体内积累的H2O2,防止细胞遭受其毒害[8],三种酶通过协同作用维持生物体内自由基含量的稳定;谷胱甘肽系统,包括GSH、GST和GPx,代表了对活性氧的防御体系[9],其中GST作为一种Ⅱ期抗氧化代谢酶,参与许多外源性物质的解毒[10],能够催化GSH与氧化产物的结合,GST不仅是一种抗氧化酶,同时也是生物代谢解毒过程中重要的解毒酶之一[11]。丙二醛(Malondialdehyde,MDA)是衡量氧化应激水平的指标,能够间接地揭示细胞或组织所经历的氧化损伤程度[12]。
肝脏抗氧化能力是衡量鱼类机体抗氧化水平的重要指标,因为涂料的胁迫可能会引起鱼类氧化应激和代谢紊乱,诱导机体产生大量活性氧自由基(如过氧化氢(H2O2)、羟基自由基(—OH)和超氧阴离子自由基(O2-)等)[13],肝脏作为机体主要的代谢和氧化反应组织,通过增强其抗氧化能力来抵御活性氧自由基造成的损伤[14]。肝脏受到胁迫后会发生各种组织病理变化,如大量空泡形成、肝细胞肥大、脂肪变性、肝细胞生长过度,肝窦变性,肝糖原缺乏,窦状隙和血管阻塞等现象[15]。已有研究表明,肝脏中细胞凋亡(Apoptosis)、免疫相关基因的表达水平可以真实反映机体在应对外界刺激时的状态[16],并通过调节细胞凋亡来维护机体稳态[17]。在细胞凋亡的调控中,Bcl2和Caspase起着至关重要的作用,当细胞接收到凋亡信号时,Bcl2蛋白家族中的促凋亡成员(如Bax、Bak)被激活,并与Bcl2形成异源二聚体,破坏Bcl2对凋亡的抑制作用。这导致线粒体通透性增加,细胞色素C等凋亡诱导因子释放到细胞质中,进而激活Caspase级联反应,最终导致细胞凋亡[18]。趋化因子是免疫系统中重要的信号蛋白,在生理条件和炎症环境下对调节细胞活化和动员发挥重要作用[19]。趋化因子由多种细胞产生,参与白细胞的激活、趋化和迁移,在炎症和免疫应答等生物学过程中发挥关键作用[20-21]。此外,趋化因子还被报道在响应外界刺激时发挥重要作用[22-23]。通过对鱼类肝脏的抗氧化能力、组织结构和相关基因表达的研究可以客观评判环保型养殖舱涂料对养殖鱼类造成的影响。
大黄鱼(Larimichthys crocea)俗称大王鱼、大鲜、金龙、石头鱼、黄瓜鱼,是中国传统的“四大海产”之一,素有“中华国鱼”之称[24]。大黄鱼是中国第一大海水养殖鱼类,是中国八大优势出口养殖水产品之一,在养殖规模、成鱼产量、苗种数量、养殖技术等方面处于世界领先地位[25],大黄鱼养殖产量在海水鱼类养殖产量中的占比也呈逐年递增的趋势[26],从2014年起连续9年保持海水养殖鱼类产量的首位。同时,大黄鱼也被选为适宜深远海养殖工船养殖的品种,然而,关于工船养殖涂料对大黄鱼影响的研究鲜有报道。本研究通过设定1倍、10倍、20倍、40倍和80倍5个涂料浓度处理组,选取12、24、48、72和96 h 5个时间点,测量水质,并采集大黄鱼的肝脏组织,测定肝脏抗氧化酶活性变化并观察肝脏组织病理变化,同时检测细胞凋亡和免疫相关基因的表达模式,初步探究大黄鱼对涂料造成的环境胁迫的响应及适应机制,以期为养殖工船养殖鱼类提供参考。
1 材料与方法 1.1 实验材料及实验设计大黄鱼由浙江省国信(台州)渔业有限公司提供,环保型养殖舱涂料由山东省青岛市海洋化工研究院有限公司提供,于青岛农业大学海洋科学与工程学院养殖系统暂养1周。养殖水体保持溶解氧质量浓度5 mg/L以上,pH为7.5~8.0,温度为18~25 ℃,盐度为20~23。
暂养结束后,挑选324尾体质健康、规格一致、平均体质量为(100.6±10.4)g、平均体长为(17.5±0.3)cm的大黄鱼随机分配到18个水槽中,每个水槽18尾。实验设1个空白对照组(0倍浓度组)和5个涂料浓度梯度组(1倍、10倍、20倍、40倍和80倍),每组3个平行。进行为期1周的养殖实验,实验期间不投喂,不换水,增氧泵24 h连续增氧。
1.2 样品采集于0、12、24、48、72和96 h随机取样,每组随机挑选9尾鱼(每个水槽取3尾),使用100 mg/L MS-222快速麻醉后解剖分离肝脏组织。肝脏组织快速放入液氮速冻,并转移至-80 ℃冰箱保存,用于酶活分析及基因检测;0倍、1倍和80倍浓度组的实验鱼,于处理后24、48 h取其肝脏组织并固定于4%多聚甲醛(Parafor-maldehyde, PFA)中,用于后续组织学染色实验。
分别在处理后24、48、72和96 h,从0倍、1倍、10倍及80倍浓度组中随机采集水样,每组1.5 L,4 ℃保存,并于24 h内测定养殖水体中挥发酚的含量。
1.3 水质中挥发酚含量的测定依据《水质挥发酚的测定4-氨基安替比林分光光度法》(HJ 503—2009)进行挥发酚测定。
1.4 抗氧化指标分析过氧化氢酶(CAT)、总超氧化物歧化酶(T-SOD)活性采用南京建成生物工程有限公司试剂盒测定,过氧化物酶(POD)活性、谷胱甘肽S-转移酶(GST)活性、丙二醛(MDA)浓度采用北京索莱宝科技有限公司试剂盒测定,具体操作参照说明书。测定时,取肝脏组织约0.1 g,按质量体积比1∶9加入预冷的生理盐水,在冰上充分匀浆,然后4 ℃下3 000g离心15 min,取上清液用于检测。
1.5 组织学分析肝脏组织在4%多聚甲醛中固定24 h后进行乙醇(体积分数70%~100%)逐级脱水、二甲苯透明和石蜡包埋处理。石蜡包埋处理后用Leica切片机进行连续切片,切片厚度5~6 μm,进行苏木精-伊红(HE)染色。切片风干后用树脂封片于Zeiss显微镜下拍照,进行组织学观察。
1.6 肝脏转录组学分析采用标准提取方法从肝脏中提取RNA,对RNA样本的质量进行评估并精确定量其浓度。随后构建cDNA文库,先使用Qubit2.0进行初步定量,然后再用qRT-PCR方法对文库的有效浓度进行准确测定,以确保文库质量。使用华大智造超高通量基因测序仪DNBSEQ-T7对肝脏样本进行测序。为保证数据分析的质量和准确性,使用fastp软件[27](https://github.com/OpenGene/fastp)对原始Reads进行分析和过滤,以消除接头和低质量Reads,使用HISAT2软件(http://www.ccb.jhu.edu/software/hisat/index.shtml)将Clean Reads与大黄鱼高质量参考基因组进行比对[28],获取Reads在参考基因组上的定位信息。然后,使用StringTie软件(http://ccb.jhu.edu/software/stringtie/index.shtml)组装每个样品的转录本,并将其合并为一套转录本集。通过DESeq2(http://bioconductor.org/packages/release/bioc/html/DESeq2.html)分析获取差异表达基因,筛选标准为|log2 Fold Change|>1和P<0.05。
1.7 数据处理与分析实验数据采用Excel 2019和SPSS 20.0软件进行处理,对实验数据进行单因素方差分析(One-way ANOVA)和LSD多重比较检验数据差异的显著性,P < 0.01为差异极显著,P < 0.05为差异显著,用Graphpad Prism 8.0作图。
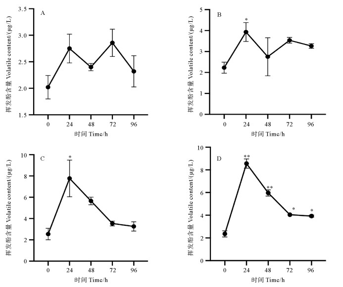
2 结果 2.1 养殖水体中挥发酚含量的测定养殖水体中挥发酚含量的测定结果如图 1所示。0倍、1倍、10倍和80倍浓度组挥发酚含量在0 h分别为(2.02±0.22)、(2.23±0.26)、(2.57±0.52)和(2.36±0.27) μg/L。0倍浓度在72 h达到最大值,挥发酚含量为(2.86±0.26) μg/L, 24、48、72和96 h的挥发酚含量与对照组相比均无显著差异(P>0.05)。与对照组相比,1倍、10倍和80倍浓度组挥发酚均在24 h达到最大值,24 h时1倍、10倍和80倍浓度挥发酚含量均显著上调(P < 0.05)分别为(3.93±0.78)、(7.77±2.98)和(8.56±0.71) μg/L。不同浓度组中48 h的挥发酚含量均低于24 h挥发酚含量,1倍、10倍和80倍浓度分别降低至(2.75±1.57)、(5.65±0.63)和(5.97±0.47) μg/L,但10倍和80倍浓度涂料的挥发酚含量仍高于1倍浓度涂料的挥发酚含量。随着时间的延长,在72和96 h时10倍和80倍浓度组挥发酚含量低于5 μg/L。水质中的挥发酚含量与所浸泡涂料浓度成正比,1倍浓度涂料浸泡的水体中挥发酚含量符合中国渔业标准规定(≤5 μg/L),而10倍和80倍浓度涂料浸泡的水体受到较轻的挥发酚污染。
