潮间带处于陆地和海洋的交界处,能够接收来自陆地和海洋的各种化合物,并且在化学、物理和生物过程的共同作用下,可以捕获并埋藏大量天然和人为来源的有机物[1-3],因此潮间带是沿海碳库的重要组成部分,也是全球重要的碳汇[4-6]。确定有机碳的不同来源有助于了解潮间带碳流失过程和埋藏特征。然而,由于潮间带受到潮汐过程、沉积速率和生物扰动等多种因素的强烈影响,准确识别有机碳来源并精确定量存在一定的难度[7]。
正构烷烃(n-alkanes)是一种无分支的饱和烃类[8],具有疏水性、相对耐物理和化学降解等特点,在环境中容易吸附到颗粒物表面,最终会沉积并长时间保存在沉积物中[9-13]。正构烷烃作为自然来源的生物标志物,对其已经开展了广泛的研究[11]。黑碳(black carbon, BC)是由生物质或化石燃料不完全燃烧产生的高度芳香化的碳质组分,主要来自人类活动,包括焦炭(char)、烟炱(soot)等[14-16]。由于其在各种生物地球化学过程中的关键作用,受到了极大的关注[17-18]。多环芳烃(polycyclic aromatic hydrocarbons, PAHs)是含有两个或两个以上苯环的有机污染物,由于其具有致癌性、致畸性、致突变性等特性,美国环境保护署(US EPA)将16种多环芳烃列入优先控制清单[16-18]。环境中PAHs的来源以人为源为主,包括化石燃料及生物质燃料燃烧、汽车尾气、工业排放等[18]。由于黑碳和多环芳烃存在相似的来源,且黑碳是憎水型有机污染物的理想载体,二者常用来辨析不同的燃料来源[19-20]。
长江作为世界第三大河流,河流携带大量的泥沙在长江口附近沉积,拥有较高的沉积速率[21]。长江口复杂的地理环境、快速的沉积速率以及丰富的生物资源为研究不同来源有机碳的分布、组成及相互关系提供了独特的环境。长江口潮间带的高潮滩拥有丰富的盐沼植物资源,无植物生长的低潮裸滩对于有机碳的分布存在一定的影响[22]。本研究选取长江口潮间带作为主要研究区域,分析土壤和沉积物中n-alkanes、BC和PAHs的丰度、分布及其相互关系,揭示在丰水期和枯水期这些有机碳组分的动态变化规律,确定长江口潮间带沉积物中不同来源有机碳时空分布与组成特征,深化对河口海岸带有机碳来源与埋藏之间的响应关系。
1 材料与方法 1.1 样品采集于2022年12月(枯水期)和2023年6月(丰水期)采集了长江口区域的土壤样本(特指造堤后、未直接受潮汐影响的坝内土壤,其采集目的主要是为了提供沉积物特性分析的参照基准)以及潮间带表层的沉积物样品。潮间带沉积物包括高潮滩沉积物(植被覆盖)和低潮裸滩沉积物(未被植物覆盖)。采样站点涵盖崇明岛(A、B、C点)、长兴岛(D、E点)和南汇海滩(F点)(见图 1)。土壤和潮间带沉积物样品在采集后装入铝箔袋中,回到实验室后,去除根茎、石块和其他大颗粒后,放入冰箱,在-20 ℃保存72 h,之后使用冷冻干燥机干燥72 h,并用玛瑙研钵研磨,过100目筛。
|
图 1 采样点位示意图 Fig. 1 Schematic diagram of sampling sites |
将土壤和潮间带沉积物样品先经1 mol·L-1的盐酸浸泡24 h,除去样品中的碳酸盐,后用Mili-Q水(18.2 MΩ·cm)将样品水洗至中性,然后在40 ℃下将样品烘干至恒重。称取30~40 mg样品,利用元素分析仪(elementar-vario MACRO cube, Germary)测定样品的总有机碳(TOC)含量,测定精度为±0.2%。称取0.2 mg样品,利用同位素质谱仪(ThermoFisher, MAT253, USA)进行δ13C的测定,计算公式为
| $ \delta^{13} C=\left(R_{\text {Sample }} / R_{\text {Standard }}-1\right) \times 1\;000 \text { 。} $ | (1) |
利用湿化学预处理结合热光反射检测的方法(thermal optical reflectance,TOR)对土壤和潮间带沉积物中的BC进行检测,预处理步骤见文献[23-24]。简要而言,称取0.1~0.2 g冷冻干燥并过80目筛样品,放入聚乙烯塑料管中,三步酸处理分别加入0.5 mol/L盐酸、氢氟酸和盐酸混合液(体积比为2∶1)和6 mol/L盐酸,每一步酸处理时间均为24 h,并在60 ℃水浴中进行。使用多波段热光碳分析仪(DRI Model 2015)测定BC及其他成分。当温度逐渐加热到120、250、450和550 ℃时,生成的4个有机碳(organic carbon,OC)组分, 分别为OC1、OC2、OC3和OC4。在550、700和800 ℃下分别生成3个黑碳组分(element carbon, EC), 分别为EC1、EC2和EC3。EC1的前段被定义为热解碳(OCPyro),定义EC1-OCPyro为char,EC2+EC3为soot,EC1+EC2+EC3-OCPyro为BC。
1.4 正构烷烃和多环芳烃的萃取和测定称取5 g冷干后的样品使用色谱纯二氯甲烷(DCM)索氏萃取48 h。萃取前,将100 ng氘代正构烷烃(d50-C24)标准样品和氘代PAHs标准样品作为回收率指示剂加入平底烧瓶。氘代PAHs标准样品包括苊-D10(Ace-d10)、菲-D10(Phe-d10)、苊-D12(Chr-d12)和苝-D12(Pery-d12)。萃取过程结束后,旋蒸浓缩样品至1~2 mL。随后,利用正己烷(HEX)进行溶剂转换,过中性硅胶柱,淋洗液为20 mL DCM/HEX(DCM∶HEX=1∶1, v/v)。用温和的氮气流将带有样品的淋洗液浓缩至500 μL,并转移到2 mL进样瓶中。在使用气相色谱-质谱联用仪(GC-MS)测定正构烷烃和多环芳烃含量前在浓缩后的样品中加入100 ng的六甲基苯(HMB)作为内标进行定量分析。
正构烷烃的特征参数可以有效反映有机物的来源,本文共计算了4项相关特征参数:碳优势指数(carbon preference index, CPI)、平均链长(average chain length, ACL)、正构烷烃特征指标(Pmar-aq)、烷烃指数(alkanes index, AI),具体的含义及计算方法见表 1。
|
|
表 1 正构烷烃分子指标的计算方法及其参数含义 Table 1 Calculation methods of n-alkane molecular indexes and their meaning |
在BC测定前,热光碳分析仪先执行Bake程序,消除残留在进样管路内的碳组分使得空白样品BC检出量低于0.1 μg /cm2,空白实验结果表明样品分析过中没有明显干扰物质。
PAHs和n-alkanes利用GC-MS/MS(Agilent 9000GC/7000D)进行测定。测定过程中,每分析10个样品后进一针HEX,每分析20个样品进一针低浓度标准样品,确保测定过程中仪器对于目标物浓度的响应相对一致。本研究中,氘代正构烷烃的回收率为(62.8±25.1)%。4种氘代PAHs的回收率分别为:Ace-d10为(72.0±11.3)%、Phe-d10为(81.0±12.6)%、Chr-d12为(89.3±13.8)%、Pery-d12为(80.5±14.4)%。
