2. 暨南大学质谱仪器与大气环境研究所,广东 广州 510632;
3. 香港科技大学环境学部, 香港 999077
硫酸盐作为细颗粒物(PM2.5)污染的重要组分[1],引发了颗粒物污染、酸雨以及气候变化等各种环境问题,并危害人体健康[2-3]。硫酸盐是典型的散射型气溶胶,并且具有较强的吸湿性,在潮湿的环境中极易吸湿增长,促进颗粒物水含量的增加,从而促进液相反应/非均相反应的发生,进而加速颗粒物的二次生成,并造成空气质量的进一步恶化[4]。中国近年实施的大气污染治理措施已取得显著成效,PM2.5、二氧化硫(SO2)和硫酸盐浓度逐年下降[5-6],但硫酸盐在PM2.5中的占比变化呈现南北差异,在北方城市有所下降[6],香港却保持稳定[5]。鉴于很多颗粒物爆发性增长的事件模式模拟对硫酸盐有明显的低估[7],最近的研究提出了硫酸盐新的形成机制,如黑碳(black carbon, BC)参与的光化学氧化[8]、过渡金属离子如Fe(Ⅱ)和Mn(Ⅱ)的催化[9]以及气溶胶水中的NO2反应途径[10]和硝酸铵吸收动力学机制[11]等。然而,由于相关反应速率和对气溶胶水pH值估计(大多数反应途径都依赖于pH值)的不确定[12-16],各路径对硫酸盐生成的相对贡献难以准确评估。因此,解决硫酸盐低估的问题仍具有挑战性和争议性。研究表明,大气气溶胶中广泛存在有机硫化合物(organosulfur compounds, OS)[17-19],OS在之前的测量中可能被误认为是无机硫酸盐[20],从而导致观测偏差。因此,羟甲基磺酸盐(Hydroxymethanesulfonate, HMS)等OS也引发广泛关注[20]。
HMS最初在云雾水中被发现[21],它是通过甲醛(HCHO)与SO2发生水相反应而生成的,可通过与OH自由基的反应而分解[22-26]。与SO2不同,HMS在液相中不能与O3或H2O2迅速反应,早期研究一度认为其可能会减缓SO2向硫酸盐的转化[27]。然而近些年研究发现,HMS在传统的离子色谱(ion chromatography, IC)分析中同硫酸盐同时出峰,导致硫酸盐浓度被高估[20]。另一方面,最近的实验室模拟表明,颗粒相HMS可被气态OH自由基非均相氧化生成硫酸盐[28];在颗粒液相水中,由于较强的离子浓度,HCHO和SO2的反应速率比以往研究认知的高2~3个数量级[29]。此外还有研究发现,HMS能够同铁(Fe)形成络合物,可能会加速硫酸盐的生成[30]。因此HMS的存在究竟会促进还是抑制硫酸盐的生成是个值得探讨的问题,这一问题引起了科学界对HMS的进一步关注。
以往研究通过多种分析技术,在全球多区域检测到HMS,检测手段包括毛细管电泳(capillary electrophoresis)[31]、IC[32]、傅里叶变换红外光谱(fourier-transform infrared)[33]、核磁共振光谱(proton NMR)[34]、各种质谱分析技术[32, 35-38],以及过渡金属锚定富勒烯纳米团簇(transition metal-anchored fullerene nanoclusters)[39]。北极油田区域雾事件中浓度最低(0.000 3~0.001 6 μg/m3)[32],阿拉斯加费尔班克斯地区2020—2021年冬季平均浓度分别为0.29和0.34 μg/m3[40],新加坡达0.50 μg/m3[41]。欧美地区普遍低于0.1 μg/m3,德国9个站点平均0.031 5 μg/m3[31],美国新墨西哥州夏季最高0.006 5 μg/m3,西雅图春季约0.03 μg/m3[42]。相比之下,中国北方冬季HMS污染呈现数量级升高。石家庄平均浓度达2.5 μg/m3[41],北京地区尤为严重,2015—2016年冬季平均浓度分别为4和7 μg/m3,对硫酸盐的贡献率分别为9%和19%[43]。模型模拟进一步证实,HMS在全球范围内广泛存在,在中国尤为普遍[41, 44]。
目前中国的相关研究多集中于北方内陆地区,沿海地区因海洋天然硫源的贡献、相对潮湿的气候特征、频繁出现的海雾现象以及较高的气溶胶酸度等,大气条件与内陆地区存在差异,HMS污染特征和形成机制可能不同。香港作为典型沿海城市,受季风及跨境污染传输影响,其HMS污染特征尚不明确。本研究利用单颗粒气溶胶质谱仪(single particle aerosol mass spectrometry, SPAMS)对香港冬、春、夏三季的数据进行了深入分析,旨在从污染的化学来源和气团传输的角度探讨气溶胶中HMS季节变化和影响因素,研究结果将进一步理解沿海与内陆地区HMS污染水平和成因差异。
1 数据和方法 1.1 现场观测本研究于2013年1月8日—8月20日在香港科技大学的空气质量研究超级站点(air quality research supersite, AQRS,22°332′N, 114°267′E)开展了近8个月的野外观测,对气溶胶、气态污染物和气象数据进行了测量。这一采样地点的高度为距离地面约20 m,距离海平面约65 m,距离海岸线约30 m的位置[45]。由于该地点位于沿海区域,并且处于珠江三角洲的下风向,因此其污染水平相对较低,主要受到上风向排放的影响。
通过使用单颗粒气溶胶质谱仪(SPAMS,广州禾信分析仪器有限公司)[46],本研究共检测到6 530 273个具有正负离子谱的单颗粒,这些颗粒在本研究中被称为“Mass颗粒”。PM2.5质量浓度由SHARP 5030监测仪(Thermo Scientific Inc., MA, USA)测量,气溶胶的可溶性组分(SO42-、NO3-、NH4+、Ca2+、Mg2+、Cl-和Na+)则使用在线全自动半连续测量气体组分及气溶胶监测系统(monitor for aerosols and gases,瑞士万通中国有限公司)进行了分析与检测,气态污染物SO2的监测数据来自位于塔门的空气质量监测站(www.epd.gov.hk/epd/sc_chi/environmentinhk/air/data/air_data.html)。HCHO数据来自开源的化学再分析产品[47]。与此同时,气象参数,包括温度、相对湿度以及能见度等数据也在AQRS站点进行了持续的测量,为综合分析提供了气象背景数据。本研究中所有测量数据的时间分辨率均为1 h。
1.2 HMS的识别和分类本研究采用基于MATLAB平台的YAADA工具包[48]对颗粒物的粒径分布和质谱特征进行深度解析。针对含HMS颗粒的识别,设定m/z-111绝对峰面积大于50作为筛选条件,共检测到76 515个含HMS颗粒,占总Mass颗粒物的1%。同时,采用了自适应共振理论神经网络算法(a neural network algorithm based on the adaptive resonance theory, Art-2a),以将数据分组为具有相似质谱特征的颗粒类别(警戒因子0.70,学习速率0.05,最大迭代次数20)。