|
( A:0倍,B:1倍,C:10倍,D:80倍。: 实验组与对照组存在显著差异(P < 0.05);: 实验组与对照组存在极显著差异(P < 0.01)。下同。A: 0-fold, B: 1-fold, C: 10-fold, D: 80-fold. : Significant difference between experimental and control group (P < 0.05); : Extremly significant difference between experimental and control group (P < 0.01). The same as below. ) 图 1 不同浓度养殖水体中挥发酚浓度 Fig. 1 Concentrations of volatile phenols in cultured waters at different concentrations |
不同浓度涂料浸泡对大黄鱼肝脏CAT酶活性的影响如图 2所示。随着浸泡时间的延长,CAT活性呈先上升后下降趋势。1倍和10倍浓度组CAT活性皆在48 h达到最大值,酶活性分别为(149.80±10.37)和(190.39±60.68)U/mg,而40倍和80倍浓度组CAT活性分别于24和12 h达到最大值,酶活性分别为(105.30±9.91)和(128.89±45.75) U/mg,且1倍至40倍浓度组在96 h均恢复至正常水平,与对照组无显著差异(P>0.05),不同的是80倍浓度组在96 h时CAT活性为(72.07±6.49) U/mg,显著低于对照组(P < 0.05)。随着浓度的增加,CAT活性峰值的出现时间点逐渐前移。
|
图 2 涂料对大黄鱼肝脏中CAT活性的影响 Fig. 2 Effect of coatings on CAT activity in liver of L. crocea |
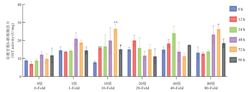
不同浓度涂料浸泡对大黄鱼肝脏GST酶活性的影响如图 3所示。随着浸泡时间的延长,GST活性与CAT活性变化趋势相似,皆呈先上升后下降趋势。10倍和80倍浓度组GST活性在72 h都达到最大值,分别为(26.44±4.41)和(26.34±2.75) U/mg,均显著高于对照组(P < 0.05);1倍、20倍、40倍浓度组GST活性与对照组相比无显著差异(P>0.05),且分别在48、12和24 h达到最大值,酶活性分别为(20.95±5.91)、(20.02±4.77)和(24.97±15.08) U/mg。
|
图 3 涂料对大黄鱼肝脏中GST活性的影响 Fig. 3 Effect of coatings on GST activity in liver of L. crocea |
不同浓度涂料浸泡对大黄鱼肝脏POD酶活性的影响如图 4所示。随着浸泡时间的延长,10倍、20倍和40倍浓度组POD活性皆呈先上升后下降趋势,分别在48、12和72 h达到最高值,为(1 209.43±179.41)、(849.61±34.30)和(896.47±99.39) U/mg。1倍、10倍和40倍浓度组在96 h时POD活性恢复至正常水平,与对照组相比无显著差异(P>0.05),而20倍和80倍浓度组在96 h时POD活性分别为(312.29±9.85)和(462.44±27.42) U/mg,均显著低于对照组(P < 0.05)。1倍浓度组所有时间点的POD活性与对照组相比均无显著差异(P>0.05),而80倍浓度组POD活性除48 h外均显著低于对照组(P < 0.05)。
|
图 4 涂料对大黄鱼肝脏中POD活性的影响 Fig. 4 Effect of coatings on POD activity in liver of L. crocea |
不同浓度涂料浸泡对大黄鱼肝脏T-SOD酶活性的影响如图 5所示。随着浸泡时间的延长,10倍、20倍、40倍和80倍浓度组在96 h的T-SOD酶活性均显著低于对照组(P < 0.05),酶活性分别为(59.66±6.12)、(44.20±2.28)、(27.42±9.69)和(56.36±4.19)U/mg。1倍、10倍和20倍浓度组T-SOD酶活性变化趋势相似,其中10倍和20倍浓度组均在12 h时达到最大值,分别为(103.03±19.61)和(81.36±16.89)U/mg;40倍和80倍浓度组T-SOD酶活性变化趋势相似。1倍浓度组所有时间点的T-SOD酶活性与对照组相比均无显著差异(P>0.05)。
|
图 5 涂料对大黄鱼肝脏中T-SOD活性的影响 Fig. 5 Effect of coatings on T-SOD activity in liver of L. crocea |
不同浓度涂料浸泡对大黄鱼肝脏MDA含量的影响如图 6所示。随着浸泡时间的延长,10倍至80倍浓度组MDA含量均呈升高趋势,且在96 h时MDA含量均显著高于对照组(P < 0.05),10倍至80倍浓度组96 h时MDA含量分别为(25.76±1.95)、(21.30±4.25)、(25.58±0.96)和(27.31±4.12)nmol/mg。1倍浓度组所有时间点的MDA含量与对照组相比均无显著差异(P>0.05);40倍和80倍浓度组变化趋势相似,在24、48、72和96 h MDA含量逐渐上升且均显著高于对照组(P < 0.05)。
|
图 6 涂料对大黄鱼肝脏中MDA含量的影响 Fig. 6 Effect of coatings on MDA content in liver of L. crocea |
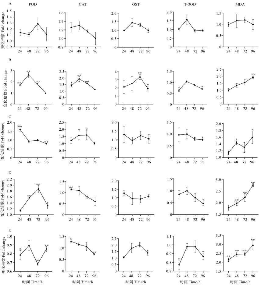
不同浓度涂料作用下4种抗氧化酶以及MDA在24、48、72和96 h的变化趋势如图 7所示。1倍浓度组的4种酶及MDA变化趋势均先升高后降低,于96 h恢复至正常水平,与对照组无显著差异(P>0.05),其中GST酶相对较敏感,于48 h时达到最大值,为对照组的1.56倍。10倍浓度涂料浸泡下除MDA含量逐渐升高外,其他4种抗氧化酶活性均先升高后降低,POD、SOD和CAT 3种酶均在48 h达到最高值,分别为对照组的2.62倍、1.04倍和1.94倍,其中POD酶较敏感,而GST酶活性在72 h达到最大值,为对照组的3.35倍,这说明GST酶存在一定的滞后性且在4种抗氧化酶中较为敏感。在高浓度处理组中,40倍和80倍浓度组的MDA含量和CAT酶变化趋势相反,即MDA含量逐渐上升而CAT活性逐渐下降。40倍浓度组GST活性在72 h时下降至最低,为对照组的0.92倍,而80倍浓度组GST活性在72 h时达到最大值,为对照组的1.99倍。有类似情况的还有POD活性,40倍浓度组POD活性在72 h时达到最大值,为对照组的1.87倍,而80倍浓度组POD活性在72 h下降至最低,为对照组的0.68倍。4种抗氧化酶整体趋势为先上升后下降,而MDA含量为逐渐升高趋势。
|
( A:1倍,B:10倍,C:20倍,D:40倍,E:80倍。A: 1-fold, B: 10-fold, C: 20-fold, D: 40-fold, E: 80-fold. ) 图 7 不同浓度涂料作用下4种抗氧化酶(POD、CAT、GST和T-SOD)以及MDA的变化趋势 Fig. 7 Trends of four antioxidant enzymes (POD、CAT、GST and T-SOD) as well as MDA under the effect of different concentrations of coatings |
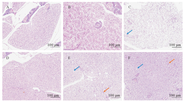