1.6 数据分析使用IBM SPSS 27.0软件进行数据统计分析。使用Origin 2023和GraphPad Prism 9绘制图形。使用海洋数据图制作采样点位图。
2 结果与讨论 2.1 TOC及其δ13C的时空分布本研究中,长江口土壤和潮间带表层沉积物的TOC浓度范围为0.08%~5.20%,平均浓度为(0.93±0.77)%。时间上,枯水期和丰水期的样品TOC浓度对比如图 2所示,枯水期样品TOC的平均含量(0.80±0.54)%)低于丰水期((1.06±0.93)%)。空间上,样品TOC含量由陆地向海洋逐渐减少,在枯水期和丰水期均表现为土壤的TOC含量最高(分别为(1.38±0.67)%和(1.93±1.62)%),其次是高潮滩沉积物(分别为(0.98±0.49)%和(1.35±0.84)%),低潮裸滩沉积物的TOC含量最低(分别为(0.43±0.21)%和(0.58±0.18)%),受到围垦工程的影响,未受到潮汐作用影响的土壤有机碳含量相比于沉积物有显著的碳堆积[25-26]。在长江口潮间带沉积物中,植物通过根系将光合产物输送到地下,这些有机物质被转化为沉积有机质,增加了沉积碳储量;此外,植物根系的分泌物质能够促进颗粒聚集,形成结构稳定的沉积团聚体,从而增加沉积物有机质的稳定性并进一步增加了碳储量,使高潮滩表层沉积物TOC含量显著高于低潮裸滩[27]。夏秋季丰水期潮间带植物生长旺盛,沉积物有机质含量高于枯水期,同时也造成个别点位样品TOC含量异常偏高。
|
图 2 研究区域内TOC和δ13C的时空分布 Fig. 2 Spatial and temporal distributions of TOC and δ13C in the study area |
稳定碳同位素比值(δ13C)常用来初步鉴定沉积有机质的来源以及植物的光合作用途径。其中,海洋有机质的δ13C值介于-22‰~-19‰,陆源C3和C4植物分别介于-33‰~-24‰和-16‰~-10‰之间[28]。如图 2所示,研究区域内土壤的δ13C值范围为-28.8‰~-25.4‰,反映出主要来自C3植物的贡献,这与长江口湿地及典型盐沼植物-芦苇(土著C3植物),C4植物较少的情况是吻合的。研究区域内沉积物δ13C值范围为-29.2‰~-17.6‰,平均值为(-25.3±1.8)‰,介于陆源C3植物和海源的δ13C值之间,且主要为陆地C3植物的贡献[29]。时间上,δ13C平均值枯水期((-24.9±2.0)‰)和丰水期((-25.7±1.5)‰)没有明显差异。空间上,近岸的植被盐沼沉积物中的有机碳主要受陆源的影响,而远岸裸露的滩涂沉积物受海源的影响更大,δ13C值由陆向海逐渐增加,总有机碳埋藏降低的情况下,海源有机碳相对贡献逐渐增加,表明在潮间带陆源有机碳发生流失或转化,这与潮汐交替水动力过程有关。
2.2 正构烷烃的时空分布与来源解析本研究中,土壤和潮间带表层沉积物的正构烷烃含量为0.49~56.44 μg·g-1,平均浓度为(9.41±11.61) μg·g-1。丰水期样品正构烷烃含量高于枯水期。空间上,枯水期和丰水期样品n-alkanes含量变化趋势均为土壤>高潮滩沉积物>低潮裸滩沉积物。从组成上看,n-alkanes的碳数分布在C10~C37之间,主要为单峰型,主峰为C27、C29和C31,存在明显的奇数碳优势(见图 3)。在研究区域,正构烷烃在时空分布上与TOC相似,表明正构烷烃作为稳定性极强的生物标志物,也能进一步指示有机质来源[30]。
|
图 3 研究区域土壤和沉积物样品的内n-alkanes的分子比值 Fig. 3 Molecular ratios of n-alkanes in soil and sediment samples fron the study area |
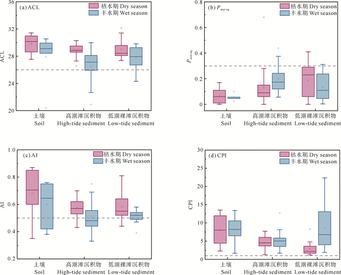
ACL值通常用于细化TOC输入源。研究表明,当ACL < 21时,TOC为石油来源;21 < ACL < 26时,TOC为陆源和海源的混合输入;ACL>26时,TOC主要为陆生高等植物输入[31]。研究区域内,ACL值的范围为20.4~32.8,平均值为28.3±2.1,表明陆生高等植物来源的TOC占优势[32]。丰水期样品中ACL值(27.1±2.2)略低于枯水期(29.3±1.2),海源贡献的TOC增加;此外,丰水期样品ACL值显示出明显的低值,尤其是在高潮滩,和石油输入有关,表明研究区域在丰水期可能受台风风暴潮和较强水动力作用的影响,并且船舶避风较枯水期更为频繁[33],从而带来一些石油污染。与ACL类似,Pmar-aq值也能够作为追踪沉积物TOC来源的指标。当Pmar-aq < 0.3时,代表TOC为陆生高等植物输入;当0.4 < Pmar-aq < 0.6时,代表TOC为水生植物和浮游植物输入。本研究的样品中,枯水期的Pmar-aq平均值(0.15±0.13)和丰水期(0.17±0.12)无明显差异,表明主要样品的TOC来自陆生高等植物贡献,与ACL指标指示的结果一致。潮间带表层沉积物Pmar-aq有较大波动,在低潮裸滩沉积物中波动尤其明显,表明这一区域沉积物中TOC存在低等生物来源。
AI值可用于确定草本植物和木本植物对沉积物TOC的输入类型[34-35]。当AI>0.5时,TOC主要为草本植物贡献;当AI < 0.5时,其主要为木本植物贡献;当AI≈0.5时,草本植物和木本植物对TOC的贡献相当。本研究中,AI值的范围为0.33~0.87,平均值为0.56±0.11,表明研究区域内沉积物中的TOC主要为草本植物的贡献,与该区域潮间带覆盖的植被种类是芦苇以及多年生高大直立草本植物情况吻合。
CPI值可以反映样品中正构烷烃在部分链长范围内(如高等植物来源)是否具有奇数或偶数碳优势,以及判断其降解程度。Zaghden等[31]对于长链正构烷烃CPI值研究结果表明,当CPI值接近1时,没有明显的奇数或偶数优势,其来源为煤或石油衍生;CPI>3时,指示正构烷烃具有奇数碳优势和陆生高等植物来源。本研究中,CPI值的范围为1.2~22.4,平均值为5.7±4.0,呈现明显的奇数碳优势。枯水期样品CPI(4.3±2.8)低于丰水期(7.1±4.7),表明研究区域在丰水期陆源新鲜有机碳输入更显著。研究区域丰水期的水量、温度适宜高等植物生长,新生长的植物往往给样品中的正构烷烃带来更明显的奇数优势。CPI值在枯水期样品中表现为沿土壤(8.04±4.20)、高潮滩沉积物(4.62±1.59)、低潮裸滩沉积物(2.88±1.95)逐渐降低。在丰水期,各区域的CPI值分别是8.09±3.64(土壤)、5.18±2.37(高潮滩沉积物)和8.67±5.83(低潮裸滩沉积物),低潮裸滩沉积物CPI偏高,归因于丰水期更旺盛的植物生长和水动力的扰动作用增强了其中陆源有机碳的优势,以及丰水期水流冲刷上游带来的陆生高等植物来源聚集[36]。总体上,研究区域CPI值由陆向海大致呈现逐渐降低的趋势,表明陆源输入是潮间带有机碳的主要来源,正构烷烃的奇偶优势伴随持续水动力过程逐渐削弱。
