2. 烟台中集蓝海洋科技有限公司,山东 烟台 264000
近年来,水产养殖业为全人类提供了近半数的鱼类食品[1],国家也大力调整渔业发展政策,把水产养殖业作为全国渔业发展的重点[2]。海上网箱养殖是水产养殖的一种重要形式,由于社会经济发展,目前已由近岸养殖逐渐发展至向离岸养殖。网衣作为养殖网箱的重要组成部分,在离岸养殖环境下,网衣附着生物往往得不到及时清洗,特别是网箱的网角处,洗网机难以彻底清理干净,而生物附着下的网衣更易被破坏。因此,开展生物附着影响下的网衣水动力特性研究,对于了解离岸养殖网箱网衣的水动力响应具有重要意义。
国内外的学者们采用数值模拟和模型试验等方法对网衣水动力特性进行了大量研究。如采用网目群化[3-4]、集中质量模型[5-6]、离散单元模型[7]等方法,考虑波浪[8-11]、水流[12-14]、波流复合[15-16]等因素分析网衣的水动力特性。赵云鹏等[17]较早地采用多孔介质模型来模拟网衣,其结果与试验结果中网衣周围流速值相符,从而证明了多孔介质模型可以用来模拟网衣周围流场。Patursson等[18]通过最小二乘法求得多孔介质模型的阻力系数。刘春宏等[19]基于多孔介质模型对网衣和鱼类作用下的网箱周围流场进行数值模拟,发现当综合考虑网衣和鱼类的作用时,模拟得到的网箱周围流场特性更准确。Bi等[20]和Shimizu等[21]通过试验对有生物附着的网衣进行了研究。赖艳[22]通过试验对比分析了在硬质生物和柔性生物附着后网衣密实度不超过0.4的水动力特性,得到两种网衣受到的水阻力均随密实度、来流速度的增大而增大,且在同一密实度下,硬质生物附着下的网衣受力更大。Yarko等[23]通过试验测得在不同流动条件下的两种类型网衣受到的法向阻力和切向阻力,从而计算得到了网衣的阻力系数与密实度、雷诺数之间的关系。Swift等[24]通过水槽试验和现场拖曳力的测试试验研究了主要附着物为藻类的污损网片受力特性。由以上分析可知,许多学者已通过试验方法研究了低生物附着对网片的受力影响,但目前关于模拟生物附着导致的高密实度网衣载荷计算的研究相对较少。
本研究数值模拟基于CFD软件STAR-CCM+,视生物附着下的网箱网衣为多孔介质,建立了高密实度的离岸养殖网箱网衣的三维模型。在验证了所建立模型的可行性后,分析了在不同网目、不同生物附着程度下网衣周围的流速分布和阻力变化。
1 数值模型 1.1 控制方程不可压缩黏性流体的流动必须要满足质量守恒和动量守恒,因此采用雷诺平均N-S方程[1]:
| $ \frac{\partial \rho}{\partial t}+\frac{\partial\left(\rho u_i\right)}{\partial x_i}=0 $ | (1) |
| $ \begin{gathered} \frac{\partial\left(\rho u_i\right)}{\partial t}+\frac{\partial\left(\rho u_i u_j\right)}{\partial x_j}= \\ -\frac{\partial P}{\partial x_i}+\frac{\partial}{\partial x_j}\left(\mu \frac{\partial u_i}{\partial x_j}\right)+\frac{\partial}{\partial x_j}\left(-\rho \overline{u_i^{\prime}{ }u_j^{\prime}}\right)+S_i 。\end{gathered} $ | (2) |
式中:ρ为流体密度;t为时间;xi为空间点的坐标;ui和uj为速度分量的时均值;
采用标准k-ε湍流模型,k和ε由下列方程[1]给出:
| $ \frac{\partial k}{\partial t}+U_j \frac{\partial k}{\partial X_j}=\frac{\partial}{\partial X_j}\left(\frac{\nu_T}{\sigma_k} \frac{\partial k}{\partial X_j}\right)+\nu_T\left(\frac{\partial U_i}{\partial X_j}+\frac{\partial U_j}{\partial X_j}\right)-\varepsilon, $ | (3) |
| $ \begin{gathered} \frac{\partial \varepsilon}{\partial t}+U_j \frac{\partial \varepsilon}{\partial X_j}=\frac{\partial}{\partial X_j}\left(\frac{\nu_T}{\sigma_{\varepsilon}} \frac{\partial \varepsilon}{\partial X_j}\right)+ \\ C_1 \frac{\varepsilon}{k} \nu_T\left(\frac{\partial U_i}{\partial X_j}+\frac{\partial U_j}{\partial X_j}\right) \frac{\partial U_i}{\partial X_j}-C_2 \frac{\varepsilon^2}{k} 。\end{gathered} $ | (4) |