如图 8所示,对照组肝脏组织表现为正常的生理形态,肝细胞形态接近圆形,细胞核位于细胞中央,排列成清晰的双行板状结构,围绕中央静脉呈散射状分布。肝血窦由相邻的肝细胞索相互贯通构成网状结构,且未见明显扩张,亦无炎性细胞浸润(见图 8A、8D)。在1倍浓度暴露24 h后,肝脏组织的基本结构仍维持正常,肝细胞排列与对照组相似,肝板结构清晰(见图 8B);继续暴露至48 h,肝脏组织整体结构虽保持完整,但肝板结构略显混乱,肝细胞胞质变得疏松,相邻肝细胞索间形成的肝血窦排列紊乱,部分淤血扩张(橙色箭头)(见图 8E)。在80倍浓度下暴露24 h后,肝细胞排列虽仍维持双行板状结构,但肝细胞胞质明显疏松,肝板结构散射分布。肝血窦网状结构不规则,可见少量肝细胞脂肪变性(蓝色箭头所示)和少量空泡,但未见炎性细胞浸润(见图 8C)。在80倍浓度下暴露48 h后,肝脏组织损伤进一步加剧,肝细胞胞质疏松程度加重,并出现多量肝细胞脂肪变性(蓝色箭头所示),胞质内可见较多微小空泡,肝血窦淤血扩张现象增多(橙色箭头所示)(见图 8F)。
|
( A、D:对照组肝脏组织结构;B、E:1倍浓度组在24和48 h的肝脏组织结构;C、F:80倍浓度组在24和48 h的肝脏组织结构。蓝色箭头:肝细胞脂肪变性;橙色箭头:肝血窦淤血扩张。A、D: Liver tissue structures in the control group; B、E: Liver tissue structure at 24 and 48 h in the 1-fold concentration group; C、F: Liver tissue structure at 24 and 48 h in the 80-fold concentration group. Blue arrows: Hepatic steatosis; Orange arrows: Hepatic sinus congestion and dilation. ) 图 8 涂料对大黄鱼肝脏组织结构的影响 Fig. 8 Effect of coatings on liver tissue structures of L. crocea |
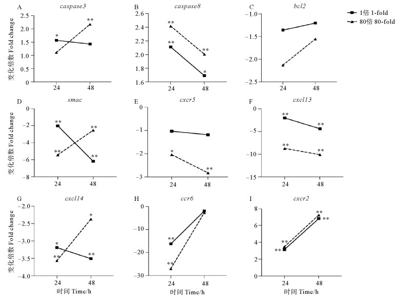
涂料对大黄鱼肝脏细胞凋亡、免疫相关基因表达的影响如图 9所示。caspase3 在1倍浓度下24和48 h表达量均上调,分别为对照组的1.57倍和1.43倍,在80倍浓度下24 h表达量为对照组的1.11倍,而48 h显著上调为对照组的2.18倍。caspase8的表达量在1倍浓度组的24和48 h表达量分别上调至对照组的2.11倍和1.69倍,在80倍浓度组的24和48 h表达量分别显著上调至对照组的2.42倍和2.01倍。bcl2表达量在所有时间点均下调,在1倍浓度组的24和48 h表达量分别为对照组的73.53%和83.33%,在80倍浓度组的24和48 h表达量分别为对照组的46.95%和64.52%。caspase3和caspase8在80倍浓度下48 h表达量均显著上调,bcl2 在1倍浓度和80倍浓度下24和48 h表达量均下调;smac在所有时间点均显著下调。趋化因子 cxcr5、cxcl13和cxcl14在80倍浓度下24和48 h均显著下调,其中 cxcl13在80倍浓度下24和48 h表达量分别为对照组的11.43%和9.89%。从趋化因子 cxcr2、cxcl13、cxcr5和ccr6的表达量变化来看,与1倍浓度相比80倍浓度下基因的差异表达倍数更大,其中 ccr6 在80倍浓度下24 h表达量显著下调为对照组的3.71%。在80倍浓度下免疫相关基因的差异表达比凋亡相关基因更显著,这说明80倍浓度涂料对大黄鱼的免疫系统的影响更显著。
|
( 倍数变化表示与对照组相比1倍和80倍浓度在24和48 h基因表达量的变化。A—I分别表示caspase3、caspase8、bcl2、smac、cxcr5、cxcl13、cxcl14、ccr6和cxcr2基因相对表达量变化。The fold change represents the change of gene expression at 24 and 48 h for 1-fold and 80-fold concentrations compared with the control group. A—I indicate changes in the relative expression of caspase3, caspase8, bcl2, smac, cxcr5, cxcl13, cxcl14, ccr6, cxcr2 , respectively. ) 图 9 涂料浸泡下大黄鱼肝脏中基因相对表达量变化 Fig. 9 Changes in the relative gene expression in the liver of L. crocea under coatings immersion |
抗氧化酶在清除活性氧、维持氧自由基代谢平衡、保护细胞免受氧化损伤等方面发挥着至关重要的作用。涂料浸泡造成的环境胁迫可能导致鱼类代谢紊乱和氧化压力增加。肝脏作为鱼类主要的代谢和氧化反应组织,其抗氧化酶活性能指示机体的抗氧化状态。T-SOD在保持内环境稳定以及增强免疫细胞的防御能力等方面发挥了重要的作用[29]。许多研究表明,当生物体受到轻微外界污染物胁迫时T-SOD活性往往升高,以减轻组织细胞过氧化性损伤,减少脂质过氧化物的形成,并加强分解体内过多的脂质过氧化物[30];而在重度外界污染物胁迫下,T-SOD活性通常降低,导致过量的ROS在生物体内积累,从而对生物体造成伤害[31]。T-SOD将超氧化物转化为过氧化氢和氧气,再经CAT、POD催化过氧化氢分解为水和氧气,从而清除自由基,减轻脂质过氧化损伤[32]。GST是生物解毒系统酶,对污染物在生物体内代谢起关键作用。当生物体暴露于污染物时,GST活性会因诱导而升高,可促进GSH与内源性或外源性污染物的亲电基团结合,形成硫醚氨酸并排出体外,从而实现解毒功能。GST还能与GPx协同作用,共同清除体内自由基,有利于生物体解毒[33]。GST活性的变化对肝脏的早期损伤诊断也有参考价值[34]。SOD、CAT、POD和GST等组成的抗氧化酶系统可以协同清除过多的ROS,使其浓度保持在正常的生理范围内,这对于细胞执行正常生理功能及适应各种生长环境至关重要。本研究中,1倍和10倍浓度组的T-SOD、CAT、POD和GST活性均随涂料浸泡时间的延长先上升后下降,这与华贵栉孔扇贝(Mimachlamys nobilis)[35]和钝吻黄盖鲽(Pleuronectes yokohama)幼鱼[36]的研究结果相似,说明大黄鱼机体内的抗氧化酶协同发挥作用将活性氧自由基逐步降解,在胁迫后期,较低的抗氧化酶活性也足以将自由基清除,其中1倍浓度组的抗氧化酶变化(见图 2—图 6)与对照组相比无显著差异(P>0.05),说明1倍浓度组对大黄鱼机体未造成损伤,但是随着涂料浸泡浓度的升高,抗氧化酶活性的变化发生了不同程度的波动。其中80倍浓度组的CAT活性(见图 2)在12 h达到最大值然后逐渐下降,在96 h时显著低于(P < 0.05)对照组,而80倍浓度组的T-SOD(见图 5)和POD(见图 4)活性在12和96 h均显著低于对照组(P < 0.05)。这说明80倍浓度涂料的浸泡对大黄鱼机体造成损伤,抗氧化酶系统无法及时清除体内积累的过量活性氧自由基,导致酶活性被抑制。MDA作为脂质过氧化产物,可以反映生物机体受氧化损伤的程度[37]。生物机体在正常状态下,MDA含量很低,本研究中1倍浓度组MDA含量(见图 7)随着时间延长呈先上升后下降趋势,说明涂料造成的环境刺激使鱼体代谢加快,脂质过氧化程度增加,经过体内抗氧化酶的调节从而使体内脂质过氧化程度降低;而10倍至80倍浓度组在96 h时MDA含量仍显著高于对照组(P < 0.05),这一现象与之前的研究相似[38-39],即大黄鱼受到涂料浸泡造成的胁迫增强,机体受到氧化损伤的程度逐渐增大。