综合来看,C15、C17和C19正构烷烃来源于浮游植物,具有海源的特征。而C16、C18正构烷烃是石油和微生物来源的代表,C25、C27和C29正构烷烃是陆源有机物的重要标志物[37]。如图 4所示,在枯水期,三个子区域的n-alkanes主要来自于陆源,没有明显的来源差别,且相对集中,表明其碳埋藏过程相对稳定。研究区域丰水期n-alkanes的组成特征相比于枯水期的更为分散。研究区域丰水期为夏秋季,温度适宜植物的生长,带来丰富的陆源输入,同时,由于丰水期温度高,微生物活性较强,海洋和生物烃源的产生相对其它时期较高[38]。此外,这一时期潮汐、风暴潮等水动力交换作用更为强烈,埋藏过程中受到的扰动作用更显著造成有机碳的组成和分布较为多样。
|
图 4 研究区域土壤和沉积物内n-alkanes的组成特征 Fig. 4 Compositional characteristics of n-alkanes in soil and sediment fron the study area |
如图 5(a)所示,本研究中,土壤和潮间带表层沉积物的BC含量为0.32~17.12 mg·g-1,平均含量为((2.42±2.35) mg·g-1)。枯水期BC含量((1.74±1.56) mg·g-1)低于丰水期((3.09±2.78) mg·g-1)。两个时期BC含量均为土壤>高潮滩沉积物>低潮裸滩沉积物,与TOC呈现相同变化趋势。尽管两者来源不同,相同的变化趋势表明潮间带潮汐交替的水动力环境可能是影响沉积物碳埋藏的空间分布主要因素。如图 5(b)、5(c)所示,土壤和潮间带表层沉积物char含量为0.02~16.30 mg·g-1,平均含量为(1.96±2.25) mg·g-1。其含量从土壤至低潮裸滩沉积物逐渐降低,和BC、TOC的空间变化趋势相似,表明碳组分的由陆向海逐渐流失[39-42]。与char不同,soot的时空分布无明显差异。由于soot相较于char的粒径更细,质量更轻,因此伴随着潮间带的搅动混合作用, 各区域无明显差异[43]。而char更倾向于短距离传输,作为陆源信号沉降在排放源附近,导致其更容易沉积在未受潮汐作用影响的坝上土壤和近岸受水动力影响较弱的高潮滩沉积物中[44]。枯水期样品char含量((1.34±1.47) mg·g-1)明显低于丰水期((2.59±2.69) mg·g-1)。一般来说,研究区域内枯水期大气污染严重,受人为影响作用输入的char、soot组分含量较高。在本研究中,枯水期BC及char、soot含量高于丰水期的情况并未出现,可能是因为丰水期植物密度高,植物在生长过程中根部将黑碳吸收固定并堆积[45-46]。
|
图 5 研究区域内BC、char、soot和PAHs的时空分布 Fig. 5 Spatial and temporal distribution of BC, char, soot and PAHs in the study area |
一般来说,char是在低温燃烧过程中(如生物质燃烧源)形成的粗颗粒,而soot是在高温燃烧过程中(如化石燃料燃烧)产生的细颗粒[47],因而不同燃料燃烧产生不同的char/soot比值可以指示黑碳来源[25]。Han等[24]的研究指出,生物质燃烧的char/soot比值大于5~10,煤燃烧的char/soot比值小于1。在本研究中,char/soot比值范围为0.06~19.92,平均值为3.87±3.43,表明研究区域内BC来源是生物质燃烧和化石燃料燃烧的混合贡献。枯水期样品的char/soot比值(平均值为3.01±3.01)低于丰水期(平均值为4.74±3.61),归因于丰水期植物活动更频繁,生物质来源有机碳更丰富。两个时期char/soot比值都是从高潮滩向低潮裸滩沉积物逐渐降低,坝上土壤高等植物密度大,生物质燃烧来源贡献更大,而低潮裸滩沉积物受到来自船运的化石燃料燃烧的影响更大。
2.4 多环芳烃的时空分布与来源解析如图 5所示,研究区域内,16种优控PAHs在所有样品中均有检出,PAHs含量范围为7.72~444.02 ng·g-1,平均含量为(112.19±76.88) ng·g-1。枯水期样品PAHs的平均含量((104.25±61.96) ng·g-1)高于丰水期((77.10±45.10) ng·g-1)。枯水期在12月份,是中国大气污染严重的时期,多环芳烃排放量大。和黑碳情况不同,枯水期样品中PAHs含量高于丰水期,可能的原因包括以下几个方面:第一,PAHs易产生光降解,研究区域丰水期时的光照强度及温度更高,PAHs更易被降解;第二,丰水期水体中微生物作用较强,加速了水体中颗粒态PAHs的分解[48];第三,丰水期降水量较大,给河口区带来大量相对清洁的水体,水溶性相对更强的PAHs更容易从悬浮颗粒物和沉积物中流失[49]。研究区域两个时期的PAHs浓度都是在土壤中最低,可能原因是坝上土壤大部分呈砂质,粒度偏大,对PAHs的吸附能力远低于滩涂沉积区域的沉积物[50]。
分子诊断比广泛用于PAHs的来源诊断[18]。在本研究中,使用Flua/(Flua+Pyr)、Ant/(Ant+Phe)和Inp/(Inp+Bghip)比值判断PAHs的来源。当Ant/(Ant+Phe)>0.1时, 主要为石油来源; Ant/(Ant+Phe) < 0.1时, 主要为燃烧来源。当Flua/(Flua+Pyr) < 0.4时,石油是PAHs的主要来源;当0.4 < Flua/(Flua+Pyr) < 0.5时,石油燃烧是PAHs的主要来源;而当Flua/(Flua+Pyr)>0.5时,PAHs的主要来源则为生物质和煤燃烧。当Inp/(Inp+Bghip) < 0.2时,石油是PAHs的主要来源;当0.2 < Inp/(Inp+Bghip) < 0.5时,石油燃烧是PAHs的主要来源;而当Inp/(Inp+Bghip)>0.5时,PAHs的主要来源则为生物质和煤燃烧[18]。如图 6所示,大多数样品Ant/(Ant+Phe)比值高于0.1,表明PAHs的主要来源为燃烧来源。大部分样品中Flua/(Flua+Pyr)比值大于0.5,少部分介于0.4~0.5,表明煤/生物质燃烧为其主要来源,混有部分石油燃烧来源。样品中Inp/(Inp+Bghip)比值介于0.3~0.5,显示研究区域内有强烈的石油燃烧贡献。综上所述,在不同时期长江口潮间带表层沉积物中的PAHs主要来自石油、煤和生物质燃烧贡献。
|
图 6 研究区域内PAHs的Flua/(Flua+Pyr)、Ant/(Ant+Phe)和Inp/(Inp+Bghip)比值散点图 Fig. 6 Scatter plots of Flua/(Flua+Pyr), Ant/(Ant+Phe) and Inp/(Inp+Bghip) ratios of PAHs in the study area |
研究区域内PAHs组成特征如图 7所示。与n-alkanes的组成特征分布相似,丰水期不同环数PAHs的分布相比于枯水期的更为分散,表明丰水期对于人为来源有机碳的埋藏同样存在类似复杂情况,如水动力扰动,来源差异以及植物生长的影响等[51-52]。
|
图 7 研究区域内PAHs的组成特征 Fig. 7 Compositional characteristics of PAHs in the study area |