式中
由于网箱网衣是一种孔隙结构,直接对其进行数值模拟时网格量巨大,浪费计算资源。在流体计算中通常利用多孔介质模型来模拟网衣结构,将其简化为增加了阻力源项的流体区域,以便计算。其内部动量方程的源项[25]是
| $ S_i=-\boldsymbol{D}_{i j} \mu u_j-\boldsymbol{C}_{i j} \frac{1}{2} \rho|u| u_j。$ | (5) |
式中:Si为多孔介质区域的阻力;
| $ \boldsymbol{D}_{i j}=\left[\begin{array}{ccc} D_n & 0 & 0 \\ 0 & D_t & 0 \\ 0 & 0 & D_t \end{array}\right], \boldsymbol{C}_{i j}=\left[\begin{array}{ccc} C_n & 0 & 0 \\ 0 & C_t & 0 \\ 0 & 0 & C_t \end{array}\right] . $ |
式中:Dn为法向黏性阻力系数;Dt为切向黏性阻力系数;Cn为法向惯性阻力系数;Ct为切向惯性阻力系数。
2 多孔介质模型阻力系数计算 2.1 多孔介质模型的有效性验证为了验证多孔介质模型设置的可行性,本研究根据Patursson[26]的水池试验进行了相应的数值模拟。试验水池长37 m、宽3.66 m、深2.44 m,试验网衣为100 mm×100 mm的无结尼龙网衣,网线直径为2.8 mm,网目长度为58 mm,由固定装置安放在水池中央、水面以下0.73 m处,目的是减小网衣前后压力差引起的表面波形成的阻力影响。在网衣后方2.5 m处有一速度监测点,可以测量此处流速来分析网衣下游的流速衰减情况。
本研究所建立的数值模型如图 1所示,数值水池的长为5.0 m、宽3.66 m、高2.44 m,多孔介质模型的厚度设置为0.05 m,距离速度入口1.5 m。网衣密实度可由Kristiansen[27]提出的计算公式获得:
| $ S=\frac{2 d}{\lambda}-\left(\frac{d}{\lambda}\right)^2。$ | (6) |
|
图 1 多孔介质模型及速度监测点示意图 Fig. 1 Schematic diagram of porous media model and velocity monitoring point |
式中:d代表网线直径; λ代表目脚长度。可得试验网衣密实度为0.184。根据试验的来流速度,分别设置流速为0.125、0.25、0.5和0.75 m/s。
提取速度监测点的流速和网衣阻力系数与试验结果对比,结果如图 2所示。可知数值模拟结果与试验结果误差不超过5%,可认为多孔介质模型能够较好地模拟网衣周围的流场特征。
|
图 2 监测点流速和阻力系数试验值与模拟值对比 Fig. 2 Comparison between the experimental and simulated values of the flow rates and the drag coefficient at monitoring points |
为获得网衣阻力系数,建立10×10共计100网目的网衣模型,如图 3所示,网衣采用无结尼龙网衣,目脚长度为30 mm,网线直径为3.1 mm,面积为0.3 m×0.3 m,可以计算得到网衣密实度为0.196,数值水池为0.06 m×0.3 m×0.3 m,网格划分情况如图 4所示。
|
图 3 网衣模型示意图 Fig. 3 Net model diagram |
|
图 4 网格划分示意图 Fig. 4 Grid division diagram |
对密实度0.196的模型进行收敛性分析,结果如表 1所示。为节约计算资源同时保证结果的准确性,最终选择网格尺寸为0.001 5 m。
|
|
表 1 网格收敛性分析 Table 1 Grid convergence analysis |
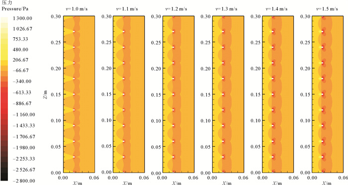
设置来流速度分别为1.0、1.1、1.2、1.3、1.4和1.5 m/s来对网衣周围流场进行数值模拟,进而求解多孔介质模型的黏性阻力系数和惯性阻力系数,通过截取XZ平面,展示了不同流速下网衣周围沿水池长度方向的速度和压力分布,结果如图 5和6所示。
|
图 5 不同流速下网衣周围的流速分布 Fig. 5 Velocity distribution around the net at different velocities |
|
图 6 不同流速下网衣周围的压力分布 Fig. 6 Pressure distribution around the net at different velocities |