1.3 后向轨迹分析为进一步研究污染过程及其来源,本次研究使用了由美国国家海洋和大气管理局(National Oceanic and Atmospheric Administration)的空气资源实验室(Air Resources Laboratory, ARL)开发的拉格朗日模式单粒子轨迹模型(hybrid single-particle Lagrangian integrated trajectory model, HYSPLIT)进行污染来源的解析,通过计算后向轨迹得到指定受体点的气团来源和气团轨迹。轨迹模型采用了美国国家环境预报中心(National Centers for Environmental Prediction)再分析数据的全球资料同化系统(global data assimilation system)气象场资料,计算了观测期间每小时的72 h后向气流轨迹,受体点高度选取300 m。
在轨迹聚类分析中,本研究基于气压、经度、纬度数据,使用统计软件(statistical package for the social sciences,SPSS v21),通过Ward最小方差法进行系统聚类,最终得出了7类主要传输路径(见图 1(a)),分别为:长江三角洲(N1,15%)、蒙古高原(N2,1%)、黄海及东部沿海地区(N3,16%)、台湾岛以东海域(N4,22%)、局部地区(N5,21%)、南海(N6,20%)和中南半岛(N7,5%),各类轨迹的季节占比如图 1(b)所示。在本研究中将时间段基于气象条件划分为冬季(1月8日—3月15日)、春季(3月16日—5月15日)和夏季(5月16日—8月20日)[49]。
|
图 1 聚类分析获取的7个不同类别的平均72 h后向气流轨迹及其季节变化 Fig. 1 Mean 72-hour backward trajectories and their seasonal variations for seven different categories obtained by cluster analysis |
本研究共识别出76 515个含HMS颗粒,可细分为9种不同类型(见表 1),其中,生物质燃烧相关颗粒(HMS-K)以82%的占比成为主导类型,包括K_ECOC_S (47%)、K_S_N(25%)、K_N(5%)和K_Na_N_S(5%)[50]。HMS-重金属相关颗粒,包括来自工业排放的Fe_rich(10%)和Pb_rich(5%)[51-52]以及船舶重油燃烧排放的V_rich(1%)[53-54]。此外,还有其他类型的含HMS颗粒,包括来自沙尘源的K_Ca_S_N(1%)[55]和烟花爆竹燃放相关的Al_K_S_N(1%)[56-57]。
|
|
表 1 含HMS颗粒Art-2a分类结果 Table 1 Classification results of the HMS-containing particles by Art-2a |
图 2展示了9类颗粒物的平均质谱图,其小时浓度的月变化如图 3所示。从图 2(a)—2(d)可以发现,K_ECOC_S、K_S_N、K_N和K_Na_N_S颗粒物的平均质谱图均呈现显著的39[K]+生物质燃烧的特征峰,且其小时个数在1—8月呈持续下降趋势(见图 3),这与生物质燃烧活动的季节性特征高度吻合。其中K_ECOC_S同时检测到12n[Cn]+、27[C2H3]+、37[C3H]+和39[C3H3]+等EC和OC特征碎片,而K_Na_N_S中23[Na]+的强信号则表明可能存在生物质燃烧与海盐的混合现象。4类颗粒在负质谱中的差异可能反映了不同的污染过程或大气老化环境:K_ECOC_S以硫酸盐(97[HSO4]-)为主;K_S_N的负质谱则同时包含硫酸盐(97[HSO4]-)和硝酸盐(46[NO2]-, 62[NO3]-);K_N以硝酸盐为主;K_Na_N_S呈现硝酸盐与硫酸盐复合特征。
|
( 括号中展示的是各类颗粒在含HMS颗粒中的个数占比。The proportion of the particle to total number of HMS-containing particles is shown in parentheses. (a) K_ECOC_S,(b) K_S_N,(c) K_N,(d) K_Na_N_S,(e) K_Ca_S_N,(f) Al_K_S_N,(g) Fe_rich,(h) Pb_rich和(i) V_rich. ) 图 2 利用Art-a分析方法获取的9类含HMS颗粒物的平均质谱图 Fig. 2 Average single particle mass spectra of nine types of HMS-containing particles obtained by using Art-2a analysis method |
|
图 3 9类含HMS颗粒物小时个数浓度的平均月份和季节变化 Fig. 3 Monthly and seasonal variations in the hourly number of nine types of HMS containing particles |
对K_Ca_S_N颗粒的质谱特征分析显示(见图 2(e)),其正质谱中,39[K]+和地壳元素40[Ca]+、56[CaO]+信号显著,负离子质谱中除硫酸盐(97[HSO4]-)和硝酸盐(46[NO2]-、62[NO3]-)外,还检测到60[SiO2]-和72[SiO3]-等硅酸盐特征峰。该类颗粒物丰度在1—2月大风频发时段呈现显著峰值(见图 3(a)),鉴于观测期间无典型沙尘天气记录,结合其元素特征推测其可能来源于局地扬尘[55]。Al_K_S_N颗粒的质谱特征(见图 2)表现出27[Al]+、39[K]+、24[Mg]+及硫酸盐(97[HSO4]-)和硝酸盐(46[NO2]-, 62[NO3]-)信号峰。该类颗粒物在春节(2月10日)前后呈现爆发式增长(见图 3),证实了节日烟花燃放活动对其贡献的主导作用[57-58]。
HMS-重金属相关颗粒(Fe_rich、Pb_rich、V_rich)的正质谱分别以各自的金属离子(56[Fe]+、208[Pb]+和51[V]+)信号为主(见图 2(g)—2(i))。Fe_rich和Pb_rich颗粒物的质谱图伴随较丰富的硫酸盐(97[HSO4]-)和硝酸盐(46[NO2]-、62[NO3]-)信号,二者在1—4月份的高丰度与陆地工业污染物的传输过程相符[51-52],较高的硫酸盐和硝酸盐信号也表明可能是经历了大气的老化过程。相较之下,V_rich的51[V]+特征及其7、8月份浓度峰值(见图 3),与夏季风增强导致的船舶排放输送加强直接相关[53-54]。
2.2 含HMS颗粒来源的季节变化本研究冬、春、夏三季的观测结果显示,含HMS颗粒占总Mass颗粒数的1%,显著低于北京冬季雾霾期间观测的约10%的污染水平[7, 43]。值得注意的是,尽管整体占比偏低,研究期间仍观测到单小时最高占比达18%的高污染事件,表明存在高强度污染过程。香港冬季SO2与HCHO体积混合比分别为(2.97±1.73)×10-9和(2.14±1.05)×10-9 μg/m3,整体低于北京冬季。北京冬季SO2在清洁期、污染期及重污染期分别达到4×10-9、9×10-9和1.2×10-8 μg/m3,而HCHO浓度分别为4×10-9、1.4×10-8和2×10-8 μg/m3[43, 59]。前体物浓度偏低可能是本研究HMS整体丰度较低的主因,但较高的HMS丰度事件在不同季节均被观测到,值得深入探讨与研究。