由于BC具有孔径小且多孔及较高的比表面积等特点,使得BC对一些憎水型有机污染物(如PAHs)具有较强的吸附能力并成为重要载体[53-54]。然而,这种吸附能力并非在所有环境介质中均表现出一致性,而是受到环境条件的显著影响。如图 8所示,本研究中,无论枯水期还是丰水期,在土壤中BC(以及char和soot)与PAHs之间不存在显著相关性(p>0.05),而在低潮裸滩沉积物中BC(以及char和soot)与PAHs存在显著相关性(p < 0.01),并呈现由陆向海相关性逐渐增强的趋势。因为在土壤中,尽管BC具备高吸附潜力,但土壤环境复杂多变,包括土壤有机质含量、矿物质组成、pH值、湿度以及微生物活动等因素,都可能对BC与PAHs的相互作用产生干扰。特别是土壤中的其他有机质成分可能竞争性地与PAHs结合,降低了BC对PAHs的吸附效率[53-55]。此外,土壤中的物理结构如团聚体稳定性也可能影响PAHs的迁移与分布,从而掩盖了BC与PAHs之间的直接相关性。相比之下,沉积物环境,尤其是低潮裸滩沉积物,通常具有更为稳定的水文条件和较低的有机质竞争吸附作用。水动力条件的持续扰动促进了沉积物中细小颗粒(包括BC)的重新分布与混合,可能使得BC与PAHs之间的接触机会增加,进而促进了吸附作用的发生。此外,沉积物中较低的微生物活动水平也可能减少了PAHs的生物降解,进一步增强了BC与PAHs之间的相关性。表明随着水动力条件的不断变化,研究区沉积物中的BC与PAHs可能经历着动态的吸附与解吸附过程。在丰水期或强水动力条件下,沉积物受到冲刷,部分BC与吸附的PAHs可能被释放到水体中;而在枯水期或水动力较弱时,则有利于BC对PAHs的重新吸附, 这种动态平衡过程可能导致了沉积物中BC与PAHs相关性随时间和空间的变化。另一方面,比较潮间带沉积物中soot和char对PAHs的相关性,发现soot和PAHs相关性更稳定,表明soot亚组分在其中扮演更主要的角色,是PAHs的时空分布的主要因素。
|
图 8 研究区域内BC,char,soot和PAHs的相关性 Fig. 8 Correlationsips between BC, char, soot, and PAHs in the study area |
(1) 长江口潮间带不同来源的有机碳埋藏的时空分布模式具有一致性。沉积物中TOC、BC含量由陆向海逐渐降低,且丰水期高于枯水期。由陆向海陆源贡献有机碳逐渐减少,人为来源贡献的影响并不显著,说明在潮间带有机碳发生流失或转化,潮汐交替水动力过程是主要因素。
(2) 长江口潮间带丰水期植物生长会影响n-alkanes新鲜输入和降解、BC的吸附富集,同时会降解部分PAHs,一定程度上造成丰水期潮间带区域有机碳时空分布多样化。
(3) BC和PAHs的组成比值结果指示主要来源是化石燃料和煤/生物质燃烧,还有部分石油输入。经过水动力持续扰动,长江口潮间带沉积物中BC和PAHs的吸附解吸附逐渐达到平衡,因此,低潮裸滩沉积物中两者的相关性明显增强。另一方面,BC亚组分char和soot,其中soot在吸附过程中扮演更主要的角色, 是影响PAHs时空分布的主要因素。
| [1] |
Fulton E A, Smith A D M, Johnson C R. Biogeochemical marine ecosystem models Ⅰ: IGBEM—a model of marine bay ecosystems[J]. Ecological Modelling, 2004, 174(3): 267-307. DOI:10.1016/j.ecolmodel.2003.09.027 ( 0) |
| [2] |
Poté J, Haller L, Loizeau J L, et al. Effects of a sewage treatment plant outlet pipe extension on the distribution of contaminants in the sediments of the Bay of Vidy, Lake Geneva, Switzerland[J]. Bioresource Technology, 2008, 99(15): 7122-7131. DOI:10.1016/j.biortech.2007.12.075 ( 0) |
| [3] |
Witt M L I, Mather T A, Baker A R, et al. Atmospheric trace metals over the south-west Indian Ocean: Total gaseous mercury, aerosol trace metal concentrations and lead isotope ratios[J]. Marine Chemistry, 2010, 121(1-4): 2-16. DOI:10.1016/j.marchem.2010.02.005 ( 0) |
| [4] |
Berner R A. Burial of organic carbon and pyrite sulfur in the modern ocean; Its geochemical and environmental significance[J]. American Journal of Science, 1982, 282(4): 451-473. DOI:10.2475/ajs.282.4.451 ( 0) |
| [5] |
Chmura G L, Anisfeld S C, Cahoon D R, et al. Global carbon sequestration in tidal, saline wetland soils[J]. Global Biogeochemical Cycles, 2003, 17(4): 2002GB001917. DOI:10.1029/2002GB001917 ( 0) |
| [6] |
Emerson S, Hedges J I. Processes controlling the organic carbon content of open ocean sediments[J]. Paleoceanography, 1988, 3(5): 621-634. DOI:10.1029/PA003i005p00621 ( 0) |
| [7] |
Zhang Y, Xiao X, Liu D, et al. Spatial and seasonal variations of organic carbon distributions in typical intertidal sediments of China[J]. Organic Geochemistry, 2020, 142: 103993. DOI:10.1016/j.orggeochem.2020.103993 ( 0) |
| [8] |
Wang Z, Liu Z, Yang Y, et al. Distribution of PAHs in tissues of wetland plants and the surrounding sediments in the Chongming Wetland, Shanghai, China[J]. Chemosphere, 2012, 89(3): 221-227. DOI:10.1016/j.chemosphere.2012.04.019 ( 0) |