由流速分布图可以得出,来流在接近网线时开始发生衰减,流经网线后在网线后方发生明显减小,在网线两侧流速增加,来流速度越大,速度变化越明显。由压力分布图可以得出,网衣前后存在明显的压力差,且在网线前后更为明显,来流速度越大,网线后方低压区域越大。
然后监测水池速度入口和压力出口处的压力值大小可获得网衣前后的压力降,将压力降的数值大小除以水池长度可获得梯度压力降,将不同来流速度下的网衣梯度压力降进行拟合[28],得到的拟合曲线如图 7所示。
|
图 7 密实度0.196的多孔介质模型阻力系数拟合曲线 Fig. 7 Fitting curve of resistance coefficient of porous media model with density of 0.196 |
将拟合曲线截距设置为0,得到拟合优度R平方为1,说明此拟合曲线较为准确。B1即为黏性阻力系数的大小,其值为287.46,B2即为惯性阻力系数的大小,其值为1 319.64。根据此方法,建立生物附着影响下的不同生物附着程度网衣模型,计算获得不同来流速度下的压力降曲线,最终得到目脚长度为30和60 mm且密实度在0.4~0.9(包括0.4、0.5、0.6、0.7、0.8和0.9)之间的网衣多孔介质模型黏性阻力系数和惯性阻力系数(见表 2)。
|
|
表 2 不同生物附着程度网衣模型阻力系数 Table 2 Resistance coefficient of net model with different biological attachment degree |
为保证计算结果的准确性,本研究先基于上述结果对单片网衣的流场进行分析,网衣采用无结尼龙网衣,目脚长度为30 mm,面积为1 m×1 m,多孔介质模型厚度为0.06 m,数值水池长5 m、宽1.8 m、水深1.2 m。网衣位于水池中央,距离速度入口1.5 m,选择网格尺寸为0.02 m,除速度入口和压力出口外,其他均设置为对称平面,入口来流速度设置为v=1.5 m/s,网格划分情况如图 8所示。
|
图 8 单片网衣网格划分情况 Fig. 8 Grid division of single net garment |
对密实度为0.4的单片网衣模型进行收敛性分析,结果如表 3所示。为节约计算资源同时保证结果的准确性,最终选择网格尺寸为0.02 m。
|
|
表 3 网格收敛性分析 Table 3 Grid convergence analysis |
针对密实度分别为0.4、0.5、0.6、0.7、0.8和0.9的网衣多孔介质模型,计算并设置了其黏性阻力系数和惯性阻力系数,截取XZ平面水池中心得到的流场情况如图 9所示。可见,密实度越大,流速衰减的宽度范围越大,且密实度超过0.8时,由于绕流现象的影响出现较低流速区域包围较高流速区域情况。网衣阻力随密实度增加呈先快速增加后缓慢增加(见图 10)。流场和网衣阻力变化与整体网箱网衣流场和网衣阻力变化情况相符。
|
图 9 XZ方向水池中心单片网衣流场随生物附着程度变化示意图 Fig. 9 Schematic diagram of the flow field of a single net at the center of the pool in the XZ direction with the degree of biological attachment |
|
图 10 单片网衣阻力随生物附着程度变化 Fig. 10 The resistance of a single net varies with the degree of biological attachment |
本研究根据烟台经海系列养殖网箱,建立了网纲模型和多孔介质模型,示意网衣覆盖区域,上端长边45 m,短边4.2 m,下端边长42.75 m,高度为30 m,养殖网箱20 m位于水下,如图 11和12所示,多孔介质模型厚度为0.06 m。数值水池X方向长164 m、Y方向宽102 m、Z方向水深32.5 m。网衣位于水池中央,距离速度入口56.5 m,网格采用切割体单元,将目脚长度30 mm且密实度0.178的网衣多孔介质模型进行网格收敛性分析(见表 4),为节约计算资源同时保证结果的准确性,最终选择网格尺寸为0.48 m,对网衣周围和自由液面进行局部加密,加密后的网格尺寸为0.24 m,网格划分情况如图 13所示。考虑网衣距离海底较近,将水池底面设置为壁面,除压力出口外,其他均设置为速度入口,入口来流速度设置为v=1.5 m/s。
|
图 11 网纲模型示意图 Fig. 11 Schematic diagram of the net rope model |
|
图 12 多孔介质模型示意图 Fig. 12 Schematic diagram of the porous medium model |
|
|
表 4 网格收敛性分析 Table 4 Grid convergence analysis |
|
图 13 网衣周围及自由液面网格加密示意图 Fig. 13 Mesh encryption diagram around the net and free liquid surface |