肝脏是鱼类维持生命活动和物质代谢的重要组织,当肝脏受到损伤后会出现肝细胞空泡化、细胞破损、细胞边界模糊等现象[40]。不同强度的环境胁迫导致的肝脏损伤程度不同,以温度胁迫为例:许氏平鲉(Sebastes schlegelii)在5 ℃急性低温胁迫下肝脏组织损伤不明显,而在27 ℃急性高温胁迫时的肝脏损伤较明显,表现为细胞核溶解、肝细胞排列杂乱,较多肝细胞出现空泡化、细胞间界限杂乱模糊[41];类似地,在37 ℃急性高温胁迫下,大口黑鲈(Micropterus salmoi-des)的肝细胞也出现细胞核溶解、空泡化和细胞界限模糊的现象[42]。本研究也发现,随着涂料胁迫浓度和时间延长,80倍浓度处理组肝细胞出现明显损伤,较多细胞出现空泡化。已有研究表明,氧化应激可诱导细胞凋亡[43]。细胞凋亡是由基因控制、细胞自主的有序性死亡,又称为程序性细胞死亡(Programmed cell death),是真核细胞的一种特殊死亡形式[44]。凋亡基因如caspase3 [45]和caspase8 等在细胞凋亡中起调控作用,Caspase家族在细胞凋亡机制中居核心地位,是直接导致凋亡细胞解体的蛋白酶系统。Caspase3在正常条件下是以休眠的酶原形式存在,当受到凋亡信号刺激后可以裂解特异性的蛋白质底物,导致细胞凋亡,其活化标志着凋亡进入不可逆阶段[46-47]。本研究结果显示,48 h时1倍浓度组的caspase3和caspase8与80倍浓度组的caspase8 表达量均低于24 h时的表达量,而80倍浓度组中 caspase3在48 h的表达量高于24 h,说明涂料的浸泡在短时间内激活了凋亡相关基因的表达。Bcl2是Bcl2蛋白家族中主要的抑制凋亡蛋白的代表,可以抑制细胞发生凋亡提高细胞的存活率[48]。本研究中 bcl2 的表达变化呈现下调趋势,说明涂料的浸泡诱导细胞发生凋亡。趋化因子在免疫应答中发挥着重要的作用,根据其在免疫系统中不同表达水平和功能可分为动态型趋化因子(或结构性趋化因子)和炎症性趋化因子(或诱导型趋化因子)[49]。作为关键的免疫调节因子,趋化因子在先天免疫和适应性免疫之间起到桥梁作用[19, 50-51],它们不仅促进白细胞动员,调节这些细胞的免疫应答和分化[50],还具有直接的抗菌活性[52]。趋化因子除免疫功能外,还参与器官生成、生殖细胞迁移[53]、血管生成[54]、神经内分泌调节[55]和正常生长发育[56]。趋化因子与其相应受体的结合可以诱导细胞内钙内流和细胞骨架重排,促进整合素的激活,从而参与各种生理和病理过程,包括细胞生长和发育、组织损伤、炎症反应、血管生成和肿瘤发生[57],其中CXCL13对机体内环境稳定和炎症反应有重要的调节作用,CXCL13高表达可招募辅助性T淋巴细胞、B淋巴细胞、巨噬细胞等免疫细胞,产生效应T细胞、浆细胞和抗体从而增强机体免疫[58-59]。CCL25参与T细胞的发育和细胞迁移过程,能够促进炎症反应,对巨噬细胞、胸腺细胞和树突细胞具有趋化作用,从而在多种炎症性疾病中发挥作用[60]。运输胁迫对尖吻鲈(Lates calcarifer)[61]免疫相关的基因影响显示,il8、il10 的相对表达量随时间增加上调,tnf随时间增加其相对表达量下调。然而趋化因子在响应涂料胁迫的研究还处于空白阶段,关于趋化因子以及免疫系统对于涂料造成的环境胁迫的响应机制还需要进一步探讨。本实验中cxcl13和cxcl14 在所有时间点均显著下调,其中cxcl13 在1倍浓度下24和48 h的表达量分别显著下调为对照组的49.50%和22.68%,而在80倍浓度下24和48 h的表达量分别显著下调为对照组的11.43%和9.89%;ccr6 在1倍和80倍浓度下24 h表达量均显著下调为对照组的6.17%和3.71%,说明涂料浸泡短时间内激活了机体相关的免疫基因表达,以应对机体产生的危害。凋亡相关基因bcl2、caspase3和caspase8等可调控细胞增殖特性,而免疫相关基因cxcl13 等趋化因子可促进细胞增殖后转移,在涂料浸泡过程中对机体产生的危害可能起到协同的作用。然而,与1倍浓度涂料相比,在80倍浓度涂料刺激下基因的差异表达倍数更大,且免疫相关基因比细胞凋亡相关基因响应更强烈,说明高浓度涂料浸泡产生的有害物质对大黄鱼免疫系统的影响更显著。
4 结语为探讨大黄鱼对涂料造成的环境胁迫的响应及适应机制,本研究设定1倍、10倍、20倍、40倍和80倍5个涂料浓度处理组,选取12、24、48、72和96 h 5个时间点,检测水体中挥发酚的含量,测量大黄鱼肝脏组织中抗氧化酶活性及丙二醛(MDA)含量,同时观察肝脏组织病理切片并检测参与细胞凋亡和免疫响应过程相关基因的表达水平。结果显示,1倍浓度涂料挥发酚含量符合中国渔业标准规定(≤5 μg/L),而80倍浓度涂料中挥发酚含量较高。抗氧化酶测定结果显示,1倍浓度涂料未对大黄鱼机体造成损伤,随着涂料浓度的升高、胁迫强度增大,10倍涂料开始对大黄鱼肝脏抗氧化酶系统造成不同程度的损伤,引起机体抗氧化防御系统发生反应。通过观察肝脏的组织结构发现,肝脏在80倍浓度组中产生了较为明显的病理变化。参与细胞凋亡及免疫响应过程的某些基因, 如caspase3、caspase8和cxcl13表达差异显著, 以适应80倍浓度涂料胁迫下的应激反应。以上结果初步证明了大黄鱼在涂料胁迫下存在应激反应,且高浓度涂料对大黄鱼造成的应激损伤大于1倍浓度涂料。
| [1] |
徐乐俊, 赵蕾, 李雪, 等. 从中央一号文件看渔业强国建设基本思路——2023年中央一号文件解读兼谈渔业发展战略[J]. 中国渔业经济, 2023, 41(2): 1-13. Xu L J, Zhao L, Li X, et al. The basic thoughts of building a powerful fishery country from the perspective of No. 1 Central Document: Interpretation of the No. 1 Central Document for 2023 and the fishery development strategy[J]. Chinese Fisheries Econo-mics, 2023, 41(2): 1-13. ( 0) |
| [2] |
胡超凯, 胡鹏, 鲁孝, 等. 一型游弋式开式海水循环养殖工船设计[J]. 中国水运, 2024(4): 100-102. Hu C K, Hu P, Lu X, et al. Design of a cruise-type open sea water recycling aquaculture vessel[J]. China Water Transport, 2024(4): 100-102. ( 0) |
| [3] |
夏英凯, 朱明, 曾鑫, 等. 水产养殖水下机器人研究进展[J]. 华中农业大学学报, 2021, 40(3): 85-97. Xia Y K, Zhu M, Zeng X, et al. Progress of underwater robots for aquaculture[J]. Journal of Huazhong Agricultural University, 2021, 40(3): 85-97. ( 0) |
| [4] |
房熊, 徐志强. 深远海养殖工船的优势及创新技术[J]. 广东造船, 2023, 42(5): 49-52. Fang X, Xu Z Q. Advantages and innovative technology of far-reaching marine aquaculture ship[J]. Guangdong Shipbuilding, 2023, 42(5): 49-52. ( 0) |
| [5] |
张善贵, 邵亚诗, 郭常青, 等. 环境友好型深远海养殖舱涂料的研制与应用[J]. 中国涂料, 2022, 37(4): 42-48. Zhang S G, Shao Y S, Guo C Q, et al. Development andapplication of environmentally friendly deep-sea aquaculture tank coatings[J]. China Coatings, 2022, 37(4): 42-48. ( 0) |
| [6] |
严莎. 苯系物对我国典型鱼类和水生植物的毒害效应及其水质基准的研究[D]. 天津: 南开大学, 2012. Yan S. Toxicological Effects of BTEX to Aquatic Organisms and the Study of Water Quality Criteria in China[D]. Tianjin: Nankai University, 2012. ( 0) |
| [7] |