| [9] |
Eglinton T I, Eglinton G. Molecular proxies for paleoclimatology[J]. Earth and Planetary Science Letters, 2008, 275(1-2): 1-16. DOI:10.1016/j.epsl.2008.07.012 ( 0) |
| [10] |
Guo W, He M, Yang Z, et al. Characteristics of petroleum hydrocarbons in surficial sediments from the Songhuajiang River (China): Spatial and temporal trends[J]. Environmental Monitoring and Assessment, 2011, 179(1-4): 81-92. DOI:10.1007/s10661-010-1720-0 ( 0) |
| [11] |
Zou Y, Wang C, Liu X, et al. Spatial distribution, compositional pattern and source apportionment of n-alkanes in surface sediments of the Bohai Sea, Yellow Sea, and East China Sea and implications of carbon sink[J]. Marine Pollution Bulletin, 2022, 178: 113639. DOI:10.1016/j.marpolbul.2022.113639 ( 0) |
| [12] |
Coppola A I, Walker B D, Druffel E R M. Solid phase extraction method for the study of black carbon cycling in dissolved organic carbon using radiocarbon[J]. Marine Chemistry, 2015, 177: 697-705. DOI:10.1016/j.marchem.2015.10.010 ( 0) |
| [13] |
Goldberg E D. Black carbon in the environment, properties and distribution[J]. Geochimica et Cosmochimica Acta, 1986, 50(7): 1569. ( 0) |
| [14] |
Anenberg S C, Schwartz J, Shindell D, et al. Global air quality and health co-benefits of mitigating near-term climate change through methane and black carbon emission controls[J]. Environmental Health Perspectives, 2012, 120(6): 831-839. DOI:10.1289/ehp.1104301 ( 0) |
| [15] |
Han Y M, Wei C, Huang R J, et al. Reconstruction of atmospheric soot history in inland regions from lake sediments over the past 150 years[J]. Scientific Reports, 2016, 6(1): 19151. DOI:10.1038/srep19151 ( 0) |
| [16] |
Delistraty D. Toxic equivalency factor approach for risk assessment of polycyclic aromatic hydrocarbons[J]. Toxicological & Environmental Chemistry, 1997, 64(1-4): 81-108. ( 0) |
| [17] |
Litskas V D, Dosis I G, Karamanlis X N, et al. Occurrence of priority organic pollutants in Strymon River catchment, Greece: inland, transitional, and coastal waters[J]. Environmental Science and Pollution Research, 2012, 19(8): 3556-3567. DOI:10.1007/s11356-012-0917-x ( 0) |
| [18] |
Yunker M B, Macdonald R W, Vingarzan R, et al. PAHs in the Fraser River Basin: A critical appraisal of PAH ratios as indicators of PAH source and composition[J]. Organic Geochemistry, 2002, 33(4): 489-515. DOI:10.1016/S0146-6380(02)00002-5 ( 0) |
| [19] |
姜晓华, 陈颖军, 唐建辉, 等. 渤海湾海岸带表层沉积物中黑碳的分布特征[J]. 生态环境学报, 2010, 19(7): 1617-1621. Jiang X H, Chen Y J, Tang J H, et al. The distribution of black carbon in the surface sediments of coastal zone, Bohai Bay[J]. Ecology and Environment, 2010, 19(7): 1617-1621. DOI:10.3969/j.issn.1674-5906.2010.07.018 ( 0) |
| [20] |
方引, 陈颖军, 林田, 等. 莱州湾海岸带表层沉积物的黑碳及其与POPs的相关性研究[J]. 地球化学, 2014, 43(4): 329-337. Fang Y, Chen Y J, Lin T, et al. Distribution of black carbon and its correlation with persistent organic pollutants (POPs) in the surface sediments of coastal zone, Laizhou Bay[J]. Geochimica, 2014, 43(4): 329-337. ( 0) |