如图 4(a)所示,生物质燃烧相关颗粒(K_ECOC_S、K_S_N、K_N和K_Na_N_S)占据主导地位,其平均占比高达82%。其中与生物质燃烧相关的硫酸盐颗粒物(K_ECOC_S)占比47%,显著高于其他几类;而硝酸盐颗粒物(K_S_N和K_N)的季节特征显著,在冬春季的贡献分别为31%和28%,而夏季降至20%。这一变化与硫酸盐和硝酸盐的季节变化变化趋势一致(见图 4(b))。以往的研究表明, 香港的生物质燃烧主要来自区域输送,东南亚影响最大,东北亚和非洲也有贡献[60]。硝酸盐颗粒物的季节变化与夏季的高温有关,硝酸盐颗粒物在高温下容易以HNO3的形式挥发,导致其颗粒相浓度下降[61-62]。
|
图 4 (a) 9类含HMS颗粒物的数量占比和含HMS颗粒物小时个数浓度的平均月份和季节变化及(b)PM2.5及其水溶性离子(SO42-、NO3-、NH4+、Ca2+、Mg2+、Cl-和Na+)质量浓度的平均月份和季节变化 Fig. 4 (a) Monthly and seasonal variations in the number fraction of nine types of HMS-containing particles, the average hourly number of HMS-containing particles and (b) monthly and seasonal variations in mass concentrations of PM2.5 and its water-soluble ions (SO42-, NO3-, NH4+, Ca2+, Mg2+, Cl-, and Na+) |
工业排放源颗粒物(Fe_rich和Pb_rich)在冬、春季占比分别为14%和16%,显著高于夏季(7%)(见图 4(a))。气团轨迹分析揭示其与内陆传输的关联性:冬春季长江三角洲(N1)气团占比分别达40%和13%,而夏季降至4%(见图 1)。Fe_rich的显著富集可能与Fe和有机物络合增强HMS稳定性有关[30]。
船舶重油燃烧排放的V_rich则呈现相反趋势,其夏季占比(8%)较冬、春季(0%、2%)提升超过4倍(见图 4(a)),与夏季海风增强导致的船舶排放输送加强直接相关[53-54]。值得注意的是,5月PM2.5质量浓度虽与夏季相当(见图 4(b)),但含HMS颗粒数显著偏低,而V_rich占比却异常升高(见图 4(a))。结合该月中国南海海洋气团(N6)占比达20%(见图 1(a))及K_Na_N_S颗粒同步增加的特征,推测海洋源输入可能通过气团混合改变颗粒物组成。
沙尘源K_Ca_S_N颗粒冬季占比最高(1%)(见图 4(a)),与多风天气驱动的局地扬尘过程密切相关[55]。烟花爆竹排放相关的Al_K_S_N颗粒物在2月占比最高(3%,见图 4(a)),这与春节前后的燃放活动密切相关[56-57]。
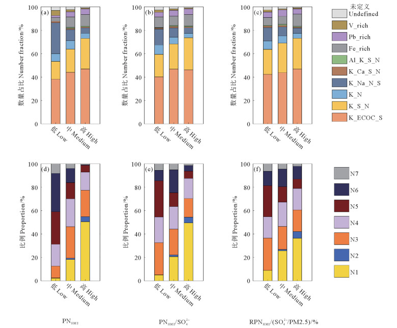
2.3 HMS污染水平的影响因素尽管HMS的平均丰度相较于北京地区较低,我们在研究中依然发现了一些丰度相对较高的事件。由于本研究未对HMS的质量浓度进行膜样品定量分析,我们通过分析含HMS颗粒数(PNHMS)、含HMS颗粒数与硫酸盐质量浓度的比值(PNHMS/SO42-)以及含HMS颗粒相对个数与硫酸盐在PM2.5中的质量分数之比(RPNHMS/(SO42-/PM2.5)) 来评估HMS污染水平,从而探讨不同HMS污染水平下HMS颗粒的化学组成变化及传输来源。基于每种评估参数的25%和75%分位数将HMS的污染水平划分为低、中、高三级。如图 5(a)—5(c)所示,无论采用何种污染评估指标,随着污染程度加剧,生物质燃烧源(K_ECOC_S、K_S_N和K_N)对HMS的贡献呈显著阶梯式增长,突显该排放源在HMS污染形成中的主导作用。与此同时,与海洋源有关的海盐与生物质燃烧混合源(K_Na_N_S)及船舶重油燃烧排放源(V_rich)的贡献占比呈现下降趋势,表明在污染加剧的情况下,海洋气溶胶传输对HMS污染的贡献相对减小。
|
( 基于PNHMS、PNHMS/SO42-、RPNHMS/(SO42-/PM2.5)指标的不同HMS污染水平下颗粒物来源贡献((a)—(c))和气团轨迹聚类分析((d)—(f))。污染阈值通过25%和75%分位数界定。Panels show ((a)—(c)) particle source contributions and ((d)—(f)) air mass trajectory cluster frequencies under varying pollution levels defined by PNHMS, PNHMS/SO42-, RPNHMS/(SO42-/PM2.5). Pollution thresholds were determined using 25th and 75th percentile values. ) 图 5 不同HMS污染水平下颗粒来源和气团轨迹聚类特征 Fig. 5 Sources apportionment and air mass trajectories clustering across different HMS pollution levels |
气团轨迹分析揭示了显著的时空差异特征(见图 1(b))。整个观测期间海洋性气团(N3+N4+N6)占比达58%,显著高于大陆性气团(N1+N2+N7=21%)和局地气团(N5=21%)。值得注意的是,受季风的影响,大陆性气团在冬季占比高达45%,其中长江三角洲(N1)贡献为40%,1月份更高达56%,而春夏季大陆性气团占比显著下降至约12%;从冬季到春夏季,海洋性气团占比从大约55%上升至约60%左右,局地气团贡献由1%显著提升至28%。
进一步分析传输路径对污染水平的影响(见图 5(d)—5(f)),发现随着HMS污染程度不断加深,北方气团来源(N1、N2)的占比显著增加,而南方气团来源(N5、N7)则显著减少。不同气团传输路径对HMS污染水平的影响呈现显著差异。大陆性气团传输路径(长江三角洲N1、蒙古高原N2、中南半岛N7)的RPNHMS/(SO42-/PM2.5)平均比值分别为4%、10%和2%,整体显著高于海洋性气团。其中,蒙古高原气团(N2)的比值高达10%。相比之下,海洋性气团传输路径的黄海及东部沿海地区(N3)、台湾岛以东海域(N4)以及南海(N6)的比值分别为3%、3%和3%。而在局地气团(N5)的影响下该比值进一步降至2%。这种差异表明,北方生物质燃烧排放是HMS污染加剧的主要因素,而南方海洋源则可能由于较少的相关污染源及气团稀释作用缓解污染。