江慧琼, 刘雅婷, 陈清华. 超氧化物歧化酶的生理功能及其在动物生产中的应用前景[J]. 中国畜牧兽医, 2024, 51: 945-954. Jiang H Q, Liu Y T, Chen Q H. Physiological function of superoxide dismutase and its application prospect in animal production[J]. China Animal Husbandry and Veterinary Medicine, 2024, 51: 945-954. ( 0) |
| [8] |
张文翔, 王建平. 过氧化氢酶对肉鸡生产性能、抗氧化能力、盲肠微生物及代谢物的影响[J]. 中国畜牧兽医, 2024, 51: 1086-1093. Zhang W X, Wang J P. Effect ofcatalase on the production performance, antioxidant capacity, cecal microbe and metabolites in broilers[J]. China Animal Husbandry and Veterinary Medicine, 2024, 51: 1086-1093. ( 0) |
| [9] |
Shah N A, Sahreen S, Khan M R, et al. Effect of Carissa opaca leaves extract on lipid peroxidation, antioxidant activity and reproductive hormones in male rats[J]. Lipids in Health and Disease, 2013, 12(1): 90. DOI:10.1186/1476-511X-12-90 ( 0) |
| [10] |
Charan A A, Charan A I, Verma O P, et al. Profiling of antioxidant enzymes in cat fish (Clarias batrachus) exposed to phenolic compounds[J]. Asian Journal of Bio Science, 2015, 10(1): 6-14. DOI:10.15740/HAS/AJBS/10.1/6-14 ( 0) |
| [11] |
庞钦玮, 郭灵, 张学尧, 等. 梨小食心虫谷胱甘肽S-转移酶基因序列分析及其与吡虫啉的相关性[J]. 植物保护学报, 2023, 50(2): 459-467. Pang QW, Guo L, Zhang X Y, et al. Sequence analysis of the glutathione S-transferases gene of oriental fruit moth Grapholita molesta and its correlation with imidacloprid[J]. Journal of Plant Protection, 2023, 50(2): 459-467. ( 0) |
| [12] |
刘磊, 张静文, 张新玥. 牡荆苷调控Nrf2/ARE通路减轻急性脑缺血再灌注大鼠氧化应激反应研究[J]. 中草药, 2020, 51: 1287-1293. Liu L, Zhang J W, Zhang X Y. Effect of vitexin on Nrf2/ARE pathway in alleviating oxidative stress in rats with acute cerebral ischemia-reperfusion[J]. Chinese Traditional and Herbal Drugs, 2020, 51: 1287-1293. ( 0) |
| [13] |
冉凤霞, 金文杰, 黄屾, 等. 盐度变化对鱼类影响的研究进展[J]. 西北农林科技大学学报(自然科学版), 2020, 48(8): 10-18. Ran F X, Jin W J, Huang S, et al. Research progress on the effects of salinity change on fish[J]. Journal of Northwest Agriculture and Forestry University (Natural Science Edition), 2020, 48(8): 10-18. ( 0) |
| [14] |
何亮银, 史晓丽, 周逢芳, 等. 低盐胁迫对大黄鱼非特异性免疫酶活性的影响[J]. 应用海洋学学报, 2022, 41(2): 347-354. He L Y, Shi X L, Zhou FF, et al. Effect of low salinity stress on non-specific immunity enzymetic activity of Larimichthys crocea[J]. Journal of Applied Oceanography, 2022, 41(2): 347-354. ( 0) |
| [15] |
林海霞, 王湘文, 孙省利. 声刺激对斜带石斑鱼血清酶活性及肝组织HSP70表达量、病理变化的影响[J]. 大连海洋大学学报, 2019, 34(3): 331-337. Lin H X, Wang X W, Sun X L. Effects of acoustic stimulation on serum several enzyme activities, expression level of HSP70 in liver and pathological changes of grouper Epinephelus coioides[J]. Journal of Dalian Ocean University, 2019, 34(3): 331-337. ( 0) |
| [16] |
吕娜娜, 王建福, 郸彩霞, 等. IHNV攻毒后两种倍性虹鳟鱼种肝脏酶活性及免疫相关基因表达差异[J/OL]. 甘肃农业大学学报, (2024-04-28)[2024-07-15]. https://link.cnki.net/urlid/62.1055.s.20240428.0904.004. Lv N N, Wang J F, Dan C X, et al. Differences in liver enzyme activities and immune-related gene expression between the two ploidy rainbow trout (Oncorhynchus mykiss) species after IHNV challenge[J/OL]. Journal of Gansu Agricultural University, (2024-04-28)[2024-07-15]. https://link.cnki.net/urlid/62.1055.s.20240428.0904.004. ( 0) |
| [17] |
余秋果. 铜、镉及其联合暴露对稀有鮈鲫氧化应激和细胞凋亡的影响[D]. 杨凌: 西北农林科技大学, 2017. Yu Q G. Effects of Individual and Co-Exposure of Copper and Cadmium on Oxidative Stress and Apoptosis in Rare Minnow Gobiocypris rarus[D]. Yangling: Northwest A & F University, 2017. ( 0) |
| [18] |
李宏, 陈菁, 李丹, 等. 异嗪皮啶对人乳腺癌干细胞凋亡相关基因Bcl-2与Caspase家族表达的影响[J]. 中国临床药理学与治疗学, 2018, 23: 886-892. Li H, Chen J, Li D, et al. Inhibition ofisofraxidin from sarcandra glabra on the breast cancer stem cells via Bcl-2 and Caspase signaling pathway[J]. Chinese Journal of Clinical Pharmacology and Therapeutics, 2018, 23: 886-892. ( 0) |