当目脚长度为30、60 mm时,通过改变网衣的生物附着程度,对比分析网衣周围的流场分布。本研究认为生物附着对网衣的影响使网线直径均匀增加,根据Fredheim[7]提出的密实度计算公式可以反推得到生物附着程度不同情况下等效网线直径的大小,如表 5所示。可见,网衣生物附着程度相同时,目脚长度越大,等效网线直径越大。因此,相同规格尺寸的网线,目脚长度越大,网衣生物附着程度越小。
|
|
表 5 网衣不同生物附着程度等效网线直径 Table 5 Different biological attachment degree is equivalent to the diameter of the net cable |
截取XZ平面水池中心处,可获得两种网目下不同生物附着程度网衣流场分布如图 12、13所示,从上到下由生物附着程度影响的网衣密实度分别是0.4、0.5、0.6、0.7、0.8和0.9,可以看出,来流在经过网衣前就开始发生衰减,衰减区域呈扇形分布;流经网衣后,由于网衣的阻碍作用,来流发生明显的衰减,衰减区域与网箱高度范围大致相等;由于底网与来流方向平行,密实度为0.4时,网箱底网位置绕流现象较为明显,底网后方尾流流速更低,底网下方流速增加;随密实度增加,网箱后方流速衰减得越发明显,不利于区域水体交换,同时网箱底部流速增加越大,对网衣后方底部冲刷逐渐增强,不利于网箱的稳定;图 14和15对比可以发现,密实度相同时,目脚长度30和60 mm的网箱区域流场分布情况比较接近,可见,网箱区域的流场变化主要受密实度影响,目脚长度对其影响较小。
|
图 14 目脚长度30 mm时XZ平面网衣中心流场随生物附着程度变化示意图 Fig. 14 Schematic diagram of the variation of the flow field at the center of the net in the XZ plane with the degree of biological attachment when the length of mesh is 30 mm |
|
图 15 目脚长度60 mm时XZ平面网衣中心流场随生物附着程度变化示意图 Fig. 15 Schematic diagram of the variation of the flow field at the center of the net in the XZ plane with the degree of biological attachment when the length of mesh is 60 mm |
图 16、17和18分别为30 mm目脚长度和60 mm目脚长度下的网衣底面中心上方1、5和10 m处沿着水池长度方向变化发生的流速变化对比图,可以看出生物附着程度相同时,不同网目网衣周围相同位置的流速变化基本一致,在网衣底面中心上方,随高度变化,流场受网箱底部网片和绕流现象的影响逐渐减小,因此,当密实度较小时,越靠近网底,流场波动越剧烈;在网衣底面中心上方10 m处,密实度低于0.4,流速先衰减后趋于稳定,密实度高于0.4,流速先衰减后有回升,这是因为随密实度增加,网衣结构逐渐趋于封闭的实体,流速衰减程度越大,衰减范围越小,随流速波动越快开始回升,密实度低于0.4的网衣结构中心流速趋于稳定,相对于未附着生物时的流速,平均幅值分别下降了10.851%、12.314%、31.433%和46.537%。
|
图 16 两组网目下网衣底面中心上方1 m处流速变化对比 Fig. 16 Comparison of flow velocity changes at 1 m above the bottom center of net garment between two groups of mesh |
|
图 17 两组网目下网衣底面中心上方5 m处流速变化对比 Fig. 17 Comparison of flow velocity changes at 5 m above the bottom center of net garment between two groups of mesh |
|
图 18 两组网目下网衣底面中心上方10 m处流速变化对比 Fig. 18 Comparison of flow velocity changes at 10 m above the bottom center of net garment between two groups of mesh |
网衣总阻力随生物附着程度变化如图 19所示,可以得到目脚长度30 mm与目脚长度60 mm生物附着程度不同时受到的总阻力大小,可见生物附着程度相同时,网衣受到的总阻力近似相等,且网衣总阻力随密实度变化趋势均呈先快速增加后缓慢增加。因此,要尽量控制网衣的生物附着程度,否则网衣受到的总阻力会急剧增加,极大破坏了网衣的安全性,加剧了网衣破损的风险。同时相同规格尺寸的网衣,网目长度越大,生物附着程度越小,网衣所受阻力越小,实际工程中,在满足所有要求的同时,应尽可能选择较大的网目长度,有利于保障网衣的安全性。