将RPNHMS/(SO42-/PM2.5) 参数作为评估HMS对含硫颗粒物相对贡献的参数,与北京地区进行比较。北京冬季严重雾霾期间PM2.5质量浓度为224 μg·m-3,其中硫酸盐质量浓度约为45 μg·m-3,HMS质量浓度为4 μg·m-3,含HMS相对颗粒物个数浓度约为9%[43],该种条件下RPNHMS/((SO42-/PM2.5)约为45%。本研究高HMS污染的标准设定为75%分位数,此时RPNHMS/(SO42-/PM2.5)比值仅为4%(见图 6),远低于该比值。本研究中MARGA测量的硫酸盐质量浓度实际为HMS与硫酸盐的总和,倘若按照同样的加和计算方法,北京雾霾期间的比值约为42%,仍然远高于本研究。高HMS污染期间含硫的生物质燃烧源(K_ECOC_S、K_S_N)的占比(73%)明显高于中低污染水平时(69%、64%),此时北方源(N1、N2)的贡献(42%)显著高于中低污染水平时(27%、0%),表明高HMS污染时期主要是受到北方生物质燃烧的显著影响所导致的。一次典型个例(3月14日7:00—16:00)中含HMS颗粒相对个数达峰值18%,此时RPNHMS/(SO42-/PM2.5)为44%。进一步分析发现生物质燃烧源(K_ECOC_S、K_S_N、K_N)的占比高达81%,气团传输路径为中距离经长三角、珠三角地区输送(N1)。这期间气态前体物SO2和HCHO的体积混合比分别为3.75×10-9和5.16×10-9 μg·m-3,其中SO2略低于本研究的平均水平(4.04×10-9 μg·m-3),而HCHO显著高于平均水平(2.16×10-9 μg·m-3),但仍然远低于北京冬季严重雾霾期间的水平(约1.2×10-8和2.0×10-8 μg·m-3)[43]。该污染个例中相对较高的HCHO浓度表明高前体物对沿海HMS生成的关键作用。
|
图 6 本研究中RPNHMS/(SO42-/PM2.5)的概率密度函数和累积分布函数 Fig. 6 Probability density function and cumulative distribution function of RPNHMS/(SO42-/PM2.5) in this study |
本研究揭示了香港气溶胶中含HMS颗粒物的污染来源特征及其季节变化规律,其中生物质燃烧是全年最主要的污染来源,平均占比为82%,包含K_ECOC_S(47%)、K_S_N(25%)、K_N(5%)和K_Na_N_S(5%) 4类颗粒;工业排放源以Fe_rich(10%)和Pb_rich(5%)为主,其浓度峰值主要出现在冬春季节,船舶排放源为V_rich颗粒(1%),夏季贡献尤为显著;沙尘源(K_Ca_S_N,1%)和烟花爆竹燃放源(Al_K_S_N,1%)占比相对较小,均呈现冬季浓度升高的季节特征。
污染源的季节变化受气团传输与局地排放共同驱动。冬春季北方生物质燃烧源通过大陆气团输入,夏季船舶与海洋源贡献增强。高污染事件多与北方传输相关,而低污染时期受海洋气团调控。研究成果为沿海城市复合污染治理及区域联防联控提供了重要依据。未来需结合HMS定量分析及多尺度模型, 进一步量化其环境与气候效应。
致谢: 感谢香港环境保护署提供MARGA和PM2.5实时数据集、塔门空气质量监测站提供的SO2数据(www.epd.gov.hk/epd/sc_chi/environmentinhk/air/data/air_data.html)、开源的HCHO数据[47]和美国国家海洋和大气管理局的空气资源实验室提供的HYSPLIT迁移和扩散模型(www.arl.noaa.gov/hysplit/)。
| [1] |
Huang R J, Zhang Y, Bozzetti C, et al. High secondary aerosol contribution to particulate pollution during haze events in China[J]. Nature, 2014, 514(7521): 218-222. DOI:10.1038/nature13774 ( 0) |
| [2] |
Charlson R J, Schwartz S E, Hales J M, et al. Climate forcing by anthropogenic aerosols[J]. Science, 1992, 255(5043): 423-430. DOI:10.1126/science.255.5043.423 ( 0) |
| [3] |
Lu Z, Streets D G, Zhang Q, et al. Sulfur dioxide emissions in China and sulfur trends in East Asia since 2000[J]. Atmospheric Chemistry and Physics, 2010, 10(13): 6311-31. DOI:10.5194/acp-10-6311-2010 ( 0) |
| [4] |
Huang X, Liu Z, Ge Y, et al. Aerosol high water contents favor sulfate and secondary organic aerosol formation from fossil fuel combustion emissions[J]. npj Climate and Atmospheric Science, 2023, 6(1): 173. DOI:10.1038/s41612-023-00504-1 ( 0) |
| [5] |
Chow W, Liao K, Huang X H H, et al. Measurement report: The 10-year trend of PM2.5 major components and source tracers from 2008 to 2017 in an urban site of Hong Kong, China[J]. Atmospheric Chemistry and Physics, 2022, 22(17): 11557-11577. DOI:10.5194/acp-22-11557-2022 ( 0) |
| [6] |
Wang J, Gao J, Che F, et al. Decade-long trends in chemical component properties of PM2.5 in Beijing, China (2011-2020)[J]. Science of The Total Environment, 2022, 832: 154664. DOI:10.1016/j.scitotenv.2022.154664 ( 0) |
| [7] |
Song S, Meng G, Xu W, et al. Possible heterogeneous chemistry of hydroxymethanesulfonate (HMS) in northern China winter haze[J]. Atmospheric Chemistry and Physics, 2019, 19(2): 1357-1371. DOI:10.5194/acp-19-1357-2019 ( 0) |
| [8] |