| [19] |
Zlotnik A, Yoshie O. Chemokines: A new classification system and their role in immunity[J]. Immunity, 2000, 12(2): 121-127. DOI:10.1016/S1074-7613(00)80165-X ( 0) |
| [20] |
Nomiyama H, Hieshima K, Osada N, et al. Extensive expansion and diversification of the chemokine gene family in zebrafish: Identification of a novel chemokine subfamily CX[J]. BMC Genomics, 2008, 9: 222. DOI:10.1186/1471-2164-9-222 ( 0) |
| [21] |
Peatman E, Liu Z. Evolution of CC chemokines in teleost fish: A case study in gene duplication and implications for immune diversity[J]. Immunogenetics, 2007, 59(8): 613-623. DOI:10.1007/s00251-007-0228-4 ( 0) |
| [22] |
Fu Q, Yang Y, Li C, et al. The chemokinome superfamily: Ⅱ. The 64 CC chemokines in channel catfish and their involvement in disease and hypoxia responses[J]. Developmental and Comparative Immunology, 2017, 73: 97-108. DOI:10.1016/j.dci.2017.03.012 ( 0) |
| [23] |
Fu Q, Yang Y, Li C, et al. The CC and CXC chemokine receptors in channel catfish (Ictalurus punctatus) and their involvement in disease and hypoxia responses[J]. Developmental and Comparative Immunology, 2017, 77: 241-251. DOI:10.1016/j.dci.2017.08.012 ( 0) |
| [24] |
王桢. 刺激隐核虫感染养殖大黄鱼的LAMP检测与分析[D]. 宁波: 宁波大学, 2014. Wang Z. Cryptocaryon irritans Infection LAMP Detection and Analysis of Pseudosciaena crocea[D]. Ningbo: Ningbo University, 2014. ( 0) |
| [25] |
米娜莎, 曹立民, 林洪. 养殖海水鱼质量安全风险研究[J]. 中国渔业质量与标准, 2020, 10(2): 1-12. Mi N S, Cao L M, Lin H. Study on the quality and safety risks of aquaculture fish[J]. Chinese Fishery Quality and Standards, 2020, 10(2): 1-12. ( 0) |
| [26] |
杨卫, 周丹丹. 我国大黄鱼产业的集聚水平研究[J]. 海洋开发与管理, 2022, 39(10): 26-33. Yang W, Zhuo D D. The level of industrial agglomeration of large yellow croaker in China[J]. Ocean Development and Management, 2022, 39(10): 26-33. ( 0) |
| [27] |
Chen S, Zhou Y, Chen Y, et al. Fastp: An ultra-fast all-in-one FASTQ preprocessor[J]. Bioinformatics, 2018, 34(17): 884-890. DOI:10.1093/bioinformatics/bty560 ( 0) |
| [28] |
Chen B, Zhou Z, Ke Q, et al. The sequencing and de novo assembly of the Larimichthys crocea genome using PacBio and Hi-C technologies[J]. Scientific Data, 2019, 6(1): 188. DOI:10.1038/s41597-019-0194-3 ( 0) |
| [29] |
Indranil C, Sanjoy K, Mousumi B, et al. Evaluation of serum zinc level and plasma SOD activity in senile cataract patients under oxidative stress[J]. Indian Journal of Clinical Biochemistry: IJCB, 2007, 22(2): 109-113. DOI:10.1007/BF02913326 ( 0) |
| [30] |
石洪玥, 姜志强, 高小强, 等. 苯酚对红鳍东方鲀幼鱼的急性毒性及对肝脏抗氧化酶的影响[J]. 吉林农业大学学报, 2012, 34(6): 682-687+704. Shi H Y, Jiang Z Q, Gao X Q, et al. Effects ofphenol on hepatic antioxidant enzymes and acute toxicity in juvenile Takifugu rubripes[J]. Journal of Jilin Agricultural University, 2012, 34(6): 682-687+704. ( 0) |
| [31] |
Roche H, Bogé G. In vivo effects of phenolic compounds on blood parameters of a marine fish (Dicentrarchus labrax)[J]. Comparative Biochemistry and Physiology Toxicology & Pharmacology: CBP, 2000, 125(3): 345-353. ( 0) |
| [32] |
翟书华, 傅洪拓, 乔慧, 等. 高温胁迫对日本沼虾热休克蛋白基因的表达、抗氧化酶活性及组织结构的影响[J]. 中国水产科学, 2022, 29(5): 684-695. Zhai S H, Fu H T, Qiao H, et al. Effects of high temperature on heat shock proteins, antioxidant enzyme activity, and histology of oriental river prawn Macrobrachium nipponense[J]. Journal of Fishery Sciences of China, 2022, 29(5): 684-695. ( 0) |
| [33] |
Yining C, Enguang L, Caijuan L, et al. Effects of heat stress on histopathology, antioxidant enzymes, and transcriptomic profiles in gills of pikeperch Sander lucioperca[J]. Aquaculture, 2021, 534: 736277. DOI:10.1016/j.aquaculture.2020.736277 ( 0) |