|
图 19 两组网目下网衣总阻力随生物附着程度变化对比 Fig. 19 Comparison of the variation in the total resistance of net with the degree of biological attachment under two mesh size regimes |
本文基于CFD方法,采用多孔介质模型模拟不同生物附着程度的离岸养殖网箱网衣。分析了在不同网目、不同生物附着程度下网衣周围的流速分布及阻力情况,得到如下结论:
(1) 随密实度增加,网箱后方流速衰减得越发明显,越不利于区域水体交换,同时网箱底部流速增加越大,对网衣后方底部冲刷逐渐增强,不利于网箱的稳定。
(2) 网衣生物附着程度相同时,网衣内部流场与总阻力变化情况基本相同,主要受密实度影响,目脚长度对其影响较小,网衣阻力随密实度增加呈先缓后快再缓的增大趋势。
| [1] |
Xu Z J, Qin H D. Fluid-structure interactions of cage based aquaculture: From structures to organisms[J]. Ocean Engineering, 2020, 217: 107961. DOI:10.1016/j.oceaneng.2020.107961 ( 0) |
| [2] |
刘永新, 邵长伟, 王书, 等. 简述我国水产种业发展现状、问题与展望[J]. 中国农村科技, 2021(6): 62-65. Liu Y X, Shao C W, Wang S H, et al. Development status, problems and prospects of aquatic seed industry in China[J]. China Rural Science and Technology, 2021(6): 62-65. DOI:10.3969/j.issn.1005-9768.2021.06.015 ( 0) |
| [3] |
万荣, 何鑫, 王欣欣, 等. 一种适用于网箱耐流特性有限元分析的网目群化方法[J]. 中国海洋大学学报(自然科学版), 2007, 37(6): 885-888. Wan R, He X, Wang X X, et al. A method of mesh group for fish cage anti-current characteristics by means of finite element analysis[J]. Periodical of Ocean University of China, 2007, 37(6): 885-888. DOI:10.16441/j.cnki.hdxb.2007.06.005 ( 0) |
| [4] |
施兴华, 周游, 钱佶麒, 等. 基于水动力性能的网箱网衣网目群化数值模拟方法研究[J]. 渔业现代化, 2021, 48(3): 74-79+96. Shi X H, Zhou Y, Qian J Q, et al. Study on numerical simulation method of cage mesh mesh based on hydrodynamic performance[J]. Fishery Modernization, 2021, 48(3): 74-79+96. DOI:10.3969/j.issn.1007-9580.2021.03.010 ( 0) |
| [5] |
Huang C C, Tang H J, Liu J Y. Dynamical analysis of net cage structures for marine aquaculture: Numerical simulation and model testing[J]. Aquacultural Engineering, 2006, 35(3): 258-270. DOI:10.1016/j.aquaeng.2006.03.003 ( 0) |
| [6] |
赵云鹏, 李玉成, 董国海, 等. 水流作用下重力式网箱网衣张力分布[J]. 渔业现代化, 2008, 35(6): 5-8. Zhao Y P, Li Y C, Dong G H, et al. Tension distribution of gravity cage net in steady current[J]. Fishery Modernization, 2008, 35(6): 5-8. ( 0) |
| [7] |
Fredheim A, Langan R. Advances in technology for off-shore and open ocean finfish aquaculture[M]//New Technologies in Aquaculture. [S. l. ]: Woodhead Publishing, 2009: 914-944.