Zhang F, Wang Y, Peng J, et al. An unexpected catalyst dominates formation and radiative forcing of regional haze[J]. Proceedings of the National Academy of Sciences, 2020, 117(8): 3960-3966. DOI:10.1073/pnas.1919343117 ( 0) |
| [9] |
Harris E, Sinha B, Van Pinxteren D, et al. Enhanced role of transition metal ion catalysis during in-cloud oxidation of SO2[J]. Science, 2013, 340(6133): 727-730. DOI:10.1126/science.1230911 ( 0) |
| [10] |
Cheng Y, Zheng G, Wei C, et al. Reactive nitrogen chemistry in aerosol water as a source of sulfate during haze events in China[J]. Science Advances, 2016, 2(12): e1601530. DOI:10.1126/sciadv.1601530 ( 0) |
| [11] |
Liu Y, Feng Z, Zheng F, et al. Ammonium nitrate promotes sulfate formation through uptake kinetic regime[J]. Atmospheric Chemistry and Physics, 2021, 21(17): 13269-13286. DOI:10.5194/acp-21-13269-2021 ( 0) |
| [12] |
Guo H, Weber R J, Nenes A. High levels of ammonia do not raise fine particle pH sufficiently to yield nitrogen oxide-dominated sulfate production[J]. Scientific Reports, 2017, 7(1): 12109. DOI:10.1038/s41598-017-11704-0 ( 0) |
| [13] |
Li L, Hoffmann M R, Colussi A J. Role of nitrogen dioxide in the production of sulfate during Chinese haze-aerosol episodes[J]. Environmental Science & Technology, 2018, 52(5): 2686-2693. ( 0) |
| [14] |
Liu M, Song Y, Zhou T, et al. Fine particle pH during severe haze episodes in northern China[J]. Geophysical Research Letters, 2017, 44(10): 5213-5221. DOI:10.1002/2017GL073210 ( 0) |
| [15] |
Wang G, Zhang F, Peng J, et al. Particle acidity and sulfate production during severe haze events in China cannot be reliably inferred by assuming a mixture of inorganic salts[J]. Atmospheric Chemistry and Physics, 2018, 18(14): 10123-10132. DOI:10.5194/acp-18-10123-2018 ( 0) |
| [16] |
Zhao D, Song X, Zhu T, et al. Multiphase oxidation of SO2 by NO2 on CaCO3 particles[J]. Atmospheric Chemistry and Physics, 2018, 18(4): 2481-2493. DOI:10.5194/acp-18-2481-2018 ( 0) |
| [17] |
Sorooshian A, Crosbie E, Maudlin L C, et al. Surface and airborne measurements of organosulfur and methanesulfonate over the western United States and coastal areas[J]. Journal of Geophysical Research: Atmospheres, 2015, 120(16): 8535-8548. DOI:10.1002/2015JD023822 ( 0) |
| [18] |
Surratt J D, Gómez-González Y, Chan A W H, et al. Organosulfate formation in biogenic secondary organic aerosol[J]. The Journal of Physical Chemistry A, 2008, 112(36): 8345-8378. DOI:10.1021/jp802310p ( 0) |
| [19] |
Tolocka M P, Turpin B. Contribution of organosulfur compounds to organic aerosol mass[J]. Environmental Science & Technology, 2012, 46(15): 7978-7983. ( 0) |
| [20] |
Moch J M, Dovrou E, Mickley L J, et al. Contribution of hydroxymethane sulfonate to ambient particulate matter: A potential explanation for high particulate sulfur during severe winter haze in Beijing[J]. Geophysical Research Letters, 2018, 45(21): 11969-11979. ( 0) |
| [21] |
Pandis S N, Seinfeld J H. Sensitivity analysis of a chemical mechanism for aqueous-phase atmospheric chemistry[J]. Journal of Geophysical Research: Atmospheres, 1989, 94(D1): 1105-1126. DOI:10.1029/JD094iD01p01105 ( 0) |
| [22] |