| [34] |
田鑫. 邻苯二甲酸二丁酯、苯酚及苯并(a)芘暴露对斑马鱼抗氧化系统的影响研究[D]. 沈阳: 沈阳农业大学, 2017. Tian X. Influence of DBP, Phenol and BaP on Zebrafish Antioxidant System[D]. Shenyang: Shenyang Agnicultural University, 2017. ( 0) |
| [35] |
林岗, 饶小珍, 吴静, 等. 低盐胁迫对华贵栉孔扇贝抗氧化酶、Na+/K+-ATPase活力的影响[J]. 福建师范大学学报(自然科学版), 2018, 34: 71-78. Lin G, Rao X Z, Wu J. Effects oflow-salinity stress on antioxidant enzymes and Na+/K+-ATPase activities of Mimachlamys nobilis[J]. Journal of Fujian Normal University (Natural Science Edition), 2018, 34: 71-78. ( 0) |
| [36] |
崔前进, 陈冰, 邱丽华, 等. 低盐胁迫对钝吻黄盖鲽幼鱼鳃Na+/K+-ATP酶, 肝脏抗氧化酶和非特异免疫酶的影响[J]. 广东海洋大学学报, 2017, 37(6): 26-32. Cui Q J, Chen B, Qiu L h, et al. Influence of low salinity stress on the gill Na+/K+-ATPase, liver antioxidase and non-specific immune enzyme in juvenile Pleuronectes yokohama[J]. Journal of Guangdong Ocean University, 2017, 37(6): 26-32. ( 0) |
| [37] |
王奇, 范灿鹏, 陈锟慈, 等. 三种磺胺类药物对罗非鱼肝脏组织中谷胱甘肽转移酶(GST)和丙二醛(MDA)的影响[J]. 生态环境学报, 2010, 19(5): 1014-1019. Wang Q, Fan C P, Chen K C, et al. Effects of three typical sulfonamides on GST activity and MDA content in liver tissue of Oreochromis niloticus[J]. Ecology and Environmental Sciences, 2010, 19(5): 1014-1019. ( 0) |
| [38] |
孙雪娜, 冯广朋, 刘鉴毅, 等. 盐度对金钱鱼幼鱼存活, 生长和抗氧化系统的影响[J]. 上海海洋大学学报, 2022, 31(1): 161-169. Sun X N, Feng G P, Liu J Y, et al. Effects of salinity on survival, growth and antioxidant defense system of Scatophagus argus[J]. Journal of Shanghai Ocean University, 2022, 31(1): 161-169. ( 0) |
| [39] |
张琴星, 张涛, 侯俊利, 等. 盐度变化对多多鳞四指马幼鱼鳃丝NA+/K+-ATP酶及肝脏抗氧化酶活性的影响[J]. 海洋渔业, 2013, 35(3): 324-330. Zhang Q X, Zhang T, Hou J L, et al. Effects of salinity on activities of gill Na+/K+-ATPase and liver antioxidase in juvenile Eleutheronema rhadinum[J]. Marine Fisheries, 2013, 35(3): 324-330. ( 0) |
| [40] |
王晓光. 溴氰菊酯对斑马鱼鳃, 肝脏的影响[D]. 济南: 山东师范大学, 2015. Wang X G. Effect of Deltamethrin on Gills and Livers in Danio rerio[D]. Jinan: Shandong Normal University, 2015. ( 0) |
| [41] |
张思敏, 李吉方, 温海深, 等. 急性温度胁迫对许氏平鲉肝脏代谢机能和血液指标的影响及生理机制[J]. 中国海洋大学学报(自然科学版), 2018, 48(5): 32-38. Zhang S M, Li J F, Wen H S, et al. Effect of acute temperature stress on liver metabolism of black rockfish Sebastes schlegelii and associating physiological mechanism[J]. Periodical of Ocean University of China, 2018, 48(5): 32-38. DOI:10.16441/j.cnki.hdxb.20170224 ( 0) |
| [42] |
陆健, 张佳佳, 周国勤, 等. 急性高温胁迫对大口黑鲈"优鲈3号"组织损伤及HSPs基因表达的影响[J]. 水产科学, 2021, 40(4): 508-515. Lu J, Zhang JJ, Zhou G Q, et al. Effect of acute high temperature stress on tissue damage and HSPs gene expression of largemouth bass Micropterus salmoides "Youlu No.3"[J]. Fisheries Science, 2021, 40(4): 508-515. ( 0) |
| [43] |
Coimbra-Costa D, Alva N, Duran M, et al. Oxidative stress and apoptosis after acute respiratory hypoxia and reoxygenation in rat brain[J]. Redox Biology, 2017, 12: 216-225. DOI:10.1016/j.redox.2017.02.014 ( 0) |
| [44] |
管强东, 杨健, 刘艳青, 等. Annexin V/PI法流式细胞术检测细胞凋亡的影响因素[J]. 生物技术, 2022, 32(6): 710-714. Guan Q D, Yang J, Liu Y Q, et al. Factors influencing detection of apoptosis by flow cytometry using Annexin V/PI staining[J]. Biotechnology, 2022, 32(6): 710-714. ( 0) |
| [45] |
Chu P, Luo S, Wang H Y, et al. Interactive effects of temperature and salinity on the apoptosis, antioxidant enzymes, and MAPK signaling pathway of juvenile pufferfish (Takifugu fasciatus)[J]. Aquaculture Reports, 2023, 29: 101483. DOI:10.1016/j.aqrep.2023.101483 ( 0) |
| [46] |
张碧云. 温度胁迫对贻贝的影响: 血细胞变化以及Caspase 3/7和p38-MAPK的反应[D]. 厦门: 集美大学, 2018. Zhang B Y. The Impact of Thermal Stress on Mussels, the Response of Hemocytes, Caspase 3/7 and p38-MAPK[D]. Xiamen: Jimei University, 2018. ( 0) |