| [21] |
Yao P, Yu Z, Bianchi T S, et al. A multiproxy analysis of sedimentary organic carbon in the Changjiang Estuary and adjacent shelf[J]. Journal of Geophysical Research: Biogeosciences, 2015, 120(7): 1407-1429. DOI:10.1002/2014JG002831 ( 0) |
| [22] |
邢亚茹. 南汇东滩湿地不同植被区沉积物的碳循环机制和碳埋藏效率[D]. 上海: 上海海洋大学, 2023. Xing Y R. Sediment Carbon Cycle Mechanism and Carbon Burial Efficiency in Different Vegetation Areas of the Dongtan Wetland in Nanhui[D]. Shanghai: Shanghai Ocean University, 2023. ( 0) |
| [23] |
Han Y, Cao J, An Z, et al. Evaluation of the thermal/optical reflectance method for quantification of elemental carbon in sediments[J]. Chemosphere, 2007, 69(4): 526-533. DOI:10.1016/j.chemosphere.2007.03.035 ( 0) |
| [24] |
Han Y M, Cao J J, Chow J C, et al. Elemental carbon in urban soils and road dusts in Xi'an, China and its implication for air pollution[J]. Atmospheric Environment, 2009, 43(15): 2464-2470. DOI:10.1016/j.atmosenv.2009.01.040 ( 0) |
| [25] |
Li J, Pu L, Zhu M, et al. Evolution of soil properties following reclamation in coastal areas: A review[J]. Geoderma, 2014, 226-227: 130-139. DOI:10.1016/j.geoderma.2014.02.003 ( 0) |
| [26] |
Cui J, Liu C, Li Z, et al. Long-term changes in topsoil chemical properties under centuries of cultivation after reclamation of coastal wetlands in the Yangtze Estuary, China[J]. Soil and Tillage Research, 2012, 123: 50-60. DOI:10.1016/j.still.2012.03.009 ( 0) |
| [27] |
Zhao Y, Shao S, Schaeffer S M, et al. Methodological clarification for estimating the input of plant-derived carbon in soils under elevated CO2 based on a 13C-enriched CO2 labeling experiment[J]. Plant and Soil, 2019, 440(1-2): 569-580. DOI:10.1007/s11104-019-04121-x ( 0) |
| [28] |
Derrien M, Yang L, Hur J. Lipid biomarkers and spectroscopic indices for identifying organic matter sources in aquatic environments: A review[J]. Water Research, 2017, 112: 58-71. DOI:10.1016/j.watres.2017.01.023 ( 0) |
| [29] |
孙赛赛, 王玉珏, 刘东艳, 等. 崇明东滩光滩带夏季有机质空间分布特征、来源组成及食物网作用[J]. 海洋环境科学, 2022, 41(3): 408-415. Sun S S, Wang Y J, Liu D Y, et al. Spatial distributions and sources of organic matter and its role in food webs in the Chongming Dongtan mudflats in summer[J]. Marine Environmental Science, 2022, 41(3): 408-415. ( 0) |
| [30] |
丁艳. 长江三角洲滨海湿地沉积物有机碳来源辨析与降解特征研究[D]. 上海: 华东师范大学, 2023. Ding Y. Source Discrimination and Degradation Characteristics of Sediment Organic Carbon in Coastal Wetlands of the Yangtze River Delta[D]. Shanghai: East China Normal University, 2023. ( 0) |
| [31] |
Zaghden H, Tedetti M, Sayadi S, et al. Origin and distribution of hydrocarbons and organic matter in the surficial sediments of the Sfax-Kerkennah channel (Tunisia, Southern Mediterranean Sea)[J]. Marine Pollution Bulletin, 2017, 117(1-2): 414-428. DOI:10.1016/j.marpolbul.2017.02.007 ( 0) |
| [32] |
Ankit Y, Mishra P K, Kumar P, et al. Molecular distribution and carbon isotope of n-alkanes from Ashtamudi Estuary, South India: Assessment of organic matter sources and paleoclimatic implications[J]. Marine Chemistry, 2017, 196: 62-70. DOI:10.1016/j.marchem.2017.08.002 ( 0) |