Boyce S D, Hoffmann M R. Kinetics and mechanism of the formation of hydroxymethanesulfonic acid at low pH[J]. The Journal of Physical Chemistry, 1984, 88(20): 4740-4746. DOI:10.1021/j150664a059 ( 0) |
| [23] |
Deister U, Neeb R, Helas G, et al. Temperature dependence of the equilibrium CH2(OH)2+HSO3-=CH2(OH)SO3-+ H2O in aqueous solution[J]. The Journal of Physical Chemistry, 1986, 90(14): 3213-3217. DOI:10.1021/j100405a033 ( 0) |
| [24] |
Kok G L, Gitlin S N, Lazrus A L. Kinetics of the formation and decomposition of hydroxymethanesulfonate[J]. Journal of Geophysical Research: Atmospheres, 1986, 91(D2): 2801-2804. DOI:10.1029/JD091iD02p02801 ( 0) |
| [25] |
Kovacs K, Mcilwaine R, Gannon K, et al. Complex behavior in the formaldehyde-sulfite reaction[J]. The Journal of Physical Chemistry A, 2005, 109(1): 283-288. DOI:10.1021/jp0464324 ( 0) |
| [26] |
Olson T M, Hoffmann M R. On the kinetics of formaldehyde-S(Ⅳ) adduct formation in slightly acidic solution[J]. Atmospheric Environment (1967), 1986, 20(11): 2277-2278. DOI:10.1016/0004-6981(86)90318-5 ( 0) |
| [27] |
Munger J W, Tiller C, Hoffmann M R. Identification of Hydroxymethanesulfonate in fog water[J]. Science, 1986, 231(4735): 247-249. DOI:10.1126/science.231.4735.247 ( 0) |
| [28] |
Lai D, Wong Y K, Xu R, et al. Significant conversion of organic sulfur from hydroxymethanesulfonate to inorganic sulfate and peroxydisulfate ions upon heterogeneous OH oxidation[J]. Environmental Science & Technology Letters, 2023, 10(9): 773-778. ( 0) |
| [29] |
Zhang H, Xu Y, Jia L. Hydroxymethanesulfonate formation as a significant pathway of transformation of SO2[J]. Atmospheric Environment, 2023, 294: 119474. DOI:10.1016/j.atmosenv.2022.119474 ( 0) |
| [30] |
Zhang Y, Han R, Sun X, et al. Sulfate formation driven by wintertime fog processing and a hydroxymethanesulfonate complex with iron: Observations from single-particle measurements in Hong Kong[J]. Journal of Geophysical Research: Atmospheres, 2024, 129(12): e2023JD040512. DOI:10.1029/2023JD040512 ( 0) |
| [31] |
Scheinhardt S, Van Pinxteren D, Müller K, et al. Hydroxymethanesulfonic acid in size-segregated aerosol particles at nine sites in Germany[J]. Atmospheric Chemistry and Physics, 2014, 14(9): 4531-4538. DOI:10.5194/acp-14-4531-2014 ( 0) |
| [32] |
Liu J, Gunsch M J, Moffett C E, et al. Hydroxymethanesulfonate (HMS) formation during summertime fog in an Arctic oil field[J]. Environmental Science & Technology Letters, 2021, 8(7): 511-518. ( 0) |
| [33] |
Anunciado M B, De Boskey M, Haines L, et al. Stability assessment of organic sulfur and organosulfate compounds in filter samples for quantification by Fourier- transform infrared spectroscopy[J]. Atmospheric Measurement Techniques, 2023, 16(14): 3515-3529. DOI:10.5194/amt-16-3515-2023 ( 0) |
| [34] |
Gilardoni S, Massoli P, Paglione M, et al. Direct observation of aqueous secondary organic aerosol from biomass-burning emissions[J]. Proceedings of the National Academy of Sciences, 2016, 113(36): 10013-10018. DOI:10.1073/pnas.1602212113 ( 0) |
| [35] |