( 0) |
| [8] |
赵云鹏, 刘延星, 毕春伟. 网衣波浪水动力特性的数值模拟初步研究[J]. 渔业现代化, 2013, 40(2): 56-61. Zhao Y P, Liu Y X, Bi C W. Preliminary study on Numerical simulation of wave hydrodynamic characteristics of net coat[J]. Fishery Modernization, 2013, 40(2): 56-61. ( 0) |
| [9] |
张健, 冯德军, 王萍, 等. 波浪作用下箱网式浮鱼礁水动力特性研究[J]. 中国水产科学, 2019, 26(5): 1014-1020. Zhang J, Feng D J, Wang P, et al. Hydrodynamic characteristics of a cage-net floating reef in waves[J]. Chinese Journal of Fisheries Sciences, 2019, 26(5): 1014-1020. ( 0) |
| [10] |
苗玉基, 丁军, 田超, 等. 波浪作用下网衣结构承受载荷研究[J]. 中国造船, 2020, 61(2): 210-219. Miao Y J, Ding J, Tian C, et al. Research on load bearing of mesh coat structure under wave action[J]. Shipbuilding of China, 2020, 61(2): 210-219. DOI:10.3969/j.issn.1000-4882.2020.02.020 ( 0) |
| [11] |
俞嘉臻, 张显涛, 李欣. 聚焦波作用下平面网衣结构的水动力特性研究[J]. 海洋工程, 2022, 40(5): 98-110. Yu J Z, Zhang X T, Li X. Numerical tudy on the hydrodynamic characteristics of a net structure under focused wave groups[J]. Ocean Engineering, 2022, 40(5): 98-110. ( 0) |
| [12] |
陈天华, 潘昀, 孟昂, 等. 桩柱式围网单元网片在水流作用下的水动力特性研究[J]. 水动力学研究与进展A辑, 2017(4): 511-519. Chen T H, Pan Y, Meng A, et al. Study on the hydrodynamic of unit net panel of the column-type net enclosure in currents[J]. Hydrodynamics Research and Progress A, 2017(4): 511-519. ( 0) |
| [13] |
刘航飞, 陈昌平, 郑艳娜, 等. 水流作用下一种养殖金属网衣水阻力特性的数值模拟研究[J]. 渔业现代化, 2017, 44(6): 73-79. Liu H F, Chen C P, Zheng Y N, et al. Study of the numerical simulation of characteristics of different flow resistances on a metal chain-link net for aquaculture under currents[J]. Fishery Modernization, 2017, 44(6): 73-79. ( 0) |
| [14] |
胡克, 耿宝磊, 赵旭, 等. 水流作用下的渔网水动力数值方法研究[J]. 水道港口, 2019, 40(2): 199-205. Hu K, Geng B L, Zhao X, et al. A numerical method for hydrodynamics loads of the net[J]. Journal of Waterway Ports, 2019, 40(2): 199-205. ( 0) |
| [15] |
刘莉莉, 万荣, 黄六一, 等. 波流场中张网渔具水动力学特性的数值模拟[J]. 中国海洋大学学报(自然科学版), 2013, 43(5): 24-29. Liu L L, Wan R, Huang L Y, et al. Numerical simulation of hydrodynamic characteristics of stow net in wave and curent[J]. Periodical of Ocean University of China, 2013, 43(5): 24-29. DOI:10.16441/j.cnki.hdxb.2013.05.004 ( 0) |
| [16] |
王顺, 冯德军, 桂福坤. 波流复合工况下缝边式围栏网衣水动力特性[J]. 农业工程学报, 2022, 38(19): 60-68. Wang S, Feng D J, Gui F K. Hydrodynamic characteristics of the net of seam-edge type net enclosure under the combined wave-current loads[J]. Transactions of the Chinese Society of Agricultural Engineering, 2022, 38(19): 60-68. ( 0) |