| [33] |
国家统计局. 长江2022年12月、2023年7月船舶登记工作量[R]. 北京: [s. n. ], 2024. National Bureau of Statistics. Yangtze River Ship Registration Workload for December 2022 and July 2023[R]. Beijing: [s. n. ], 2024. ( 0) |
| [34] |
Mead R, Xu Y, Chong J, et al. Sediment and soil organic matter source assessment as revealed by the molecular distribution and carbon isotopic composition of n-alkanes[J]. Organic Geochemistry, 2005, 36(3): 363-370. DOI:10.1016/j.orggeochem.2004.10.003 ( 0) |
| [35] |
Zhang Z, Zhao M, Eglinton G, et al. Leaf wax lipids as paleovegetational and paleoenvironmental proxies for the Chinese Loess Plateau over the last 170kyr[J]. Quaternary Science Reviews, 2006, 25(5-6): 575-594. DOI:10.1016/j.quascirev.2005.03.009 ( 0) |
| [36] |
杜亚南, 朱巧云, 吕志钢, 等. 长江口历年入海水量月年变化特征分析[J]. 水利水电快报, 2019, 40(10): 8-12. Du Y N, Zhu Q Y, Lv Z G, et al. Analysis on the monthly and annual variation characteristics of the amount of seawater entering the Yangtze River Estuary over the years[J]. Express Water Resources and Hydropower Information, 2019, 40(10): 8-12. ( 0) |
| [37] |
Bhandari R, Routh J, Sharma S, et al. Contrasting lipid biomarkers in mountain rivers in the Nepal Himalayas: Organic matter characteristics and contribution to the fluvial carbon pool[J]. Geoscience Frontiers, 2021, 12(6): 101231. DOI:10.1016/j.gsf.2021.101231 ( 0) |
| [38] |
柳林. 长江口湿地碳氮汇能力及其生态环境效应[D]. 上海: 华东师范大学, 2016. Liu L. Carbon and Nitrogen Sink Capability and the Ecological and Environmenrak Effect in Yangtze Estuarine Wetland[D]. Shanghai: East China Normal University, 2016. ( 0) |
| [39] |
杨中元, 娄厦, 陈仕哲, 等. 长江口滨海湿地有机碳循环过程及影响因素研究进展[J]. 同济大学学报(自然科学版), 2024, 52(2): 303-312. Yang Z Y, Lou X, Chen S Z, et al. Advances in organic carbon cycle processes and influencing factors of coastal wetlands in the Yangtze River Estuary[J]. Journal of Tongji University(Natural Science), 2024, 52(2): 303-312. ( 0) |
| [40] |
张龙军, 宫萍, 张向上. 河口有机碳研究综述[J]. 中国海洋大学学报(自然科学版), 2005(5): 737-744. Zhang L J, Gong P, Zhang X S. A review of estuarine organic carbon research[J]. Periodical of Ocean University of China, 2005(5): 737-744. DOI:10.16441/j.cnki.hdxb.2005.05.008 ( 0) |
| [41] |
吴丹丹. 长江口沉积物碳氮元素地球化学特征及有机质来源分析[D]. 南京: 南京大学, 2012. Wu D D. The Geochemical Character of Carbon and Nitrogen in the Estuarine Sediments of Changjiang and the Source Analysis of the Organics[D]. Nanjing: Nanjing University, 2012. ( 0) |
| [42] |
李华, 杨世伦, Ysebaert T, 等. 长江口潮间带淤泥质沉积物粒径空间分异机制[J]. 中国环境科学, 2008(2): 178-182. Li H, Yang S L, Ysebaert T, et al. Spatial difference mechanism of sludge sediment grain size in tidal wetlands of Yangtze delta[J]. China Environmental Science, 2008(2): 178-182. DOI:10.3321/j.issn:1000-6923.2008.02.017 ( 0) |
| [43] |
Elmquist M, Cornelissen G, Kukulska Z, et al. Distinct oxidative stabilities of char versus soot black carbon: Implications for quantification and environmental recalcitrance[J]. Global Biogeochemical Cycles, 2006, 20(2): 2005GB002629. DOI:10.1029/2005GB002629 ( 0) |
| [44] |