Chapman E G, Barinaga C J, Udseth H R, et al. Confirmation and quantitation of hydroxymethanesulfonate in precipitation by electrospray ionization-tandem mass spectrometry[J]. Atmospheric Environment Part A General Topics, 1990, 24(12): 2951-2957. DOI:10.1016/0960-1686(90)90475-3 ( 0) |
| [36] |
Chen C, Zhang Z, Wei L, et al. The importance of hydroxymethanesulfonate (HMS) in winter haze episodes in North China Plain[J]. Environmental Research, 2022, 211: 113093. DOI:10.1016/j.envres.2022.113093 ( 0) |
| [37] |
Dovrou E, Lim C Y, Canagaratna M R, et al. Measurement techniques for identifying and quantifying hydroxymethanesulfonate (HMS) in an aqueous matrix and particulate matter using aerosol mass spectrometry and ion chromatography[J]. Atmospheric Measurement Techniques, 2019, 12(10): 5303-5315. DOI:10.5194/amt-12-5303-2019 ( 0) |
| [38] |
Wei L, Fu P, Chen X, et al. Quantitative determination of hydroxymethanesulfonate (HMS) Using Ion Chromatography and UHPLC-LTQ-Orbitrap Mass Spectrometry: A missing source of sulfur during haze episodes in Beijing[J]. Environmental Science & Technology Letters, 2020, 7(10): 701-707. ( 0) |
| [39] |
Louis H, Gber T E, Charlie D E, et al. Detection of hydroxymethanesulfonate (HMS) by transition metal-anchored fullerene nanoclusters[J]. Journal of the Iranian Chemical Society, 2023, 20(3): 713-729. DOI:10.1007/s13738-022-02707-4 ( 0) |
| [40] |
Campbell J R, Battaglia M Jr., Dingilian K, et al. Source and chemistry of hydroxymethanesulfonate (HMS) in Fairbanks, Alaska[J]. Environmental Science & Technology, 2022, 56(12): 7657-7667.
( 0) |
| [41] |
Moch J M, Dovrou E, Mickley L J, et al. Global importance of hydroxymethanesulfonate in ambient particulate matter: Implications for air quality[J]. Journal of Geophysical Research: Atmospheres, 2020, 125(18): e2020JD032706. DOI:10.1029/2020JD032706 ( 0) |
| [42] |
Dixon R W, Aasen H. Measurement of hydroxymethanesulfonate in atmospheric aerosols[J]. Atmospheric Environment, 1999, 33(13): 2023-2029. DOI:10.1016/S1352-2310(98)00416-6 ( 0) |
| [43] |
Ma T, Furutani H, Duan F, et al. Contribution of hydroxymethanesulfonate (HMS) to severe winter haze in the North China Plain[J]. Atmospheric Chemistry and Physics, 2020, 20(10): 5887-5897. DOI:10.5194/acp-20-5887-2020 ( 0) |
| [44] |
Song S, Ma T, Zhang Y, et al. Global modeling of heterogeneous hydroxymethanesulfonate chemistry[J]. Atmospheric Chemistry and Physics, 2021, 21(1): 457-481. DOI:10.5194/acp-21-457-2021 ( 0) |
| [45] |
Zhou Y, Huang X H, Bian Q, et al. Sources and atmospheric processes impacting oxalate at a suburban coastal site in Hong Kong: Insights inferred from 1 year hourly measurements[J]. Journal of Geophysical Research: Atmospheres, 2015, 120(18): 9772-9788. DOI:10.1002/2015JD023531 ( 0) |
| [46] |
Li L, Huang Z, Dong J, et al. Real time bipolar time-of-flight mass spectrometer for analyzing single aerosol particles[J]. International Journal of Mass Spectrometry, 2011, 303(2): 118-124. ( 0) |
| [47] |
Miyazaki K, Bowman K, Sekiya T, et al. Chemical Reanalysis Products[C]. [s. l. ]: Jet Propulsion Laboratory, 2019.