| [47] |
苏胜有. Caspase家族与神经细胞凋亡的研究进展[J]. 世界最新医学信息文摘, 2019, 19(80): 76-77. Su S Y. Advances in the study of the Caspase family and apoptosis in neuronal cells[J]. World Latest Medicine Information, 2019, 19(80): 76-77. ( 0) |
| [48] |
童娜. 热应激对草鱼肾细胞凋亡的影响[D]. 武汉: 华中农业大学, 2014. Tong N. Apoptosis Events During Thermal Stress in Kidney Cell in vitro of Grass Carp (Ctenopharyngodon idellus)[D]. Wuhan: Huazhong Agricultural University, 2014. ( 0) |
| [49] |
Moser B, Wolf M, Walz A, et al. Chemokines: Multiple levels of leukocyte migration control[J]. Trends in Immunology, 2004, 25(2): 75-84. DOI:10.1016/j.it.2003.12.005 ( 0) |
| [50] |
Alejo A, Tafalla C. Chemokines in teleost fish species[J]. Developmental and Comparative Immunology, 2011, 35(12): 1215-1222. DOI:10.1016/j.dci.2011.03.011 ( 0) |
| [51] |
Raman D, Sobolik-Delmaire T, Richmond A. Chemokines in health and disease[J]. Experimental Cell Research, 2011, 317(5): 575-589. DOI:10.1016/j.yexcr.2011.01.005 ( 0) |
| [52] |
Wang J, Meng Z, Wang G, et al. A CCL25 chemokine functions as a chemoattractant and an immunomodulator in black rockfish, Sebastes schlegelii[J]. Fish Shellfish Immunol, 2020, 100: 161-170. DOI:10.1016/j.fsi.2020.02.063 ( 0) |
| [53] |
Knaut H, Werz C, Geisler R, et al. A zebrafish homologue of the chemokine receptor Cxcr4 is a germ-cell guidance receptor[J]. Nature, 2003, 421(6920): 279-282. DOI:10.1038/nature01338 ( 0) |
| [54] |
Keane M P, Arenberg D A, Moore B B, et al. CXC chemokines and angiogenesis/angiostasis[J]. Proceedings of the Association of American Physicians, 1998, 110(4): 288-296. ( 0) |
| [55] |
Pijanowski L, Verburg-van Kemenade B M L, Chadzinska M. A role for CXC chemokines and their receptors in stress axis regulation of common carp[J]. General and Comparative Endocrinology, 2019, 280: 194-199. DOI:10.1016/j.ygcen.2019.05.004 ( 0) |
| [56] |
Zhou T, Li N, Jin Y, et al. Chemokine C-C motif ligand 33 is a key regulator of teleost fish barbel development[J]. Proceedings of the National Academy of Sciences of the United States of America, 2018, 115(22): 5018-5027. ( 0) |
| [57] |
Nagarsheth N, Wicha M S, Zou W. Chemokines in the cancer microenvironment and their relevance in cancer immunotherapy[J]. Nature Reviews Immunology, 2017, 17(9): 559-572. DOI:10.1038/nri.2017.49 ( 0) |
| [58] |
王洋, 刘伟, 韩晓东, 等. 乳腺癌患者病理特征与Bcl-2、CXCL13、PAX8表达情况的关系分析[J]. 检验医学与临床, 2024, 21(10): 1431-1435. Wang Y, Liu W, Han X D, et al. Analysis of relationship between pathological features and expression of Bcl-2, CXCL13 and PAX8 in patients with breast cancer[J]. Laboratory Medicine and Clinic, 2024, 21(10): 1431-1435. ( 0) |
| [59] |
姜玉, 王珂, 张瑞, 等. CXCL13联合VEGFA过表达抑制荷黑素瘤和结肠癌小鼠的肿瘤生长[J]. 细胞与分子免疫学杂志, 2023, 39(5): 429-434. Jiang Y, Wang K, Zhang R, et al. CXCL13 combined with VEGFA overexpression inhibits tumor growth in hormonal melanoma and colon cancer mice[J]. Chinese Journal of Cellular and Mole-cular Immunology, 2023, 39(5): 429-434. ( 0) |
| [60] |
Svensson M, Marsal J, Ericsson A, et al. CCL25 mediates the localization of recently activated CD8 alphabeta(+) lymphocytes to the small-intestinal mucosa[J]. The Journal of Clinical Investigation, 2002, 110(8): 1113-1121. DOI:10.1172/JCI0215988 ( 0) |
| [61] |
左涛. 运输胁迫对尖吻鲈免疫影响研究[D]. 天津: 天津农学院, 2020. Zuo T. Study on the Effects of Transport Stress on the Immunity of Lates calcarifer[D]. Tianjin: Tianjin Agricultural University, 2020. ( 0) |
2. School of Marine Science and Engineering, Qingdao Agricultural University, Qingdao 266237, China
2025, Vol. 55



0)