Masiello C A. New directions in black carbon organic geochemistry[J]. Marine Chemistry, 2004, 92(1-4): 201-213. DOI:10.1016/j.marchem.2004.06.043 ( 0) |
| [45] |
Huang Q, Zhu Y, Wu F, et al. Parent and alkylated polycyclic aromatic hydrocarbons in surface sediments of mangrove wetlands across Taiwan Strait, China: Characteristics, sources and ecological risk assessment[J]. Chemosphere, 2021, 265: 129168. DOI:10.1016/j.chemosphere.2020.129168 ( 0) |
| [46] |
Saldarriaga-Noreña H, López-Márquez R, Murillo-Tovar M, et al. Analysis of PAHs associated with particulate matter PM2.5 in two places at the City of Cuernavaca, Morelos, México[J]. Atmosphere, 2015, 6(9): 1259-1270. DOI:10.3390/atmos6091259 ( 0) |
| [47] |
Cao J J, Wu F, Chow J C, et al. Characterization and source apportionment of atmospheric organic and elemental carbon during fall and winter of 2003 in Xi'an, China[J]. Atmospheric Chemistry and Physics, 2005, 5(11): 3127-3137. DOI:10.5194/acp-5-3127-2005 ( 0) |
| [48] |
欧冬妮. 长江口滨岸多环芳烃(PAHs)多相分布特征与源解析研究[D]. 上海: 华东师范大学, 2007. Ou D N. Multi-Media Distribution and Sources Identification of Polycyclic Aromatic Hydrocarbons(PAHs)in the Yangtze Estuarine and Coastal Ecosystem[D]. Shanghai: East China Normal University, 2007. ( 0) |
| [49] |
Chen X, Liu X, Liu M, et al. Molecular characterization of PAHs based on land use analysis and multivariate source apportionment in multiple phases of the Yangtze estuary, China[J]. Environmental Science: Processes & Impacts, 2018, 20(3): 531-543. ( 0) |
| [50] |
于晓霞, 吴悦菡, 王东鑫, 等. 涨落潮影响下长江口PAHs水-悬沙相间分配特征[J]. 环境化学, 2020, 39(10): 2840-2848. Yu X X, Wu Y H, Wang D X, et al. Multiphase distribution of polycyclic aromatic hydrocarbons (PAHs) in Yangtze Estuary under the impacts of ebb and flow[J]. Environmental Chemistry, 2020, 39(10): 2840-2848. DOI:10.7524/j.issn.0254-6108.2019072905 ( 0) |
| [51] |
Harrison R M, Smith D J T, Luhana L. Source apportionment of atmospheric polycyclic aromatic hydrocarbons collected from an urban location in Birmingham, U. K.[J]. Environmental Science & Technology, 1996, 30(3): 825-832. ( 0) |
| [52] |
Javed W, Iakovides M, Stephanou E G, et al. Concentrations of aliphatic and polycyclic aromatic hydrocarbons in ambient PM2.5 and PM10 particulates in Doha, Qatar[J]. Journal of the Air & Waste Management Association, 2019, 69(2): 162-177. ( 0) |
| [53] |
Cornelissen G, Kukulska Z, Kalaitzidis S, et al. Relations between environmental black carbon sorption and geochemical sorbent characteristics[J]. Environmental Science & Technology, 2004, 38(13): 3632-3640. ( 0) |
| [54] |
Countway R E, Dickhut R M, Canuel E A. Polycyclic aromatic hydrocarbon (PAH) distributions and associations with organic matter in surface waters of the York River, VA Estuary[J]. Organic Geochemistry, 2003, 34(2): 209-224. DOI:10.1016/S0146-6380(02)00162-6 ( 0) |
| [55] |
蔡杨, 李伟, 左雪燕, 等. 盐城滨海湿地土壤多环芳烃分布特征及影响因素[J]. 生态环境学报, 2021, 30(6): 1249-1259. Cai Y, Li W, Zuo X Y, et al. Distribution characteristics and influencing factors of pahs in Yancheng coastal wetland soil[J]. Ecology and Environmental Sciences, 2021, 30(6): 1249-1259. ( 0) |
2025, Vol. 55



0)