( 0) |
| [48] |
Allen J O. Software Toolkit to Analyze Single-Particle Mass Spectral Data, F, 2001[C]. [s. l. ]: [s. n. ], 2013.
( 0) |
| [49] |
Louie P K K, Watson J G, Chow J C, et al. Seasonal characteristics and regional transport of PM2.5 in Hong Kong[J]. Atmospheric Environment, 2005, 39(9): 1695-1710. ( 0) |
| [50] |
Li J, Pósfai M, Hobbs P V, et al. Individual aerosol particles from biomass burning in southern Africa: 2, Compositions and aging of inorganic particles[J]. Journal of Geophysical Research: Atmospheres, 2003, 108(D13): 8484. ( 0) |
| [51] |
Ito A. Atmospheric processing of combustion aerosols as a source of bioavailable iron[J]. Environmental Science & Technology Letters, 2015, 2(3): 70-75. ( 0) |
| [52] |
Li W, Xu L, Liu X, et al. Air pollution-aerosol interactions produce more bioavailable iron for ocean ecosystems[J]. Science Advances, 2017, 3(3): e1601749. DOI:10.1126/sciadv.1601749 ( 0) |
| [53] |
Celo V, Dabek-Zlotorzynska E, Mccurdy M. Chemical characterization of exhaust emissions from selected Canadian marine vessels: The case of trace metals and lanthanoids[J]. Environmental Science & Technology, 2015, 49(8): 5220-5226. ( 0) |
| [54] |
Corbin J C, Mensah A A, Pieber S M, et al. Trace metals in soot and PM2.5 from heavy-fuel-oil combustion in a marine engine[J]. Environmental Science & Technology, 2018, 52(11): 6714-6722. ( 0) |
| [55] |
Bian Q, Huang X H H, Yu J Z. One-year observations of size distribution characteristics of major aerosol constituents at a coastal receptor site in Hong Kong - Part 1: Inorganic ions and oxalate[J]. Atmospheric Chemistry and Physics, 2014, 14(17): 9013-9027. DOI:10.5194/acp-14-9013-2014 ( 0) |
| [56] |
Carranza J E, Fisher B T, Yoder G D, et al. On-line analysis of ambient air aerosols using laser-induced breakdown spectroscopy[J]. Spectrochimica Acta Part B: Atomic Spectroscopy, 2001, 56(6): 851-864. DOI:10.1016/S0584-8547(01)00183-5 ( 0) |
| [57] |
Wang Y, Zhuang G, Xu C, et al. The air pollution caused by the burning of fireworks during the lantern festival in Beijing[J]. Atmospheric Environment, 2007, 41(2): 417-431. DOI:10.1016/j.atmosenv.2006.07.043 ( 0) |
| [58] |
Zhang Y, Li W, Li L, et al. Source apportionment of PM2.5 using PMF combined online bulk and single-particle measurements: Contribution of fireworks and biomass burning[J]. Journal of Environmental Sciences, 2024, 136: 325-336. DOI:10.1016/j.jes.2022.12.019 ( 0) |
| [59] |
Ye C, Liu P, Ma Z, et al. High H2O2 concentrations observed during haze periods during the Winter in Beijing: Importance of H2O2 oxidation in sulfate formation[J]. Environmental Science & Technology Letters, 2018, 5(12): 757-763. ( 0) |
| [60] |
Chan K L. Biomass burning sources and their contributions to the local air quality in Hong Kong[J]. Science of the Total Environment, 2017, 596-597: 212-221. DOI:10.1016/j.scitotenv.2017.04.091 ( 0) |
| [61] |
Wen L, Xue L, Wang X, et al. Summertime fine particulate nitrate pollution in the North China Plain: Increasing trends, formation mechanisms and implications for control policy[J]. Atmospheric Chemistry and Physics, 2018, 18(15): 11261-11275. DOI:10.5194/acp-18-11261-2018 ( 0) |
| [62] |
Zong Z, Tian C, Sun Z, et al. Long-term evolution of particulate nitrate pollution in North China: Isotopic evidence from 10 offshore cruises in the Bohai Sea from 2014 to 2019[J]. Journal of Geophysical Research: Atmospheres, 2022, 127(11): e2022JD036567. DOI:10.1029/2022JD036567 ( 0) |
2. Institute of Mass Spectrometer and Atmospheric Environment, Jinan University, Guangzhou 510632, China;
3. Division of Environment, Hong Kong University of Science and Technology, Hong Kong 999077, China
2025, Vol. 55



0)