| [17] |
赵云鹏, 毕春伟, 董国海, 等. 平面网衣周围流场的三维数值模拟[J]. 水动力学研究与进展A辑, 2011, 26(5): 606-613. Zhao Y P, Bi C W, Dong G H, et al. Three-dimensional numerical simulation of flow field around flat mesh[J]. Hydrodynamics Research and Progress A, 2011, 26(5): 606-613. ( 0) |
| [18] |
Patursson O, Swift M R, Tsukrov I, et al. Development of a porous media model with application to flow through and around a net panel[J]. Ocean Engineering, 2010, 37(2/3): 314-324. ( 0) |
| [19] |
刘春宏, 刘长根, 董娇娇, 等. 基于多孔介质模型的养殖网箱周围流场特性研究[J]. 应用力学学报, 2022, 39(1): 176-185. Liu C H, Liu C G, Dong J J, et al. Study on flow field characteristics around aquaculture cages based on porous medium model[J]. Chinese Journal of Applied Mechanics, 2022, 39(1): 176-185. ( 0) |
| [20] |
Bi C W, Zhao Y P, Dong G H, et al. Drag on and flow through the hydroid-fouled nets in currents[J]. Ocean Engineering, 2018, 161: 195-204. ( 0) |
| [21] |
Shimizu H, Mizukami Y, Kitazawa D. Experimental study of the drag on fine-mesh netting[J]. Aquacultural Engineering, 2018, 81: 101-106. ( 0) |
| [22] |
赖艳. 硬质生物附着下网衣水动力特性实验研究[D]. 大连: 大连理工大学, 2021. Lai Y. Experimental Study on Hydrodynamic Characteristics of Mesh with Rigid Biological Attachment[D]. Dalian: Dalian University of Technology, 2021. ( 0) |
| [23] |
Nio Y, Vidal K, Tamburrino A, et al. Normal and tangential drag forces of nylon nets, clean and with fouling, in fish farming. an experimental stud[J]. Wate, 2020, 12(8): 2238. ( 0) |
| [24] |
Swift M R, Fredriksson D W, Unrein A, et al. Drag force acting on biofouled net panels[J]. Aquacultural Engineering, 2006, 35(3): 292-299. ( 0) |
| [25] |
Zhao Y P, Bi C W, Dong G H, et al. Numerical simulation of the flow field inside and around gravity cages[J]. Aquacultural Engineering, 2013, 52: 1-13. ( 0) |
| [26] |
Patursson O. Flow Through and Around Fish Farming Nets[D]. Durhum: University of New Hampshire, 2018.
( 0) |
| [27] |
Kristiansen T, Faltinsen O M. Modelling of current loads on aquaculture net cages[J]. Journal of Fluids and Structures, 2012, 34: 218-235. ( 0) |
| [28] |
孙国庆. 网架式网箱内部波流场数值模拟研究[D]. 哈尔滨: 哈尔滨工程大学, 2022. Sun G Q. Numerical Simulation of Wave Flow Field in Grid Cage[D]. Harbin: Harbin Engineering University, 2022. ( 0) |
2. Yantai CIMC Blue Ocean Technology Company Limited, Yantai 264000, China
2025, Vol. 55



0)